Effects of Spraying Exogenous Hormones IAA and 6-BA on Sprouts of Pinus yunnanensis Seedlings After Stumping
Abstract
1. Introduction
2. Materials and Methods
2.1. Plant Materials
2.2. Experimental Design
2.3. Index Measurement
2.4. Statistical Analysis
2.4.1. One-Factor Effect Analysis
2.4.2. Regression Equation Establishment
2.4.3. Growth Curve Fitting
3. Results
3.1. Analysis of Exogenous Hormones on the Number of Sprouting Branches
3.2. Pattern of Exogenous Auxin Effects
3.2.1. Pattern of One-Factor Effects
3.2.2. Pattern of Interaction of IAA and 6-BA
3.2.3. Simulation Test of Whole Factors
3.2.4. Optimum Concentrations and Ratios of IAA and 6-BA
3.3. Trend of Exogenous Auxin Effect
3.4. Effect of Different Exogenous Hormone Treatments on the Number of Sprouting Branches
3.5. Effects of Different Hormone Treatments on the Growth of Sprouting Branches
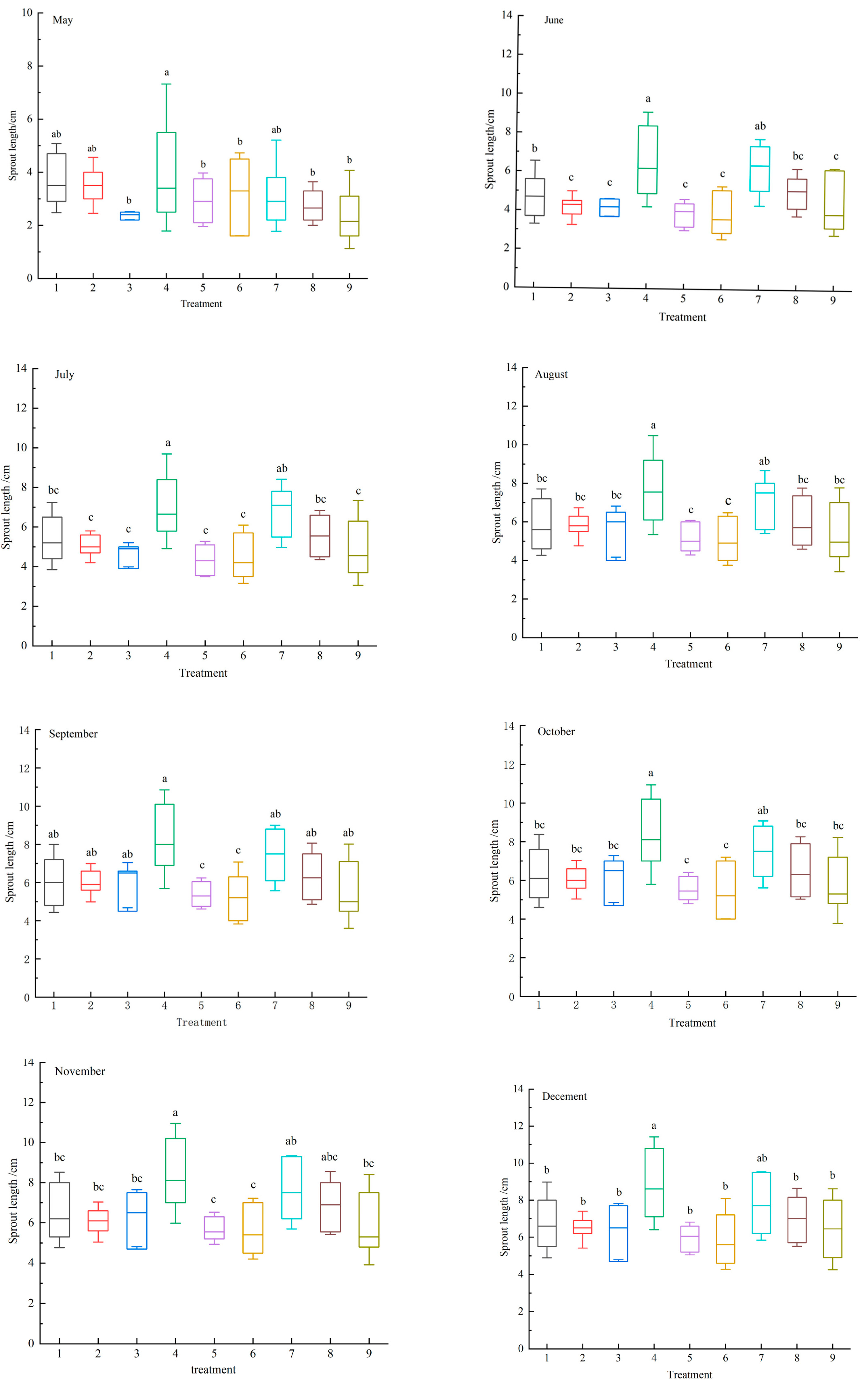
3.5.1. Changing Law of Average Length of Sprout Branches with Time
3.5.2. Changes in Sprout Growth Amount Under Different Treatments
3.5.3. Effect of Exogenous Hormones on the Growth of Sprouting Branches
4. Discussion
5. Conclusions
Author Contributions
Funding
Data Availability Statement
Acknowledgments
Conflicts of Interest
References
- Deng, X.-Q.; Huang, B.-L.; Wen, Q.-Z.; Hua, C.-l.; Tao, J. A research on the distribution of Pinus yunnanensis forest in Yunnan Province. J. Yunnan Univ. Nat. Sci. Ed. 2013, 35, 843–848. [Google Scholar]
- Zhou, C.; Gu, X.; Li, J.; Su, X.; Chen, S.; Tang, J.; Chen, L.; Cai, N.; Xu, Y. Physiological Characteristics and Transcriptomic Responses of Pinus yunnanensis Lateral Branching to Different Shading Environments. Plants 2024, 13, 1588. [Google Scholar] [CrossRef] [PubMed]
- Mason, M.G.; Ross, J.J.; Babst, B.A.; Wienclaw, B.N.; Beveridge, C.A. Sugar demand, not auxin, is the initial regulator of apical dominance. Proc. Natl. Acad. Sci. USA 2014, 111, 6092–6097. [Google Scholar] [CrossRef] [PubMed]
- Cline, M.G. Apical dominance. Bot. Rev. 1991, 57, 318–358. [Google Scholar] [CrossRef]
- Ke-Lin, H.; Jing, T.; Huan, W.; Yi-Fan, F.; Yang, L.; Yong, Z.; Xue-Bao, L. Fatty acid export protein BnFAX6 functions in lipid synthesis and axillary bud growth in Brassica napus. Plant Physiol. 2021, 4, 2064–2077. [Google Scholar]
- Chen, H.; Tan, J.; Liang, X.; Tang, S.; Jia, J.; Yang, Z. Molecular mechanism of lateral bud differentiation of Pinus massoniana based on high-throughput sequencing. Sci. Rep. 2021, 11, 9033. [Google Scholar] [CrossRef]
- Liu, Y.; Shi, Z.; Gong, L.; Cong, R.; Yang, X.; Eldridge, D.J. Is the removal of aboveground shrub biomass an effective technique to restore a shrub-encroached grassland? Restor. Ecol. 2019, 27, 1348–1356. [Google Scholar] [CrossRef]
