Soil Aggregation, Aggregate Stability, and Associated Soil Organic Carbon in Huron Mountains Forests, Michigan, USA
Abstract
1. Introduction
2. Materials and Methods
2.1. Study Site
2.2. Experimental Design
2.3. Measurements of Soil Aggregation and Soil Orghanic Carbon (SOC)
2.4. Statistical Analysis
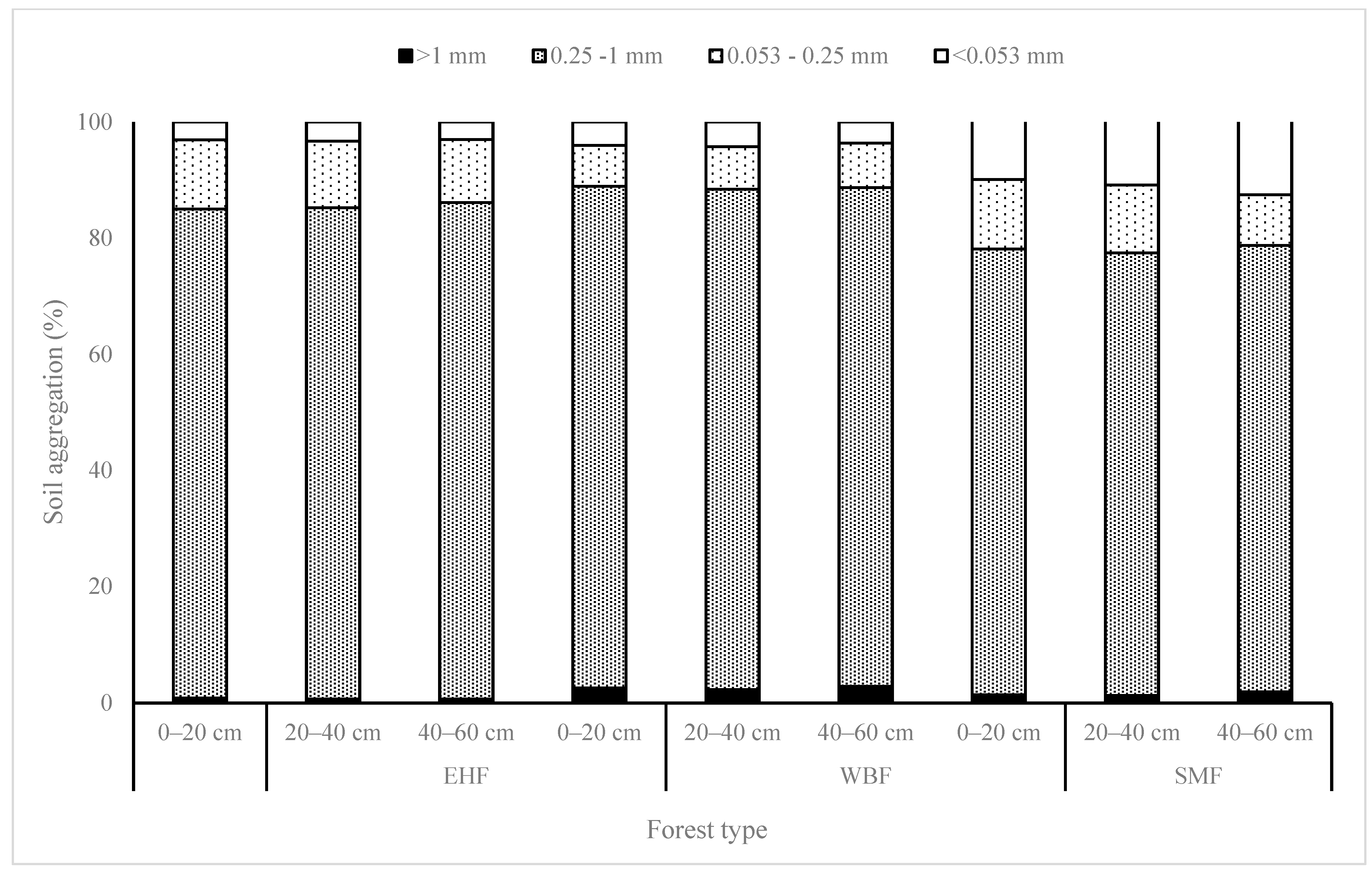
3. Results
4. Discussion
5. Conclusions
Author Contributions
Funding
Data Availability Statement
Acknowledgments
Conflicts of Interest
References
- Jobbágy, E.G.; Jackson, R.B. The vertical distribution of soil organic carbon and its relation to climate and vegetation. Ecol. Appl. 2000, 10, 423–436. [Google Scholar] [CrossRef]
- Batjes, N.H. Total carbon and nitrogen in the soils of the world. Eur. J. Soil Sci. 2014, 65, 4–21. [Google Scholar] [CrossRef]
- Lal, R. Soil carbon sequestration to mitigate climate change. Geoderma 2004, 123, 1–22. [Google Scholar] [CrossRef]
- Georgiou, K.; Jackson, R.B.; Vindušková, O.; Abramoff, R.Z.; Ahlström, A.; Feng, W.; Harden, J.W.; Pellegrini, A.F.; Polley, H.W.; Soong, J.L.; et al. Global stocks and capacity of mineral-associated soil organic carbon. Nat. Commun. 2022, 13, 3797. [Google Scholar] [CrossRef] [PubMed]
- Carter, M.R. Soil quality for sustainable land management: Organic matter and aggregation interactions that maintain soil functions. Agron. J. 2002, 94, 38–47. [Google Scholar] [CrossRef]
- Hartmann, M.; Six, J. Soil structure and microbiome functions in agroecosystems. Nat. Rev. Earth Environ. 2023, 4, 4–18. [Google Scholar] [CrossRef]
- Wiesmeier, M.; Urbanski, L.; Hobley, E.; Lang, B.; von Lützow, M.; Marin-Spiotta, E.; van Wesemael, B.; Rabot, E.; Ließ, M.; Garcia-Franco, N.; et al. Soil organic carbon storage as a key function of soils—A review of drivers and indicators at various scales. Geoderma 2019, 333, 149–162. [Google Scholar] [CrossRef]
- Cotrufo, M.F.; Ranalli, M.G.; Haddix, M.L.; Six, J.; Lugato, E. Soil carbon storage informed by particulate and mineral-associated organic matter. Nat. Geosci. 2019, 12, 989–994. [Google Scholar] [CrossRef]
- Six, J.; Conant, R.T.; Paul, E.A.; Paustian, K. Stabilization mechanisms of soil organic matter: Implications for C-saturation of soils. Plant Soil 2002, 241, 155–176. [Google Scholar] [CrossRef]
- Six, J.; Bossuyt, H.; Degryze, S.; Denef, K. A history of research on the link between (micro)aggregates, soil biota, and soil organic matter dynamics. Soil Tillage Res. 2004, 79, 7–31. [Google Scholar] [CrossRef]
