Study on Plant Diversity and Soil Properties of Different Forest Types in Pisha Sandstone Area and Their Correlation
Abstract
1. Introduction
2. Materials and Methods
2.1. Overview of the Study Area
2.2. Research Methodology
2.2.1. Field Sample Plot Layout and Vegetation Survey
2.2.2. Measurement of Aboveground Biomass of Herbs
2.2.3. Species Diversity Calculations
- (IV):
2.2.4. Determination of Soil Physical and Chemical Properties
2.2.5. Data Processing
3. Results and Analysis
3.1. Characteristics of Understory Vegetation and Species Diversity in Different Forest Types
3.1.1. Characteristics of Plant Composition, Importance Value, and Growth
3.1.2. Characterization of Plant Community Species Diversity
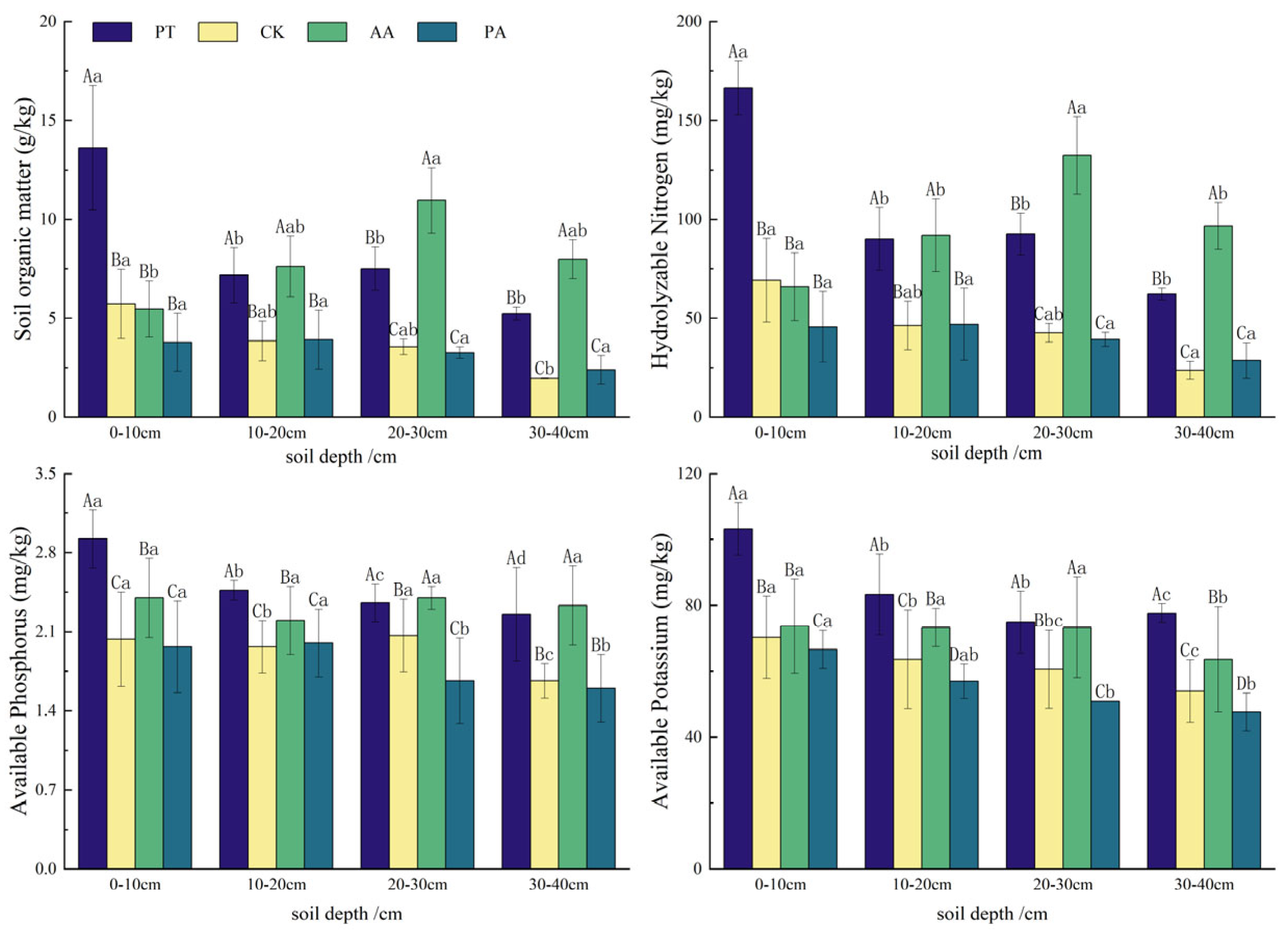
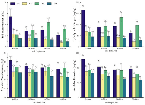
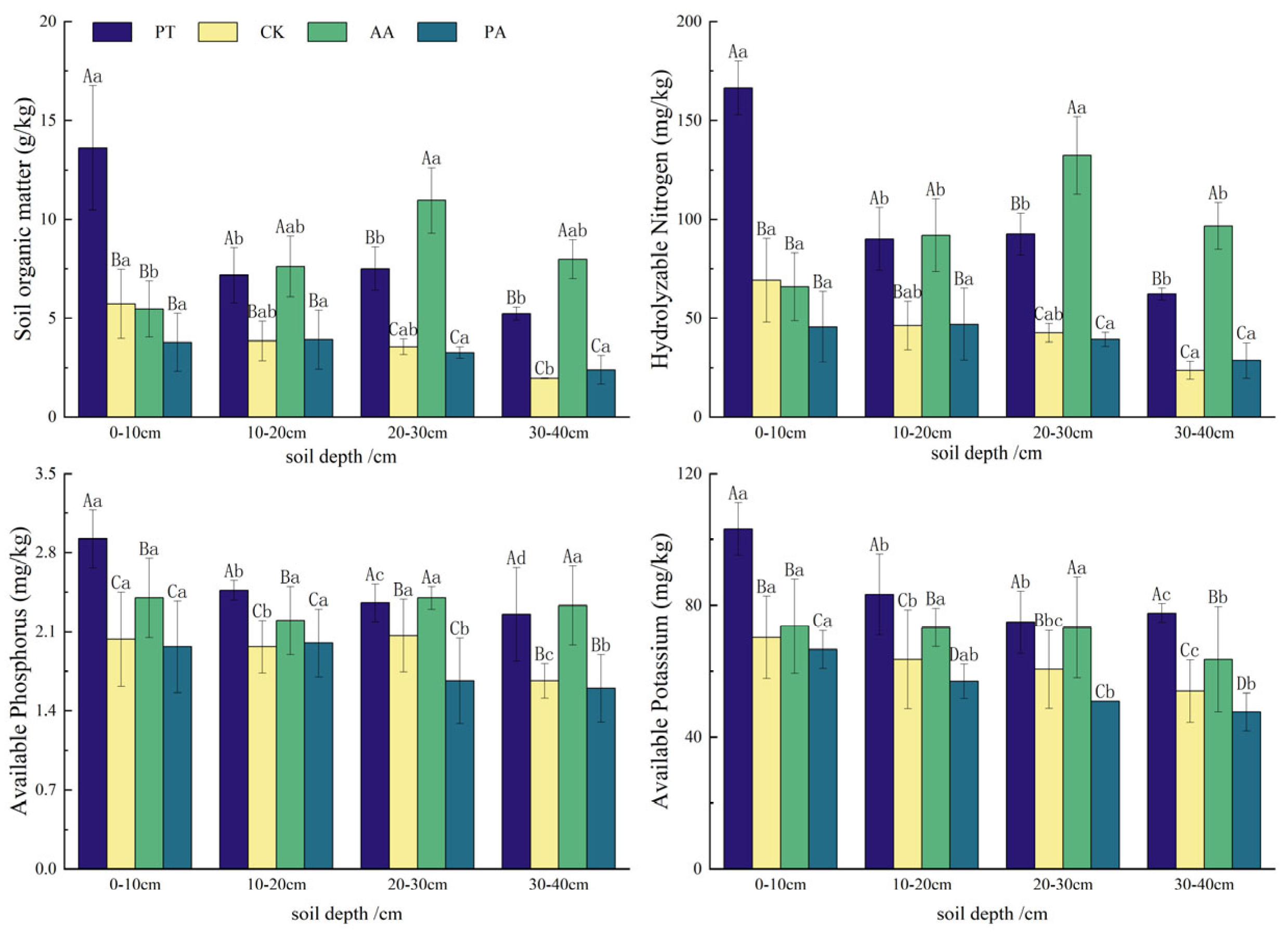
3.2. Characteristics of Soil Physicochemical Properties in the Understory of Different Forest Types
3.3. Relationship Analysis Between Understory Plant Diversity and Soil Factors
3.4. Principal Component Analysis of Understory Plant Diversity and Soil Factors
4. Discussion
4.1. Changes in Species Number and Growth Characteristics of Different Forest Types
4.2. Changes in Plant Diversity and Soil Properties in Different Forest Types
4.3. Relationship Between Soil Properties and Plant Diversity
5. Conclusions
Supplementary Materials
Author Contributions
Funding
Data Availability Statement
Conflicts of Interest
References
- Li, C.M.; Fu, Y.B.; Di, F.L. Progress in the Physicochemical Properties and Harness and Utilization of Pisha Sandstone in the Middle Reaches of the Yellow River. J. N. China Univ. Water Resour. Electr. Power 2023, 44, 41–50. [Google Scholar] [CrossRef]
- Gao, J.; Wang, J.F.; Li, Y.H. Effects of Soil Nutrients on Plant Nutrient Traits in Natural Pinus tabuliformis Forests. Plants 2023, 12, 735. [Google Scholar] [CrossRef]
- Wang, H.C.; He, X.H.; Zhang, Y.J.; Xiao, J.L.; Wang, H.; Ma, M.G.; Ryunosuke, T.; Shi, W.Y. Variations in litter-soil properties between planted and naturally restored forests drive microbial community structure and function. Appl. Soil Ecol. 2023, 189, 104977. [Google Scholar] [CrossRef]
