DIC-Based Crack Mode Identification and Constitutive Modeling of Magnesium-Based Wood-like Materials Under Uniaxial Compression
Abstract
1. Introduction
2. Materials and Experiments
2.1. Material Preparation and Specimen Fabrication
2.2. Uniaxial Compression Test
2.2.1. DIC System
2.2.2. Loading Configuration
3. Results and Discussion
3.1. Experimental Phenomena and Results
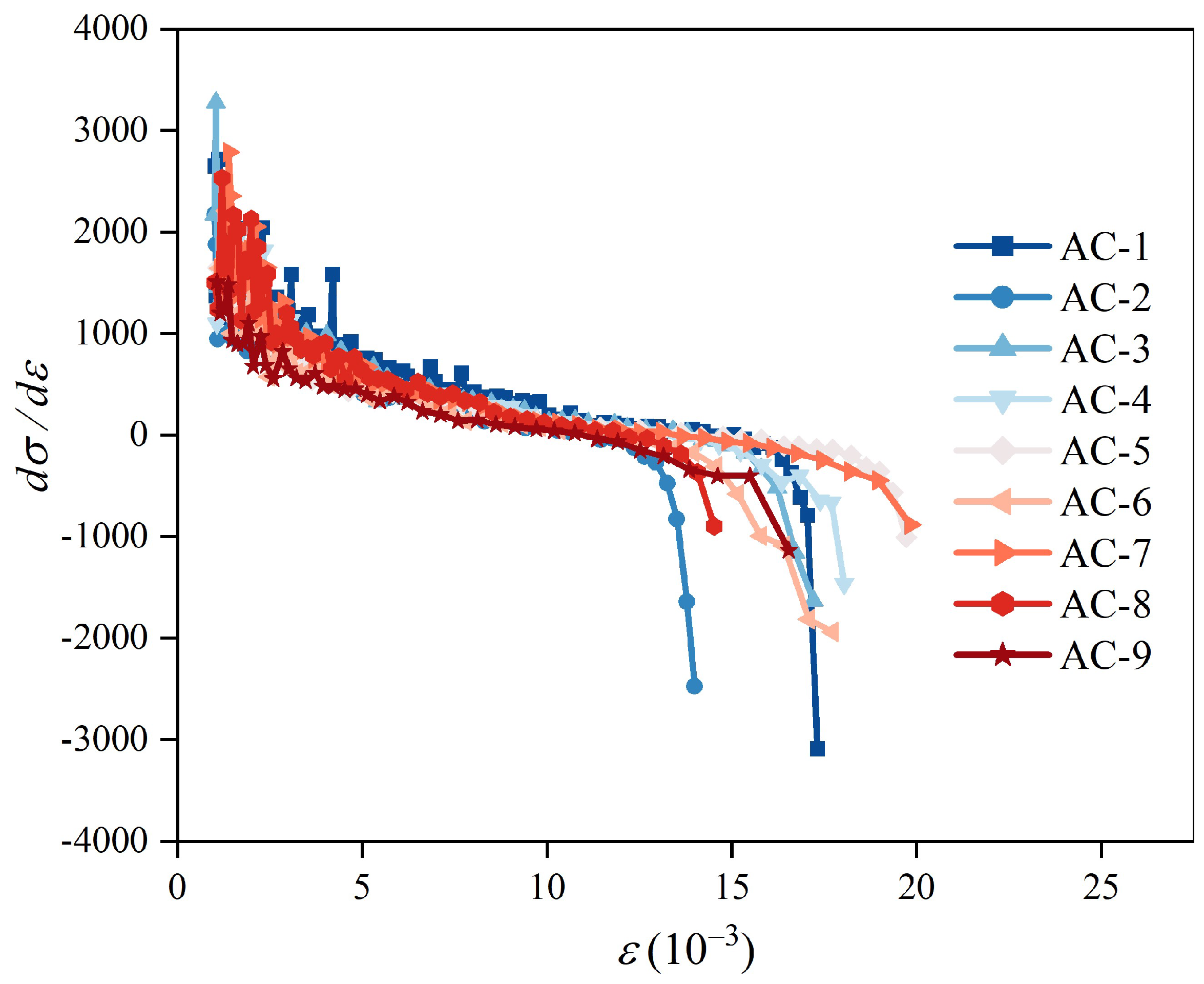
3.2. Stress–Strain Response
3.3. Crack Mode Identification and Evolution
4. Conclusions
Author Contributions
Funding
Data Availability Statement
Acknowledgments
Conflicts of Interest
References
- Dinga, C.D.; Wen, Z. China’s green deal: Can China’s cement industry achieve carbon neutral emissions by 2060? Renew. Sustain. Energy Rev. 2022, 155, 111931. [Google Scholar] [CrossRef]
- Zhang, C.; Yu, B.; Chen, J.; Wei, Y. Green transition pathways for cement industry in China. Resour. Conserv. Recycl. 2021, 166, 105355. [Google Scholar] [CrossRef]
- Lu, H.; You, K.; Feng, W.; Zhou, N.; Fridley, D.; Price, L. Reducing China’s building material embodied emissions: Opportunities and challenges to achieve carbon neutrality in building materials. iScience 2024, 27, 109028. [Google Scholar] [CrossRef] [PubMed]
- Xiong, M.; Huang, J.; He, X.; Zhou, Z.; Qu, X.; Faisal, S.; Abomohra, A. Evaluation of bio-oil/biodiesel production from co-pyrolysis of corn straw and natural hair: A new insight towards energy recovery and waste biorefinery. Fuel 2023, 331, 125710. [Google Scholar] [CrossRef]
- Cui, S.; Song, Z.; Zhang, L.; Shen, Z.; Hough, R.; Zhang, Z.; An, L.; Fu, Q.; Zhao, Y.; Jia, Z. Spatial and temporal variations of open straw burning based on fire spots in northeast China from 2013 to 2017. Atmos Environ. 2021, 244, 117962. [Google Scholar] [CrossRef]
- Guo, L.; Zhao, J. Effect of burning straw in rural areas on ecological environment quality. Arab. J. Geosci. 2021, 14, 1357. [Google Scholar] [CrossRef]
- Zhong, J.; Liu, P.; Mo, L.; Lu, D.; Peng, S. Recycling MgO from the waste magnesium oxychloride cement (MOC): Properties, CO2 footprint and reuse in MOC. J. Clean. Prod. 2023, 415, 137782. [Google Scholar] [CrossRef]
- Harmaji, A.; Febrina, E.; Putri, S.A. PROPERTIES AND CHARACTERIZATION OF MAGNESIUM OXYCHLORIDE CEMENT AS CARBON CAPTURE MATERIAL. ASEAN Eng. J. 2023, 13, 113–117. [Google Scholar] [CrossRef]