- Yu, T.; Xin, Y.; Liu, P. Effects of 6-Benzyladenine (6-BA) on the Filling Process of Maize Grains Placed at Different Ear Positions under High Planting Density. Plants 2023, 12, 3590. [Google Scholar] [CrossRef]
- Kosakivska, I.V.; Vedenicheva, N.P.; Babenko, L.M.; Voytenko, L.V.; Romanenko, K.O.; Vasyuk, V.A. Exogenous phytohormones in the regulation of growth and development of cereals under abiotic stresses. Mol. Biol. Rep. 2022, 49, 617–628. [Google Scholar] [CrossRef] [PubMed]
- Li, G.; Li, W.; Liang, Y.; Lu, W.; Lu, D. Spraying exogenous hormones alleviate impact of weak-light on yield by improving leaf carbon and nitrogen metabolism in fresh waxy maize. Front. Plant Sci. 2023, 14, 1220827. [Google Scholar] [CrossRef] [PubMed]
- Zhang, Y.; Wang, L.; Li, X.; Wen, H.; Yu, X.; Wang, Y. Synergistic effects of exogenous IAA and melatonin on seed priming and physiological biochemistry of three desert plants in saline-alkali soil. Plant Signal. Behav. 2024, 19, 2379695. [Google Scholar] [CrossRef]
- Ongaro, V.; Leyser, O. Hormonal control of shoot branching. J. Exp. Bot. 2008, 59, 67–74. [Google Scholar] [CrossRef]
- Mir, A.R.; Siddiqui, H.; Alam, P.; Hayat, S. Foliar spray of Auxin/IAA modulates photosynthesis, elemental composition, ROS localization and antioxidant machinery to promote growth of Brassica juncea. Physiol. Mol. Biol. Plants 2020, 26, 2503–2520. [Google Scholar] [CrossRef]
- Zhang, M.; Gao, C.; Xu, L.; Niu, H.; Liu, Q.; Huang, Y.; Lv, G.; Yang, H.; Li, M. Melatonin and Indole-3-Acetic Acid Synergistically Regulate Plant Growth and Stress Resistance. Cells 2022, 11, 3250. [Google Scholar] [CrossRef]
- Zhang, J.; Li, S.; Gao, X.; Liu, Y.; Fu, B. Genome-wide identification and expression pattern analysis of the Aux/IAA (auxin/indole-3-acetic acid) gene family in alfalfa (Medicago sativa) and the potential functions under drought stress. BMC Genom. 2024, 25, 382. [Google Scholar] [CrossRef] [PubMed]
- Sadak, M.S.; Dawood, M.G.; Bakry, B.; El-Karamany, M. Synergistic effect of indole acetic acid and kinetin on performance, some biochemical constituents and yield of faba bean plant grown under newly reclaimed sandy soil. World J. Agric. Sci. 2013, 9, 335–344. [Google Scholar]
- Dhale, D.; Ankita, P.; Rathod, M.C. Production of IAA by Endophytic Fungi as Phyllanthus emblica Linn. Curr. Agric. Res. J. 2023, 11, 881–889. [Google Scholar]
- Zhang, Y.; Guo, C.; Hu, J.; Liu, F.; Fu, S.; Guo, X.; Chen, Q.; Zhang, L.; Zhu, L.; Hou, X. Effects of 6-benzylaminopurine combined with prohexadione-Ca on yield and quality of Chrysanthemum morifolium Ramat cv. Hangbaiju. Agriculture 2023, 13, 444. [Google Scholar] [CrossRef]