- Dietterich, L.H.; Bouskill, L.N.; Brown, M.; Castro, B.; Chacon, S.S.; Colburn, L.; Cordeiro, A.L. Effects of experimental and seasonal drying on soilmicrobial biomass and nutrient cycling in four lowland tropical forests. Biogeochemistry 2022, 161, 227–250. [Google Scholar] [CrossRef]
- Wang, D.D.; Yuan, Z.J.; Cai, Y.T.; Jing, D.W.; Liu, F.; Tang, Y.; Song, N.G. Characterisation of soil erosion and overland flow on vegetation-growing slopes in fragile ecological regions: A review. J. Environ. Manag. 2021, 285, 112165. [Google Scholar] [CrossRef]
- Silva, A.P.; Babujia, L.C.; Franchini, J.C.; Ralisch, R.; Hungria, M.; Guimarães, M.D.F. Soil structure and its influence on microbial biomass in different soil and crop management systems. Soil Tillage Res. 2014, 142, 42–53. [Google Scholar] [CrossRef]
- Xue, Y.C.; Yang, G.; Lu, N.J.; Shi, M.J.; Liu, Y.; Dai, X.Q. Effects of afforestation density on species diversity and soil physical properties under Caragana korshinskii plantations. J. Northwest A F Univ. 2024, 52, 69–78. [Google Scholar] [CrossRef]
- Yan, N.; Marschner, P.; Cao, W.; Zuo, C.; Qin, W. Influence of salinity and water content on soil microorganisms. Int. Soil Water Conserv. Res. 2015, 3, 316–323. [Google Scholar] [CrossRef]
- Liu, X.; Tan, N.; Zhou, G.; Zhang, D.; Zhang, Q.; Liu, S.; Chu, G.; Liu, J. Plant diversity and species turnover co-regulate soil nitrogen and phosphorus availability in Dinghushan forests, southern China. Plant Soil 2021, 464, 257–272. [Google Scholar] [CrossRef]
- Odum, E.P. The strategy of ecosystem development. Science 1969, 164, 262–270. [Google Scholar] [CrossRef]
- Augusto, L.; Achat, D.L.; Jonard, M.; Vidal, D.; Ringeval, B. Soil parent material—A major driver of plant nutrient limitations in terrestrial ecosystems. Glob. Change Biol. 2017, 23, 3808–3824. [Google Scholar] [CrossRef] [PubMed]
- Medvigy, D.; Wang, G.; Zhu, Q.; Riley, W.J.; Trierweiler, A.M.; Waring, B.G.; Xu, X.; Powers, J.S. Observed variation in soil properties can drive large variation in modelled forest functioning and composition during tropical forest secondary succession. New Phytol. 2019, 223, 1820–1833. [Google Scholar] [CrossRef] [PubMed]