- Venkatesh, V.; Shanmugasundaram, M. Enhancement of mechanical and microstructural characteristics of magnesium oxychloride cement with metasteatite. Case Stud. Constr. Mat. 2024, 21, e03683. [Google Scholar] [CrossRef]
- Li, K.; Wang, Y.; Yao, N.; Zhang, A. Recent progress of magnesium oxychloride cement: Manufacture, curing, structure and performance. Constr. Build. Mater. 2020, 255, 119381. [Google Scholar] [CrossRef]
- Ruan, S.; Unluer, C. Comparative life cycle assessment of reactive MgO and Portland cement production. J. Clean. Prod. 2016, 137, 258–273. [Google Scholar] [CrossRef]
- Li, C.; Chen, H.; Zhang, H.; Marrow, T.J. Experimental investigation on mode-I fracture properties of magnesium-based wood-like material using DIC technique. J. Build. Eng. 2024, 97, 110742. [Google Scholar] [CrossRef]
- Li, C.; Chen, H.; Zhang, H.; Marrow, T.J. Mechanical properties of magnesium-based wood-like material subjected to splitting tensile tests. Case Stud. Constr. Mat. 2024, 20, e02955. [Google Scholar] [CrossRef]
- Li, Y.; Zhang, H.; Fang, Q.; Yu, T.; Yang, J.; Li, W. Optimization of mechanical properties and water resistance of sawdust-magnesium oxychloride cement composites based on orthogonal tests. Constr. Build. Mater. 2024, 439, 137300. [Google Scholar] [CrossRef]
- Yang, J.; Zhang, H.; Yu, T.; Zheng, Y.; Sun, K. Study on the modification mechanism of modifiers on the properties of sawdust-magnesium oxychloride cement composite. Constr. Build. Mater. 2022, 344, 128172. [Google Scholar] [CrossRef]
- Wu, S.; Fang, Q.; Zhang, H.; Yang, J.; Zhou, Z. Effect of modifiers on the properties of bamboo scraps/magnesium oxychloride composites under dry-wet cycling environments. Case Stud. Constr. Mat. 2024, 21, e03504. [Google Scholar] [CrossRef]
- He, H.; Zhang, H.; Yang, J.; Fan, Z.; Chen, W. Effect of pressing pressure on the mechanical properties and water resistance of straw/sawdust-magnesium oxychloride cement composite. Constr. Build. Mater. 2023, 383, 131362. [Google Scholar] [CrossRef]
- Feng, P.; Zhang, H.; Fang, Q.; Qin, Y.; Ning, P. Compression behavior of CFRP strengthened sawdust-magnesium oxychloride composites columns subjected to eccentric loading. Constr. Build. Mater. 2024, 457, 139355. [Google Scholar] [CrossRef]