- Philippot, L.; Chenu, C.; Kappler, A.; Rillig, M.C.; Fierer, N. The interplay between microbial communities and soil properties. Nat. Rev. Microbiol. 2024, 22, 226–239. [Google Scholar] [CrossRef] [PubMed]
- Lützow, M.V.; Kögel-Knabner, I.; Ekschmitt, K.; Flessa, H.; Guggenberger, G.; Matzner, E.; Marschner, B. Stabilization of organic matter in temperate soils: Mechanisms and their relevance under different soil conditions—A review. Eur. J. Soil Sci. 2006, 57, 426–445. [Google Scholar] [CrossRef]
- Guo, G.; Li, X.; Zhu, X.; Xu, Y.; Dai, Q.; Zeng, G.; Lin, J. Effect of forest management operations on aggregate-associated SOC dynamics using a 137Cs tracing method. Forests 2021, 12, 859. [Google Scholar] [CrossRef]
- Zhang, W.; Munkholm, L.J.; Liu, X.; An, T.; Xu, Y.; Ge, Z.; Xie, N.; Li, A.; Dong, Y.; Peng, C.; et al. Soil aggregate microstructure and microbial community structure mediate soil organic carbon accumulation: Evidence from one-year field experiment. Geoderma 2023, 430, 116324. [Google Scholar] [CrossRef]
- Polláková, N.; Šimanský, V.; Kravka, M. The influence of soil organic matter fractions on aggregates stabilization in agricultural and forest soils of selected Slovak and Czech hilly lands. J. Soils Sediments 2018, 18, 2790–2800. [Google Scholar] [CrossRef]
- Cao, S.; Zhou, Y.; Zhou, Y.; Zhou, X.; Zhou, W. Soil organic carbon and soil aggregate stability associated with aggregate fractions in a chronosequence of citrus orchards plantations. J. Environ. Manag. 2021, 293, 112847. [Google Scholar] [CrossRef] [PubMed]
- Staszel-Szlachta, K.; Błońska, E.; Lasota, J. Stabilization of soil organic matter in Luvisols under the influence of various tree species in temperate forests. Sci. Rep. 2025, 15, 1286. [Google Scholar] [CrossRef] [PubMed]
- Liu, S.; Yuan, Z.; Ali, A.; Sanaei, A.; Mao, Z.; Ding, F.; Zheng, D.; Fang, S.; Jia, Z.; Tao, Z.; et al. Anthropogenic disturbances shape soil capillary and saturated water retention indirectly via plant functional traits and soil organic carbon in temperate forests. Forests 2021, 12, 1588. [Google Scholar] [CrossRef]
- Xu, S.; Yang, Y.; Sun, G.; Zhang, Q.; Wang, Y.; Zeng, H.; Simpson, M.J.; Wang, J. Aridity affects soil organic carbon concentration and chemical stability by different forest types and soil processes across Chinese natural forests. Sci. Total Environ. 2024, 944, 174002. [Google Scholar] [CrossRef]
