Next Article in Journal
Forest Carbon Sinks in Chinese Provinces and Their Impact on Sustainable Development Goals
Next Article in Special Issue
Ontogenetic Stage Strongly and Differentially Influences Leaf Economic and Stomatal Traits Along Phyllotactic and Environmental Gradients
Previous Article in Journal
Lignification and Gene Expression Pattern in Postharvest Moso Bamboo Shoots
 
 
Font Type:
Arial Georgia Verdana
Font Size:
Aa Aa Aa
Line Spacing:
Column Width:
Background:
Article

Mechanism of Arbuscular Mycorrhizal Fungi in Enhancing Lead Stress Resistance in Poplar Trees

1
Key Laboratory of Heilongjiang Province for Cold-Regions Wetlands Ecology and Environment Research, Harbin University, Harbin 150086, China
2
Jilin Provincial Key Laboratory for Plant Resources Science and Green Production, Jilin Normal University, Siping 136000, China
3
State Key Laboratory of Desert and Oasis Ecology, Key Laboratory of Ecological Safety and Sustainable Development in Arid Lands, Xinjiang Institute of Ecology and Geography, Chinese Academy of Sciences, Urumqi 830011, China
*
Author to whom correspondence should be addressed.
These authors contributed equally to this work.
Forests 2025, 16(1), 82; https://doi.org/10.3390/f16010082
Submission received: 3 December 2024 / Revised: 29 December 2024 / Accepted: 29 December 2024 / Published: 6 January 2025

Abstract

This study investigates the role of arbuscular mycorrhizal (AM) fungi, particularly Rhizophagus irregularis, in enhancing the lead (Pb) stress tolerance of poplar trees (Populus simonii × P. nigra ‘1307’). Under Pb stress conditions (0, 250, and 750 mg/kg), AM fungi significantly improved poplar growth, evidenced by increases in plant height (25.4%–31.2%), shoot biomass (21.6%–37.8%), and root biomass (28.9%–41.7%). Photosynthetic parameters, including net photosynthetic rate (Pn), stomatal conductance (Gs), and transpiration rate (Tr), were substantially enhanced by AM inoculation. For instance, at 750 mg/kg Pb, Pn increased by 46.8% compared to non-inoculated controls. AM fungi facilitated Pb sequestration primarily in the roots, leading to 53.7% lower Pb concentrations in leaves and 47.3% lower concentrations in stems under 750 mg/kg Pb stress. This was attributed to root barrier effects and reduced Pb translocation. AM fungi also mitigated oxidative stress by increasing antioxidant enzyme activities, including superoxide dismutase (SOD, +45.6%), catalase (CAT, +38.2%), and peroxidase (POD, +32.5%). Concurrently, hydrogen peroxide (H2O2) and malondialdehyde (MDA) levels decreased significantly, indicating enhanced membrane stability. These findings reveal that AM fungi improve Pb stress resistance in poplar by promoting Pb immobilization in roots, enhancing photosynthetic performance, and fortifying antioxidant defense systems. This study provides both theoretical insights and practical implications for utilizing AM fungi in phytoremediation of Pb-contaminated soils.

1. Introduction

Heavy metal contamination is a pervasive global environmental issue that poses significant risks to ecosystems and human health [1,2,3]. Among various heavy metals, lead (Pb) is particularly problematic due to its widespread occurrence and persistent nature in the environment. Lead disrupts vital biological processes in plants, leading to reduced growth, impaired photosynthesis, and heightened oxidative stress. Phytoremediation, which involves the use of plants to remove or neutralize environmental pollutants, has emerged as a promising strategy to mitigate heavy metal contamination. Within this framework, arbuscular mycorrhizal (AM) fungi have garnered attention for their potential to enhance plant resilience against heavy metal stress by improving nutrient and water uptake, as well as strengthening antioxidant defense mechanisms [2,3,4].
Poplar trees (Populus spp.) are recognized for their rapid growth and high tolerance to heavy metal stress, making them ideal candidates for phytoremediation [2,5,6]. Poplar species and their hybrids have been extensively studied for their potential in phytoremediation due to their high biomass production, deep rooting systems, and tolerance to metal contamination. Recent research has demonstrated the significant role of arbuscular mycorrhizal fungi (AMF) in enhancing the tolerance of woody plants, including poplars, to heavy metal stress. For instance, Jianghua Ye et al. (2020) investigated the impact of soil pH on lead (Pb) bioavailability and highlighted the reduced mobility of Pb at high pH levels, which aligns with the conditions of this study [7]. Similarly, Sharma et al. (2012) and Hasselquist et al. (2021) reported that AMF improves metal sequestration in roots and reduces metal translocation to aerial parts, providing a dual benefit of enhanced plant growth and minimized environmental risk [8,9]. Despite this, the specific mechanisms through which AM fungi influence Pb detoxification and enhance tolerance in poplar remain insufficiently understood [10,11]. While previous studies have shown that AM fungi can modulate plant physiology and biochemistry, including nutrient uptake and oxidative stress responses [12,13,14], the precise molecular pathways involved, particularly those related to gene expression concerning stress response and metal transport, are still underexplored [4,15,16,17,18].
Soil heavy metal contamination, particularly lead (Pb), is a critical environmental issue caused by industrial activities and urbanization, posing severe threats to plant growth and ecosystem stability. Pb toxicity disrupts nutrient uptake, photosynthesis, and cellular processes, primarily through inducing oxidative stress and damaging membrane structures [19,20].
Arbuscular mycorrhizal (AM) fungi, such as Rhizophagus irregularis, have demonstrated significant potential in mitigating heavy metal stress. They achieve this through (1) sequestration of metals in root tissues via physical barriers, (2) reducing metal bioavailability in the rhizosphere, (3) enhancing nutrient and water uptake, and (4) stimulating antioxidant defense systems to alleviate oxidative damage. While these mechanisms have been studied in herbaceous plants, limited research exists on their role in woody species like poplars, which are ideal for phytoremediation due to their rapid growth, deep root systems, and high biomass.
While these studies have highlighted the general mechanisms of AMF in alleviating heavy metal stress, their application to woody plants under specific soil conditions, particularly at higher pH levels, remains underexplored. This study aims to investigate the physiological and molecular mechanisms by which AM fungi enhance Pb stress tolerance in poplar (Populus simonii × P. nigra ‘1307’). We hypothesize that Rhizophagus irregularis promotes Pb sequestration in roots, improves photosynthetic performance, and enhances antioxidant defenses. This research contributes to the broader field of phytoremediation and offers practical implications for the use of AM fungi in managing heavy metal contamination. The findings are anticipated to significantly advance the application potential of AM fungi in environmental remediation, particularly in regions heavily impacted by lead pollution.

2. Materials and Methods

2.1. Experimental Design

The study utilized poplar seedlings (Populus simonii × P. nigra ‘1307’) known for their rapid growth and adaptability to environmental stress. Poplar seedlings (Populus simonii × P. nigra ‘1307’) used in this study were obtained from a certified supplier affiliated with the Harbin Forestry Research Institute. The seedlings were propagated from semi-hardwood cuttings (15 cm length, 0.8 cm diameter) treated with 0.5% indole-3-butyric acid (IBA). Rooting was performed under controlled greenhouse conditions with a temperature of 25 ± 2 °C, relative humidity of 60%, and natural light supplemented with 12-h photoperiods. After 30 days of rooting, seedlings were transplanted into pots containing sterilized sandy loam soil and acclimatized for two weeks before experimentation.
The arbuscular mycorrhizal fungus (AMF) used in this study, Rhizophagus irregularis (formerly known as Glomus intraradices), was procured from the Chinese Academy of Agricultural Sciences (CAAS), Beijing, China. The inoculum consisted of a mixture of spores (approximately 150 spores per gram), root fragments, and extraradical hyphae. To ensure uniform colonization, 10 g of inoculum were applied directly to the root zone of each seedling at the time of planting. The inoculum was prepared following standardized protocols and stored at 4 °C to maintain spore viability. A control group without AM fungal inoculation was also established to serve as a comparison. Each treatment combination was replicated five times.
Mycorrhizal colonization of poplar roots was not assessed in this study due to resource constraints. Consequently, the terms “inoculated” and “non-inoculated” are used throughout to distinguish plants treated with AMF inoculum from control plants. Although the presence of mycorrhizal colonization is implied by the observed physiological and growth differences, direct evidence is unavailable. Future studies will employ morphological and molecular methods, such as root staining and PCR-based assays, to quantify colonization levels and further validate the results.
This study employed a randomized complete block design (RCBD) with three Pb concentrations. To simulate Pb stress, lead nitrate (Pb(NO3)2) was applied to the soil at concentrations of 0, 250, and 750 mg/kg. Prior to planting, the required amount of Pb(NO3)2 was dissolved in deionized water and uniformly mixed into the sterilized soil to achieve the desired Pb concentrations. This method ensured a homogenous distribution of Pb in the soil and consistent exposure to the plants throughout the experimental period. Control pots received deionized water without Pb(NO3)2 addition.
Soil water content was maintained at 60% of the maximum water-holding capacity throughout the experiment. Water content was monitored using the gravimetric method: Soil samples were weighed before and after oven-drying at 105 °C for 24 h, and water content was calculated based on the weight difference.

