Genome-Wide Identification and Characterization of the Homeodomain Leucine Zipper Protein (HD-Zip) Gene Family in Sea Buckthorn (Hippophae rhamnoides) Under Lead Stress
Abstract
1. Introduction
2. Results
2.1. Identification of Sea Buckthorn HD-Zip Gene Family Members
2.2. Phylogenetic Analysis of Proteins in the HD-Zip Gene Family of Sea Buckthorn
2.3. Gene Structure and Conserved Motif Analysis of the HD-Zip Genes of Sea Buckthorn
2.4. Results Analysis of Cis-Acting Element Prediction and Collinearity
2.5. Expression Analysis of HD-Zip Family Genes of Sea Buckthorn Under Lead Stress, and Correlation Measures Between Gene Expression and Lead Concentration
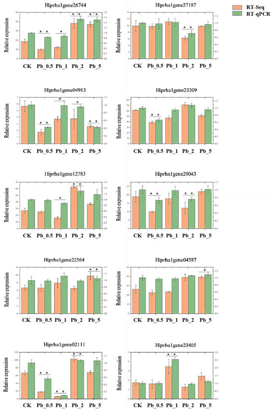
2.6. qRT-PCR Validation of HD-ZiP Gene Expression Under Lead Stress
2.7. Three-Dimensional Structure Prediction and Protein Interaction Analysis of Representative Genes
2.8. SEM-EDS Analysis of Changes in Sea Buckthorn Tissues Under Lead Stress
3. Discussion
3.1. Fragment Duplication Is the Main Source of HD-Zip Gene Amplification
3.2. Phylogenetic Analysis and Evolution of HD-Zip Family Genes
3.3. Discussion of the Differences Between RNA-Seq and RT-qPCR Results
3.4. HD-Zip Plays an Important Role in the Heavy Metal Stress Response
3.5. SEM Analysis of Sea Buckthorn Tissues Under Different Lead Concentration Treatments
4. Materials and Methods
4.1. Identification of Sea Buckthorn HD-Zip Genes
4.2. Phylogenetic Analysis
4.3. Chromosomal Location, Gene Structure, and Conserved Motif Study of HD-Zip
4.4. Cis-Acting Element Prediction and Gene Duplication and Synteny Analysis
4.5. Expression Analysis of RNA-seq Data from Hippophae rhamnoides
4.6. Plant Material, Growth Conditions, and Stress Treatments
4.7. Extraction of RNA and qRT-PCR Analysis
4.8. Three-Dimensional Structure Prediction of Proteins and Protein–Protein Interaction Network Prediction
4.9. Scanning Electron Microscopy (SEM)
5. Conclusions
Author Contributions
Funding
Data Availability Statement
Conflicts of Interest
References
- Henriksson, E.; Olsson, A.S.; Johannesson, H.; Johansson, H.; Hanson, J.; Engström, P.; Söderman, E. Homeodomain leucine zipper class I genes in Arabidopsis Expression patterns and phylogenetic relationships. Plant Physiol. 2005, 139, 509–518. [Google Scholar] [CrossRef] [PubMed]
- Harris, J.C.; Hrmova, M.; Lopato, S.; Langridge, P. Modulation of plant growth by HD-Zip class I and II transcription factors in response to environmental stimuli. New Phytol. 2011, 190, 823–837. [Google Scholar] [CrossRef] [PubMed]
- Ariel, F.D.; Manavella, P.A.; Dezar, C.A.; Chan, R.L. The true story of the HD-Zip family. Trends Plant Sci. 2007, 12, 419–426. [Google Scholar] [CrossRef]
- Sessa, G.; Carabelli, M.; Ruberti, I.; Lucchetti, S.; Baima, S.; Morelli, G. Identification of distinct families of HD-Zip proteins in Arabidopsis thaliana. Plant Mol. Biol. 1994, 411–426. [Google Scholar]
- Yue, H.; Shu, D.; Wang, M.; Xing, G.; Zhan, H.; Du, X.; Song, W.; Nie, X. Genome-wide identification and expression analysis of the HD-Zip gene family in wheat (Triticum aestivum L.). Genes. 2018, 9, 70. [Google Scholar] [CrossRef]
