Predicting Optimal Sites for Ecosystem Restoration and Assisted Migration of Abies pinsapo Boiss. Using Species Distribution Modelling
Abstract
1. Introduction
2. Materials and Methods
2.1. Study Area
2.2. Methodological Framework
2.2.1. Occurrence Dataset
2.2.2. Environmental Data Compilation and Pre-Processing
2.2.3. Species Distribution Modelling
2.2.4. Model Projections and Outputs
3. Results
3.1. Environmental Predictors and Performance of the SDMS
3.2. Performance of the SDMs
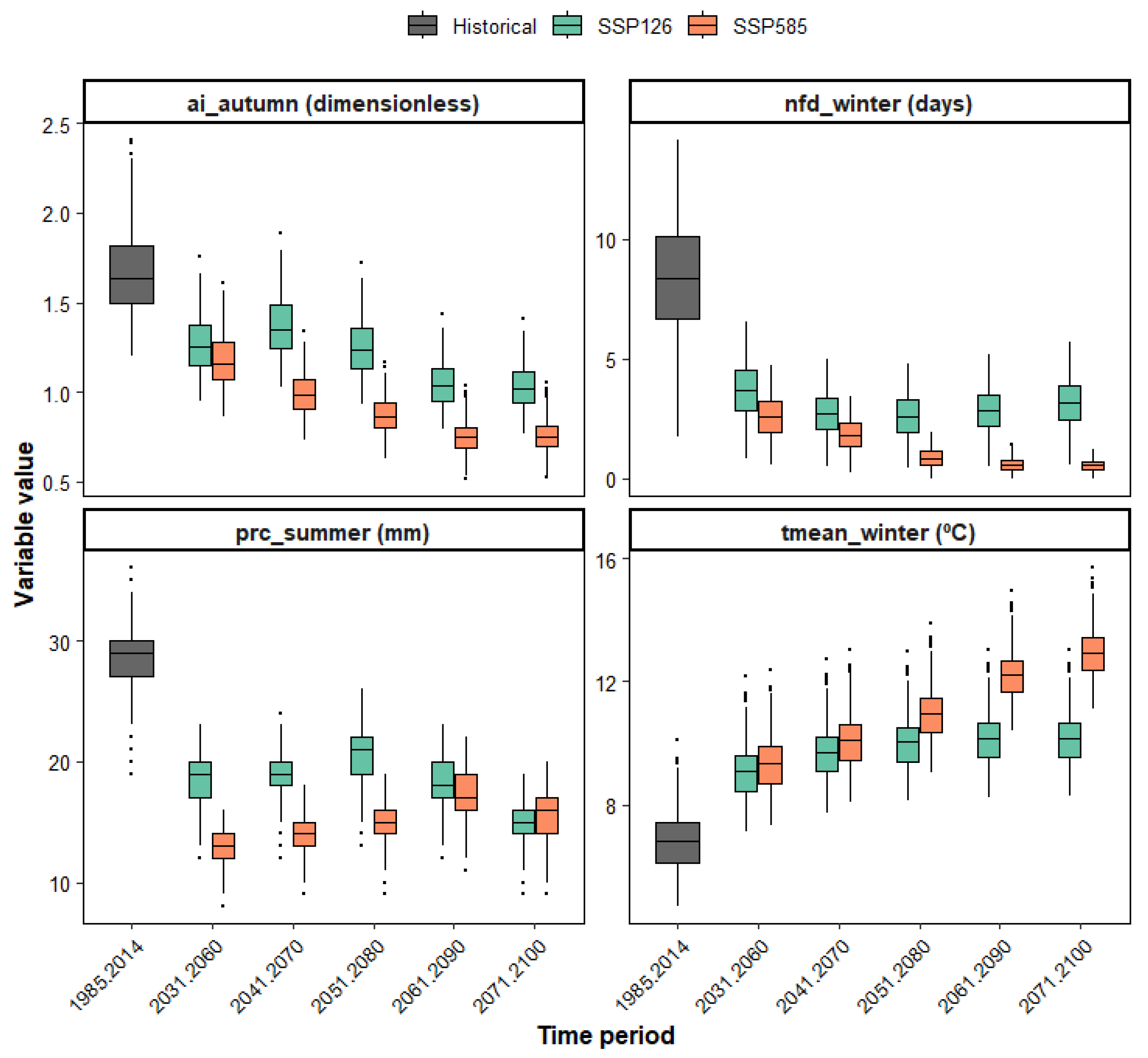
3.3. Changes in Habitat Suitability
4. Discussion
4.1. Current Habitat of Abies pinsapo and Environmental Drivers
4.2. Future Distribution of Abies pinsapo: Opportunities and Risks
4.3. Conservation Implications
5. Conclusions
Supplementary Materials
Author Contributions
Funding
Data Availability Statement
Acknowledgments
Conflicts of Interest
References
- Pearson, R.G. Climate Change and the Migration Capacity of Species. Trends Ecol. Evol. 2006, 21, 111–113. [Google Scholar] [CrossRef]
- Grandcolas, P.; Nattier, R.; Trewick, S. Relict Species: A Relict Concept? Trends Ecol. Evol. 2014, 29, 655–663. [Google Scholar] [CrossRef] [PubMed]
- Linares, J.C. Biogeography and Evolution of Abies (Pinaceae) in the Mediterranean Basin: The Roles of Long-Term Climatic Change and Glacial Refugia. J. Biogeogr. 2011, 38, 619–630. [Google Scholar] [CrossRef]
- Willis, K.J.; McElwain, J.C. The Evolution of Plants; Oxford University Press: Oxford, UK, 2014; pp. 678–679. [Google Scholar]
- Williams, M.I.; Dumroese, R.K. Preparing for Climate Change: Forestry and Assisted Migration. J. For. 2013, 111, 287–297. [Google Scholar] [CrossRef]
- Leech, S.M.; Almuedo, P.L.; O’Neill, G. Assisted Migration: Adapting Forest Management to a Changing Climate. J. Ecosyst. Manag. 2011, 12. Available online: https://jem-online.org/index.php/jem/article/view/91 (accessed on 22 November 2011). [CrossRef]