- Cao, D.; Chabikwa, T.; Barbier, F.; Dun, E.A.; Fichtner, F.; Dong, L.; Kerr, S.C.; Beveridge, C.A. Auxin-independent effects of apical dominance induce changes in phytohormones correlated with bud outgrowth. Plant Physiol. 2023, 192, 1420–1434. [Google Scholar] [CrossRef] [PubMed]
- Balla, J.; Medveďová, Z.; Kalousek, P.; Matiješčuková, N.; Friml, J.; Reinöhl, V.; Procházka, S. Auxin flow-mediated competition between axillary buds to restore apical dominance. Sci. Rep. 2016, 6, 35955. [Google Scholar] [CrossRef]
- Cao, X.W.; Cui, H.M.; Yao, Y.; Xiong, A.S.; Hou, X.L.; Li, Y. Effects of endogenous hormones on variation of shoot branching in a variety of non-heading Chinese cabbage and related gene expression. J. Plant Biol. 2017, 60, 343–351. [Google Scholar] [CrossRef]
- Wang, Y.; Yang, Z.; Zhang, Q.; Li, J. Enhanced chilling tolerance in Zoysia matrella by pre-treatment with salicylic acid, calcium chloride, hydrogen peroxide or 6-benzylaminopurine. Biol. Plant. 2009, 53, 179–182. [Google Scholar] [CrossRef]
- Kiruwa, F.H.; Mlinga, E.E.; Aloyce, A.A.; Shimwela, M.M. Best practices for initiation of banana and plantain (Musa spp.) cultures. J. Plant Biotechnol. 2024, 51, 55–62. [Google Scholar] [CrossRef]
- McArtney, S.; Obermiller, J.D. Effect of notching, 6-benzyladenine, and 6-benzyladenine plus gibberellin A4+ A7 on budbreak and shoot development from paradormant buds on the leader of young apple trees. HortTechnology 2015, 25, 233–237. [Google Scholar] [CrossRef]
- Cheng, S.L.; Gu, X.S.; Hu, Z.L.; Tang, G.P.; He, B.; Chen, L.; Chen, S.; Xu, Y.L.; Cai, N.H. Effects of exogenous IAA and 6-BA on the biomass partitioning pattern and heterozygous growth of Pinus sylvestris (Pinus sylvestris) seedlings. J. Ecol. 2024, 1–12. [Google Scholar]
- Li, G.Q.; Tang, D.R.; He, J.F.; Wang, D.H. A preliminary study on the effect of nitrogen and phosphorus fertilization on young Eucommia trees. Shaanxi For. Sci. Technol. 1994, 18, 55–59. [Google Scholar]
- Yu, Q.; Liu, J.; Zhang, Y.; Li, J. Simulation of rice biomass accumulation by an extended logistic model including influence of meteorological factors. Int. J. Biometeorol. 2002, 46, 185–191. [Google Scholar] [CrossRef]
- Ward, E.J. Incorporating Model Selection and Decision Analysis into Population Dynamics Modeling. Ph.D. Thesis, University of Washington, Seattle, WA, USA, 2006. [Google Scholar]
- Chen, Z.; Chen, Y.; Shi, L.; Wang, L.; Li, W. Interaction of phytohormones and external environmental factors in the regulation of the bud dormancy in woody plants. Int. J. Mol. Sci. 2023, 24, 17200. [Google Scholar] [CrossRef]