- Zhao, Y.; Zhou, Y.; Jiang, H.; Li, X.; Gan, D.; Peng, X.; Zhu, X.; Cheng, B. Systematic analysis of sequences and expression patterns of drought-responsive members of the HD-Zip gene family in maize. PLoS ONE 2011, 6, e28488. [Google Scholar] [CrossRef]
- Yadav, A.; Kumar, S.; Verma, R.; Lata, C.; Sanyal, I.; Rai, S.P. microRNA 166: An evolutionarily conserved stress biomarker in land plants targeting HD-ZIP family. Physiol. Mol. Biol. Plants 2021, 27, 2471–2485. [Google Scholar] [CrossRef]
- Ding, Z.; Fu, L.; Yan, Y.; Tie, W.; Xia, Z.; Wang, W.; Peng, M.; Hu, W.; Zhang, J. Genome-wide characterization and expression profiling of HD-Zip gene family related to abiotic stress in cassava. PLoS ONE 2017, 12, e0173043. [Google Scholar] [CrossRef]
- Tang, Y.; Peng, J.; Lin, J.; Wang, Y.; Zhang, X.; Liu, H. A HD-Zip I transcription factor from physic nut, JcHDZ21, confers sensitive to salinity in transgenic Arabidopsis. Front. Plant Sci. 2023, 14, 1097265. [Google Scholar] [CrossRef]
- Hu, Y.; Li, S.; Fan, X.; Wang, Z.; Liu, Q.; Zhao, X.; Zhang, H. OsHOX1 and OsHOX28 redundantly shape rice tiller angle by reducing HSFA2D expression and auxin content. Plant Physiol. 2020, 184, 1424–1437. [Google Scholar] [CrossRef]
- Fang, Y.; Wang, L.; Liu, K.; Li, J.; Zhang, H.; Wang, Z. Genome-wide investigation of HD-ZIP gene family and functional characterization of BnaHDZ149 and BnaHDZ22 in salt and drought response in Brassica napus L. Plant Sci. 2024, 112130. [Google Scholar] [CrossRef] [PubMed]
- Ma, F.; Song, S.; Li, C.; Wang, H.; Liu, J. Passion fruit HD-Zip genes: Characterization, expression variance, and overexpression PeHB31 enhanced drought tolerance via lignin pathway. Int. J. Biol. Macromol. 2024, 276, 133603. [Google Scholar] [CrossRef]
- Li, Y.; Yang, Z.; Zhang, Y.; Wang, H.; Liu, J. The roles of HD-Zip proteins in plant abiotic stress tolerance. Front. Plant Sci. 2022, 13, 1027071. [Google Scholar] [CrossRef]
- Zhou, C.P.; Li, C.P.; Liang, W.W.; Guo, P.; Yang, L.T.; Chen, L.S. Identification of manganese-toxicity-responsive genes in roots of two citrus species differing in manganese tolerance using cDNA-AFLP. Trees 2017, 31, 813–831. [Google Scholar] [CrossRef]
- Ding, Y.F.; Gong, S.H.; Wang, Y.; Wang, F.J.; Bao, H.X.G.D.L.; Sun, J.W.; Cai, C.; Yi, K.K.; Chen, Z.X.; Zhu, C. MicroRNA166 Modulates Cadmium Tolerance and Accumulation in Rice. Plant Physiol. 2018, 177, 1691–1703. [Google Scholar] [CrossRef]
- Zheng, X.; Zhu, S.; Tang, S.; Liu, T. Identification of drought, cadmium and root-lesion nematode infection stress-responsive transcription factors in ramie. Open Life Sci. 2016, 11, 191–199. [Google Scholar] [CrossRef]
- Parveen, S.; Pandey, A.; Jameel, N.; Chakraborty, S.; Chakraborty, N. Transcriptional regulation of chickpea ferritin CaFer1 influences its role in iron homeostasis and stress response. J. Plant Physiol. 2018, 222, 9–16. [Google Scholar] [CrossRef] [PubMed]
- Zhou, W.; Wang, C.; Hu, N.; Suo, Y. Establishment and Optimization of Chinese Seabuckthorn ISSR-PCR Reaction System. Mol. Plant Breed. 2019, 17, 11. [Google Scholar]