2.2. Experimental Methods

2.2.1. Soil Preparation and Characterization

The soil used in this experiment was local sandy loam, characterized by the following properties: pH 7.98, total nitrogen content of 0.835 g/kg, available nitrogen 43.88 mg/kg, available phosphorus 6.78 mg/kg, available potassium 107.2 mg/kg, organic matter 11.94 g/kg, and total soluble salts 0.06%. The soil was sterilized at 121 °C for 30 min to eliminate indigenous microorganisms, ensuring that the effects observed could be attributed solely to the introduced AM fungi. Pots were prepared with a drainage layer of pebbles at the bottom, separated from the soil by two layers of newspaper. Each pot was equipped with a PVC pipe for controlled irrigation [3,21].

2.2.2. Plant Growth Conditions and Treatments

Seedlings were maintained in a controlled greenhouse environment with a temperature of 25 ± 2 °C, relative humidity of 60%–70%, and a 16-h photoperiod. After an acclimatization period of one month, Pb treatments were initiated, and plants were grown for an additional 60 days. During this period, regular measurements of soil moisture content were taken to ensure consistent hydration across all treatments [9,20].

2.2.3. Growth Measurements

At the end of the treatment period, seedlings were harvested and separated into leaves, stems, and roots. Fresh and dry biomass were recorded after drying samples at 80 °C until a constant weight was achieved. Plant height was measured from the base of the stem to the top of the apical bud.

2.2.4. Photosynthetic Parameters

Photosynthetic parameters were measured using a portable photosynthesis system (Ciras-3, PP Systems, Amesbury, MA, USA). Measurements included net photosynthetic rate (PN), stomatal conductance (gs), transpiration rate (Tr), and intercellular CO2 concentration (CI). All measurements were conducted under standardized conditions with a light intensity of 1800 μmol m−2 s−1, leaf temperature of 28 °C, and ambient CO2 concentration of 400 ppm. For consistency, the second fully expanded leaf from the top of each plant was selected for all measurements [8,19].

2.2.5. Chlorophyll Content and Fluorescence Analysis

Chlorophyll a, chlorophyll b, and total chlorophyll content were quantified spectrophotometrically after extracting 1.0 g of fresh leaf tissue in 80% acetone. Absorbance was measured at 665 nm and 649 nm.
The chlorophyll content of the leaves was determined spectrophotometrically using the method of Arnon (1949) [14,19]. Fresh leaf samples (0.2 g) were homogenized in 80% acetone and centrifuged at 12,000× g for 10 min. The absorbance of the supernatant was measured at 645 nm and 663 nm using a UV-Vis spectrophotometer.
The total chlorophyll content was obtained as the sum of chlorophyll a and chlorophyll b. Results were expressed as milligrams of chlorophyll per gram of fresh leaf weight (mg/g FW).
Chlorophyll fluorescence parameters, including the maximum photochemical quantum yield of photosystem II (Fv/Fm) and effective photochemical efficiency (ΦPSII), were assessed using a fluorometer (FMS-2, Hansatech, Peterborough, UK) after dark adaptation of leaves for 30 min [20,21].

2.2.6. Pb Distribution

Pb concentrations in leaves, stems, and roots were quantified using atomic absorption spectroscopy (AAS) following acid digestion. The digestion process utilized a mixture of nitric acid (HNO3) and perchloric acid (HClO4) in a 4:1 ratio. To evaluate Pb movement and accumulation within the plant, the transport factor (TF) and bioconcentration factor (BCF) were determined. TF represents the ratio of Pb concentrations between aboveground and root tissues, while BCF reflects the ratio of Pb concentrations in plant tissues relative to soil.
Measurements were performed on dried plant samples (leaves, stems, roots) with at least three biological replicates for each treatment. Pb concentrations were expressed as milligrams per kilogram of dry weight (mg/kg DW) [4,12,14].

2.2.7. Antioxidant Enzyme Activities

Oxidative stress markers, including hydrogen peroxide (H2O2) and malondialdehyde (MDA), were analyzed to assess oxidative damage under Pb stress. H2O2 content was measured using the potassium iodide (KI) reaction method, while MDA levels were determined by the thiobarbituric acid (TBA) method and expressed as nanomoles per gram of fresh weight (nmol/g FW).
All enzyme activity measurements were performed on fresh leaf and root samples, with at least three biological replicates per treatment. Enzyme activities were expressed as units per milligram of protein (U/mg protein [4,12,14]).

2.3. Statistical Analysis

Data were statistically analyzed using analysis of variance (ANOVA) with Tukey’s post hoc test to determine significant differences between treatments. Significance was set at p < 0.05. Statistical analyses were conducted using SPSS software (version 23.0), and data visualization was performed using SigmaPlot (version 12.5). All experiments were conducted in triplicate, and results are presented as mean ± standard deviation [5].

3. Results and Analysis

3.1. Effects of AM Fungi on Growth and Photosynthesis of Poplar Under Pb Stress

3.1.1. Growth Measurements

At Pb concentrations of 0, 250, and 750 mg/kg, inoculation with Rhizophagus irregularis significantly enhanced the growth of poplar (Populus simonii × P. nigra ‘1307’) compared to non-inoculated plants. Under 750 mg/kg Pb stress, the aboveground biomass of AM-inoculated plants was 33.85% higher, and the belowground biomass increased by 41.12% compared to non-inoculated controls. Despite the inhibitory effect of Pb at higher concentrations, AM-inoculated plants consistently exhibited better growth performance relative to non-inoculated plants (Figure 1c).
The two-way ANOVA results (Table 1) confirmed that both the inoculation treatment and Pb treatment had highly significant effects on these growth parameters, though the interaction between inoculation and Pb treatment did not significantly affect plant height, shoot biomass, or root biomass.

3.1.2. Photosynthetic Parameters

Inoculation with Rhizophagus irregularis significantly enhanced the photosynthetic efficiency of Populus simonii × P. nigra ‘1307’ under Pb stress (Figure 2). AM fungal inoculation significantly improved the photosynthetic efficiency of poplar under Pb stress. At 750 mg/kg Pb, the net photosynthetic rate (PN) increased by 46.8%, stomatal conductance (gs) by 32.1%, and transpiration rate (Tr) by 22.4% compared to non-inoculated plants. Non-inoculated plants exhibited a decline in photosynthetic rates as Pb concentration increased. Inoculated plants also demonstrated significant reductions in intercellular CO2 concentration (CI), particularly at higher Pb levels. In contrast, non-Inoculated plants showed an increase in Ci up to 750 mg/kg Pb (Figure 2b). Transpiration rates were significantly higher in Inoculated plants across all Pb treatments, with a notable decline observed only at 750 mg/kg Pb (Figure 2c). Stomatal conductance was enhanced by Rhizophagus irregularis, particularly at 0 mg/kg and 250 mg/kg Pb, while it decreased in non-Inoculated plants with increasing Pb concentrations (Figure 2d).
The two-way ANOVA indicated significant effects of both Pb treatment and AMF inoculation on these gas exchange parameters. As Pb concentration increased, both mycorrhizal and non-Inoculated plants showed changes in physiological responses, especially at 750 mg/kg Pb, suggesting alterations in stress response mechanisms. Therefore, subsequent analyses focused on 0 mg/kg, 250 mg/kg, and 750 mg/kg Pb treatments (Table 2).

3.1.3. Chlorophyll Content

The inoculation with the arbuscular mycorrhizal fungus Rhizophagus irregularis significantly influenced the photosynthetic pigment concentrations in Populus trees. Under 0 mg/kg Pb conditions, the inoculated plants exhibited increased concentrations of chlorophyll a, chlorophyll b, and total chlorophyll, while carotenoid levels remained unchanged. Specifically, at 750 mg/kg Pb, chlorophyll a in non-inoculated trees significantly increased by 84.17%. Notably, differences in chlorophyll b between inoculated and non-inoculated trees were significant under the 750 mg/kg Pb treatment (Figure 3).
In the inoculated plants, carotenoid concentrations increased significantly; however, these changes were not statistically significant compared to non-inoculated plants. The total chlorophyll content of inoculated plants was higher, with a 33.85% increase observed under the 750 mg/kg Pb treatment.
Two-way ANOVA confirmed that Rhizophagus irregularis had significant effects on chlorophyll a, chlorophyll b, and total chlorophyll levels, while Pb treatment also influenced these pigments. However, Pb had no significant effect on carotenoid levels, and there was no significant interaction between mycorrhizal inoculation and Pb treatment on pigment concentrations.

