Differences in the Amount of Litterfall and Mercury Concentration in Litterfall Leaves of Typical Forest Ecosystems in China
Abstract
1. Introduction
2. Materials and Methods
3. Results
3.1. Differences in Litterfall Production Across Regions
3.1.1. Annual Total Litterfall Production
3.1.2. Annual Litterfall Production by Component
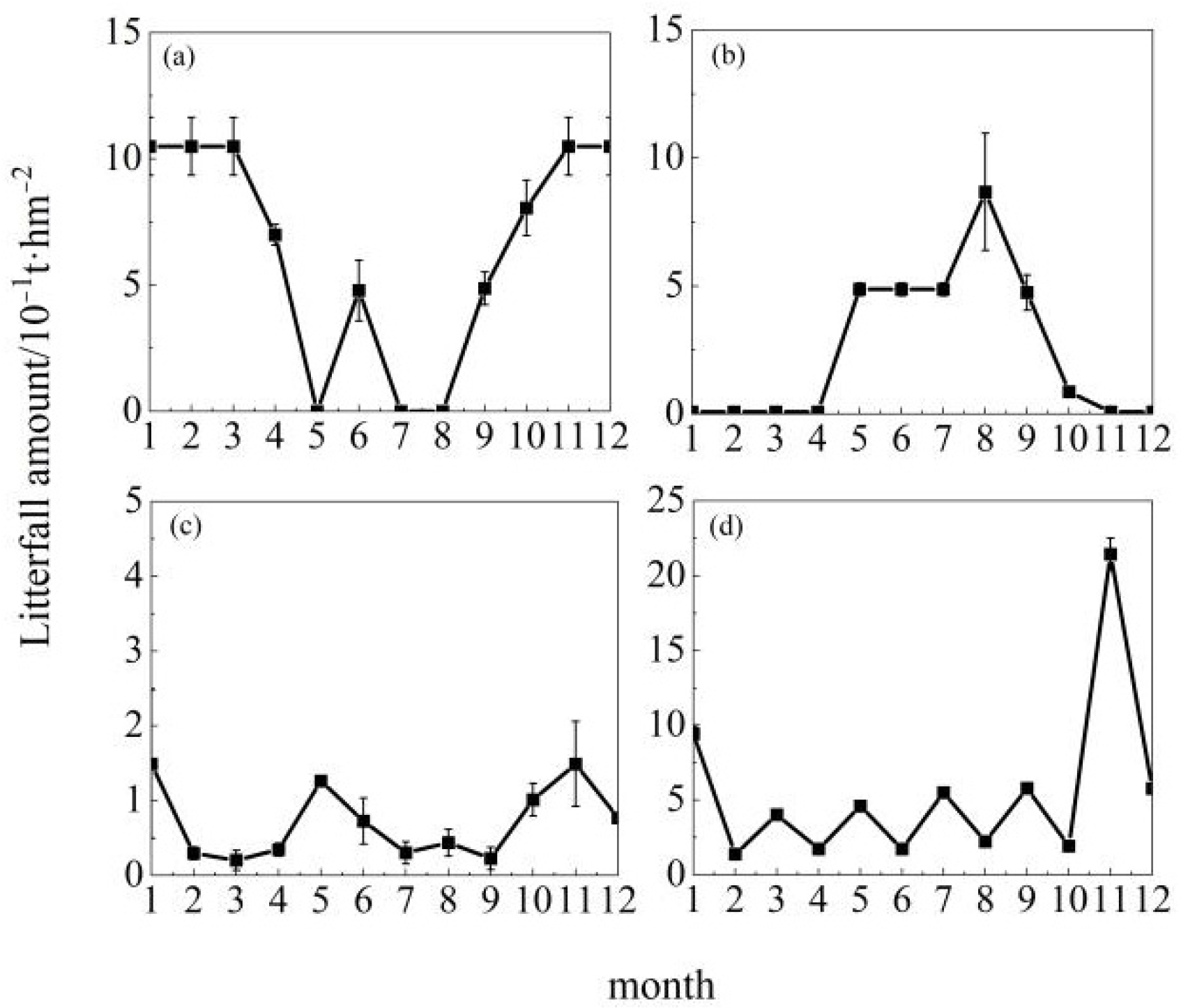
3.1.3. Monthly Dynamics of Litterfall Production
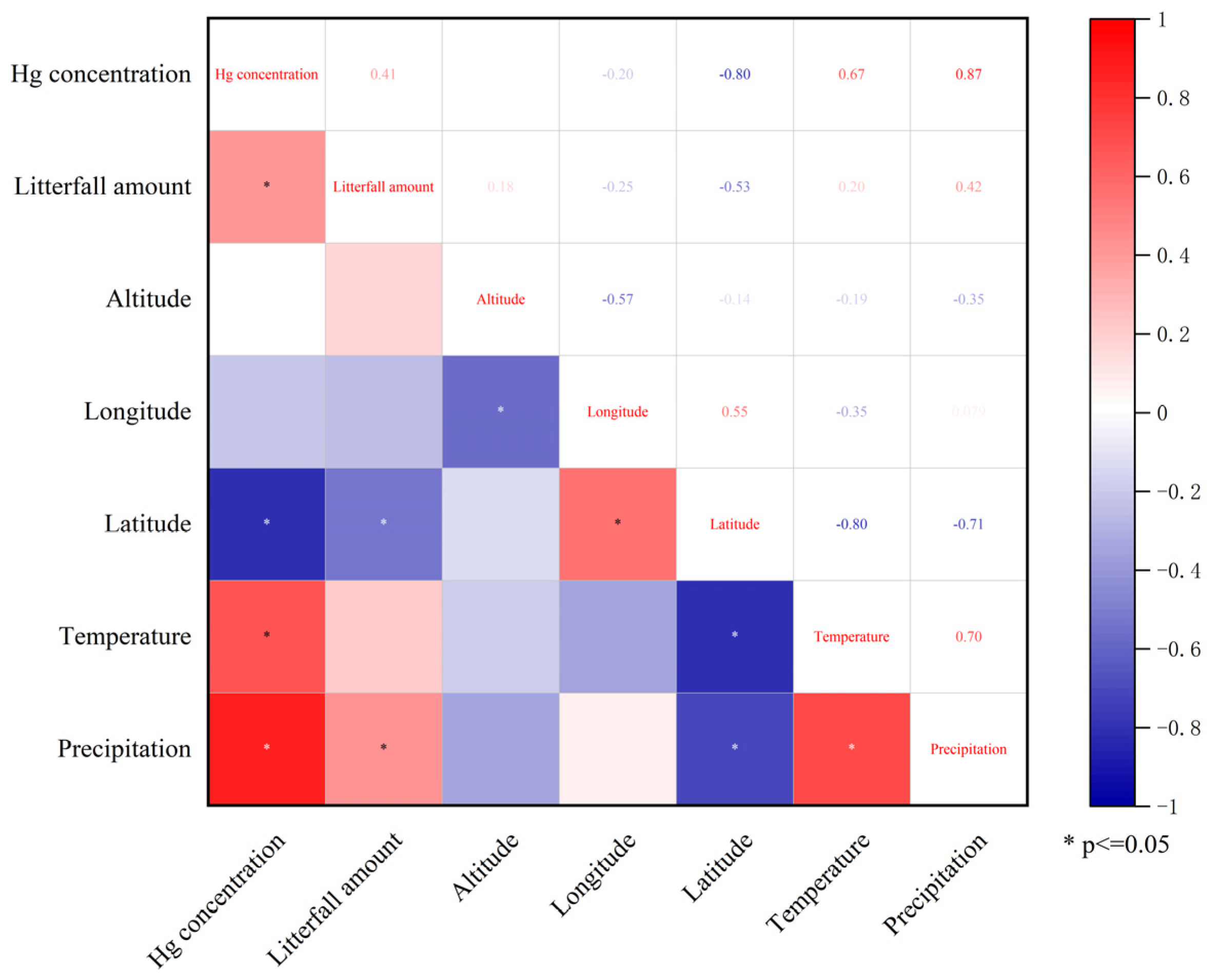
3.2. Variation in Litterfall Leaf Mercury Concentration Across Regions and Influencing Factors
4. Discussion
5. Conclusions
Author Contributions
Funding
Data Availability Statement
Acknowledgments
Conflicts of Interest
References
- Feng, X.B.; Chen, J.B.; Fu, X.W.; Hu, H.Y.; Li, P.; Qiu, G.L.; Yan, H.Y.; Yin, R.S.; Zhang, H.; Zhu, W. Progresses on Environmental Geochemistry of Mercury Bulletin of Mineralogy. Petrol. Geochem. 2013, 32, 503–530. [Google Scholar]
- Hu, Y.H. Review of Mercury Pollution Distribution Status Research at Home and Abroad. Environ. Prot. Sci. 2008, 1, 38–41. [Google Scholar]
- Li, L.; Zhou, Q.X. Atmospheric Mercury Pollution in Typical Cities of China and Its Influences on Human Health. Asian J. Ecotoxicol. 2014, 9, 832–842. [Google Scholar]
- Feng, X.B.; Wang, X.; Sun, G.Y.; Yuan, W. Research Progresses and Challenges of Mercury Biogeochemical Cycling in Global Vegetation Ecosystem. Earth Sci. 2022, 47, 4098–4107. [Google Scholar]
- Cheng, N.; Qian, G.L.; Duan, L.; Zhao, M.F.; Xiu, G.L. Correlation of Speciated Mercury with Carbonaceous Components in Atmospheric PM2. 5 in Shengsi Region. Environ. Sci. 2017, 38, 438–444. [Google Scholar]
- Wang, X.; Bao, Z.D.; Lin, C.J.; Yuan, W.; Feng, X.B. Assessment of Global Mercury Deposition through Litterfall. Environ. Sci. Technol. 2016, 50, 8548–8557. [Google Scholar] [CrossRef] [PubMed]
- Wang, X.; Yuan, W.; Feng, X.B. Global Review of Mercury Biogeochemical Processes in Forest Ecosystems. Prog. Chem. 2017, 29, 970–980. [Google Scholar]
- Niu, Z.C.; Zhang, X.S.; Wang, Z.W.; Ci, Z.J. Mercury in leaf litter in typical suburban and urban broadleaf forests in China. J. Environ. Sci. 2011, 23, 2042–2048. [Google Scholar] [CrossRef]