- Rahman, S.U.; Qin, A.; Zain, M.; Wang, H.; Liu, X. Pb uptake, accumulation, and translocation in plants: Plant physiological, biochemical, and molecular response: A review. Heliyon 2024, 10, e27724. [Google Scholar] [CrossRef] [PubMed]
- Yu, X. Study of HD-Zip Transcription Factors Associated with Drought Stress in Cassava. Ph.D. Thesis, Hainan University, Haikou, China, 2014. [Google Scholar]
- Ruan, C.J.; Rumpunen, K.; Nybom, H. Advances in improvement of quality and resistance in a multipurpose crop: Sea buckthorn. Crit. Rev. Biotechnol. 2013, 33, 126–144. [Google Scholar] [CrossRef]
- Kumar, A.; Kumar, P.; Sharma, A.; Sharma, D.P.; Thakur, M. Scientific insights to existing know-how, breeding, genetics, and biotechnological interventions pave the way for the adoption of high-value underutilized super fruit Sea buckthorn (Hippophae rhamnoides L.). S. Afr. J. Bot. 2022, 145, 348–359. [Google Scholar] [CrossRef]
- Li, Z.; Gao, Z.; Li, R.; Xu, Y.; Kong, Y.; Zhou, G.; Meng, C.; Hu, R. Genome-wide identification and expression profiling of HD-Zip gene family in Medicago truncatula. Genomics 2020, 112, 3624–3635. [Google Scholar] [CrossRef] [PubMed]
- Zhang, L.; Chen, W.; Liu, R.; Shi, B.; Shu, Y.; Zhang, H. Genome-wide characterization and expression analysis of bHLH gene family in physic nut (Jatropha curcas L.). PeerJ 2022, 10, e13786. [Google Scholar] [CrossRef] [PubMed]
- Guo, Z.; Gao, Y.; Yuan, X.; Yuan, M.; Huang, N.; Wang, S.; Liu, C.; Duan, C. Effects of Heavy Metals on Stomata in Plants: A Review. Int. J. Mol. Sci. 2023, 24, 9302. [Google Scholar] [CrossRef]
- Li, Y. Analysis and Functional Study of HD-Zip Gene Family in Barley. Master’s Thesis, Qinghai University, Xining, China, 2020. [Google Scholar]
- Zhang, C.; Xu, X.; Chen, X.; Shen, X.; Lin, Y.; Lei, Z. Biological Information and Expression Analysis of HD-Zip Gene Family in Dimocarpus longan. Lour. Chin. J. Trop. Crops 2019, 40, 1914–1923. [Google Scholar]
- Zhao, Y. Identification of Drought-Related Genes in the HD-Zip Transcription Factor Family of Maize and Functional Analysis of Zmhdz10. Ph.D. Thesis, Anhui Agricultural University, Hefei, China, 2013. [Google Scholar]
- Li, L.; Wang, Y.; Wang, K.Y.; Zhao, M.Z.; Sun, C.Y.; Lin, Y.P.; Zhang, M.P. Structure, function and expression pattern of HD-Zip gene family. Mol. Plant Breed. 2018, 16, 10. [Google Scholar]
- Luo, S. Identification of Mulberry HD-Zip Transcription Factor Gene Family and Expression Analysis. Master’s Thesis, Jiangsu University of Science and Technology, Zhenjiang, China, 2020. [Google Scholar]
- Farris, J.S. Likelihood and inconsistency. Cladistics 1999, 15, 199–204. [Google Scholar]
- Philippe, H.; Zhou, Y.; Brinkmann, H.; Rodrigue, N.; Delsuc, F. Heterotachy and long-branch attraction in phylogenetics. BMC Evol. Biol. 2005, 5, 50. [Google Scholar] [CrossRef]
- Everaert, C.; Luypaert, M.; Maag, J.L.V.; Cheng, Q.X.; Dinger, M.E.; Hellemans, J.; Mestdagh, P. Benchmarking of RNA-sequencing analysis workflows using whole-transcriptome RT-qPCR expression data. Sci. Rep. 2017, 7, 1559. [Google Scholar] [CrossRef]