3.1.4. Fluorescence Parameters

Under Pb stress, the arbuscular mycorrhizal fungus (AMF) significantly enhanced the fluorescence parameters of Populus seedlings, including the maximum photochemical quantum yield of photosystem II (Fv/Fm) and the effective photochemical efficiency of photosystem II (ΦPSII). At 750 mg/kg Pb, Fv/Fm and ΦPSII in AMF-inoculated seedlings increased by approximately 32.22% and 76.31%, respectively, compared to non-inoculated seedlings (Figure 4).
Inoculation also significantly influenced the non-photochemical quenching (NPQ) of Populus seedlings. Compared to non-mycorrhizal seedlings, AMF-inoculated seedlings exhibited significantly reduced NPQ under 0 mg/kg, 250 mg/kg, and 750 mg/kg Pb treatments, with a 61.18% reduction observed under 750 mg/kg Pb.
Two-way ANOVA results (Table 3) revealed that inoculation had highly significant effects on Fv/Fm and ΦPSII. In contrast, Pb stress did not have significant effects on Fv/Fm and ΦPSII. However, the interaction between inoculation and Pb stress had significant effects on Fv/Fm and ΦPSII. Inoculation significantly influenced the electron transport rate (ETR) of photosynthesis, while Pb treatment showed no significant effects on ETR or NPQ. The interaction between inoculation and Pb treatment had a significant impact on the ETR of Populus seedlings.
The two-way ANOVA results indicated that inoculation treatment had a highly significant effect on the maximum photochemical quantum yield of photosystem II (Fv/Fm), the effective photochemical efficiency of photosystem II (ΦPSII), and the photochemical quenching coefficient (qP). Pb treatment, however, did not significantly affect Fv/Fm, ΦPSII, or qP. The interaction between inoculation and Pb treatment had a highly significant effect on Fv/Fm, a significant effect on ΦPSII, but no significant effect on qP in Populus simonii × P. nigra ‘1307’ (Table 3).
The two-way ANOVA results indicated that inoculation treatment had a highly significant effect on both the non-photochemical quenching coefficient (NPQ) and non-photochemical quenching (qN). Pb treatment had no significant effect on NPQ but had a highly significant effect on qN. The interaction between inoculation and Pb treatment did not significantly affect NPQ but had a significant effect on qN in Populus simonii × P. nigra ‘1307’ (Table 3).
The two-way ANOVA results indicated that inoculation treatment had a highly significant effect on the photosynthetic electron transport rate (ETR) of Populus simonii × P. nigra ‘1307’. Pb treatment did not have a significant effect on the ETR. However, the interaction between inoculation and Pb treatment had a significant effect on the photosynthetic electron transport rate (Table 3). Two-way ANOVA revealed that both AMF inoculation and Pb treatment significantly influenced Pb concentrations in leaves, stems, and roots. The interaction between AMF inoculation and Pb treatment had a significant effect on stem Pb concentration but not on leaf and root concentrations.

3.2. Effects of AM Fungi on Pb Allocation and Oxidative Damage in Poplar Under Pb Stress

3.2.1. Effects of Pb Stress and AM Fungi Inoculation on Pb Concentration

Lead (Pb) treatment and inoculation with arbuscular mycorrhizal fungi (AMF) significantly influenced Pb concentrations in the leaves, stems, and roots of Populus trees (Figure 5). AM fungal inoculation significantly reduced Pb concentrations in the leaves, stems, and roots of poplar trees. At 750 mg/kg Pb, the Pb concentration in leaves was reduced by 53.70%, and in stems and roots, Pb concentrations decreased significantly compared to non-inoculated plants. However, Pb remained primarily sequestered in the roots of AM-inoculated plants.
Notably, under 250 mg/kg or 750 mg/kg Pb treatment, the Pb concentration in the leaves of AMF-inoculated trees did not differ significantly from the control (0 mg/kg Pb). At 250 mg/kg Pb, there were no significant differences in stem and root Pb concentrations between AMF-inoculated and non-inoculated trees. However, at 750 mg/kg Pb, the stem and root Pb concentrations in AMF-inoculated trees were higher than those in the control group but remained lower than those in non-inoculated trees.
Two-way ANOVA revealed that both AMF inoculation and Pb treatment significantly affected Pb concentrations in leaves, stems, and roots. The interaction between AMF inoculation and Pb treatment had a significant effect on stem Pb concentrations but showed no significant impact on Pb concentrations in leaves and roots.

3.2.2. Effects of Pb Stress and AM Fungi Inoculation on Pb Content

Lead (Pb) treatment and inoculation with arbuscular mycorrhizal fungi (AMF) significantly affected Pb concentrations in the leaves, stems, and roots of Populus trees (Figure 5). As Pb concentration increased from 0 mg/kg to 750 mg/kg, the Pb content in the roots and stems of non-inoculated trees increased, while AMF-inoculated trees showed increased Pb accumulation across all tissues.
Specifically, in AMF-inoculated trees, leaf Pb content increased by 92% and 48% under 250 mg/kg and 750 mg/kg Pb treatments, respectively. Under the same conditions, Pb content in the stems and roots also increased significantly. In contrast, non-inoculated trees exhibited no significant changes in leaf Pb content under Pb treatments.
Two-way ANOVA indicated that both AMF inoculation and Pb treatment had significant effects on Pb concentrations in leaves, stems, and roots. The interaction between AMF inoculation and Pb treatment significantly influenced Pb accumulation in stems and roots but had no significant effect on leaf Pb content.

3.2.3. Effects of Pb Stress and AM Fungi Inoculation on Transfer Factor and Bioconcentration Factor

Pb stress and arbuscular mycorrhizal fungi (AMF) inoculation significantly affected the translocation factor (TF) and bioconcentration factor (BCF) in Populus trees (Figure 6). As Pb concentrations increased from 250 mg/kg to 750 mg/kg, both TF and BCF significantly decreased. In AMF-inoculated plants, TF and BCF decreased by 80.62% and 61.32%, respectively.
However, compared to non-inoculated trees, AMF inoculation significantly increased both TF and BCF. At 250 mg/kg Pb, TF in AMF-inoculated trees increased by 215.84%, while BCF increased by 85.66%.
Two-way ANOVA indicated that AMF inoculation had a highly significant effect on BCF but not on TF. Pb treatment significantly affected both TF and BCF. The interaction between AMF inoculation and Pb treatment was not significant for either factor.