- McLachlan, J.S.; Hellmann, J.J.; Schwartz, M.W. A Framework for Debate of Assisted Migration in an Era of Climate Change. Conserv. Biol. 2007, 21, 297–302. [Google Scholar] [CrossRef]
- Lundgren, E.J.; Wallach, A.D.; Svenning, J.; Schlaepfer, M.A.; Andersson, A.L.A.; Ramp, D. Preventing Extinction in an Age of Species Migration and Planetary Change. Conserv. Biol. 2024, 38, e14270. [Google Scholar] [CrossRef]
- Rushton, S.P.; Ormerod, S.J.; Kerby, G. New Paradigms for Modelling Species Distributions? J. Appl. Ecol. 2004, 41, 193–200. [Google Scholar] [CrossRef]
- Elith, J.; Leathwick, J.R. Species Distribution Models: Ecological Explanation and Prediction Across Space and Time. Annu. Rev. Ecol. Evol. Syst. 2009, 40, 677–697. [Google Scholar] [CrossRef]
- Dormann, C.F.; Schymanski, S.J.; Cabral, J.; Chuine, I.; Graham, C.; Hartig, F.; Kearney, M.; Morin, X.; Römermann, C.; Schröder, B.; et al. Correlation and Process in Species Distribution Models: Bridging a Dichotomy. J. Biogeogr. 2012, 39, 2119–2131. [Google Scholar] [CrossRef]
- Falk, W.; Mellert, K.H. Species Distribution Models as a Tool for Forest Management Planning under Climate Change: Risk Evaluation of Abies Alba in Bavaria. J. Veg. Sci. 2011, 22, 621–634. [Google Scholar] [CrossRef]
- Ariza-Salamanca, A.J.; González-Moreno, P.; López-Quintanilla, J.B.; Navarro-Cerrillo, R.M. Large-Scale Mapping of Complex Forest Typologies Using Multispectral Imagery and Low-Density Airborne LiDAR: A Case Study in Pinsapo Fir Forests. Remote Sens. 2024, 16, 3182. [Google Scholar] [CrossRef]
- Alba-Sánchez, F.; López-Sáez, J.A.; Abel-Schaad, D.; Sabariego Ruiz, S.; Pérez-Díaz, S.; González-Hernández, A.; Linares, J.C. The Impact of Climate and Land-Use Changes on the Most Southerly Fir Forests (Abies pinsapo) in Europe. Holocene 2019, 29, 1176–1188. [Google Scholar] [CrossRef]
- Arista, A.; Alaoui, M.L.; Knees, S.; Gardner, M. Abies pinsapo. The IUCN Red List of Threatened Species. Available online: https://threatenedconifers.rbge.org.uk/conifers/abies-pinsapo (accessed on 26 November 2025).