- Ortiz, C.; Fernández-Alonso, M.J.; Kitzler, B.; Diaz-Pines, E.; Saiz, G.; Rubio, A.; Benito, M. Variations in soil aggregation, microbial community structure and soil organic matter cycling associated to long-term afforestation and woody encroachment in a Mediterranean alpine ecotone. Geoderma 2022, 405, 115450. [Google Scholar] [CrossRef]
- D’Amato, A.W.; Bradford, J.B.; Fraver, S.; Palik, B.J. Forest management for mitigation and adaptation to climate change: Insights from long-term silviculture experiments. For. Ecol. Manag. 2011, 262, 803–816. [Google Scholar] [CrossRef]
- Woods, K.D. Dynamics in late-successional hemlock-hardwood forests over three decades. Ecology 2000, 81, 110–126. [Google Scholar]
- Woods, K.D. Multi-decade biomass dynamics in an old-growth hemlock-northern hardwood forest, Michigan, USA. PeerJ 2014, 2, e598. [Google Scholar] [CrossRef] [PubMed]
- Almajmaie, A.; Hardie, M.; Acuna, T.; Birch, C. Evaluation of methods for determining soil aggregate stability. Soil Tillage Res. 2017, 167, 39–45. [Google Scholar] [CrossRef]
- Gao, L.; Wang, B.; Li, S.; Wu, H.; Wu, X.; Liang, G.; Gong, D.; Zhang, X.; Cai, D.; Degré, A. Soil wet aggregate distribution and pore size distribution under different tillage systems after 16 years in the Loess Plateau of China. Catena 2019, 173, 38–47. [Google Scholar] [CrossRef]
- Walkley, A.; Black, I.A. An examination of the Degtjareff method for determining soil organic matter, and a proposed modification of the chromic acid titration method. Soil Sci. 1934, 37, 29–38. [Google Scholar] [CrossRef]
- Peverill, K.I.; Sparrow, L.A.; Reuter, D.J. Soil Analysis; CSIRO Publishing: Clayton, Australia, 1999; pp. 1–369. [Google Scholar]
- Bavel, C. Mean weight-diameter of soil aggregates as a statistical index of aggregation. Soil Sci. Soc. Am. J. 1950, 14, 20–23. [Google Scholar] [CrossRef]
- Bronick, C.J.; Lal, R. Soil structure and management: A review. Geoderma 2005, 124, 3–22. [Google Scholar] [CrossRef]
- Huang, H.; Huang, X.; Wang, Y.; Li, J.; Xiang, M.; Li, C.; Liao, S.; You, Y. Conversion of pure Chinese fir plantation to multi-layered mixed plantation increases organic phosphorus accumulation and transformation within soil aggregates. Appl. Soil Ecol. 2024, 201, 105518. [Google Scholar] [CrossRef]
- Zhou, Z.; Zhang, G.; Hua, J.; Xue, J.; Yu, C. Tree species selection for optimizing soil carbon storage: Insights from litter decomposition and bacterial community analysis in coastal ecosystems. J. Environ. Manag. 2024, 370, 122984. [Google Scholar] [CrossRef] [PubMed]