- Xu, Y.; Zhang, Y.; Li, Y.; Li, G.; Liu, D.; Zhao, M.; Cai, N. Growth promotion of Yunnan pine early seedlings in response to foliar application of IAA and IBA. Int. J. Mol. Sci. 2012, 13, 6507–6520. [Google Scholar] [CrossRef]
- Tan, M.; Li, G.; Liu, X.; Cheng, F.; Ma, J.; Zhao, C.; Zhang, D.; Han, M. Exogenous application of GA 3 inactively regulates axillary bud outgrowth by influencing of branching-inhibitors and bud-regulating hormones in apple (Malus domestica Borkh.). Mol. Genet. Genom. 2018, 293, 1547–1563. [Google Scholar] [CrossRef] [PubMed]
- Ahmed, I.H.M.; Ali, E.F.; Gad, A.A.; Bardisi, A.; El-Tahan, A.M.; Abd Esadek, O.A.; El-Saadony, M.T.; Gendy, A.S. Impact of plant growth regulators spray on fruit quantity and quality of pepper (Capsicum annuum L.) cultivars grown under plastic tunnels. Saudi J. Biol. Sci. 2022, 29, 2291–2298. [Google Scholar] [CrossRef] [PubMed]
- He, H.; Qin, J.; Cheng, X.; Xu, K.; Teng, L.; Zhang, D. Effects of exogenous 6-BA and NAA on growth and contents of medicinal ingredient of Phellodendron chinense seedlings. Saudi J. Biol. Sci. 2018, 25, 1189–1195. [Google Scholar] [CrossRef]
- Shelford, V.E. Some concepts of bioecology. Ecology 1931, 12, 455–467. [Google Scholar] [CrossRef]
- Yamada, N.; Nakamura, H. Chemical Control of Plant Growth and Development:(3) Some herbicidal properties of Stam F-34: 3, 4-dichloropropionanilide. Jpn. J. Crop Sci. 1963, 32, 69–76. [Google Scholar] [CrossRef][Green Version]
- Xu, Z.; Huang, S.; Xie, Y.; Wang, S.; Jin, N.; Jin, L.; Tie, J.; Meng, X.; Li, Z.; Lyu, J.; et al. Physiological responses of coriander (Coriandrum sativum L.) to exogenous 2,4-epibrassinolide at different concentrations. BMC Plant Biol. 2023, 23, 649. [Google Scholar] [CrossRef]
- Furio, R.N.; Salazar, S.M.; Martínez-Zamora, G.M.; Coll, Y.; Hael-Conrad, V.; Díaz-Ricci, J.C. Brassinosteroids promote growth, fruit quality and protection against Botrytis on Fragaria x ananassa. Eur. J. Plant Pathol. 2019, 154, 801–810. [Google Scholar] [CrossRef]
- Stupko, V.Y.; Lugovtsova, S.Y. The use of phytohormones to increase the efficiency of potato propagation in nodal cuts culture. In BIO Web of Conferences; EDP Sciences: Les Ulis, France, 2023; Volume 66, p. 01006. [Google Scholar]
- Kozlova, T.A.; Kartashov, A.V.; Zadneprovskaya, E.; Krapivina, A.; Zaytsev, P.; Chivkunova, O.B.; Solovchenko, A.E. Effect of Abscisic Acid on Growth, Fatty Acid Profile, and Pigment Composition of the Chlorophyte Chlorella(Chromochloris) zofingiensis and Its Co-Culture Microbiome. Life 2023, 13, 452. [Google Scholar] [CrossRef]
- Wang, F.; Hu, Z.; Luo, H.; Wu, Q.; Chen, X.; Wen, S.; Xiao, Z.; Ai, X.; Guo, Y. The Functional Verification of CmSMXL6 from Chrysanthemum in the Regulation of Branching in Arabidopsis thaliana. Horticulturae 2024, 10, 718. [Google Scholar] [CrossRef]