- Linares, J.C.; Delgado-Huertas, A.; Carreira, J.A. Climatic Trends and Different Drought Adaptive Capacity and Vulnerability in a Mixed Abies pinsapo–Pinus halepensis Forest. Clim. Change 2011, 105, 67–90. [Google Scholar] [CrossRef]
- Cortés-Molino, Á.; Linares, J.C.; Viñegla, B.; Lechuga, V.; Salvo-Tierra, A.E.; Flores-Moya, A.; Fernández-Luque, I.; Carreira, J.A. Unexpected Resilience in Relict Abies pinsapo Boiss Forests to Dieback and Mortality Induced by Climate Change. Front. Plant Sci. 2022, 13, 991720. [Google Scholar] [CrossRef]
- Santini, F.; Shestakova, T.A.; Dashevskaya, S.; Notivol, E.; Voltas, J. Dendroecological and Genetic Insights for Future Management of an Old-Planted Forest of the Endangered Mediterranean Fir Abies pinsapo. Dendrochronologia 2020, 63, 125754. [Google Scholar] [CrossRef]
- Sancho-Knapik, D.; Peguero-Pina, J.J.; Flexas, J.; Herbette, S.; Cochard, H.; Niinemets, Ü.; Gil-Pelegrín, E. Coping with Low Light under High Atmospheric Dryness: Shade Acclimation in a Mediterranean Conifer (Abies pinsapo Boiss.). Tree Physiol. 2014, 34, 1321–1333. [Google Scholar] [CrossRef]
- González-Hernández, A.; Nieto-Lugilde, D.; Peñas, J.; Alba-Sánchez, F. Lean Pattern in an Altitude Range Shift of a Tree Species: Abies pinsapo Boiss. Forests 2021, 12, 1451. [Google Scholar] [CrossRef]
- Cerrillo, R.M.N.; Fernández, A.L.; Martinez, C.C.; Alvarez, J.G.; Salguero, R.S.; Oyonarte, P.B.; Quintanilla, J.L.; Cancio, A.F. Aproximación a la Definición del Hábitat Fisiográfico del Abies pinsapo Boiss. En Andalucía. For. Syst. 2006, 15, 137–152. [Google Scholar]
- López-Tirado, J.; Hidalgo, P.J. A High Resolution Predictive Model for Relict Trees in the Mediterranean-Mountain Forests (Pinus sylvestris L., P. nigra Arnold and Abies pinsapo Boiss.) from the South of Spain: A Reliable Management Tool for Reforestation. For. Ecol. Manag. 2014, 330, 105–114. [Google Scholar] [CrossRef]
- Navarro Cerrillo, R.M.; Duque-Lazo, J.; Rios-Gil, N.; Guerrero-Alvarez, J.J.; Lopez-Quintanilla, J.; Palacios-Rodriguez, G. Can Habitat Prediction Models Contribute to the Restoration and Conservation of the Threatened Tree Abies pinsapo Boiss. in Southern Spain? New For. 2021, 52, 89–112. [Google Scholar] [CrossRef]
- Blanco-Cano, L.; Navarro-Cerrillo, R.M.; González-Moreno, P. Biotic and Abiotic Effects Determining the Resilience of Conifer Mountain Forests: The Case Study of the Endangered Spanish Fir. For. Ecol. Manag. 2022, 520, 120356. [Google Scholar] [CrossRef]
- Chioncel, M. Transformative Innovation for Better Climate Change Adaptation—Case Study: Granada—Andalucia, Spain. Available online: https://publications.jrc.ec.europa.eu/repository/handle/JRC137324 (accessed on 19 March 2025).
- Álvarez, J.R.G.; Troncoso, J.V.; Rengel, A.S.; Almazán, M.L.S.; Álvarez, J.A.R.; Álvarez, J.J.G.; Rodríguez, J.J.L.; González, P.G.; Morales, J.I.; Marín, G. Biomasa Forestal en Andalucía. 1. Modelo de Existencias, Crecimiento y Producción. Coníferas. Available online: https://www.researchgate.net/publication/301748011_Biomasa_forestal_en_Andalucia_1_Modelos_de_existencias_crecimiento_y_produccion_Coniferas (accessed on 26 November 2025).