- Zhang, A.H.; Feng, X.B. Environmental Mercury and Arsenic Pollution and Health, 1st ed.; Hubei Science and Technology Press: Wuhan, China, 2019; pp. 12–17. [Google Scholar]
- Yang, F.H.; Yang, L.; Xu, X.F.; Shan, M.N.; Chen, Z.M.; Bao, Y.L.; Pu, Y.X. Lead, cadmium, total mercury and total arsenic contamination in real estate grains and vegetables in Inner Mongolia, 2017–2019. J. Hyg. Res. 2021, 50, 846–848. [Google Scholar]
- Pelcova, P.; Ridoskova, A.; Hrachovinova, J.; Grmela, J. Evaluation of mercury bioavailability to vegetables in the vicinity of cinnabar mine. Environ. Pollut. 2021, 283, 117092. [Google Scholar] [CrossRef]
- Sa, R.; Wang, Z.W.; Xu, Z.H.; Zhao, Q.P.; Zhang, X.S. Distribution characteristics of mercury concentration and estimation biomass mercury pools in different natural forests of Xiaoxing’an Mountain. Acta Sci. Circumstantiae 2021, 41, 4703–4709. [Google Scholar]
- Zhang, L.; Zhou, Z.F. Mercury pollution characteristics of plants and soils in different functional areas in Qingdao city. Ecol. Environ. 2008, 2, 802–806. [Google Scholar]
- Rea, A.W.; Lindberg, S.E.; Scherbatskoy, T.; Keeler, G.J. Mercury accumulation in foliage over time in two northern mixed-hardwood forests. Water Air Soil Pollut. 2002, 133, 49–67. [Google Scholar] [CrossRef]
- Laacouri, A.; Nater, E.A.; Kolka, R.K. Distribution and uptake dynamics of mercury in leaves of common deciduous tree species in Minnesota, U.S.A. Environ. Sci. Technol. 2013, 47, 10462–10470. [Google Scholar] [CrossRef]
- Ericksen, J.A.; Gustin, M.S. Foliar exchange of mercury as a function of soil and air mercury concentrations. Sci. Total Environ. 2004, 324, 271–279. [Google Scholar] [CrossRef]
- Niu, Z.C.; Zhang, X.S.; Wang, S.; Ci, Z.J.; Kong, X.R.; Wang, Z.W. The linear accumulation of atmospheric mercury by vegetable and grass leaves: Potential biomonitors for atmospheric mercury pollution. Environ. Sci. Pollut. Res. 2013, 20, 6337–6343. [Google Scholar] [CrossRef]