- Li, Y.; Zhang, D.; Xing, L.; Zhang, S.; Zhao, C.; Han, M. Effect of exogenous 6-benzylaminopurine (6-BA) on branch type, floral induction and initiation, and related gene expression in ‘Fuji’apple (Malus domestica Borkh). Plant Growth Regul. 2016, 79, 65–70. [Google Scholar] [CrossRef]
- Jan, R.; Khan, M.; Adnan, M.; Asaf, S.; Asif, S.; Kim, K.-M.; Murad, W. Exogenous phytohormones and fertilizers enhance Jatropha curcas L. growth through the regulation of physiological, morphological, and biochemical parameters. Plants 2022, 11, 3584. [Google Scholar] [CrossRef]
- Zhao, T.; Deng, X.; Xiao, Q.; Han, Y.; Zhu, S.; Chen, J. IAA priming improves the germination and seedling growth in cotton (Gossypium hirsutum L.) via regulating the endogenous phytohormones and enhancing the sucrose metabolism. Ind. Crops Prod. 2020, 155, 112788. [Google Scholar] [CrossRef]
- Zhu, Y.; Yang, B.; Xu, J.; Zhou, J.; Wang, G. Effects of different factors on the emergence of latent buds at the needle base of Masson pine. Guizhou Agric. Sci. 2018, 46, 32–34. [Google Scholar]
- Cao, H.; Kong, Q.; Huang, Y.; Bie, Z.; Zhao, S. Establishment of cotyledon explants regeneration system in wild watermelon. In Proceedings of the I International Symposium on Vegetable Grafting, Wuhan, China, 17–21 March 2014; pp. 87–92. [Google Scholar]
- Wang, J.; Ge, C.; Qin, Y.; Sun, M.; Chen, X.; Zhu, L. Effects of exogenous hormones on the branching, yield and quality of chrysanthemum. Shandong Agric. Sci. 2020, 52, 51–56. [Google Scholar]
- Zhang, S.; Zhang, D.; Fan, S.; Du, L.; Shen, Y.; Xing, L.; Li, Y.; Ma, J.; Han, M. Effect of exogenous GA3 and its inhibitor paclobutrazol on floral formation, endogenous hormones, and flowering-associated genes in ‘Fuji’ apple (Malus domestica Borkh.). Plant Physiol. Biochem. 2016, 107, 178–186. [Google Scholar] [CrossRef] [PubMed]
- Yin, Y.; Li, J.; Guo, B.; Li, L.; Ma, G.; Wu, K.; Yang, F.; Zhu, G.; Fang, L.; Zeng, S. Exogenous GA(3) promotes flowering in Paphiopedilum callosum (Orchidaceae) through bolting and lateral flower development regulation. Hortic. Res. 2022, 9, uhac091. [Google Scholar] [CrossRef] [PubMed]





| Treatment | IAA (mg·L−1) | 6-BA (mg·L−1) |
|---|---|---|
| 1 | 0 | 0 |
| 2 | 0 | 100 |
| 3 | 0 | 200 |
| 4 | 150 | 0 |
| 5 | 150 | 100 |
| 6 | 150 | 200 |
| 7 | 300 | 0 |
| 8 | 300 | 100 |
| 9 | 300 | 200 |
| Treatment | IAA (mg·L−1) | 6-BA (mg·L−1) | April | May | June | July |
|---|---|---|---|---|---|---|
| 1 | IAA (0) | 6-BA (0) | 4.3 | 17.0 | 20.3 | 21.4 |
| 2 | IAA (0) | 6-BA (100) | 4.7 | 17.2 | 22.9 | 23.6 |
| 3 | IAA (0) | 6-BA (200) | 5.9 | 19.2 | 23.5 | 24.5 |