- Ge, X.; Zeng, L.; Xiao, W.; Huang, Z.; Geng, X.; Tan, B. Effect of litter substrate quality and soil nutrients on forest litter decomposition: A review. Acta Ecol. Sin. 2013, 33, 102–108. [Google Scholar] [CrossRef]
- Kalbitz, K.; Solinger, S.; Park, J.H.; Michalzik, B.; Matzner, E. Controls on the dynamics of dissolved organic matter in soils: A review. Soil Sci. 2000, 165, 277–304. [Google Scholar] [CrossRef]
- Saha, D.; Kukal, S.S. Soil structural stability and water retention characteristics under different land uses of degraded lower Himalayas of North-West India. Land Degrad. Dev. 2015, 26, 263–271. [Google Scholar] [CrossRef]
- González de Andrés, E. Interactions between climate and nutrient cycles on forest response to global change: The role of mixed forests. Forests 2019, 10, 609. [Google Scholar] [CrossRef]
- Pregitzer, K.S.; Euskirchen, E.S. Carbon cycling and storage in world forests: Biome patterns related to forest age. Glob. Chang. Biol. 2004, 10, 2052–2077. [Google Scholar] [CrossRef]
- Anderson, R.; Brye, K.R.; Wood, L.S. Soil aggregate stability as affected by land use and soil properties in the lower Mississippi river valley. Soil Sci. Soc. Am. J. 2019, 83, 1512–1524. [Google Scholar] [CrossRef]
- Elliott, E.T. Aggregate Structure and Carbon, Nitrogen, and Phosphorus in Native and Disturbed Soils. Soil Sci. Soc. Am. J. 1986, 50, 627–633. [Google Scholar] [CrossRef]
- Lavelle, P.; Spain, A.; Fonte, S.; Bedano, J.; Blanchart, E.; Galindo, V.; Grimaldi, M.; Jimenez, J.; Velasquez, E.; Zangerlé, A. Soil aggregation, ecosystem engineers and the C cycle. Acta Oecol. 2020, 105, 103561. [Google Scholar] [CrossRef]
- Liang, Q.; Wang, C.; Zhang, K.; Shi, S.; Guo, J.; Gao, F.; Liu, J.; Wang, J.; Liu, Y. The influence of tree species on soil organic carbon stability under three temperate forests in the Baihua Mountain Reserve, China. Glob. Ecol. Conserv. 2021, 26, e01454. [Google Scholar] [CrossRef]
- Paula, R.R.; Calmon, M.; Lopes-Assad, M.L.; Mendonça, E.D. Soil organic carbon storage in forest restoration models and environmental conditions. J. For. Res. 2022, 1, 1123–1134. [Google Scholar] [CrossRef]
- Fahey, T.J.; Yavitt, J.B.; Sherman, R.E.; Maerz, J.C.; Groffman, P.M.; Fisk, M.C.; Bohlen, P.J. Earthworm effects on the incorporation of litter C and N into soil organic matter in a sugar maple forest. Ecol. Appl. 2013, 23, 1185–1201. [Google Scholar] [CrossRef]