3.2.4. Effects of Pb Stress and AM Fungi Inoculation on Populus simonii × P. nigra ‘1307’

Lead (Pb) treatment and inoculation with Rhizophagus irregularis significantly influenced hydrogen peroxide (H2O2) concentrations (Figure 7a). Inoculation with Rhizophagus irregularis significantly enhanced the activities of antioxidant enzymes in poplar leaves and roots. Under 750 mg/kg Pb stress, SOD activity increased by 45.6%, CAT activity by 38.2%, and POD activity by 32.5% compared to the non-inoculated group. Additionally, H2O2 levels decreased by 24.3%, and MDA content reduced by 30.6%, suggesting effective alleviation of oxidative stress.
Two-way ANOVA revealed that inoculation had a significant effect, Pb treatment had a highly significant effect, but the interaction between the two was not significant.
Malondialdehyde (MDA) levels significantly increased under 750 mg/kg Pb in both AMF-inoculated and non-inoculated plants. At 250 mg/kg Pb, MDA concentrations in AMF-inoculated plants were significantly lower than those in non-inoculated plants, with a 67.42% reduction. Two-way ANOVA showed that inoculation had highly significant effects, Pb treatment had significant effects, and the interaction was not significant (Figure 7b).
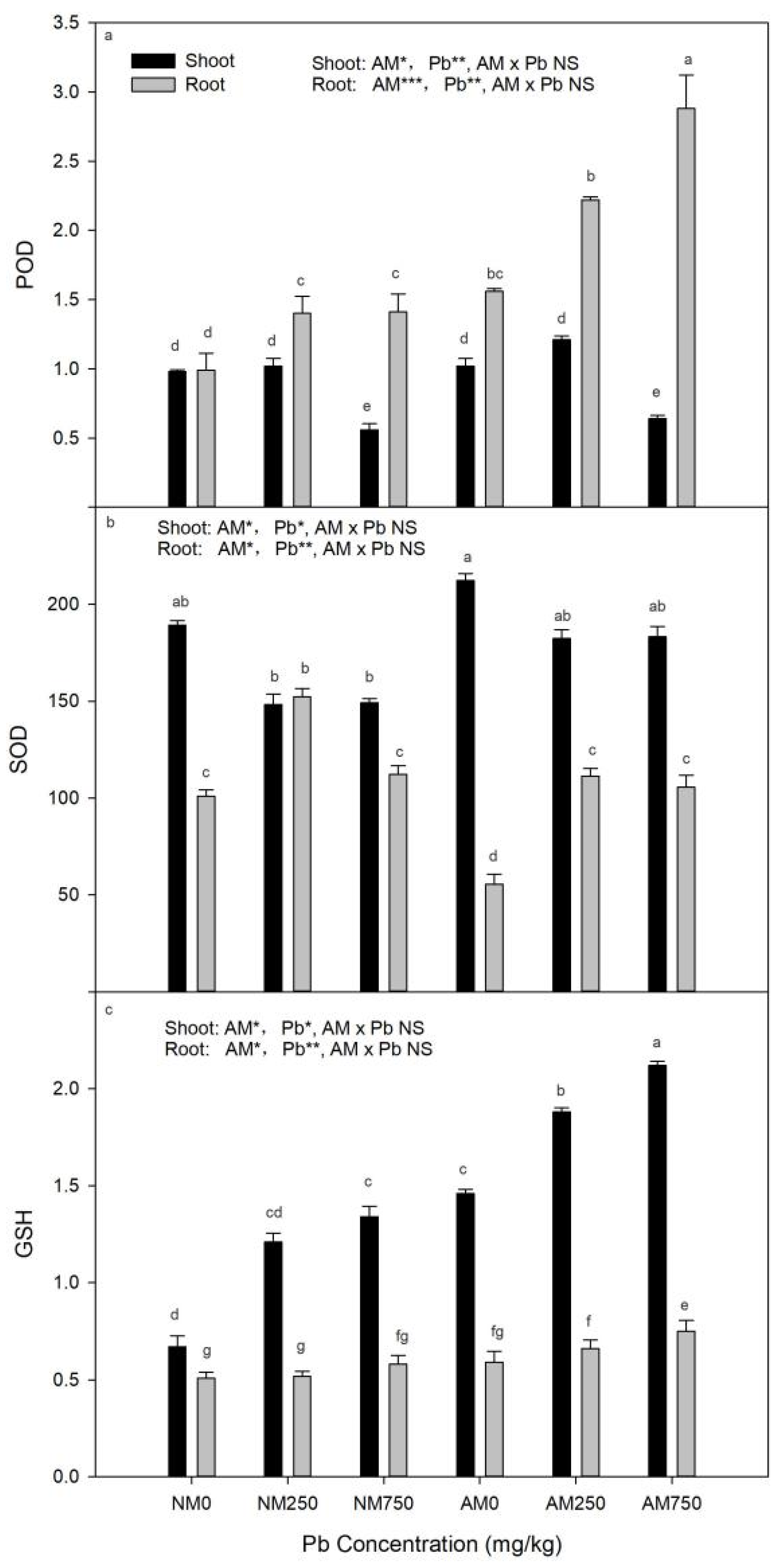
Pb treatment and AMF inoculation significantly influenced peroxidase (POD) activity (Figure 8a). In non-inoculated plants, stem POD activity decreased by 31.76% under 750 mg/kg Pb. In all Pb treatments, root POD activity in AMF-inoculated plants was significantly higher than in non-inoculated plants.
Under 250 mg/kg and 750 mg/kg Pb treatments, root superoxide dismutase (SOD) activity in inoculated plants increased significantly. In contrast, SOD activity in the branches of both inoculated and non-inoculated plants decreased, but the differences were not significant. Interestingly, root SOD activity in AMF-inoculated plants under 0 mg/kg Pb was 42.57% lower than in non-inoculated plants (Figure 8b).
At 750 mg/kg Pb, glutathione (GSH) levels in inoculated plants increased significantly. Compared to non-inoculated plants, GSH levels in the buds and roots of AMF-inoculated plants were significantly higher under 0 mg/kg, 250 mg/kg, and 750 mg/kg Pb treatments. Inoculation significantly influenced GSH levels, while Pb treatment significantly affected GSH levels in both aboveground and root tissues. Interaction effects were not significant (Figure 8c).
Two-way ANOVA results indicated that Pb treatment and AMF inoculation significantly influenced various physiological and biochemical parameters in Populus trees. Pb treatment had significant effects on root hydrogen peroxide (H2O2) concentrations, malondialdehyde (MDA) concentrations, and superoxide dismutase (SOD) activity, as well as on peroxidase (POD) activity in leaves and roots. AMF inoculation significantly affected H2O2 concentrations, MDA concentrations, POD activity, SOD activity, and glutathione (GSH) levels, with particularly strong effects on GSH levels in both aboveground and root tissues.
However, the interaction between Pb treatment and AMF inoculation was generally not significant. This suggests that the combined presence of Pb and AMF did not markedly alter their individual effects on the physiological and biochemical responses of the plants.

4. Discussion

4.1. Effects of AM Fungi on Growth and Photosynthesis of Poplar Under Pb Stress

Lead (Pb), a non-essential element, exerts detrimental effects on plant growth, as evidenced by reductions in biomass, plant height, net photosynthetic efficiency, water use efficiency, and stomatal conductance in Populus simonii × P. nigra ‘1307’ under increasing Pb concentrations. These findings confirm Pb’s toxicity at the applied levels, with significant growth inhibition observed even though the plants survived at 750 mg/kg Pb. This suggests a high degree of Pb tolerance, underscoring the potential of these poplars for phytoremediation in environments where Pb levels exceed regulatory limits [1,21].
Inoculation with arbuscular mycorrhizal (AM) fungi significantly improved the growth metrics of the trees, irrespective of Pb stress, highlighting AM fungi’s role in promoting plant growth under adverse conditions. The enhancement in biomass and plant height can be attributed to the extensive hyphal networks formed by AM fungi, which increase nutrient and water uptake, thereby ameliorating the effects of abiotic stress [22,23,24].
Moreover, AM fungi demonstrated a protective effect against Pb-induced stress, particularly in maintaining photosynthetic efficiency. While Pb typically disrupts normal photosynthesis by damaging chloroplast membranes and altering thylakoid structures, the presence of AM fungi mitigated these effects. The improvements in chlorophyll content and carotenoid levels in AMF-inoculated plants, both in the presence and absence of Pb stress, suggest that AM fungi bolster the plant’s photosynthetic apparatus, making it more resilient to Pb toxicity [8,11,24,25,26,27].

4.2. Effects of AM Fungi on Pb Allocation and Oxidative Damage in Poplar Under Pb Stress

Pb stress significantly increased the levels of hydrogen peroxide (H2O2), a reactive oxygen species (ROS), in Populus simonii × P. nigra ‘1307’. The results of this study align with previous findings on the mechanisms of Pb retention in the root system of woody plants facilitated by AMF. Sharma emphasized the role of AMF in immobilizing heavy metals within root tissues, thereby limiting their translocation to leaves and stems [9]. Similarly, Hasselquist reported that AMF enhances root growth and metal sequestration, effectively reducing the ecological risks associated with phytoremediation [8]. The observed Pb concentration in the roots of poplar (40–60× higher than in leaves) underscores the effectiveness of this retention mechanism. Furthermore, Ye demonstrated that Pb bioavailability significantly decreases at pH levels above 6.0, which is consistent with the pH conditions of this study (7.98) [7]. The combination of AMF and high pH likely contributed to the observed reduction in Pb mobility and toxicity, further supporting the potential application of this approach in alkaline soils.
This increase, particularly at higher Pb concentrations, indicates a stress-induced oxidative response. However, AMF inoculation effectively mitigated this oxidative stress, as evidenced by the lower H2O2 levels in AMF-inoculated plants, which suggests that AM fungi play a crucial role in reducing Pb-induced oxidative damage.
Furthermore, Pb stress led to elevated malondialdehyde (MDA) levels, indicating lipid peroxidation and membrane damage. The reduction in MDA levels in AMF-inoculated plants under Pb stress reinforces the protective role of AM fungi in maintaining membrane integrity [13,28]. This is likely due to the enhanced activity of antioxidant enzymes, such as peroxidase (POD) and superoxide dismutase (SOD), which detoxify ROS, thereby preventing cellular damage. Inoculation with Rhizophagus irregularis significantly enhanced the activities of antioxidant enzymes in poplar leaves and roots. Under 750 mg/kg Pb stress, SOD activity increased by 45.6%, CAT activity by 38.2%, and POD activity by 32.5% compared to the non-inoculated group. Additionally, H2O2 levels decreased by 24.3%, and MDA content reduced by 30.6%, suggesting effective alleviation of oxidative stress.
The increased levels of glutathione (GSH) in both Pb-stressed and AMF-inoculated plants further underscore the role of AM fungi in enhancing the plant’s antioxidant defenses. GSH not only scavenges ROS but also forms complexes with Pb, reducing its bioavailability and toxicity within the plant tissues [29,30]. Finally, while Pb exposure did not significantly alter soluble protein levels in the leaves, the increase observed in AMF-inoculated plants suggests that AM fungi may enhance protein synthesis or stability, contributing to overall plant resilience. This enhancement in soluble protein content could have practical implications, suggesting potential economic benefits for cultivating these trees in Pb-contaminated soils [21,31,32,33,34].
A limitation of this study is the lack of direct evidence for mycorrhizal colonization in poplar roots. While physiological and growth data strongly suggest successful AMF colonization, the absence of morphological or molecular validation limits the ability to directly attribute observed effects to fungal colonization. Future research will address this gap by incorporating root staining techniques and molecular assays, such as PCR-based detection of AMF-specific gene markers, to confirm and quantify colonization levels. These methods will enhance the robustness of the findings and provide a clearer understanding of the AMF-plant interaction under Pb stress.