- Robert, C.; Watson, M. Errors in RNA-Seq quantification affect genes of relevance to human disease. Genome Biol. Evol. 2015, 16, 177. [Google Scholar] [CrossRef]
- Chen, J.; Ran, Q.; Yang, Z.; Zhou, Y.; Yuan, Z.; Lai, H.; Wang, J.; Nie, G.; Zhu, Y. Genome-wide identification and expression profile of the HD-Zip transcription factor family associated with seed germination and abiotic stress response in Miscanthus sinensis. Genes 2022, 13, 2256. [Google Scholar] [CrossRef] [PubMed]
- Liu, Q.; Shuai, P. Progress of HD-ZIP transcription factors in response to pathogens and abiotic stresses. Fujian Agric. J. 2021, 36, 124–134. [Google Scholar]
- Hu, R.; Chi, X.; Chai, G.; Kong, Y.; He, G.; Wang, X.; Shi, D.; Zhang, D.; Zhou, G. Genome-wide identification, evolutionary expansion, and expression profile of homeodomainleucine zipper gene family in poplar (Populus trichocarpa). PLoS ONE 2012, 7, e31149. [Google Scholar]
- Islam, E.; Yang, X.; Li, T.; Liu, D.; Jin, X.; Meng, F. Effect of Pb toxicity on root morphology, physiology and ultrastructure in the two ecotypes of Elsholtzia argyi. J. Hazard. 2007, 147, 806–816. [Google Scholar] [CrossRef]
- Xu, J. Camellia sinensis L. Study on the Absorption, Accumulation and Tolerance Mechanism of Lead. Ph.D. Thesis, Zhejiang University, Hangzhou, China, 2011. [Google Scholar]
- Kosakivska, I.V.; Babenko, L.M.; Romanenko, K.O.; Korotka, I.Y.; Potters, G. Molecular mechanisms of plant adaptive responses to heavy metals stress. Cell Biol. Int. 2021, 45, 258–272. [Google Scholar] [CrossRef]
- Feki, K.; Tounsi, S.; Mrabet, M.; Mhadhbi, H.; Brini, F. Recent advances in physiological and molecular mechanisms of heavy metal accumulation in plants. Environ. Sci. Pollut. Res. 2021, 64967–64986. [Google Scholar] [CrossRef]
- Liao, Y.C.; Chien, S.C.; Wang, M.C.; Shen, Y.; Hung, P.L.; Das, B. Effect of transpiration on Pb uptake by lettuce and on water soluble low molecular weight organic acids in rhizosphere. Chemosphere 2006, 65, 343–351. [Google Scholar] [CrossRef]
- Jabeen, R.; Ahmad, A.; Iqbal, M. Phytoremediation of heavy metals: Physiological and molecular mechanisms. Bot. Rev. 2009, 75, 339–364. [Google Scholar] [CrossRef]
- Greger, M.; Johansson, M. Cadmium effects on leaf transpiration of sugar beet (Beta vulgaris). Physiol. Plant. 1992, 86, 465–473. [Google Scholar] [CrossRef]
- Pires-Lira, M.F.; de Castro, E.M.; Lira, J.M.S.; de Oliveira, C.; Pereira, F.J.; Pereira, M.P. Potential of Panicum aquanticum Poir. (Poaceae) for the phytoremediation of aquatic environments contaminated by lead. Ecotoxicol. Environ. Saf. 2020, 193, 110336. [Google Scholar] [CrossRef]
- Xiong, T.; Zhang, T.; Dumat, C.; Sobanska, S.; Dappe, V.; Shahid, M.; Xian, Y.; Li, X.; Li, S. Airborne foliar transfer of particular metals in Lactuca sativa L.: Translocation, phytotoxicity, and bioaccessibility. Environ. Sci. Pollut. Res. Int. 2019, 26, 20064–20078. [Google Scholar] [CrossRef] [PubMed]