- Kwak, J.H.; Scott, X.; Chang, M.A.N. Eleven years of simulated deposition of nitrogen but not sulfur changed species composition and diversity in the herb stratum in a boreal forest in western Canada. For. Ecol. Manag. 2018, 412, 1–8. [Google Scholar] [CrossRef]
- Jin, G.Z.; Fan, Z.H. Effects of nitrogen addition on species diversity of the understory plants in the Korean pine plantation. Acta Ecol. Sin. 2022, 42, 23. [Google Scholar] [CrossRef]
- Zhang, C.; Xin, X.P.; Zhang, Y.; Wang, M.; Chen, S.S.; Yu, T.Q.; Li, Y.X. Response of Temperate Leymus chinensis Meadow Steppe Plant Community Composition, Biomass Allocation, and Species Diversity to Nitrogen and Phosphorus Addition. Agronomy 2023, 13, 208. [Google Scholar] [CrossRef]
- Thomson, V.P.; Leishman, M.R. Survival of native plants of Hawkesbury Sandstone communities with additional nutrients: Effect of plant age and habitat. Aust. J. Bot. 2004, 52, 141–147. [Google Scholar] [CrossRef]
- Lei, K.; Pan, H.Y.; Lin, C.Y. A landscape approach towards ecological restoration and sustainable development of mining areas. Ecol. Eng. 2016, 90, 320–325. [Google Scholar] [CrossRef]
- Wang, L.J.; Li, C.M.; Dong, J.L. Distribution and lithological characteristics of arsenic sandstone. Yellow River 2013, 35, 4. [Google Scholar] [CrossRef]
- Zhao, G.J.; Mu, X.M.; Han, M.W.; An, Z.G.; Gao, P.; Sun, W.Y.; Xu, W. Sediment yield and sources in dam-controlled watersheds on the northern Loess Plateau. Catena 2017, 149, 110–119. [Google Scholar] [CrossRef]
- Yang, C.X.; Zhen, B.B.; Xiao, P.Q.; Zhang, P. Study on the Critical Dynamics of Compound Erosion in the Pisha Sandstone Area. IOP Conf. Ser. Earth Environ. Sci. 2020, 526, 012024. [Google Scholar] [CrossRef]
- Li, Y.; Xie, Z.X.; Qin, Y.; Sun, Y.Y. Temporal-Spatial Variation Characteristics of Soil Erosion in the Pisha Sandstone Area, Loess Plateau, China. Pol. J. Environ. Stud. 2019, 28, 2205–2214. [Google Scholar] [CrossRef] [PubMed]
- Wang, R.J.; Yan, F. Fractional vegetation cover and topographic effects in Pisha sandstone area of Northwest China in 2000–2018. Ying Yong Sheng Tai Xue Bao=J. Appl. Ecol. 2020, 31, 1194–1202. [Google Scholar] [CrossRef]
- Zhang, P.; Xiao, P.; Yao, W.; Liu, G.B.; Sun, W.Y. Profile distribution of soil moisture response to precipitation on the Pisha sandstone hillslopes of China. Sci. Rep. 2020, 10, 9136. [Google Scholar] [CrossRef] [PubMed]