4.3. Root Sequestration Mechanism of Pb

The significantly higher Pb concentrations observed in the roots of AMF-inoculated plants compared to aerial parts suggest that AMF play a critical role in root sequestration of Pb. This mechanism is crucial for reducing Pb toxicity in leaves and stems, which are more susceptible to oxidative damage. The root sequestration effect can be attributed to several AMF-mediated processes, including Pb immobilization in the cell wall, chelation by fungal exudates, and storage within fungal structures such as hyphae and vesicles.
Miransari (2011) highlighted that AMF can act as a biological barrier, preventing heavy metal transport to aerial parts by enhancing metal binding to the root apoplast and reducing xylem loading. Furthermore, the extensive fungal hyphal network provides an additional sink for Pb, thereby limiting its mobility. In this study, the Pb concentration in roots being 40–60 times higher than in leaves supports this hypothesis and underscores the protective effect of AMF under Pb stress [35].
The reduced translocation factor (TF) observed in AMF-inoculated plants further corroborates this mechanism, as Pb was predominantly sequestered in roots. This root retention strategy not only minimizes Pb accumulation in edible or economically important tissues, but also enhances the phytostabilization potential of poplars for environmental remediation purposes.

4.4. Long-Term Effects and Trade-Offs of AM Fungi Under Pb Stress

The long-term effects of AM fungi inoculation under Pb stress deserve further attention. While this study demonstrates the significant role of Rhizophagus intraradices in improving Pb tolerance in poplar trees through mechanisms such as root Pb sequestration, enhanced photosynthetic performance, and activation of antioxidant defenses, potential trade-offs and limitations need to be considered.
Long-term stability of AM fungi–plant interactions: The efficacy of AM fungi in mitigating heavy metal stress is influenced by soil conditions, fungal persistence, and plant growth stages. Over time, nutrient imbalances or environmental stresses may affect the colonization efficiency and functionality of AM fungi. Additionally, the buildup of immobilized Pb in roots could lead to localized toxicity or reduced root functionality.
Ecological implications: While AM fungi reduce Pb translocation to aerial parts, their long-term effect on soil microbial communities and nutrient cycling remains unclear. High levels of Pb sequestration in the rhizosphere may impact other beneficial microbes, altering the soil microbiome composition.
Trade-offs in nutrient allocation: The symbiotic relationship between AM fungi and host plants involves carbon investment from the plant. Under prolonged stress conditions, this carbon allocation might compete with other plant metabolic processes, potentially affecting growth or reproduction in the long term.
Future studies should focus on evaluating the persistence of AM fungal benefits across multiple growth cycles, their interaction with varying soil Pb concentrations, and potential trade-offs between Pb stress mitigation and plant resource allocation.

5. Conclusions

The study demonstrates that AM fungi, particularly Rhizophagus irregularis, significantly improve the growth and stress tolerance of Populus simonii × P. nigra ‘1307’ under Pb stress. The enhanced growth and photosynthetic efficiency observed in AMF-inoculated plants underline the critical role of AM fungi in mitigating Pb toxicity, likely through improved nutrient and water uptake and the stabilization of chloroplast structures.
The observed improvements in growth, photosynthesis, and oxidative stress mitigation can be attributed to the symbiotic relationship between AM fungi and poplar. AM fungi not only enhanced nutrient uptake and reduced Pb translocation to aerial parts, but also activated antioxidant defense mechanisms to mitigate Pb-induced oxidative damage. Specifically, the significant increases in SOD (45.6%) and CAT (38.2%) activities highlight the role of AM fungi in ROS detoxification. Furthermore, the substantial reduction of Pb in leaves (53.7%) and stems demonstrates the effectiveness of AM fungi in Pb sequestration, primarily in roots, thereby limiting Pb toxicity in sensitive tissues.
Additionally, the study provides insights into the molecular mechanisms underpinning the observed physiological benefits. The reduction in oxidative damage, as indicated by lower H2O2 and MDA levels, along with increased antioxidant enzyme activities, suggests that AM fungi strengthen the plant’s intrinsic defense systems against ROS. The elevated GSH levels further emphasize the role of AM fungi in detoxifying Pb and protecting cellular components from oxidative stress.
These findings have significant implications for the use of AM fungi in phytoremediation strategies, particularly in environments with high Pb contamination. By enhancing plant resilience and reducing Pb toxicity, AM fungi can play a pivotal role in the successful implementation of phytoremediation programs, offering a sustainable solution for managing heavy metal pollution.

Author Contributions

Conceptualization, N.X. and X.W.; methodology, N.X.; formal analysis, Y.W.; investigation, X.W. and J.D.; resources, X.Y.; writing—original draft, N.X. and X.W.; writing—review and editing, N.X. and X.Y. All authors have read and agreed to the published version of the manuscript.

Funding

This research was supported by the Heilongjiang Province Natural Science Foundation (LH2022C053); the National Natural Science Foundation of China (31500323; 32101396); the Heilongjiang Province postdoctoral research start-up Foundation project (2022106); the Fundamental Research Funds for the Science and Technology Project of the Jilin Provincial Education Department (JJKH20240565KJ); and the Natural Science Foundation of Jilin Province, China (YDZJ202401456ZYTS).

Data Availability Statement

The original contributions presented in the study are included in the article; further inquiries can be directed to the corresponding author.

Conflicts of Interest

The authors declare no conflicts of interest.