- Han, H.; Guo, X.; Yu, H. Variable Selection Using Mean Decrease Accuracy and Mean Decrease Gini Based on Random Forest. In Proceedings of the 2016 7th IEEE international Conference on Software Engineering and Service Science (ICSESS), Beijing, China, 26–28 August 2016; pp. 219–224. [Google Scholar]
- Hermosilla, T.; Bastyr, A.; Coops, N.C.; White, J.C.; Wulder, M.A. Mapping the Presence and Distribution of Tree Species in Canada’s Forested Ecosystems. Remote Sens. Environ. 2022, 282, 113276. [Google Scholar] [CrossRef]
- Shrestha, N. Detecting Multicollinearity in Regression Analysis. Am. J. Appl. Math. Stat. 2020, 8, 39–42. [Google Scholar] [CrossRef]
- Graham, M.H. Confronting Multicollinearity in Ecological Multiple Regression. Ecology 2003, 84, 2809–2815. [Google Scholar] [CrossRef]
- Thuiller, W.; Georges, D.; Gueguen, M.; Engler, R.; Breiner, F.; Lafourcade, B.; Patin, R.; Blancheteau, H. Package biomod2: Ensemble Platform for Species Distribution Modeling, Version R 4.2-6-2; R Foundation for Statistical Computing: Vienna, Austria, 2016; Available online: https://cran.r-project.org/web/packages/biomod2/index.html (accessed on 26 November 2025).
- Guisan, A.; Edwards, T.C., Jr.; Hastie, T. Generalized Linear and Generalized Additive Models in Studies of Species Distributions: Setting the Scene. Ecol. Model. 2002, 157, 89–100. [Google Scholar] [CrossRef]
- Ridgeway, G.; Edwards, D.; Kriegler, B.; Schroedl, S.; Southworth, H.; Greenwell, B.; Boehmke, B.; Cunningham, J.; GBM Developers. Gbm: Generalized Boosted Regression Models, Version 2.2.2; R Foundation for Statistical Computing: Vienna, Austria, 2019; Available online: https://cran.r-project.org/web/packages/gbm/gbm.pdf (accessed on 22 July 2025).
- Lek, S.; Guégan, J.-F. Artificial Neural Networks as a Tool in Ecological Modelling, an Introduction. Ecol. Model. 1999, 120, 65–73. [Google Scholar] [CrossRef]
- Breiman, L. Random Forests. Mach. Learn. 2001, 45, 5–32. [Google Scholar] [CrossRef]
- Phillips, S.J.; Dudík, M. Modeling of Species Distributions with Maxent: New Extensions and a Comprehensive Evaluation. Ecography 2008, 31, 161–175. [Google Scholar] [CrossRef]
- Stewart, S.B.; Fedrigo, M.; Kasel, S.; Roxburgh, S.H.; Choden, K.; Tenzin, K.; Allen, K.; Nitschke, C.R. Predicting Plant Species Distributions Using Climate-based Model Ensembles with Corresponding Measures of Congruence and Uncertainty. Divers. Distrib. 2022, 28, 1105–1122. [Google Scholar] [CrossRef]
- Jiménez-Valverde, A. Insights into the Area under the Receiver Operating Characteristic Curve (AUC) as a Discrimination Measure in Species Distribution Modelling. Glob. Ecol. Biogeogr. 2012, 21, 498–507. [Google Scholar] [CrossRef]
- Oke, O.A.; Thompson, K.A. Distribution Models for Mountain Plant Species: The Value of Elevation. Ecol. Model. 2015, 301, 72–77. [Google Scholar] [CrossRef]
- Fernández-Cancio, A.; NavarroCerrillo, R.M.; Fernández, R.F.; Hernández, P.G.; Meneéndez, E.M.; Martínez, C.C. Climate Classification of Abies pinsapo Boiss. Forests in Southern Spain. For. Syst. 2007, 16, 222–229. [Google Scholar] [CrossRef]
- Valavi, R.; Elith, J.; Lahoz-Monfort, J.J.; Guillera-Arroita, G. Modelling Species Presence-only Data with Random Forests. Ecography 2021, 44, 1731–1742. [Google Scholar] [CrossRef]