- Wu, Z.Y. Vegetation in China; Science Press: Beijing, China, 1995. [Google Scholar]
- Tian, Y.; Lu, H.Y. Forest Management Research Based on Tree Growth Model. Highlights Sci. Eng. Technol. 2022, 11, 7–15. [Google Scholar] [CrossRef]
- Shi, H.B.; Zhang, F.; Shi, Q.D.; Li, M.G.; Dai, Y.; Zhang, Z.P.; Zhu, C.M. Responses of arid plant species diversity and composition to environmental factors. J. For. Res. 2023, 34, 1723–1734. [Google Scholar] [CrossRef]
- Jiang, X.Y.; Gao, S.G.; Jiang, Y.; Tian, Y.; Jia, X.; Zha, T.S. Species diversity, functional diversity, and phylogenetic diversity in plant communities at different phases of vegetation restoration in the Mu Us sandy grassland. Shengwu Duoyangxing 2022, 30, 21387. [Google Scholar] [CrossRef]
- Zambon, N.; Johannsen, L.L.; Strauß, P.; Dostál, T.; Zumr, D.; Cochrane, T.A.; Klik, A. Splash erosion affected by initial soil moisture and surface conditions under simulated rainfall. Catena 2021, 196, 104827. [Google Scholar] [CrossRef]
- Yang, Y.F.; Wu, L.Y.; Mu, Y.L.; Wei, F.J.; Zhang, C.Q.; Han, X.; Hou, T. Diversity and Biomass of Herbaceous Layer Plants Under Different Types of Platycladus orientalis Plantations. J. Northwest For. Univ. 2023, 38, 61–68. [Google Scholar] [CrossRef]
- Wang, L.; Wen, Y.G.; Zhou, X.G. Effects of Mixing Eucalyptus urophylla×E.grandis with Castanopsis hystrix on Understory Vegetation and Soil Properties. Ecol. Environ. Sci. 2022, 31, 1340–1349. [Google Scholar] [CrossRef]
- Siswo; Yun, C.W.; Lee, J.G. Role of Tree Vegetation and Associated Environmental Factors on the Understory Herb-Layer Composition in a Reforested Area: A Study from “Kulon Progo CommunityForestry”. Diversity 2023, 15, 900. [Google Scholar] [CrossRef]
- Hu, L.D.; Zhou, H.J.; Huang, Y.Z.; Yao, X.Y.; Ye, S.M.; Yu, S.F. A Study on Plant Species Diversity and Soil Carbon and Nitrogen in Different Cunninghamia lanceolata Stand Types. Ecol. Environ. Sci. 2022, 31, 451–459. [Google Scholar] [CrossRef]
- Wu, D.Y.; Tang, M.P. Species diversity of arbor forests and influencing factors at different successional stages of Tianmu Mountains, China. Chin. J. Appl. Ecol. 2024, 1–10. [Google Scholar] [CrossRef]