References

  1. Begum, N.; Qin, C.; Ahanger, M.A.; Raza, S.; Khan, M.I.; Ahmed, N.; Zhang, L. Role of arbuscular mycorrhizal fungi in plant growth regulation: Implications in abiotic stress tolerance. Front. Plant Sci. 2019, 10, 1068. [Google Scholar] [CrossRef]
  2. Pulford, I.D.; Watson, C. Phytoremediation of heavy metal-contaminated land by trees—A review. Environ. Int. 2003, 29, 529–540. [Google Scholar] [CrossRef] [PubMed]
  3. Smith, S.E.; Read, D.J. Mycorrhizal Symbiosis; Academic Press: Cambridge, MA, USA, 2008. [Google Scholar]
  4. Lin, X.; Zhang, Y.; Lan, H.; Gao, H.; Wang, L. Transcriptome analysis reveals key genes associated with lead (Pb) tolerance in Populus. BMC Plant Biol. 2019, 19, 537. [Google Scholar]
  5. Bandyopadhyay, T.; Kar, R.K.; Bhaduri, D.; Dey, N. Comprehensive analysis of ABC transporter gene family and their expression profiles under lead stress in Populus. Environ. Pollut. 2020, 261, 114198. [Google Scholar] [CrossRef]
  6. Wang, P.; Zhou, L.; Shen, Z. The role of arbuscular mycorrhizal fungi in phytoremediation of heavy metals: An overview. Environ. Pollut. 2017, 224, 227–238. [Google Scholar] [CrossRef]
  7. Ye, J.; Zhang, Q.; Liu, G.; Lin, L.; Wang, H.; Lin, S.; Wang, Y.; Wang, Y.; Zhang, Q.; Jia, X.; et al. Impact of soil pH on lead (Pb) bioavailability and its uptake by plants. Environ. Pollut. 2020, 262, 114352. [Google Scholar] [CrossRef]
  8. Hasselquist, N.J.; Metcalfe, D.B.; Högberg, P. Functional traits and heavy metal tolerance in Populus spp.: Implications for phytoremediation. Sci. Total Environ. 2021, 753, 141802. [Google Scholar] [CrossRef]
  9. Sharma, P.; Jha, A.B.; Dubey, R.S. Arbuscular mycorrhizal symbiosis and antioxidant defense in plants under heavy metal stress. Plant Soil 2012, 351, 255–274. [Google Scholar]
  10. An, Q.; Luo, H.H.; Wang, X.M.; Liu, J. The roles of arbuscular mycorrhizal fungi in plant growth and heavy metal tolerance in polluted soils. J. Hazard. Mater. 2020, 381, 121189. [Google Scholar] [CrossRef]
  11. Hildebrandt, U.; Regvar, M.; Bothe, H. Arbuscular mycorrhiza and heavy metal tolerance: New insights and potential applications. Phytochemistry 2007, 68, 101–113. [Google Scholar] [CrossRef]
  12. Miransari, M. Hyperaccumulators, arbuscular mycorrhizal fungi and stress of heavy metals. Biotechnol. Adv. 2011, 29, 645–653. [Google Scholar] [CrossRef] [PubMed]
  13. Zhang, F.; Zhang, S.; Cheng, L.; Ma, L.Q. Arbuscular mycorrhizal fungi mitigate arsenic-induced oxidative stress in bahiagrass. Environ. Pollut. 2017, 226, 48–56. [Google Scholar] [CrossRef]
  14. Chen, X.; Wang, H.; Liu, Y. Phytoremediation of heavy metals by Populus species: A review. J. Hazard. Mater. 2021, 403, 123854. [Google Scholar] [CrossRef]
  15. Jiang, J.; Tiemann, L.K. Arbuscular mycorrhizal fungi and nutrient cycling in agroecosystems: A review. Agric. Ecosyst. Environ. 2020, 294, 106841. [Google Scholar] [CrossRef]
  16. Singh, P.; Agrawal, M. Plant–mycorrhizal interactions in heavy metal polluted soils: Implications for phytoremediation. Environ. Pollut. 2021, 276, 116747. [Google Scholar] [CrossRef]
  17. Lanfranco, L.; Fiorilli, V.; Gutjahr, C. Partner communication and role of nutrients in the arbuscular mycorrhizal symbiosis. New Phytol. 2018, 220, 1031–1046. [Google Scholar] [CrossRef]
  18. Chen, B.D.; Roos, P.; Borggaard, O.K. Soil pH and mycorrhizal development affect metal toxicity in pea (Pisum sativum L.). Soil Biol. Biochem. 2007, 39, 2525–2534. [Google Scholar] [CrossRef]
  19. Ren, H.; Endresz, I.; Naidu, R. Arbuscular mycorrhizal fungi enhance maize tolerance to salinity and heavy metal stress. Environ. Geochem. Health 2014, 36, 125–137. [Google Scholar]
  20. Xu, N.; Ding, J.; Zhang, T.; Dong, J.; Wang, Y.; Yang, X. Effects of elevated CO2 concentration and temperature on the growth and photosynthetic characteristics of Populus simonii × P. nigra ‘1307’ leaves. Forests 2023, 14, 2156. [Google Scholar] [CrossRef]
  21. Zhang, J.; Zhang, W.; Ding, C.; Yuan, Z.; Dai, L.; Su, X.; Shen, Y. Comparative analysis of growth photosynthetic physiology and root tip ion flow characteristics of five poplar varieties. Bull. Bot. Res. 2024, 44, 96–106. [Google Scholar] [CrossRef]
  22. Hou, W.; Chen, X.; Song, G.; Wang, Q.; Chang, C.C. Effects of Pb on chlorophyll biosynthesis and degradation in rice. J. Plant Physiol. 2018, 224, 47–55. [Google Scholar] [CrossRef]
  23. Kang, J.; Park, J.; Choi, H.; Burla, B.; Kretzschmar, T.; Lee, Y.; Martinoia, E. Plant ABC transporters. Arab. Book 2015, 13, e0164. [Google Scholar] [CrossRef] [PubMed]
  24. Wu, Q.S.; Zou, Y.N.; He, X.H. Differences of hyphal and soil phosphatase activities in roots of trifoliate orange seedlings colonized by three arbuscular mycorrhizal fungi. Sci. Hortic. 2011, 118, 213–217. [Google Scholar] [CrossRef]
  25. Meier, S.; Talamini, V.; Cornejo, P. Arbuscular mycorrhizal fungi and heavy metal tolerance in plants. J. Plant Interact. 2021, 16, 158–171. [Google Scholar]
  26. Al-Huqail, A.A.; AbdElgawad, H. The role of arbuscular mycorrhizal fungi in enhancing plant tolerance to cadmium stress. Environ. Pollut. 2020, 263, 114416. [Google Scholar] [CrossRef]
  27. Olawuyi, O.J.; Ajiboye, T. Arbuscular mycorrhizal fungi and phytoremediation: An overview. Environ. Rev. 2019, 27, 509–523. [Google Scholar]
  28. Sharma, I.; Pande, A. Phytoremediation of heavy metals through arbuscular mycorrhizal fungi. Environ. Biotechnol. 2020, 16, 287–299. [Google Scholar]
  29. Mitra, A.; Chatterjee, S.; Voronina, A.V.; Walther, C.; Gupta, D.K. Lead toxicity in plants: A Review. In Lead in Plants and the Environment. Radionuclides and Heavy Metals in the Environment; Gupta, D., Chatterjee, S., Walther, C., Eds.; Springer: Cham, Switzerland. [CrossRef]
  30. Huang, Z.; Chen, X.; Wang, J.; Li, T.; Zhou, Y.; Zhang, X.; Luo, S. Phytoremediation of lead: An updated review. Environ. Sci. Pollut. Res. 2019, 26, 23776–23788. [Google Scholar] [CrossRef]
  31. Zhang, X.; Zhang, H.; Lou, X.; Tang, M. Mycorrhizal and non-mycorrhizal Medicago truncatula roots exhibit differentially regulated NADPH oxidase and antioxidant response under Pb stress. Environ. Exp. Bot. 2019, 164, 10–19. [Google Scholar] [CrossRef]
  32. Yang, Y.; Song, Y.; Scheller, H.V.; Ghosh, A.; Ban, Y.; Chen, H.; Tang, M. Community structure of arbuscular mycorrhizal fungi associated with Robinia pseudoacacia in uncontaminated and heavy metal contaminated soils. Soil Bio. Biochem. 2015, 86, 146–158. [Google Scholar] [CrossRef]
  33. Zhou, J.; Jiang, Z.; Ma, J.; Yang, L.; Wei, Y. The effects of lead stress on photosynthetic function and chloroplast ultrastructure of Robinia pseudoacacia seedlings. Environ. Sci. Pollut. Res. 2017, 24, 10718–10726. [Google Scholar] [CrossRef] [PubMed]
  34. Collin, S.; Baskar, A.; Geevarghese, D.M.; Ali, M.N.V.S.; Bahubali, P.; Choudhary, R.; Lvov, V.; Tovar, G.I.; Senatov, F.; Koppala, S.; et al. Bioaccumulation of lead (Pb) and its effects in plants: A review. J. Hazard. Mater. Lett. 2022, 3, 100064. [Google Scholar] [CrossRef]
  35. Miransari, M. Soil microbes and plant fertilization. Appl. Microbiol. Biot. 2011, 92, 875–885. [Google Scholar] [CrossRef] [PubMed]
Figure 1. Effect of arbuscular mycorrhizal (AM) fungus on the growth of poplar (Populus simonii × P. nigra ‘1307’) under varying lead (Pb) stress conditions: (a) Height (cm); (b) Above-ground Fresh Weight (g); (c) Below-ground Fresh Weight (g). Note: Values represent means ± standard deviation (n = 5). AM: Plants inoculated with arbuscular mycorrhizal fungus (Rhizophagus irregularis); NM: Non-inoculated plants (control group without AMF inoculation). Different letters (a–d) indicate significant differences at p < 0.05.
Figure 1. Effect of arbuscular mycorrhizal (AM) fungus on the growth of poplar (Populus simonii × P. nigra ‘1307’) under varying lead (Pb) stress conditions: (a) Height (cm); (b) Above-ground Fresh Weight (g); (c) Below-ground Fresh Weight (g). Note: Values represent means ± standard deviation (n = 5). AM: Plants inoculated with arbuscular mycorrhizal fungus (Rhizophagus irregularis); NM: Non-inoculated plants (control group without AMF inoculation). Different letters (a–d) indicate significant differences at p < 0.05.
Forests 16 00082 g001
Figure 2. Effect of Arbuscular Mycorrhizal (AM) Fungus on the Photosynthetic Parameters of Poplar (Populus simonii × P. nigra ‘1307’) under Varying Lead (Pb) Stress Conditions: (a) Net photosynthetic rate [PN, μmol(CO2)m−2s−1]; (b) Intercellular CO2 concentration [CI, μmol(CO2)m−2s−1]; (c) Transpiration rate [Tr, μmol(H2O)m−2s−1]; (d) Stomatal conductance [gs, μmol(H2O)m−2s−1]. Note: Values represent means ± standard deviation (n = 5) at p < 0.05. AM: Plants inoculated with arbuscular mycorrhizal fungus (Rhizophagus irregularis); NM: Non-inoculated plants (control group without AMF inoculation). Different letters (a–e) indicate significant differences at p < 0.05.
Figure 2. Effect of Arbuscular Mycorrhizal (AM) Fungus on the Photosynthetic Parameters of Poplar (Populus simonii × P. nigra ‘1307’) under Varying Lead (Pb) Stress Conditions: (a) Net photosynthetic rate [PN, μmol(CO2)m−2s−1]; (b) Intercellular CO2 concentration [CI, μmol(CO2)m−2s−1]; (c) Transpiration rate [Tr, μmol(H2O)m−2s−1]; (d) Stomatal conductance [gs, μmol(H2O)m−2s−1]. Note: Values represent means ± standard deviation (n = 5) at p < 0.05. AM: Plants inoculated with arbuscular mycorrhizal fungus (Rhizophagus irregularis); NM: Non-inoculated plants (control group without AMF inoculation). Different letters (a–e) indicate significant differences at p < 0.05.
Forests 16 00082 g002
Figure 3. Effect of arbuscular mycorrhizal (AM) fungus on the chlorophyll content of poplar (Populus simonii × P. nigra ‘1307’) under varying lead (Pb) stress conditions. Note: Values represent means ± standard deviation (n = 5). NS indicates no significant difference (p > 0.05). Significant effect of two-way ANOVA: * p < 0.05, ** p < 0.01, *** p < 0.001. Pb represents Pb application, AM represents AM fungal treatment, AM × Pb represents the interaction between AM fungal treatment and Pb application. AM: Plants inoculated with arbuscular mycorrhizal fungus (Rhizophagus irregularis); NM: Non-inoculated plants (control group without AMF inoculation). Different letters (a–d) indicate significant differences at p < 0.05.
Figure 3. Effect of arbuscular mycorrhizal (AM) fungus on the chlorophyll content of poplar (Populus simonii × P. nigra ‘1307’) under varying lead (Pb) stress conditions. Note: Values represent means ± standard deviation (n = 5). NS indicates no significant difference (p > 0.05). Significant effect of two-way ANOVA: * p < 0.05, ** p < 0.01, *** p < 0.001. Pb represents Pb application, AM represents AM fungal treatment, AM × Pb represents the interaction between AM fungal treatment and Pb application. AM: Plants inoculated with arbuscular mycorrhizal fungus (Rhizophagus irregularis); NM: Non-inoculated plants (control group without AMF inoculation). Different letters (a–d) indicate significant differences at p < 0.05.
Forests 16 00082 g003
Figure 4. Effect of arbuscular mycorrhizal (AM) fungus on the fluorescence parameters of poplar (Populus simonii × P. nigra ‘1307’) under varying lead (Pb) stress conditions: (a) Maximum quantum yield of photosystem II (Fv/Fm); (b) Non-photochemical quenching (NPQ); (c) Electron transport rate (ETR); (d) Effective quantum yield of photosystem II (ΦPSII). Note: Values represent means ± standard deviation (n = 5) at p < 0.05. AM: Plants inoculated with arbuscular mycorrhizal fungus (Rhizophagus irregularis); NM: Non-inoculated plants (control group without AMF inoculation). Different letters (a, b, c) indicate significant differences at p < 0.05. ETR: Electron Transport Rate, measured in μmol electrons m−2 s−1.