| 4 | IAA (150) | 6-BA (0) | 4.0 | 10.7 | 13.2 | 13.9 |
| 5 | IAA (150) | 6-BA (100) | 4.2 | 15.6 | 19.5 | 19.9 |
| 6 | IAA (150) | 6-BA (200) | 7.7 | 19.3 | 24.2 | 24.5 |
| 7 | IAA (300) | 6-BA (0) | 1.4 | 10.8 | 14.2 | 14.5 |
| 8 | IAA (300) | 6-BA (100) | 4.6 | 18.5 | 22.4 | 23.0 |
| 9 | IAA (300) | 6-BA (200) | 4.5 | 18.7 | 23.3 | 23.8 |
| Sprout Index (Y) | One-Factor Equation | Maximum Yield | One-Factor Equation | Maximum Yield |
|---|---|---|---|---|
| April | Y = 4.026 + 0.032 × IAA − 0.000131 × IAA2 | 5.98 | Y = 4.026 + 0.019 × 6-BA − 0.000146 × 6-BA2 | 4.64 |
| May | Y = 16.646 + 0.008 × IAA − 0.000063 × IAA2 | 16.89 | Y = 16.646 + 0.069 × 6-BA − 0.000329 × 6-BA2 | 20.26 |
| June | Y = 19.808 + 0.015 × IAA − 0.0000798 × IAA2 | 20.51 | Y = 19.808 + 0.081 × 6-BA − 0.00038 × 6-BA2 | 24.12 |
| July | Y = 20.308 + 0.014 × IAA − 0.0000787 × IAA2 | 20.93 | Y = 20.308 + 0.079 × 6-BA − 0.000367 × 6-BA2 | 24.56 |
| Sprout Branch Number | Hormone Dosage | Optimum Ratio of IAA and 6-BA | Theoretical Maximum Yield | |
|---|---|---|---|---|
| IAA | 6-BA | IAA:6-BA | ||
| April | 162.31 | 115.65 | 1:0.71 | 7.72 |
| May | 146.06 | 123.55 | 1:0.85 | 21.49 |
| June | 201.22 | 139.14 | 1:0.69 | 26.95 |
| July | 199.13 | 140.99 | 1:0.71 | 27.27 |
| Treatment | IAA (mg·L−1) | 6-BA (mg·L−1) | April | May | June | July |
|---|---|---|---|---|---|---|
| 1 | IAA (0) | 6-BA (0) | 4.0 | 16.6 | 19.8 | 20.3 |
| 2 | IAA (0) | 6-BA (100) | 4.5 | 20.3 | 24.1 | 24.5 |
| 3 | IAA (0) | 6-BA (200) | 2.0 | 17.3 | 20.8 | 21.4 |
| 4 | IAA (150) | 6-BA (0) | 5.9 | 16.4 | 20.3 | 20.6 |
| 5 | IAA (150) | 6-BA (100) | 7.7 | 21.3 | 26.4 | 26.7 |
| 6 | IAA (150) | 6-BA (200) | 6.6 | 19.6 | 25.0 | 25.4 |
| 7 | IAA (300) | 6-BA (0) | 1.8 | 13.4 | 17.1 | 17.4 |
| 8 | IAA (300) | 6-BA (100) | 5.0 | 19.5 | 25.1 | 25.3 |
| 9 | IAA (300) | 6-BA (200) | 5.3 | 19.1 | 25.5 | 25.9 |
| Month | Tangency Points of Ridgeline mg·L−1 (Point A, B) | OP Line Equation | Highest Yield (Point O) | |
|---|---|---|---|---|
| OA | OB | |||
| April | 65.07 | 122.14 | 0.000529B − 0.0003985A + 0.0035 = 0 | 7.72 |
| May | 104.86 | 63.49 | 0.0010712B − 0.0002523A − 0.0955 = 0 | 21.49 |
| June | 106.58 | 93.98 | 0.001263B − 0.0003441A − 0.1065 = 0 | 26.95 |
| July | 107.63 | 88.95 | 0.001224B − 0.0003419A − 0.1045 = 0 | 27.27 |
| Month | Regression Equation | p |
|---|---|---|
| April | Y = 4.026 + 0.032 * IAA + 0.019 * 6-BA − 0.000131 × IAA2 − 0.000146 * 6-BA2 + 0.000091 * IAA * 6-BA | <0.01 |
| May | Y = 16.646 + 0.008 * IAA + 0.069 * 6-BA − 0.000063 * IAA2 − 0.000329 * 6-BA2 + 0.0000842 * IAA * 6-BA | <0.01 |
| June | Y = 19.808 + 0.015 * IAA + 0.081 * 6-BA − 0.0000798 * IAA2 − 0.00038 * 6-BA2 + 0.000123 * IAA * 6-BA | <0.01 |