- Ahmadi, K.; Mahmoodi, S.; Pal, S.C.; Saha, A.; Chowdhuri, I.; Nguyen, T.T.; Jarvie, S.; Szostak, M.; Socha, J.; Thai, V.N. Improving Species Distribution Models for Dominant Trees in Climate Data-Poor Forests Using High-Resolution Remote Sensing. Ecol. Model. 2023, 475, 110190. [Google Scholar] [CrossRef]
- Lissovsky, A.A.; Dudov, S.V. Species-Distribution Modeling: Advantages and Limitations of Its Application. 2. MaxEnt. Biol. Bull. Rev. 2021, 11, 265–275. [Google Scholar] [CrossRef]
- Alba-Sánchez, F.; López-Sáez, J.A.; Pando, B.B.; Linares, J.C.; Nieto-Lugilde, D.; López-Merino, L. Past and Present Potential Distribution of the Iberian Abies Species: A Phytogeographic Approach Using Fossil Pollen Data and Species Distribution Models. Divers. Distrib. 2010, 16, 214–228. [Google Scholar] [CrossRef]
- Macias, M.; Andreu, L.; Bosch, O.; Camarero, J.J.; Gutiérrez, E. Increasing Aridity Is Enhancing Silver Fir Abies alba Mill.) Water Stress in Its South-Western Distribution Limit. Clim. Chang. 2006, 79, 289–313. [Google Scholar] [CrossRef]
- Araújo, M.B.; New, M. Ensemble Forecasting of Species Distributions. Trends Ecol. Evol. 2007, 22, 42–47. [Google Scholar] [CrossRef]
- Ramirez-Reyes, C.; Nazeri, M.; Street, G.; Jones-Farrand, D.T.; Vilella, F.J.; Evans, K.O. Embracing Ensemble Species Distribution Models to Inform At-Risk Species Status Assessments. J. Fish Wildl. Manag. 2021, 12, 98–111. [Google Scholar] [CrossRef]
- Soberón, J. Grinnellian and Eltonian Niches and Geographic Distributions of Species. Ecol. Lett. 2007, 10, 1115–1123. [Google Scholar] [CrossRef] [PubMed]
- Urban, M.C.; Bocedi, G.; Hendry, A.P.; Mihoub, J.-B.; Pe’er, G.; Singer, A.; Bridle, J.R.; Crozier, L.G.; De Meester, L.; Godsoe, W.; et al. Improving the Forecast for Biodiversity under Climate Change. Science 2016, 353, aad8466. [Google Scholar] [CrossRef] [PubMed]
- Sánchez-Salguero, R.; Ortíz, C.; Covelo, F.; Ochoa, V.; García-Ruíz, R.; Seco, J.I.; Carreira, J.A.; Merino, J.Á.; Linares, J.C. Regulation of Water Use in the Southernmost European Fir (Abies pinsapo Boiss.): Drought Avoidance Matters. Forests 2015, 6, 2241–2260. [Google Scholar] [CrossRef]
- Álvarez, J.R.G.; Catalina, M.A.; Cerrillo, R.M.N.; Quintanilla, J.L.; Sánchez-Salguero, R. Los Paisajes del Pinsapo a Través del Tiempo. In Proceedings of the Los Pinsapares en Andalucía (Abies pinsapo Boiss.): Conservación y Sostenibilidad en el siglo XXI, Córdoba, Spain, 14 June 2013; pp. 111–149. [Google Scholar]
- Vitt, P.; Havens, K.; Kramer, A.T.; Sollenberger, D.; Yates, E. Assisted Migration of Plants: Changes in Latitudes, Changes in Attitudes. Biol. Conserv. 2010, 143, 18–27. [Google Scholar] [CrossRef]
- Boiffin, J.; Badeau, V.; Bréda, N. Species Distribution Models May Misdirect Assisted Migration: Insights from the Introduction of Douglas-Fir to Europe. Ecol. Appl. 2017, 27, 446–457. [Google Scholar] [CrossRef]
- Resco De Dios, V.; Fischer, C.; Colinas, C. Climate Change Effects on Mediterranean Forests and Preventive Measures. New For. 2007, 33, 29–40. [Google Scholar] [CrossRef]