- Ericksen, J.A.; Gustin, M.S.; Schorran, D.E.; Johnson, D.W.; Lindberg, S.E.; Coleman, J.S. Accumulation of atmospheric mercury in forest foliage. Atmos. Environ. 2003, 37, 1613–1622. [Google Scholar] [CrossRef]
- Davis, D.D.; Mcclenahen, J.R.; Hutnik, J.R. Selection of a biomonitor to evaluate mercury levels in forests of Pennsylvania. Northeast. Nat. 2002, 9, 183–192. [Google Scholar] [CrossRef]
- Hou, L.L.; Mao, Z.J.; Sun, T.; Song, Y. Dynamic of litterfall in ten typical community types of Xiaoxing’an Mountain, China. Acta Ecol. Sin. 2013, 33, 1994–2002. [Google Scholar] [CrossRef]
- Yun, L.L.; Zhang, H.D.; Yi, D.; Huang, X. Dynamics and decomposition characteristics of litter of two typical forest species. Liaoning For. Sci. Technol. 2024, 3, 11–16+68. [Google Scholar]
- Zhu, B.K. The Dynamic of Litterfalls in Broad-Leaved Korean Pine Mixed Forest in Changbai Mountain. Master’s Thesis, Northeast Normal University, Jilin, China, 2019. [Google Scholar]
- Zhang, Y.D.; Liu, Y.C.; Gu, F.X.; Guo, M.M.; Miu, N.; Liu, S.R. Litter composition and its dynamic in five main forest types in subalpine areas of west Sichuan, China. Acta Ecol. Sin. 2019, 39, 502–508. [Google Scholar] [CrossRef]
- Pang, M.L.; Zhu, C.G.; Zhai, C.B.; Qu, Y. Water-holding Capacity of Litter and Soil in Three Kinds of Soil and Water Conservation Forests in Taihang Mountains of Hebei Province. Bull. Soil Water Conserv. 2017, 37, 51–56. [Google Scholar]
- Gong, Y.T. The Litter Storage Capacity and Water—holding Characteristics of 5 Typical Forests in Baihua Mountain. For. Resour. Manag. 2019, 3, 113–117+146. [Google Scholar]
- Zhang, X.P.; Wang, X.P.; Zhu, B.; Zong, Z.J.; Peng, C.H.; Fang, J.Y. Litterfall Production in Relation to Environmental Factors in Northeast Chnia’s Forests. J. Plant Ecol. 2008, 32, 1031–1040. [Google Scholar]
- Deng, X.X.; Wang, Z.C.; Li, C.; Guo, H.; Jin, K.C. Seasonal dynamics of the litter fall production of evergreen broadleaf forest and its relationships with meteorological factors at Tiantong of Zhejiang province. J. Cent. South Univ. For. Technol. 2017, 37, 73–78. [Google Scholar]