- Li, Z.; Zhang, Z.W.; Wang, Y.J.; Wang, P.C.; Xu, Y.C.; Zhou, Z.X. Influence of anthropogenic disturbances on understory plant diversity of urban forests in Wuhan, Central China. Sains Malays. 2012, 41, 1495–1501. [Google Scholar]
- Zhu, S.W.; Liu, L.X.; Hu, X.F.; Dai, W.; Wang, Y.R.; Li, F. The Effects of Different Thinning Intensities on the Understory Vegetation Characteristics of Mixed Forests of Larix principis-rupprechtii. For. Eng. 2024, 40, 47–55. [Google Scholar] [CrossRef]
- Zhao, Q.; Feng, Y.; Lei, X.; Cao, X.M.; Zou, J.X.; Feng, Y.M. A study on the potential for vegetation restoration in the soft rock area of the Ordos Plateau. Arid Zone Res. 2024, 41, 1583–1592. [Google Scholar] [CrossRef]
- Tang, F.Q.; Ma, T.; Tang, J.Y.; Yang, Q.F.; Xue, J.F.; Zhu, C.; Wang, C. Space-time dynamics and potential drivers of soil moisture and soil nutrients variation in a coal mining area of semi-arid, China. Ecol. Indic. 2023, 157, 111242. [Google Scholar] [CrossRef]
- Wang, N.; Bi, H.X.; Cui, Y.H.; Zhao, D.Y.; Hou, G.R.; Yun, H.Y.; Liu, Z.H. Optimization of stand structure in Robinia pseudoacacia Linn.based on soil and water conservation improvement function. Ecol. Indic. 2022, 136, 108671. [Google Scholar] [CrossRef]
- Tanioka, Y.; Ida, H.; Hirota, M. Relationship between Canopy Structure and Community Structure of the Understory Trees in a Beech Forest in Japan. Forests 2022, 13, 494. [Google Scholar] [CrossRef]
- Crisan, V.; Dincă, L.; Deca, S.S. Analysis of Chemical Properties of Forest Soils from Bacau County. Rev. Chim. 2020, 71, 81–86. [Google Scholar] [CrossRef]
- Dincă, L.; Chisăliţă, I.; Cântar, I.C. Chemical Properties of Forest Soils from Romania West Plain. Rev. Chim. 2019, 70, 2371–2374. [Google Scholar] [CrossRef]
- Dong, L.J.; Li, J.W.; Yu, Z.; Bing, M.Y.; Liu, Y.L.; Jing, W.; Hai, X.Y. Effects of vegetation restoration types on soil nutrients and soil erodibility regulated by slope positions on the Loess Plateau. J. Environ. Manag. 2022, 302, 113985. [Google Scholar] [CrossRef] [PubMed]
- Chen, F.; Kissel, D.E.; West, L.T.; Rickman, D.; Luvall, J.C.; Adkins, W. Mapping surface soil organic carbon for crop fields with remote sensing. J. Soil Water Conserv. 2005, 60, 51–57. [Google Scholar]