- Li, C.; Cai, J.; Chen, X.; Lam, J.F.; Chen, H. Quantifying fracture process zone evolution in magnesium-based wood-like material: Analysis based on digital image correlation and variation factor method. Case Stud. Constr. Mat. 2025, 22, e04803. [Google Scholar] [CrossRef]
- Li, C.; Cai, J.; Lam, J.F.I.; Kuang, K.; Chen, H. Quantitative fracture characterization and damage evolution mechanisms of MWM under splitting tension. Results Eng. 2025, 27, 106777. [Google Scholar] [CrossRef]
- Chen, H.; Liu, D. Fracture and damage properties of high-strength concrete under cyclic loading. Constr. Build. Mater. 2022, 360, 129494. [Google Scholar] [CrossRef]
- Pour, A.F.; Nguyen, G.D.; Vincent, T.; Ozbakkaloglu, T. Investigation of the compressive behavior and failure modes of unconfined and FRP-confined concrete using digital image correlation. Compos. Struct. 2020, 252, 112642. [Google Scholar] [CrossRef]
- Liu, L.; Li, H.; Li, X.; Wu, D.; Zhang, G. Underlying mechanisms of crack initiation for granitic rocks containing a single pre-existing flaw: Insights from digital image correlation (DIC) analysis. Rock. Mech. Rock. Eng. 2021, 54, 857–873. [Google Scholar] [CrossRef]
- He, X.; Zhou, R.; Liu, Z.; Yang, S.; Chen, K.; Li, L. Review of research progress and development trend of digital image correlation. Multidiscip. Model. Mater. Struct. 2024, 20, 81–114. [Google Scholar] [CrossRef]
- Oats, R.C.; Dai, Q.; Head, M. Digital image correlation advances in structural evaluation applications: A review. Pract. Period. Struct. 2022, 27, 3122007. [Google Scholar] [CrossRef]
- Yang, L.; Xie, X.; Zhu, L.; Wu, S.; Wang, Y. Review of electronic speckle pattern interferometry (ESPI) for three dimensional displacement measurement. Chin. J. Mech. Eng. 2014, 27, 1–13. [Google Scholar] [CrossRef]
- Nasir, V.; Ayanleye, S.; Kazemirad, S.; Sassani, F.; Adamopoulos, S. Acoustic emission monitoring of wood materials and timber structures: A critical review. Constr. Build. Mater. 2022, 350, 128877. [Google Scholar] [CrossRef]
- Tang, Y.; Chen, H.; Xiao, J. Size effects on the characteristics of fracture process zone of plain concrete under three-point bending. Constr. Build. Mater. 2022, 315, 125725. [Google Scholar] [CrossRef]
- GB/T 50081-2019; Ministry of Housing and Urban-Rural Development of the People’s Republic of China. Standard for Test Methods of Concrete Physical And Mechanical Properties. China Architecture & Building Press Beijing: Beijing, China, 2019.