- Staszel, K.; Lasota, J.; Błońska, E. Soil organic matter fractions in relation to root characteristics of different tree species in altitude gradient of temperate forest in Carpathian Mountains. Forests 2022, 13, 1656. [Google Scholar] [CrossRef]
- Govindasamy, P.; Mahawer, S.K.; Mowrer, J.; Bagavathiannan, M.; Prasad, M.; Ramakrishnan, S.; Halli, H.M.; Kumar, S.; Chandra, A. Comparison of low-cost methods for soil water holding capacity. Commun. Soil Sci. Plant Anal. 2023, 54, 287–296. [Google Scholar] [CrossRef]
- Tang, F.; Zhou, Y.; Bai, Y. The effect of mixed forest identity on soil carbon stocks in Pinus massoniana mixed forests. Sci. Total Environ. 2024, 907, 167889. [Google Scholar] [CrossRef]
- Mäkipää, R.; Abramoff, R.; Adamczyk, B.; Baldy, V.; Biryol, C.; Bosela, M.; Casals, P.; Yuste, J.C.; Dondini, M.; Filipek, S.; et al. How does management affect soil C sequestration and greenhouse gas fluxes in boreal and temperate forests?—A review. For. Ecol. Manag. 2023, 529, 120637. [Google Scholar] [CrossRef]
- Wang, Z.; Wang, G.; Li, Y.; Zhang, Z. Determinants of carbon sequestration in thinned forests. Sci. Total Environ. 2024, 951, 175540. [Google Scholar] [CrossRef]
- Mayer, M.; Prescott, C.E.; Abaker, W.E.; Augusto, L.; Cécillon, L.; Ferreira, G.W.; James, J.; Jandl, R.; Katzensteiner, K.; Laclau, J.P.; et al. Tamm Review: Influence of forest management activities on soil organic carbon stocks: A knowledge synthesis. For. Ecol. Manag. 2020, 466, 118127. [Google Scholar] [CrossRef]
- Zhang, H.; Liu, S.; Yu, J.; Li, J.; Shangguan, Z.; Deng, L. Thinning increases forest ecosystem carbon stocks. For. Ecol. Manag. 2024, 555, 121702. [Google Scholar] [CrossRef]
- Kukal, S.S.; Bawa, S.S. Soil organic carbon stock and fractions in relation to land use and soil depth in the degraded Shiwaliks hills of lower Himalayas. Land Degrad. Dev. 2014, 25, 407–416. [Google Scholar]
- Jandl, R.; Lindner, M.; Vesterdal, L.; Bauwens, B.; Baritz, R.; Hagedorn, F.; Johnson, D.W.; Minkkinen, K.; Byrne, K.A. How strongly can forest management influence soil carbon sequestration? Geoderma 2007, 137, 253–268. [Google Scholar] [CrossRef]
- Liu, Y.; Sui, X.; Hua, H.; Liu, X.; Chang, Q.; Xu, R.; Li, M.; Mu, L. Soil aggregate stability and organic carbon content among different forest types in temperate ecosystems in northeastern China. Forests 2024, 15, 279. [Google Scholar] [CrossRef]
- Huang, X.; Jia, Z.; Jiao, X.; Wang, J.; Huang, X. Long-term manure applications to increase carbon sequestration and macroaggregate-stabilized carbon. Soil Biol. Biochem. 2022, 174, 108827. [Google Scholar] [CrossRef]