- Fioretto, A.; Innangi, M.; Marco, A.; Menta, C.; Papa, S.; Pellegrino, A.; Santo, A.V. Discriminating between Seasonal and Chemical Variation in Extracellular Enzyme Activities within Two Italian Beech Forests by Means of Multilevel Models. Forests 2018, 9, 219. [Google Scholar] [CrossRef]
- Haberstroh, S.; Werner, C. The role of species interactions for forest resilience to drought. Plant Biol. 2022, 24, 1098–1107. [Google Scholar] [CrossRef]
- Balderas, J.M.; Rodríguez, E.A.; Olivo, A.M.; Costa, A.C. Woody plant community structure and composition of an urban riparian forest in Monterrey metropolitan area, Northeast Mexico1. J. Torrey Bot. Soc. 2022, 149, 210–218. [Google Scholar] [CrossRef]
- Groote, S.R.E.; Vanhellemont, M.; Baeten, L.; Schrijver, A.; Martel, A.; Bonte, D.; Lens, L.; Verheyen, K. Tree species diversity indirectly affects nutrient cycling through the shrub layer and its high-quality litter. Plant Soil 2018, 427, 335–350. [Google Scholar] [CrossRef]
- Tipping, E.; Rowe, E.; Evans, C.; Mills, R.; Emmett, B.; Chaplow, J.; Hall, J. N14C: A plant–soil nitrogen and carbon cycling model to simulate terrestrial ecosystem responses to atmospheric nitrogen deposition. Ecol. Model. 2012, 247, 11–26. [Google Scholar] [CrossRef]
- Córdova, S.C.; Olk, D.C.; Dietzel, R.N.; Mueller, K.E.; Archontouilis, S.V.; Castellano, M.J. Plant litter quality affects the accumulation rate, composition, and stability of mineral-associated soil organic matter. Soil Biol. 2018, 125, 115–124. [Google Scholar] [CrossRef]
- Teng, Y.F.; Chen, B.; Ma, J.; Qian, W.J.; Li, H.G.; Li, J.; Han, T.S. Vegetation Community Species Diversity and Soil Moisture Variation Characteristics in Desert-oasis Transition Zone of Zhangye City, Gansu Province. Bull. Soil Water Conserv. 2024, 44, 45–54. [Google Scholar] [CrossRef]
- Gamfeldt, L.; Snall, T.; Bagchi, R.; Jonsson, M.; Gustafsson, L.; Kjellander, P.; Ruiz-Jaen, M.C. Higher levels of multiple ecosystem services are found in forests with more tree species. Nat. Commun. 2013, 4, 1340. [Google Scholar] [CrossRef]
- Whittaker, R.J.; Bush, M.B.; Richards, K. Plant Recolonization and Vegetation Succession on the Krakatau Islands, Indonesia. Ecol. Monogr. 1989, 59, 59–123. [Google Scholar] [CrossRef]