Figure 4. Effect of arbuscular mycorrhizal (AM) fungus on the fluorescence parameters of poplar (Populus simonii × P. nigra ‘1307’) under varying lead (Pb) stress conditions: (a) Maximum quantum yield of photosystem II (Fv/Fm); (b) Non-photochemical quenching (NPQ); (c) Electron transport rate (ETR); (d) Effective quantum yield of photosystem II (ΦPSII). Note: Values represent means ± standard deviation (n = 5) at p < 0.05. AM: Plants inoculated with arbuscular mycorrhizal fungus (Rhizophagus irregularis); NM: Non-inoculated plants (control group without AMF inoculation). Different letters (a, b, c) indicate significant differences at p < 0.05. ETR: Electron Transport Rate, measured in μmol electrons m−2 s−1.
Forests 16 00082 g004
Figure 5. Pb concentrations in leaves, stems, and roots of poplar under AM fungi inoculation and Pb stress conditions: (a) Lead concentration in leaves (mg g−1 DW); (b) Lead concentration in stems (mg g−1 DW); (c) Lead concentration in roots (mg g−1 DW). Note: Values represent means ± standard deviation (n = 5). NS indicates no significant difference (p > 0.05). Significant effect of two-way ANOVA: ** p < 0.01, *** p < 0.001. Pb represents Pb application, AM represents AM fungal treatment, Pb × AM represents the interaction between AM fungal treatment and Pb application. Note: Values represent means ± standard deviation (n = 5) at p < 0.05. AM: Plants inoculated with arbuscular mycorrhizal fungus (Rhizophagus irregularis); NM: Non-inoculated plants (control group without AMF inoculation). Different letters (a, b, c) indicate significant differences at p < 0.05. Different letters (a–e) indicate significant differences at p < 0.05.
Figure 5. Pb concentrations in leaves, stems, and roots of poplar under AM fungi inoculation and Pb stress conditions: (a) Lead concentration in leaves (mg g−1 DW); (b) Lead concentration in stems (mg g−1 DW); (c) Lead concentration in roots (mg g−1 DW). Note: Values represent means ± standard deviation (n = 5). NS indicates no significant difference (p > 0.05). Significant effect of two-way ANOVA: ** p < 0.01, *** p < 0.001. Pb represents Pb application, AM represents AM fungal treatment, Pb × AM represents the interaction between AM fungal treatment and Pb application. Note: Values represent means ± standard deviation (n = 5) at p < 0.05. AM: Plants inoculated with arbuscular mycorrhizal fungus (Rhizophagus irregularis); NM: Non-inoculated plants (control group without AMF inoculation). Different letters (a, b, c) indicate significant differences at p < 0.05. Different letters (a–e) indicate significant differences at p < 0.05.
Forests 16 00082 g005
Figure 6. Effect of arbuscular mycorrhizal (AM) fungus on inoculation on transfer factor and bioconcentration factor of poplar (Populus simonii × P. nigra ‘1307’) under varying lead (Pb) stress conditions: (a) Transfer factor (TF) of Pb under different Pb concentrations; (b) Bioconcentration factor (BCF) of Pb under different Pb concentrations. Note: Values represent means ± standard deviation (n = 5). NS indicates no significant difference (p > 0.05). Significant effect of two-way ANOVA: ** p < 0.01, *** p < 0.001. Pb represents Pb application, AM represents AM fungal treatment, Pb × AM represents the interaction between AM fungal treatment and Pb application. AM: Plants inoculated with arbuscular mycorrhizal fungus (Rhizophagus irregularis); NM: Non-inoculated plants (control group without AMF inoculation). Different letters (a–d) indicate significant differences at p < 0.05.
Figure 6. Effect of arbuscular mycorrhizal (AM) fungus on inoculation on transfer factor and bioconcentration factor of poplar (Populus simonii × P. nigra ‘1307’) under varying lead (Pb) stress conditions: (a) Transfer factor (TF) of Pb under different Pb concentrations; (b) Bioconcentration factor (BCF) of Pb under different Pb concentrations. Note: Values represent means ± standard deviation (n = 5). NS indicates no significant difference (p > 0.05). Significant effect of two-way ANOVA: ** p < 0.01, *** p < 0.001. Pb represents Pb application, AM represents AM fungal treatment, Pb × AM represents the interaction between AM fungal treatment and Pb application. AM: Plants inoculated with arbuscular mycorrhizal fungus (Rhizophagus irregularis); NM: Non-inoculated plants (control group without AMF inoculation). Different letters (a–d) indicate significant differences at p < 0.05.
Forests 16 00082 g006
Figure 7. Effect of arbuscular mycorrhizal (AM) fungus inoculation on antioxidant enzyme activities of poplar (Populus simonii × P. nigra ‘1307’) under varying lead (Pb) stress conditions: (a) Hydrogen peroxide (H2O2) levels under different Pb concentrations; (b) Malondialdehyde (MDA) content under different Pb concentrations. Note: Values represent means ± standard deviation (n = 5). NS indicates no significant difference (p > 0.05). Significant effect of two-way ANOVA: * p < 0.05; ** p < 0.01; *** p < 0.001. Pb represents Pb application, AM represents AM fungal treatment, Pb × AM represents the interaction between AM fungal treatment and Pb application. AM: Plants inoculated with arbuscular mycorrhizal fungus (Rhizophagus irregularis); NM: Non-inoculated plants (control group without AMF inoculation). Different letters (a–d) indicate significant differences at p < 0.05. Unit: Pb concentration expressed as mg/kg DW (dry weight); enzyme activity expressed as U/mg protein.
Figure 7. Effect of arbuscular mycorrhizal (AM) fungus inoculation on antioxidant enzyme activities of poplar (Populus simonii × P. nigra ‘1307’) under varying lead (Pb) stress conditions: (a) Hydrogen peroxide (H2O2) levels under different Pb concentrations; (b) Malondialdehyde (MDA) content under different Pb concentrations. Note: Values represent means ± standard deviation (n = 5). NS indicates no significant difference (p > 0.05). Significant effect of two-way ANOVA: * p < 0.05; ** p < 0.01; *** p < 0.001. Pb represents Pb application, AM represents AM fungal treatment, Pb × AM represents the interaction between AM fungal treatment and Pb application. AM: Plants inoculated with arbuscular mycorrhizal fungus (Rhizophagus irregularis); NM: Non-inoculated plants (control group without AMF inoculation). Different letters (a–d) indicate significant differences at p < 0.05. Unit: Pb concentration expressed as mg/kg DW (dry weight); enzyme activity expressed as U/mg protein.
Forests 16 00082 g007
Figure 8. Effect of arbuscular mycorrhizal (AM) fungus inoculation on antioxidant enzyme activities of poplar (Populus simonii × P. nigra ‘1307’) under varying lead (Pb) stress conditions: (a) Peroxidase (POD) activity in shoots and roots under different Pb concentrations; (b) Superoxide dismutase (SOD) activity in shoots and roots under different Pb concentrations; (c) Glutathione (GSH) content in shoots and roots under different Pb concentrations. Note: Values represent means ± standard deviation (n = 5). NS indicates no significant difference (p > 0.05). Significant effect of two-way ANOVA: * p < 0.05, ** p < 0.01, *** p < 0.001. Pb represents Pb application, AM: Plants inoculated with arbuscular mycorrhizal fungus (Rhizophagus irregularis); NM: Non-inoculated plants (control group without AMF inoculation). Different letters (a–g) indicate significant differences at p < 0.05. Different letters (a, b, c) indicate significant differences at p < 0.05. Unit: Pb concentration expressed as mg/kg DW (dry weight); enzyme activity expressed as U/mg protein.
Figure 8. Effect of arbuscular mycorrhizal (AM) fungus inoculation on antioxidant enzyme activities of poplar (Populus simonii × P. nigra ‘1307’) under varying lead (Pb) stress conditions: (a) Peroxidase (POD) activity in shoots and roots under different Pb concentrations; (b) Superoxide dismutase (SOD) activity in shoots and roots under different Pb concentrations; (c) Glutathione (GSH) content in shoots and roots under different Pb concentrations. Note: Values represent means ± standard deviation (n = 5). NS indicates no significant difference (p > 0.05). Significant effect of two-way ANOVA: * p < 0.05, ** p < 0.01, *** p < 0.001. Pb represents Pb application, AM: Plants inoculated with arbuscular mycorrhizal fungus (Rhizophagus irregularis); NM: Non-inoculated plants (control group without AMF inoculation). Different letters (a–g) indicate significant differences at p < 0.05. Different letters (a, b, c) indicate significant differences at p < 0.05. Unit: Pb concentration expressed as mg/kg DW (dry weight); enzyme activity expressed as U/mg protein.
Forests 16 00082 g008
Table 1. Two-way ANOVA analysis of the effects of Pb and AM fungal treatments on the growth status of poplar (Populus simonii × P. nigra ‘1307’).
Table 1. Two-way ANOVA analysis of the effects of Pb and AM fungal treatments on the growth status of poplar (Populus simonii × P. nigra ‘1307’).
IndicatorAM Fungal TreatmentPb StressAM Fungal Treatment × Pb Stress
(F Value)(p Value)(F Value) (p Value)(F Value)(p Value)
Above-ground Fresh Weight333.2570.000 **4.9880.006 **1.1580.388
Below-ground Fresh Weight579.1240.000 **21.7250.000 **1.1240.457
Plant Height769.8990.000 **11.3840.000 **2.6890.045 *
Note: Significant effect of two-way ANOVA: * p < 0.05, ** p < 0.01.
Table 2. Two-way ANOVA analysis of the effects of Pb and AM fungal treatments on the photosynthesis of Poplar (Populus simonii × P. nigra ‘1307’).
Table 2. Two-way ANOVA analysis of the effects of Pb and AM fungal treatments on the photosynthesis of Poplar (Populus simonii × P. nigra ‘1307’).
IndicatorAM Fungal TreatmentPb StressAM Fungal Treatment × Pb Stress
(F Value)(p Value)(F Value)(p Value)(F Value)(p Value)
Net Photosynthetic Rate (Pn)254.2380.000 **32.9870.000 **4.9580.003 **
Intercellular CO2 Concentration (Ci)104.7980.000 **14.8550.000 **32.8990.000 **
Transpiration Rate (Tr)313.8970.000 **7.1560.000 **7.5690.000 **
Stomatal Conductance (GS)187.3010.000 **15.7010.000 **7.6980.000 **
Note: Significant effect of two-way ANOVA: ** p < 0.01.
Table 3. Effects of AM fungus on chlorophyll fluorescence parameters of poplar (Populus simonii × P. nigra ‘1307’) under different Pb treatments.
Table 3. Effects of AM fungus on chlorophyll fluorescence parameters of poplar (Populus simonii × P. nigra ‘1307’) under different Pb treatments.
SignificancePSII Maximum Quantum Yield (Fv/Fm)PSII Effective Quantum Yield (ΦPSII)Non-photochemical Quenching (NPQ)Electron Transport Rate (ETR)
Pb: NSNSNS**NS
AM************
Pb × AM*****
Note: NS indicates no significant difference (p > 0.05). Significant effect of two-way ANOVA: * p < 0.05, ** p < 0.01, *** p < 0.001. Pb represents Pb application, AM represents AM fungal treatment, Pb × AM represents the interaction between AM fungal treatment and Pb application.
Disclaimer/Publisher’s Note: The statements, opinions and data contained in all publications are solely those of the individual author(s) and contributor(s) and not of MDPI and/or the editor(s). MDPI and/or the editor(s) disclaim responsibility for any injury to people or property resulting from any ideas, methods, instructions or products referred to in the content.