- García-Sánchez, I.E.; Barradas, V.L.; de León Hill, C.A.P.; Esperón-Rodríguez, M.; Pérez, I.R.; Ballinas, M. Effect of heavy metals and environmental variables on the assimilation of CO2 and stomatal conductance of Ligustrum lucidum, an urban tree from Mexico City. Urban. For. Urban. Gree. 2019, 42, 72–81. [Google Scholar] [CrossRef]
- Mistry, J.; Chuguransky, S.; Williams, L.; Qureshi, M.; Gustavo, A.; Sonnhammer, E.L.L.; Tosatto, S.C.E.; Paladin, L.; Raj, S.; Richardson, L.J.; et al. Pfam: The protein families database in 2021. Nucleic Acids Res. 2021, 49, D412–D419. [Google Scholar] [CrossRef] [PubMed]
- Artimo, P.; Jonnalagedda, M.; Arnold, K.; Baratin, D.; Csardi, G.; De-Castro, E.; Séverine, D.; Volker, F.; Arnaud, F.; Elisabeth, G.; et al. ExPASy: SIB bioinformatics resource portal. Nucleic Acids Res. 2012, 40, W597–W603. [Google Scholar] [CrossRef]
- Horton, P.; Park, K.J.; Obayashi, T.; Fujita, N.; Harada, H.; Adams-Collier, C.J.; Nakai, K. WoLF PSORT: Protein localization predictor. Nucleic Acids Res. 2007, 35, W585–W587. [Google Scholar] [CrossRef]
- Kumar, S.; Stecher, G.; Tamura, K. MEGA7: Molecular evolutionary genetics analysis version 7.0 for bigger datasets. Mol. Biol. Evol. 2016, 33, 1870. [Google Scholar] [CrossRef]
- Voorrips, R.E. MapChart: Software for the graphical presentation of linkage maps and QTLs. J. Hered. 2002, 93, 77–78. [Google Scholar] [CrossRef]
- Bailey, T.L.; Johnson, J.; Grant, C.E.; Noble, W.S. The MEME suite. Nucleic Acids Res. 2015, 43, W39–W49. [Google Scholar] [CrossRef]
- Lescot, M.; Déhais, P.; Thijs, G.; Marchal, K.; Moreau, Y.; Peer, Y.V.; Rouzé, P.; Rombauts, S. PlantCARE, a database of plant cis-acting regulatory elements and a portal to tools for in silico analysis of promoter sequences. Nucleic Acids Res. 2002, 30, 325–327. [Google Scholar] [CrossRef]
- Krzywinski, M.; Schein, J.; Birol, I.; Connors, J.; Gascoyne, R.; Horsman, D.; Jones, S.J.; Marra, M.A. Circos: An information aesthetic for comparative genomics. Genome Res. 2009, 19, 1639–1645. [Google Scholar] [CrossRef]
- Chen, C.; Chen, H.; Zhang, Y.; Thomas, H.R.; Frank, M.H.; He, Y.; Xia, R. TBtools: An integrative toolkit developed for interactive analyses of big biological data. Mol. Plant. 2020, 13, 1194–1202. [Google Scholar] [CrossRef] [PubMed]
- Rao, X.; Huang, X.; Zhou, Z.; Li, J.; Wang, H. An improvement of the 2−ΔΔCT method for quantitative real-time polymerase chain reaction data analysis. Biostat. Bioinf. Biomath. 2013, 3, 71. [Google Scholar]
- Waterhouse, A.; Bertoni, M.; Bienert, S.; Studer, G.; Tauriello, G.; Gumienny, R.; Heer, F.T.; Beer, T.A.P.; Rempfer, C.; Bordoli, L.; et al. SWISS-MODEL: Homology modelling of protein structures and complexes. Nucleic Acids Res. 2018, 46, W296–W303. [Google Scholar] [CrossRef] [PubMed]















| Gene ID | Protein Sequence Length (AA) a | Molecular Weight (Da) b | PI c | Chromosomal Location | Subcellular Localization |
|---|---|---|---|---|---|
| Hiprha1gene12783 | 226 | 26,673.8 | 7.50 | 1 | nucle |
| Hiprha1gene25500 | 309 | 35,465.1 | 5.47 | 1 | nucle |
| Hiprha1gene25602 | 277 | 32,008.4 | 6.96 | 1 | nucle |
| Hiprha1gene04844 | 271 | 30,537.1 | 8.59 | 3 | nucle |