| July | Y = 20.308 + 0.014 * IAA + 0.079 * 6-BA − 0.0000787 * IAA2 − 0.000367 * 6-BA2 + 0.000123 * IAA * 6-BA | <0.01 |
| Treatments | K | a | b | ts/d | t1/d | t2/d | R2 | Fitting Equation |
|---|---|---|---|---|---|---|---|---|
| 1 | 16.55 | 5.76 | 0.23 | 25 | 19 | 31 | 0.997 | Y = 16.5655/(1 + e5.7791−0.232644t) |
| 2 | 18.61 | 5.48 | 0.21 | 26 | 20 | 33 | 0.999 | Y = 18.6143/(1 + e5.4771−0.206720t) |
| 3 | 18.13 | 5.63 | 0.22 | 25 | 19 | 31 | 0.998 | Y = 18.1302/(1 + e5.6318−0.221466t) |
| 4 | 9.62 | 5.02 | 0.20 | 26 | 19 | 32 | 0.996 | Y = 9.6194/(1 + e5.0265−0.196691t) |
| 5 | 15.49 | 6.47 | 0.25 | 26 | 21 | 31 | 0.999 | Y = 15.4892/(1 + e6.4688−0.249797t) |
| 6 | 17.17 | 6.3 | 0.24 | 26 | 21 | 32 | 0.999 | Y = 17.1734/(1 + e6.3916−0.242569t) |
| 7 | 12.94 | 6.42 | 0.25 | 26 | 21 | 31 | 0.999 | Y = 12.9391/(1 + e6.4213−0.247141t) |
| 8 | 18.11 | 6.48 | 0.26 | 25 | 20 | 30 | 0.999 | Y = 18.1140/(1 + e6.4789−0.255826t) |
| 9 | 19.01 | 6.41 | 0.25 | 26 | 20 | 31 | 0.999 | Y = 19.0062/(1 + e6.4106−0.249639t) |
| Treatments | Growth Phase | Duration | Net Growth | Average Daily Growth | Cumulative Growth | Net Growth as a Proportion of Theoretical Extremes |
|---|---|---|---|---|---|---|
| 1 | Pre-growth | 13 | 0.6 | 0.046 | 0.6 | 21.03% |
| Rapid growth period | 76 | 1.65 | 0.022 | 2.25 | 57.82% | |
| Late growth period | 121 | 0.59 | 0.005 | 2.84 | 20.67% | |
| 2 | Pre-growth | 30 | 0.56 | 0.019 | 0.56 | 21.20% |
| Rapid growth period | 51 | 1.51 | 0.030 | 2.07 | 57.18% | |
| Late growth period | 129 | 0.57 | 0.004 | 2.64 | 21.58% | |
| 3 | Pre-growth | 14 | 0.82 | 0.059 | 0.82 | 21.28% |
| Rapid growth period | 67 | 2.22 | 0.033 | 3.04 | 57.61% | |
| Late growth period | 129 | 0.81 | 0.006 | 3.85 | 21.02% | |
| 4 | Pre-growth | 9 | 0.82 | 0.091 | 0.82 | 20.87% |
| Rapid growth period | 58 | 2.29 | 0.039 | 3.11 | 58.29% | |
| Late growth period | 143 | 0.82 | 0.006 | 3.93 | 20.87% | |
| 5 | Pre-growth | 25 | 0.59 | 0.024 | 0.59 | 21.04% |
| Rapid growth period | 68 | 1.63 | 0.024 | 2.22 | 58.13% | |
| Late growth period | 117 | 0.58 | 0.005 | 2.80 | 20.68% | |
| 6 | Pre-growth | 23 | 0.57 | 0.025 | 0.57 | 20.91% |
| Rapid growth period | 81 | 1.57 | 0.019 | 2.14 | 57.60% | |
| Late growth period | 106 | 0.56 | 0.005 | 2.70 | 20.54% | |
| 7 | Pre-growth | 14 | 0.77 | 0.055 | 0.77 | 20.39% |
| Rapid growth period | 21 | 2.2 | 0.105 | 2.97 | 58.24% | |
| Late growth period | 175 | 0.81 | 0.005 | 3.78 | 21.44% | |
| 8 | Pre-growth | 8 | 0.83 | 0.104 | 0.83 | 21.01% |
| Rapid growth period | 59 | 2.3 | 0.039 | 3.13 | 58.23% | |
| Late growth period | 143 | 0.82 | 0.006 | 3.95 | 20.76% | |