| Sample Size | Forest Types | Elevation/m | Slope/° | Density /(tree·ha−1) | DBH/cm | Tree Height/m | Tree Age/year |
|---|---|---|---|---|---|---|---|
| 1 | PT | 1208 | 15 | 3200 | 44.63 | 5.24 | 16 |
| 2 | 1223 | 15 | 38.55 | 4.83 | |||
| 3 | 1216 | 14 | 42.08 | 4.52 | |||
| 4 | PA | 1205 | 16 | 3250 | 41.84 | 3.75 | 15 |
| 5 | 1211 | 15 | 44.39 | 4.23 | |||
| 6 | 1204 | 16 | 37.75 | 3.98 | |||
| 7 | AA | 1203 | 15 | 3150 | 39.38 | 4.42 | 13 |
| 8 | 1209 | 15 | 36.15 | 5.10 | |||
| 9 | 1213 | 16 | 34.38 | 4.52 | |||
| 10 | CK | 1185 | 15 | — | — | — | — |
| 11 | 1187 | 15 | |||||
| 12 | 1193 | 16 |
| Stand Type | Family | Genus | Species |
|---|---|---|---|
| PT | 7 | 14 | 18 |
| PA | 6 | 12 | 14 |
| AA | 7 | 13 | 15 |
| CK | 5 | 8 | 10 |
| Stand Type | Main Species and Importance Values (%) |
|---|---|
| PT | Stipa-grandis (43) + Artemisia-gmelinii (24) + Artemisia-dubia (24) + Leymus-chinensis (22) + Potentilla-tanacetifolia (11) |
| PA | Stipa-capillata (44) + Stipa-grandis (29) + Stipa-breviflora (28) + Leymus-chinensis (16) + Lespedeza-bicolor (15) |
| AA | Stipa-grandis (73) + Thymus-mongolicus (63) + Leymus-chinensis (30) + Aster-altaicus (12) + Lespedeza-bicolor (11) |
| CK | Stipa-capillata (48) + Stipa-grandis (34) + Leymus-chinensis (25) + Stipa-breviflora (25) + Lespedeza-bicolor (17) |
| Stand Type | Total Cover/% | Total Biomass/g·m−2 | Average Height/cm |
|---|---|---|---|
| PT | 38.61 ± 4.63 a | 193.21 ± 61.21 a | 25.05 ± 5.34 ab |
| PA | 17.27 ± 5.32 b | 149.33 ± 28.89 c | 23.73 ± 5.21 b |
| AA | 19.22 ± 7.75 b | 180.41 ± 57.91 b | 24.01 ± 2.29 b |
| CK | 16.57 ± 4.08 b | 194.31 ± 8.85 a | 28.27 ± 9.14 a |
| KMO Sampling appropriateness quantity | 0.64 | |
| Bartlett’s Test of Sphericity | Chi-square approximations | 1046.848 |
| Degree of freedom | 78 | |
| Significance | 0.00 |
| Indicator Name | Principal Component | ||
|---|---|---|---|
| 1 | 2 | 3 | |
| SOM | 0.829 | 0.224 | −0.414 |
| AN | 0.835 | 0.223 | −0.408 |
| AP | 0.88 | 0.261 | −0.255 |
| AK | 0.86 | 0.322 | −0.135 |
| SBD | 0.474 | −0.036 | 0.592 |
| SWC | 0.624 | −0.106 | 0.297 |
| Margalef | 0.882 | −0.172 | −0.024 |