| Hiprha1gene04913 | 282 | 32,564.0 | 4.76 | 3 | nucle |
| Hiprha1gene11605 | 212 | 24,366.9 | 6.95 | 3 | nucle |
| Hiprha1gene20652 | 285 | 32,499.3 | 4.21 | 3 | nucle |
| Hiprha1gene25881 | 203 | 23,278.3 | 8.81 | 3 | nucle |
| Hiprha1gene07203 | 319 | 36,569.1 | 4.55 | 4 | nucle |
| Hiprha1gene12367 | 320 | 36,111.5 | 8.15 | 4 | nucle |
| Hiprha1gene15673 | 281 | 31,466.5 | 9.13 | 4 | nucle |
| Hiprha1gene17694 | 285 | 32,669.8 | 4.41 | 4 | nucle |
| Hiprha1gene23309 | 315 | 35,313.4 | 8.50 | 4 | nucle |
| Hiprha1gene23405 | 350 | 39,215.7 | 7.04 | 4 | nucle |
| Hiprha1gene28771 | 221 | 24,815.9 | 8.76 | 5 | nucle |
| Hiprha1gene29043 | 288 | 33,621.3 | 5.06 | 5 | nucle |
| Hiprha1gene16870 | 318 | 36,436.3 | 4.91 | 6 | nucle |
| Hiprha1gene16883 | 301 | 34,507.3 | 6.57 | 6 | nucle |
| Hiprha1gene21993 | 315 | 35,083.2 | 8.00 | 7 | nucle |
| Hiprha1gene22564 | 324 | 37,552.2 | 6.77 | 7 | nucle |
| Hiprha1gene02111 | 272 | 31,451.5 | 4.96 | 8 | nucle |
| Hiprha1gene04587 | 297 | 34,264.8 | 4.89 | 9 | nucle |
| Hiprha1gene27056 | 225 | 26,254.3 | 6.36 | 10 | nucle |
| Hiprha1gene27187 | 330 | 37,405.8 | 9.71 | 10 | nucle |
| Hiprha1gene27383 | 277 | 31,024.8 | 8.15 | 10 | nucle |
| Hiprha1gene27418 | 326 | 37,413.1 | 4.39 | 10 | nucle |
| Hiprha1gene26744 | 239 | 27,596.3 | 4.80 | 11 | nucle |
| Hiprha1gene29881 | 279 | 31,448.0 | 8.56 | 11 | nucle |
Disclaimer/Publisher’s Note: The statements, opinions and data contained in all publications are solely those of the individual author(s) and contributor(s) and not of MDPI and/or the editor(s). MDPI and/or the editor(s) disclaim responsibility for any injury to people or property resulting from any ideas, methods, instructions or products referred to in the content. |
© 2025 by the authors. Licensee MDPI, Basel, Switzerland. This article is an open access article distributed under the terms and conditions of the Creative Commons Attribution (CC BY) license (https://creativecommons.org/licenses/by/4.0/).
Share and Cite
Li, J.; Hu, N.; Sun, J.; Zhou, W. Genome-Wide Identification and Characterization of the Homeodomain Leucine Zipper Protein (HD-Zip) Gene Family in Sea Buckthorn (Hippophae rhamnoides) Under Lead Stress. Forests 2025, 16, 171. https://doi.org/10.3390/f16010171
Li J, Hu N, Sun J, Zhou W. Genome-Wide Identification and Characterization of the Homeodomain Leucine Zipper Protein (HD-Zip) Gene Family in Sea Buckthorn (Hippophae rhamnoides) Under Lead Stress. Forests. 2025; 16(1):171. https://doi.org/10.3390/f16010171
Chicago/Turabian StyleLi, Jiaxin, Na Hu, Jing Sun, and Wu Zhou. 2025. "Genome-Wide Identification and Characterization of the Homeodomain Leucine Zipper Protein (HD-Zip) Gene Family in Sea Buckthorn (Hippophae rhamnoides) Under Lead Stress" Forests 16, no. 1: 171. https://doi.org/10.3390/f16010171
APA StyleLi, J., Hu, N., Sun, J., & Zhou, W. (2025). Genome-Wide Identification and Characterization of the Homeodomain Leucine Zipper Protein (HD-Zip) Gene Family in Sea Buckthorn (Hippophae rhamnoides) Under Lead Stress. Forests, 16(1), 171. https://doi.org/10.3390/f16010171