| 9 | Pre-growth | 9 | 0.71 | 0.079 | 0.71 | 20.68% |
| Rapid growth period | 49 | 2.01 | 0.041 | 2.72 | 58.55% | |
| Late growth period | 152 | 0.71 | 0.005 | 3.43 | 20.68% |
| Treatments | K | a | b | ts/d | t1/d | t2/d | R2 | Fitting Equation |
|---|---|---|---|---|---|---|---|---|
| 1 | 2.85 | 1.78 | 0.03 | 51 | 13 | 89 | 0.949 | Y = 2.8537/(1 + e1.7830−0.034735t) |
| 2 | 2.64 | 2.84 | 0.05 | 56 | 30 | 81 | 0.985 | Y = 2.6409/(1 + e2.8441−0.051153t) |
| 3 | 3.85 | 1.85 | 0.04 | 47 | 14 | 81 | 0.956 | Y = 3.8535/(1 + e1.8487−0.039067t) |
| 4 | 3.93 | 1.75 | 0.05 | 38 | 9 | 67 | 0.937 | Y = 3.9287/(1 + e1.7491−0.045984t) |
| 5 | 2.80 | 2.29 | 0.04 | 59 | 25 | 93 | 0.982 | Y = 2.8043/(1 + e2.2866−0.038934t) |
| 6 | 2.73 | 2.07 | 0.03 | 64 | 23 | 104 | 0.961 | Y = 2.7258/(1 + e2.0708−0.032459t) |
| 7 | 3.78 | 3.15 | 0.13 | 25 | 14 | 35 | 0.953 | Y = 3.7772/(1 + e13.1477−0.127030t) |
| 8 | 3.95 | 1.68 | 0.05 | 37 | 8 | 67 | 0.930 | Y = 3.9499/(1 + e1.6822−0.045091t) |
| 9 | 3.43 | 1.83 | 0.05 | 33 | 9 | 58 | 0.934 | Y = 3.4327/(1 + e1.8273−0.054574t) |
Disclaimer/Publisher’s Note: The statements, opinions and data contained in all publications are solely those of the individual author(s) and contributor(s) and not of MDPI and/or the editor(s). MDPI and/or the editor(s) disclaim responsibility for any injury to people or property resulting from any ideas, methods, instructions or products referred to in the content. |
© 2025 by the authors. Licensee MDPI, Basel, Switzerland. This article is an open access article distributed under the terms and conditions of the Creative Commons Attribution (CC BY) license (https://creativecommons.org/licenses/by/4.0/).
Share and Cite
Zhu, M.; Cheng, S.; Tang, G.; Hu, Z.; Chen, L.; Tang, J.; Xu, Y.; Cai, N. Effects of Spraying Exogenous Hormones IAA and 6-BA on Sprouts of Pinus yunnanensis Seedlings After Stumping. Forests 2025, 16, 92. https://doi.org/10.3390/f16010092
Zhu M, Cheng S, Tang G, Hu Z, Chen L, Tang J, Xu Y, Cai N. Effects of Spraying Exogenous Hormones IAA and 6-BA on Sprouts of Pinus yunnanensis Seedlings After Stumping. Forests. 2025; 16(1):92. https://doi.org/10.3390/f16010092
Chicago/Turabian StyleZhu, Meiling, Sili Cheng, Guangpeng Tang, Zhaoliu Hu, Lin Chen, Junrong Tang, Yulan Xu, and Nianhui Cai. 2025. "Effects of Spraying Exogenous Hormones IAA and 6-BA on Sprouts of Pinus yunnanensis Seedlings After Stumping" Forests 16, no. 1: 92. https://doi.org/10.3390/f16010092
APA StyleZhu, M., Cheng, S., Tang, G., Hu, Z., Chen, L., Tang, J., Xu, Y., & Cai, N. (2025). Effects of Spraying Exogenous Hormones IAA and 6-BA on Sprouts of Pinus yunnanensis Seedlings After Stumping. Forests, 16(1), 92. https://doi.org/10.3390/f16010092