- Yuan, Z.Q.; Li, B.H.; Bai, X.J.; Lin, F.; Shi, S.; Ye, J.; Wang, X.G.; Hao, Z.Q. Composition and seasonal dynamics of litter falls in a broad-leaved Koraen pine (Pinus koraiensis) mixed forest in Chnagbai Mountains, Northeast China. Chin. J. Appl. Ecol. 2010, 21, 2171–2178. [Google Scholar]
- Wang, F.Y. Review on the study of the forest litter fall. Adv. Ecol. 1989, 6, 82–89. [Google Scholar]
- Li, X.C. Leaffall Phenology and Patterns of 22 Evergreen Woody Species in Subtropical Evergreen Forest in Tiantong Zhejiang, China. Master’s Thesis, Zhejiang Normal University, Zhejiang, China, 2014. [Google Scholar]
- Zong, H.; Yao, Y.N.; Liu, L.; Zhang, L. Accumulation amounts and water holding characteristics of litter in the typical 8 tree species of Linpan settlements in the western Sichuan Plain. Ecol. Sci. 2024, 43, 18–26. [Google Scholar]
- Da, A.; Han, H.R.; Li, H.Y.; Wu, H.F.; Cheng, X.Q. Plant-litter-soil stoichiometric characteristics of typical plantation forests and their interaction in loess hilly and gully region. Sci. Soil Water Conserv. 2024, 22, 119–128. [Google Scholar]
- Wang, J.L.; Tao, L.; Lv, Z.W. Study on the characteristic of litterfall of Picea likiangensis var. linzhiensis forest in Tibet. Acta Phytoecol. Sin. 1998, 22, 566–570. [Google Scholar]
- Cao, S.Z. Optimization of Anthropogenic Atmospheric Mercury Emission Inventory and Evaluation of Co-benefit Control Effectiveness in China. Master’s Thesis, Nanjing University, Nanjing, China, 2021. [Google Scholar]
- Zheng, X.; Qian, H.D.; Wu, X.M. Geochemical and Genetic Characteristics of Selenium Ore Deposit in Shuanghe, Enshi, Hubei Province. Geol. J. China Univ. 2006, 1, 83–92. [Google Scholar]
- Li, J. Spatial Distribution Characteristics and Influencing Factors of Total Mercury in Picea Schrenkiana Forests in Tianshan Mountains. Master’s Thesis, Xinjiang University, Xinjiang, China, 2020. [Google Scholar]
- Yang, G.; Sun, T.; An, S.W.; Ma, M. Mercury Release Flux and Its Influencing Factors Under Four Typical Vegetation Covers at Jinyun Mountain, Chongqing. Environ. Sci. 2017, 38, 4774–4781. [Google Scholar]