- Osei, R.; Titeux, H.; Bielak, K.; Bravo, F.; Collet, C.; Cools, C.; Cornelis, J.T.; Heym, M.; Korboulewsky, N.; Löf, M.; et al. Tree species identity drives soil organic carbon storage more than species mixing in major two-species mixtures (pine, oak, beech) in Europe. For. Ecol. Manag. 2021, 481, 118752. [Google Scholar] [CrossRef]
- Pengshuai, S.H.; Hongyan, H.A.; Jingkuan, S.U.; Hongtu, X.I. Effects of global change and human disturbance on soil carbon cycling in boreal forest: A review. Pedosphere 2023, 33, 194–211. [Google Scholar]
- Błońska, E.; Lasota, J.; Prażuch, W.; Ilek, A. Stabilization of soil organic matter following the impact of selected tree species in temperate climate. Catena 2024, 243, 108185. [Google Scholar] [CrossRef]
- Lovett, G.M.; Arthur, M.A.; Weathers, K.C.; Fitzhugh, R.D.; Templer, P.H. Nitrogen addition increases carbon storage in soils, but not in trees, in an eastern US deciduous forest. Ecosystems 2013, 16, 980–1001. [Google Scholar] [CrossRef]
- Augusto, L.; Boča, A. Tree functional traits, forest biomass, and tree species diversity interact with site properties to drive forest soil carbon. Nat. Commun. 2022, 13, 1097. [Google Scholar] [CrossRef]




| Forest Type | DBH (cm) | Tree Height (m) | Stand Density (tree/ha) | Basal Area (m2) |
|---|---|---|---|---|
| WBF | 34.4 ± 18.4 | 23.7 ± 10.8 | 800 ± 158 | 94.8 ± 10.2 |
| EHF | 31.1 ± 14.9 | 29.9 ± 9.4 | 925 ± 205 | 86.0 ± 20.2 |
| SMF | 31.0 ± 19.5 | 22.3 ± 9.7 | 725 ± 83 | 75.7 ± 17.7 |
| Forest Type | MWD (mm) | Aggregate Ratio |
|---|---|---|
| WBF | 0.262 a | 6.9 a |
| EHF | 0.231 a | 7.0 a |
| SMF | 0.205 b | 2.8 b |
| Forest Type | Soil Depth | SOC Concentration (%) | SOC Stock (tC/ha) | |||||||
|---|---|---|---|---|---|---|---|---|---|---|
| >1 mm | 0.25–1 mm | 0.053–0.25 mm | <0.053 mm | >1 mm | 0.25–1 mm | 0.053–0.25 mm | <0.053 mm | Total | ||
| WBF | 0–20 | 0.59 ± 0.34 | 0.65 ± 0.32 | 1.19 ± 0.47 | 1.63 ± 0.55 | 0.78 ± 0.30 | 14.41 ± 6.86 | 2.21 ± 1.30 | 1.70 ± 1.14 | 19.10 |
| 20–43 | 0.43 ± 0.19 | 0.45 ± 0.20 | 0.87 ± 0.35 | 1.19 ± 0.33 | 0.80 ± 0.18 | 10.10 ± 4.70 | 1.60 ± 1.20 | 2.65 ± 0.44 | 15.15 | |
| 40–60 | 0.57 ± 0.18 | 0.70 ± 0.28 | 0.77 ± 0.16 | 0.88 ± 0.58 | 0.73 ± 0.35 | 15.38 ± 7.26 | 1.68 ± 1.21 | 1.65 ± 0.62 | 19.44 | |
| Total | 2.31 | 39.89 | 5.49 | 6.00 | 53.69 | |||||
| EHF | 0–20 | 0.54 ± 0.30 | 0.58 ± 0.44 | 0.50 ± 0.28 | 0.84 ± 0.12 | 0.12 ± 0.04 | 12.69 ± 6.28 | 1.24 ± 0.40 | 1.22 ± 0.32 | 15.27 |