Share and Cite

MDPI and ACS Style

Xu, N.; Wei, X.; Wang, Y.; Dong, J.; Yang, X. Mechanism of Arbuscular Mycorrhizal Fungi in Enhancing Lead Stress Resistance in Poplar Trees. Forests 2025, 16, 82. https://doi.org/10.3390/f16010082

AMA Style

Xu N, Wei X, Wang Y, Dong J, Yang X. Mechanism of Arbuscular Mycorrhizal Fungi in Enhancing Lead Stress Resistance in Poplar Trees. Forests. 2025; 16(1):82. https://doi.org/10.3390/f16010082

Chicago/Turabian Style

Xu, Nan, Xiaowei Wei, Yuan Wang, Juexian Dong, and Xuechen Yang. 2025. "Mechanism of Arbuscular Mycorrhizal Fungi in Enhancing Lead Stress Resistance in Poplar Trees" Forests 16, no. 1: 82. https://doi.org/10.3390/f16010082

APA Style

Xu, N., Wei, X., Wang, Y., Dong, J., & Yang, X. (2025). Mechanism of Arbuscular Mycorrhizal Fungi in Enhancing Lead Stress Resistance in Poplar Trees. Forests, 16(1), 82. https://doi.org/10.3390/f16010082

Note that from the first issue of 2016, this journal uses article numbers instead of page numbers. See further details here.

Article Metrics

Back to TopTop