- Fleck, J.A.; Grigal, D.F.; Nater, E.A. Mercury Uptake by Trees: An Observational Experiment. Water Air Soil Pollut. 1999, 115, 513–523. [Google Scholar] [CrossRef]
- Li, X.; Li, J.; Wang, X.; Yuan, W.; Zhang, Y.T.; Chang, S.L. Spatial and Temporal Variations of Leaf Mercury Concentration in Urumqi: Implications of Environmental Significance. Earth Environ. 2022, 50, 360–367. [Google Scholar]
- Wang, Q.; Wang, Y.J.; Zhou, L.M.; Zheng, X.M. Temporal and spatial characteristics of mercury concentrations in leaves of common deciduous tree species in parks of Shanghai and its environmental implications. Environ. Chem. 2021, 40, 232–239. [Google Scholar]
- Khwaja, A.R.; Bloom, P.R.; Brezonik, P.L. Binding constants of divalent mercury (Hg2+) in soil humic acids and soil organic matter. Environ. Sci. Technol. 2006, 40, 844–849. [Google Scholar] [CrossRef]
- Zhang, Y.Y.; Xiu, G.L.; Zhang, D.N.; Zhang, M.G.; Zhang, R.J. Total gaseous mercury in ambient air of shanghai: Its seasonal variation in relation to meteorological condition. Environ. Sci. Technol. 2011, 35, 155–158+255. [Google Scholar]






| The Name of Sampling Area (Forest Ecological Station) | Species | Location Coordinates | Average Annual Temperature/°C | Average Annual Precipitation/mm | ||
|---|---|---|---|---|---|---|
| Longitude /°E | Latitude /°N | Altitude /m | ||||
| Gansu Bailongjiang | Metasequoia glyptostroboides Hu & W. C. | 104.151 | 33.703 | 2375.0 | 4.84 | 744.50 |
| Gansu Qilian Mountain | Metasequoia glyptostroboides Hu & W. C. | 100.288 | 38.567 | 2727.2 | 7.47 | 134.36 |
| Guangdong Dongjiangyuan | Cunninghamia lanceolata (Lamb.) Hook. | 114.543 | 23.823 | 541.0 | 22.22 | 1383.00 |
| Henan Jigong Mountain | Cunninghamia lanceolata (Lamb.) Hook. | 114.087 | 31.866 | 406.0 | 16.95 | 1589.97 |
| Hubei Enshi | Liriodendron chinense (Hemsl.) Sarg. | 108.953 | 29.932 | 1389.7 | 17.03 | 1755.39 |
| Jiangxi Dagangshan | Cunninghamia lanceolata (Lamb.) Hook. | 114.570 | 27.576 | 280.0 | 18.87 | 1925.74 |
| Yunnan Dianzhong Plateaus | Pinus yunnanensis Franch. | 102.745 | 25.150 | 2153.7 | 16.62 | 955.68 |