- Ruiz-Labourdette, D.; Schmitz, M.F.; Pineda, F.D. Changes in Tree Species Composition in Mediterranean Mountains under Climate Change: Indicators for Conservation Planning. Ecol. Indic. 2013, 24, 310–323. [Google Scholar] [CrossRef]
- Sáenz-Romero, C.; Mendoza-Maya, E.; Gómez-Pineda, E.; Blanco-García, A.; Endara-Agramont, A.R.; Lindig-Cisneros, R.; López-Upton, J.; Trejo-Ramírez, O.; Wehenkel, C.; Cibrián-Tovar, D.; et al. Recent Evidence of Mexican Temperate Forest Decline and the Need for Ex Situ Conservation, Assisted Migration, and Translocation of Species Ensembles as Adaptive Management to Face Projected Climatic Change Impacts in a Megadiverse Country. Can. J. For. Res. 2020, 50, 843–854. [Google Scholar] [CrossRef]
- Frascella, A.; Della Rocca, G.; Barberini, S.; Emiliani, G.; Secci, S.; Lambardi, M.; Benelli, C.; Tarraf, W.; Izgu, T.; Schicchi, R. Innovative in Situ and Ex Situ Conservation Strategies of the Madonie Fir Abies Nebrodensis. Sustainability 2022, 14, 12643. [Google Scholar] [CrossRef]
- Cobo-Simón, I.; Méndez-Cea, B.; Jump, A.S.; Seco, J.; Gallego, F.J.; Linares, J.C. Understanding Genetic Diversity of Relict Forests. Linking Long-Term Isolation Legacies and Current Habitat Fragmentation in Abies pinsapo Boiss. For. Ecol. Manag. 2020, 461, 117947. [Google Scholar] [CrossRef]
- Chen, Z.; Grossfurthner, L.; Loxterman, J.L.; Masingale, J.; Richardson, B.A.; Seaborn, T.; Smith, B.; Waits, L.P.; Narum, S.R. Applying Genomics in Assisted Migration under Climate Change: Framework, Empirical Applications, and Case Studies. Evol. Appl. 2022, 15, 3–21. [Google Scholar] [CrossRef]
- Hewitt, N.; Klenk, N.; Smith, A.L.; Bazely, D.R.; Yan, N.; Wood, S.; MacLellan, J.I.; Lipsig-Mumme, C.; Henriques, I. Taking Stock of the Assisted Migration Debate. Biol. Conserv. 2011, 144, 2560–2572. [Google Scholar] [CrossRef]





| Variable | Mean Decrease Gini | ||||
|---|---|---|---|---|---|
| prc_summer | 58.45 | wb_summer | 8.08 | tmean_autumn | 2.52 |
| ai_autumn | 48.12 | tmax_spring | 7.91 | tmaxwm_annual | 2.26 |
| ai_winter | 39.92 | tmin_autumn | 7.74 | fef | 2.18 |
| ai_summer | 31.39 | wb_autumn | 6.79 | wd_autumn | 1.96 |
| ai_annual | 29.28 | wb_spring | 6.71 | sand | 1.84 |
| nfd_winter | 24.67 | tmin_annual | 6.18 | wd_summer | 1.79 |
| dp | 23.42 | nfd_autumn | 6.01 | tmax_summer | 1.79 |
| prc_autumn | 23.06 | sur_winter | 5.68 | tmean_annual | 1.74 |
| wd_spring | 2.88 | silt | 4.89 | ttr_annual | 1.69 |
| wi_annual | 22.00 | sur_autumn | 4.38 | slope | 1.53 |
| ai_spring | 18.63 | tmean_spring | 3.70 | tmean_summer | 1.49 |
| tmean_winter | 18.42 | trange_annual | 3.47 | wrc | 1.44 |
| tmin_summer | 15.32 | act_lim | 3.46 | tmax_annual | 1.34 |
| tmax_winter | 15.31 | sr_annual | 3.31 | tmeanwm_annual | 1.20 |
| sur_spring | 14.06 | soilpH | 3.12 | curvature | 1.09 |
| nfd_spring | 12.86 | cod_hid | 3.08 | nfd_summer | 1.02 |
| prc_winter | 12.85 | tmax_autumn | 2.98 | sd | 0.48 |
| dem | 11.06 | top_nitr | 2.89 | wd_winter | 0.03 |
| wb_winter | 10.87 | som | 2.83 | sur_summer | 0.00 |
| nfd_annual | 10.78 | tmin_winter | 2.81 | ||
| wb_annual | 10.59 | clay | 2.75 | ||
| prc_annual | 10.49 | wd_annual | 2.74 | ||
| tmin_spring | 8.89 | om | 2.70 | ||
| prc_spring | 8.51 | sur_annual | 2.69 | ||