- Kashfuddoja, M.; Ramji, M. Whole-field strain analysis and damage assessment of adhesively bonded patch repair of CFRP laminates using 3D-DIC and FEA. Compos. Part. B Eng. 2013, 53, 46–61. [Google Scholar] [CrossRef]
- Chen, H.; Liu, D. Fracture process zone of high-strength concrete under monotonic and cyclic loading. Eng. Fract. Mech. 2023, 277, 108973. [Google Scholar] [CrossRef]
- Tang, Y.; Xiao, J.; Zhang, H.; Duan, Z.; Xia, B. Mechanical properties and uniaxial compressive stress-strain behavior of fully recycled aggregate concrete. Constr. Build. Mater. 2022, 323, 126546. [Google Scholar] [CrossRef]
- Biswas, B.N.; Chatterjee, S.; Mukherjee, S.P.; Pal, S. A discussion on Euler method: A review. Electron. J. Math. Anal. Appl. 2013, 1, 2090–2792. [Google Scholar] [CrossRef]
- Jiao, C.; Li, S.; Gan, Y. Experimental research on stress-strain full curves of waste glass powder concrete under uniaxial compression. J. Southeast. Univ. Nat. Sci. Ed. 2020, 50, 222–230. [Google Scholar]
- Chen, J.; Jia, J.; Zhu, M. Research and application of aggregate interlocking concrete: A review. J. Clean. Prod. 2024, 449, 141746. [Google Scholar] [CrossRef]
- Liu, Y.; Zhang, H.; Wu, Q.; Liu, H.; Zhang, X.; Jiang, T.; Zhang, Y. Preliminary Experimental Investigation on Mechanical Properties of Similar Wood Material. J. Guizhou Univ. (Nat. Sci.) 2018, 35, 106–112. [Google Scholar] [CrossRef]
- Yang, J.; Zhang, H.; Yu, T.; Sun, K.; Zheng, Y. Constitutive relationships and acoustic emission behavior of plant-fiber/magnesium oxychloride cement composites under uniaxial compressive load. Constr. Build. Mater. 2023, 404, 133194. [Google Scholar] [CrossRef]
- Carreira, D.J.; Chu, K. Stress-strain relationship for plain concrete in compression. ACI J. 1985, 82, 797–804. [Google Scholar]
- Mansur, M.A.; Chin, M.S.; Wee, T.H. Stress-strain relationship of high-strength fiber concrete in compression. J. Mater. Civil. Eng. 1999, 11, 21–29. [Google Scholar] [CrossRef]
- Guo, Z.H.; Zhang, X.Q.; Zhang, D.C.; Wang, R.Q. Experimental investigation of the complete stress-strain curve of concrete. J. Build. Struct. 1982, 3, 1–12. [Google Scholar]
- Broberg, K.B. Differences between mode I and mode II crack propagation. Pure Appl. Geophys. 2006, 163, 1867–1879. [Google Scholar] [CrossRef]
- Zhou, L.; Sarfarazi, V.; Haeri, H.; Ebneabbasi, P.; Fatehi Marji, M.; Hassannezhad Vayani, M. A new approach for measurement of the fracture toughness using the edge cracked semi-cylinder disk (ECSD) concrete specimens. Mech. Based Des. Struc 2023, 51, 2896–2917. [Google Scholar] [CrossRef]
- Bobet, A.; Einstein, H.H. Fracture coalescence in rock-type materials under uniaxial and biaxial compression. Int. J. Rock. Mech. Min. 1998, 35, 863–888. [Google Scholar] [CrossRef]
- Park, C.H.; Bobet, A. Crack coalescence in specimens with open and closed flaws: A comparison. Int. J. Rock. Mech. Min. 2009, 46, 819–829. [Google Scholar] [CrossRef]
- Wong, L.; Einstein, H.H. Crack coalescence in molded gypsum and Carrara marble: Part 1. Macroscopic observations and interpretation. Rock. Mech. Rock. Eng. 2009, 42, 475–511. [Google Scholar] [CrossRef]
- Pirzada, T.J.; Liu, D.; Ell, J.; Barnard, H.; Šulák, I.; Galano, M.; Marrow, T.J.; Ritchie, R.O. In situ observation of the deformation and fracture of an alumina-alumina ceramic-matrix composite at elevated temperature using x-ray computed tomography. J. Eur. Ceram. Soc. 2021, 41, 4217–4230. [Google Scholar] [CrossRef]



