| Jilin Changbai Mountain | Abies nephrolepis (Trautv. ex Maxim.) | 128.186 | 42.090 | 1201.4 | 5.80 | 710.37 |
| Shandong Taishan | Pinus densiflora Siebold & Zucc. | 117.335 | 36.113 | 740.0 | 12.31 | 980.28 |
| Liaoning Liaodong Peninsula | Pinus densiflora Siebold & Zucc. | 123.903 | 40.868 | 221.0 | 8.83 | 946.20 |
| Shaanxi Huanglongshan | Pinus tabuliformis Carrière | 109.829 | 35.754 | 1252.0 | 10.85 | 567.53 |
| Inner Mongolia Saihan Ula | Quercus mongolica Fisch. ex Ledeb. | 118.300 | 43.983 | 1255.0 | 6.78 | 445.31 |
| Jilin Songjiangyuan | Quercus mongolica Fisch. ex Ledeb. | 125.318 | 43.864 | 360.0 | 6.47 | 733.75 |
| Heilongjiang Nenjiangyuan | Betula platyphylla Sukaczev | 125.131 | 51.128 | 455.4 | −0.24 | 611.35 |
| Xinjiang Tarim River Huyanglin | Populus euphratica Oliv. | 84.200 | 41.200 | 878.7 | 8.78 | 63.66 |
| Area | Component Litterfall Amount/(t·hm−2·a−1) (Data in Total Litterfall Amount in Percentages/%) | ||||
|---|---|---|---|---|---|
| Leaf | Branch | Bark | Reproductive Organs | Others | |
| Gansu Bailongjiang | 5.24 (67.49) | 2.36 (30.60) | 0 (0) | 0.08 (1.08) | 0.03 (0.38) |
| Gansu Qilian Mountain | 2.45 (81.14) | 0.19 (6.21) | 0.19 (6.42) | 0.12 (3.93) | 0.07 (2.31) |
| Guangdong Dongjiangyuan | 3.10 (69.85) | 0.46 (10.44) | 0 (0) | 0.31 (6.89) | 0.57 (12.82) |
| Henan Jigong Mountain | 4.66 (71.14) | 0.63 (9.65) | 0 (0) | 1.12 (17.10) | 0.14 (2.11) |
| Hubei Enshi | 2.01 (72.66) | 0.29 (10.41) | 0 (0) | 0.43 (15.44) | 0.04 (1.50) |
| Jiangxi Dagangshan | 0.65 (45.58) | 0.29 (20.70) | 0.03 (2.02) | 0.41 (29.16) | 0.04 (2.54) |
| Yunnan Dianzhong Plateaus | 2.26 (50.04) | 0.33 (7.34) | 0.33 (7.31) | 0.34 (7.51) | 1.25 (27.80) |
| Jilin Changbai Mountain | 1.33 (48.52) | 0.35 (12.77) | 0.35 (12.77) | 0.71 (25.94) | 0 (0) |
| Shandong Taishan | 2.28 (48.09) | 1.42 (29.89) | 0.15 (3.07) | 0.46 (9.71) | 0.44 (9.24) |
| Liaoning Liaodong Peninsula | 6.29 (73.40) | 0.45 (5.20) | 0.53 (6.17) | 0.92 (10.76) | 0.38 (4.47) |
| Shaanxi Huanglongshan | 5.41 (83.08) | 0.60 (9.15) | 0.03 (0.43) | 0.12 (1.91) | 0.35 (5.43) |