| Simpson | −0.361 | 0.794 | −0.117 |
| Pielou | 0.667 | −0.618 | 0.03 |
| Shannon–Wiener | 0.917 | −0.153 | 0.215 |
| coverage | 0.8 | 0.045 | 0.393 |
| Biomass | 0.368 | 0.859 | 0.196 |
| Plant height | −0.186 | 0.845 | 0.356 |
| Eigenvalue (math.) | 6.517 | 2.804 | 1.24 |
| Contribution rate | 50.132 | 21.567 | 9.536 |
| Cumulative contribution | 50.132 | 71.699 | 81.235 |
| Stand Type | F1 | F2 | F3 | Aggregate Score | Comprehensive Ranking |
|---|---|---|---|---|---|
| PT | 3.37 | 0.05 | 0.75 | 1.77 | 1 |
| PA | 0.89 | 0.09 | −1.13 | 0.36 | 2 |
| AA | −1.66 | −2.31 | 0.07 | −1.33 | 4 |
| CK | −2.60 | 2.17 | 0.31 | −0.81 | 3 |
Disclaimer/Publisher’s Note: The statements, opinions and data contained in all publications are solely those of the individual author(s) and contributor(s) and not of MDPI and/or the editor(s). MDPI and/or the editor(s) disclaim responsibility for any injury to people or property resulting from any ideas, methods, instructions or products referred to in the content. |
© 2025 by the authors. Licensee MDPI, Basel, Switzerland. This article is an open access article distributed under the terms and conditions of the Creative Commons Attribution (CC BY) license (https://creativecommons.org/licenses/by/4.0/).
Share and Cite
Fan, D.; Yang, Z.; Guo, J.; Qin, F.; He, H.; Han, W. Study on Plant Diversity and Soil Properties of Different Forest Types in Pisha Sandstone Area and Their Correlation. Forests 2025, 16, 211. https://doi.org/10.3390/f16020211
Fan D, Yang Z, Guo J, Qin F, He H, Han W. Study on Plant Diversity and Soil Properties of Different Forest Types in Pisha Sandstone Area and Their Correlation. Forests. 2025; 16(2):211. https://doi.org/10.3390/f16020211
Chicago/Turabian StyleFan, Dong, Zhenqi Yang, Jianying Guo, Fucang Qin, Huifang He, and Weijie Han. 2025. "Study on Plant Diversity and Soil Properties of Different Forest Types in Pisha Sandstone Area and Their Correlation" Forests 16, no. 2: 211. https://doi.org/10.3390/f16020211
APA StyleFan, D., Yang, Z., Guo, J., Qin, F., He, H., & Han, W. (2025). Study on Plant Diversity and Soil Properties of Different Forest Types in Pisha Sandstone Area and Their Correlation. Forests, 16(2), 211. https://doi.org/10.3390/f16020211