| Light-Burned MgO (wt%) | Mechanical Properties | ||
|---|---|---|---|
| Parameter | Value | Parameter | Value |
| MgO | 91.09% | Tensile strength fts (MPa) | 1.79 |
| SiO2 | 5.77% | Elastic modulus E (GPa) | 2.21 |
| CaO | 2.00% | Poisson’s ratio ν | 0.21 |
| Al2O3 | 0.58% | Crack initiation toughness KIcini (MPa·m1/2) | 0.29 |
| Fe2O3 | 0.29% | Unstable fracture toughness KIcun (MPa·m1/2) | 0.81 |
| Others | <0.27% | Fracture energy Gf (N·m−1) | 709.25 |
| Specimen | Contact Area/[mm2] | Peak Load /[kN] | Compressive Strength/[MPa] | Average Strength/[MPa] | Standard Deviation/[MPa] |
|---|---|---|---|---|---|
| AC-1 | 101.28 × 103.50 | 102.48 | 9.29 | 8.76 | 0.33 |
| AC-2 | 101.75 × 101.04 | 98.08 | 9.06 | ||
| AC-3 | 101.46 × 100.40 | 91.04 | 8.49 | ||
| AC-4 | 101.46 × 103.06 | 96.75 | 8.79 | ||
| AC-5 | 101.01 × 101.67 | 92.98 | 8.60 | ||
| AC-6 | 100.85 × 102.03 | 88.58 | 8.18 | ||
| AC-7 | 101.54 × 101.44 | 97.62 | 9.00 | ||
| AC-8 | 104.15 × 99.47 | 97.76 | 8.96 | ||
| AC-9 | 105.06 × 98.55 | 92.56 | 8.49 |
| Specimen | E/[GPa] | Average (E)/[GPa] | Standard Deviation (E)/[GPa] |
|---|---|---|---|
| E1 | 1.846 | 2.210 | 0.279 |
| E2 | 2.605 | ||
| E3 | 2.317 | ||
| E4 | 2.342 | ||
| E5 | 1.943 |
| Specimen | Crack Mode | e1 Before Crack Initiation | eτ Before Crack Initiation | Macro-Crack Initiation Load |
|---|---|---|---|---|
| AC-1 | mode I | 0.0292 | - | ≈ Pmax |
| AC-2 | mode I/II | 0.0106 | 0.0079 | 89.25% Pmax |
| AC-3 | mode I | 0.0310 | - | ≈Pmax |
| AC-4 | mode I | 0.0286 | - | ≈Pmax |
| AC-5 | mode I | 0.0298 | - | ≈Pmax |
| AC-6 | mode I/II | 0.0112 | 0.0074 | 92.13% Pmax |
| AC-7 | mode I/II | 0.0095 | 0.0085 | 87.58% Pmax |
| AC-8 | mode I/II | 0.0109 | 0.0072 | 91.14% Pmax |
| AC-9 | mode I | 0.0306 | - | ≈Pmax |
Disclaimer/Publisher’s Note: The statements, opinions and data contained in all publications are solely those of the individual author(s) and contributor(s) and not of MDPI and/or the editor(s). MDPI and/or the editor(s) disclaim responsibility for any injury to people or property resulting from any ideas, methods, instructions or products referred to in the content. |
© 2025 by the authors. Licensee MDPI, Basel, Switzerland. This article is an open access article distributed under the terms and conditions of the Creative Commons Attribution (CC BY) license (https://creativecommons.org/licenses/by/4.0/).
Share and Cite
Li, C.; Kuang, K.; Yang, H.; Chen, H.; Cai, J.; Lam, J.F.I. DIC-Based Crack Mode Identification and Constitutive Modeling of Magnesium-Based Wood-like Materials Under Uniaxial Compression. Forests 2025, 16, 1542. https://doi.org/10.3390/f16101542
Li C, Kuang K, Yang H, Chen H, Cai J, Lam JFI. DIC-Based Crack Mode Identification and Constitutive Modeling of Magnesium-Based Wood-like Materials Under Uniaxial Compression. Forests. 2025; 16(10):1542. https://doi.org/10.3390/f16101542
Chicago/Turabian StyleLi, Chunjie, Kaicong Kuang, Huaxiang Yang, Hongniao Chen, Jun Cai, and Johnny F. I. Lam. 2025. "DIC-Based Crack Mode Identification and Constitutive Modeling of Magnesium-Based Wood-like Materials Under Uniaxial Compression" Forests 16, no. 10: 1542. https://doi.org/10.3390/f16101542
APA StyleLi, C., Kuang, K., Yang, H., Chen, H., Cai, J., & Lam, J. F. I. (2025). DIC-Based Crack Mode Identification and Constitutive Modeling of Magnesium-Based Wood-like Materials Under Uniaxial Compression. Forests, 16(10), 1542. https://doi.org/10.3390/f16101542