| Inner Mongolia Saihan Ula | 1.62 (64.44) | 0.32 (12.79) | 0 (0) | 0.17 (6.71) | 0.40 (16.06) |
| Jilin Songjiangyuan | 2.61 (89.11) | 0.28 (9.55) | <0.01 (0.08) | 0.04 (1.20) | <0.01 (0.06) |
| Heilongjiang Nenjiangyuan | 4.03 (61.70) | 2.28 (34.88) | 0.01 (0.08) | 0.11 (1.69) | 0.11 (1.66) |
| Xinjiang Tarim River | 0.96 (87.19) | 0.07 (6.47) | 0 (0) | 0.05 (4.90) | 0.02 (1.45) |
Disclaimer/Publisher’s Note: The statements, opinions and data contained in all publications are solely those of the individual author(s) and contributor(s) and not of MDPI and/or the editor(s). MDPI and/or the editor(s) disclaim responsibility for any injury to people or property resulting from any ideas, methods, instructions or products referred to in the content. |
© 2025 by the authors. Licensee MDPI, Basel, Switzerland. This article is an open access article distributed under the terms and conditions of the Creative Commons Attribution (CC BY) license (https://creativecommons.org/licenses/by/4.0/).
Share and Cite
Han, S.; Zhang, J.; He, R.; Liu, D.; Niu, X.; Wang, B.; Wang, Z. Differences in the Amount of Litterfall and Mercury Concentration in Litterfall Leaves of Typical Forest Ecosystems in China. Forests 2025, 16, 1594. https://doi.org/10.3390/f16101594
Han S, Zhang J, He R, Liu D, Niu X, Wang B, Wang Z. Differences in the Amount of Litterfall and Mercury Concentration in Litterfall Leaves of Typical Forest Ecosystems in China. Forests. 2025; 16(10):1594. https://doi.org/10.3390/f16101594
Chicago/Turabian StyleHan, Shuyu, Jingwei Zhang, Ran He, Donghuan Liu, Xiang Niu, Bing Wang, and Zhangwei Wang. 2025. "Differences in the Amount of Litterfall and Mercury Concentration in Litterfall Leaves of Typical Forest Ecosystems in China" Forests 16, no. 10: 1594. https://doi.org/10.3390/f16101594
APA StyleHan, S., Zhang, J., He, R., Liu, D., Niu, X., Wang, B., & Wang, Z. (2025). Differences in the Amount of Litterfall and Mercury Concentration in Litterfall Leaves of Typical Forest Ecosystems in China. Forests, 16(10), 1594. https://doi.org/10.3390/f16101594