| 20–43 | 0.32 ± 0.19 | 0.37 ± 0.18 | 0.40 ± 0.21 | 0.74 ± 0.29 | 0.07 ± 0.06 | 9.25 ± 5.19 | 1.00 ± 0.63 | 0.55 ± 0.42 | 10.87 | |
| 40–60 | 0.45 ± 0.16 | 0.44 ± 0.17 | 0.48 ± 0.30 | 0.65 ± 0.41 | 0.15 ± 0.11 | 12.19 ± 5.03 | 1.31 ± 0.86 | 0.53 ± 0.21 | 14.18 | |
| Total | 0.34 | 34.13 | 3.55 | 2.30 | 40.32 | |||||
| SMF | 0–20 | 1.08 ± 0.31 | 1.07 ± 0.47 | 1.26 ± 0.25 | 1.07 ± 0.62 | 0.29 ± 0.15 | 17.54 ± 8.07 | 3.55 ± 0.95 | 2.57 ± 1.91 | 23.95 |
| 20–43 | 1.17 ± 0.17 | 1.17 ± 0.16 | 1.06 ± 0.26 | 0.82 ± 0.25 | 0.64 ± 0.46 | 26.23 ± 2.91 | 3.32 ± 0.56 | 3.89 ± 2.15 | 34.08 | |
| 40–60 | 0.96 ± 0.30 | 0.99 ± 0.34 | 1.11 ± 0.42 | 0.74 ± 0.33 | 0.39 ± 0.13 | 22.63 ± 8.35 | 4.74 ± 2.37 | 3.99 ± 2.64 | 31.75 | |
| Total | 1.32 | 66.40 | 11.61 | 10.45 | 89.78 | |||||
Disclaimer/Publisher’s Note: The statements, opinions and data contained in all publications are solely those of the individual author(s) and contributor(s) and not of MDPI and/or the editor(s). MDPI and/or the editor(s) disclaim responsibility for any injury to people or property resulting from any ideas, methods, instructions or products referred to in the content. |
© 2025 by the authors. Licensee MDPI, Basel, Switzerland. This article is an open access article distributed under the terms and conditions of the Creative Commons Attribution (CC BY) license (https://creativecommons.org/licenses/by/4.0/).
Share and Cite
Chen, X.; Gsell, T.; Yunger, J.; Randa, L.; Peng, Y.; Carrington, M. Soil Aggregation, Aggregate Stability, and Associated Soil Organic Carbon in Huron Mountains Forests, Michigan, USA. Forests 2025, 16, 219. https://doi.org/10.3390/f16020219
Chen X, Gsell T, Yunger J, Randa L, Peng Y, Carrington M. Soil Aggregation, Aggregate Stability, and Associated Soil Organic Carbon in Huron Mountains Forests, Michigan, USA. Forests. 2025; 16(2):219. https://doi.org/10.3390/f16020219
Chicago/Turabian StyleChen, Xiaoyong, Timothy Gsell, John Yunger, Lynda Randa, Yuanying Peng, and Mary Carrington. 2025. "Soil Aggregation, Aggregate Stability, and Associated Soil Organic Carbon in Huron Mountains Forests, Michigan, USA" Forests 16, no. 2: 219. https://doi.org/10.3390/f16020219
APA StyleChen, X., Gsell, T., Yunger, J., Randa, L., Peng, Y., & Carrington, M. (2025). Soil Aggregation, Aggregate Stability, and Associated Soil Organic Carbon in Huron Mountains Forests, Michigan, USA. Forests, 16(2), 219. https://doi.org/10.3390/f16020219