| tmeancm_annual | 8.47 | tmincm_annual | 2.55 | ||
| cec | 8.32 | pbs | 2.52 |
| Model | P1 | P2 | P3 | P4 | P5 | P6 | P7 | P8 | P9 | P10 | |
|---|---|---|---|---|---|---|---|---|---|---|---|
| AUC | |||||||||||
| GLM | 0.983 | 0.988 | 0.979 | 0.962 | 0.981 | 0.98 | 0.978 | 0.979 | 0.97 | 0.974 | 0.98 |
| GBM | 0.992 | 0.988 | 0.991 | 0.972 | 0.989 | 0.988 | 0.988 | 0.989 | 0.987 | 0.987 | 0.99 |
| GAM | 0.945 | 0.953 | 0.939 | 0.898 | 0.941 | 0.96 | 0.935 | 0.936 | 0.91 | 0.96 | 0.94 |
| ANN | 0.983 | 0.978 | 0.972 | 0.959 | 0.973 | 0.973 | 0.97 | 0.967 | 0.959 | 0.97 | 0.97 |
| RF | 0.992 | 0.99 | 0.994 | 0.973 | 0.988 | 0.99 | 0.988 | 0.988 | 0.99 | 0.987 | 0.99 |
| MaxEnt | 0.937 | 0.919 | 0.912 | 0.942 | 0.541 | 0.97 | 0.906 | 0.879 | 0.892 | 0.931 | 0.89 |
| TSS | |||||||||||
| GLM | 0.913 | 0.913 | 0.908 | 0.882 | 0.908 | 0.923 | 0.908 | 0.913 | 0.903 | 0.892 | 0.91 |
| GBM | 0.903 | 0.918 | 0.913 | 0.872 | 0.918 | 0.934 | 0.923 | 0.903 | 0.918 | 0.903 | 0.91 |
| GAM | 0.832 | 0.817 | 0.827 | 0.771 | 0.817 | 0.832 | 0.822 | 0.827 | 0.776 | 0.837 | 0.82 |
| ANN | 0.893 | 0.867 | 0.836 | 0.821 | 0.842 | 0.862 | 0.862 | 0.847 | 0.831 | 0.836 | 0.85 |
| RF | 0.918 | 0.939 | 0.934 | 0.893 | 0.929 | 0.949 | 0.944 | 0.918 | 0.929 | 0.913 | 0.93 |
| MaxEnt | 0.842 | 0.812 | 0.766 | 0.776 | 0.81 | 0.852 | 0.771 | 0.735 | 0.735 | 0.806 | 0.79 |
Disclaimer/Publisher’s Note: The statements, opinions and data contained in all publications are solely those of the individual author(s) and contributor(s) and not of MDPI and/or the editor(s). MDPI and/or the editor(s) disclaim responsibility for any injury to people or property resulting from any ideas, methods, instructions or products referred to in the content. |
© 2025 by the authors. Licensee MDPI, Basel, Switzerland. This article is an open access article distributed under the terms and conditions of the Creative Commons Attribution (CC BY) license (https://creativecommons.org/licenses/by/4.0/).
Share and Cite
Ariza-Salamanca, A.J.; González-Moreno, P.; López-Quintanilla, J.B.; Navarro-Cerrillo, R.M. Predicting Optimal Sites for Ecosystem Restoration and Assisted Migration of Abies pinsapo Boiss. Using Species Distribution Modelling. Forests 2025, 16, 1805. https://doi.org/10.3390/f16121805
Ariza-Salamanca AJ, González-Moreno P, López-Quintanilla JB, Navarro-Cerrillo RM. Predicting Optimal Sites for Ecosystem Restoration and Assisted Migration of Abies pinsapo Boiss. Using Species Distribution Modelling. Forests. 2025; 16(12):1805. https://doi.org/10.3390/f16121805
Chicago/Turabian StyleAriza-Salamanca, Antonio Jesús, Pablo González-Moreno, José Benedicto López-Quintanilla, and Rafael María Navarro-Cerrillo. 2025. "Predicting Optimal Sites for Ecosystem Restoration and Assisted Migration of Abies pinsapo Boiss. Using Species Distribution Modelling" Forests 16, no. 12: 1805. https://doi.org/10.3390/f16121805
APA StyleAriza-Salamanca, A. J., González-Moreno, P., López-Quintanilla, J. B., & Navarro-Cerrillo, R. M. (2025). Predicting Optimal Sites for Ecosystem Restoration and Assisted Migration of Abies pinsapo Boiss. Using Species Distribution Modelling. Forests, 16(12), 1805. https://doi.org/10.3390/f16121805

