Influence of Hydrological and Climatic Changes on Tree Growth in Narew National Park, NE Poland, over the Past 50 Years
Abstract
1. Introduction
2. Materials and Methods
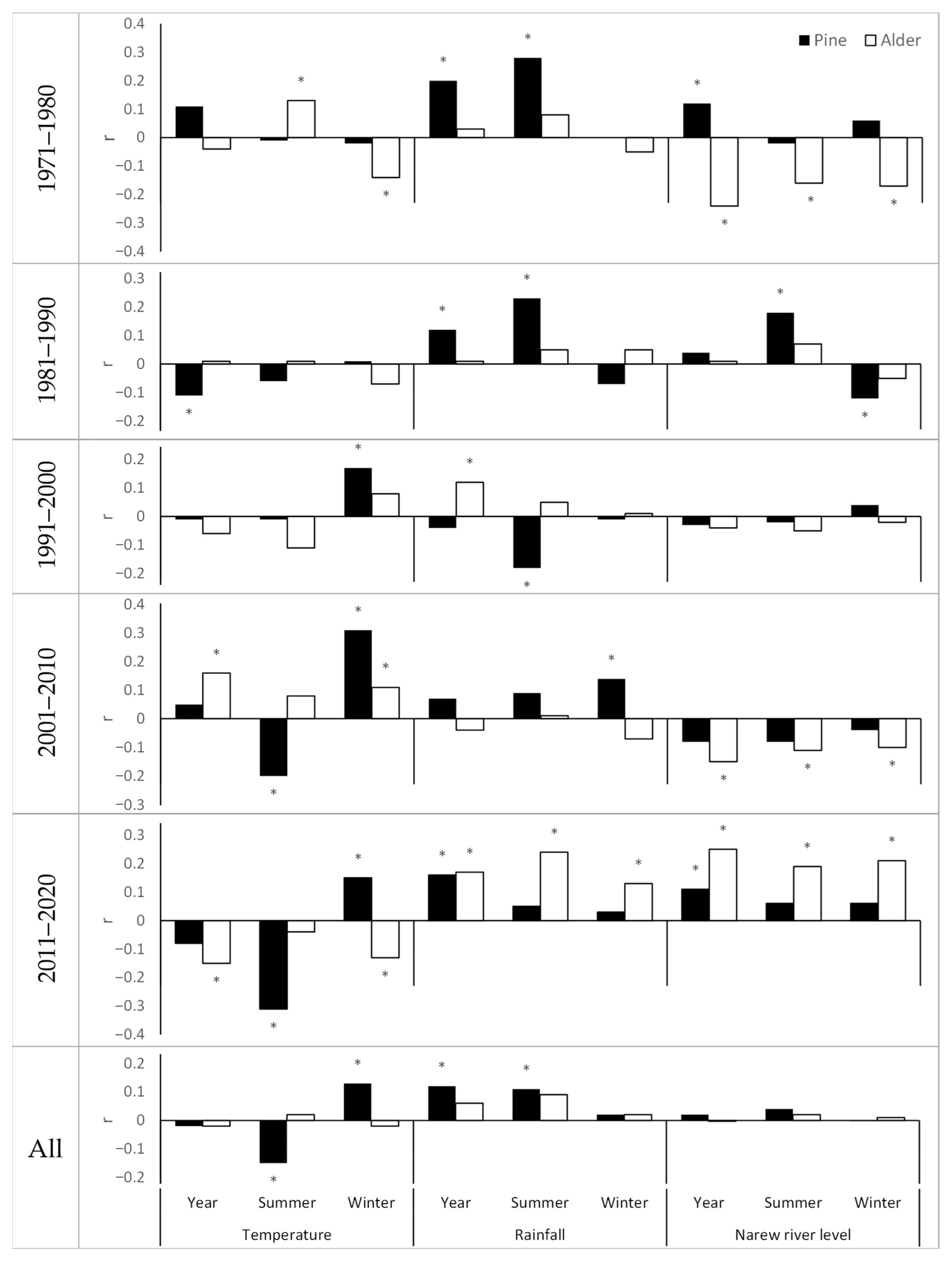
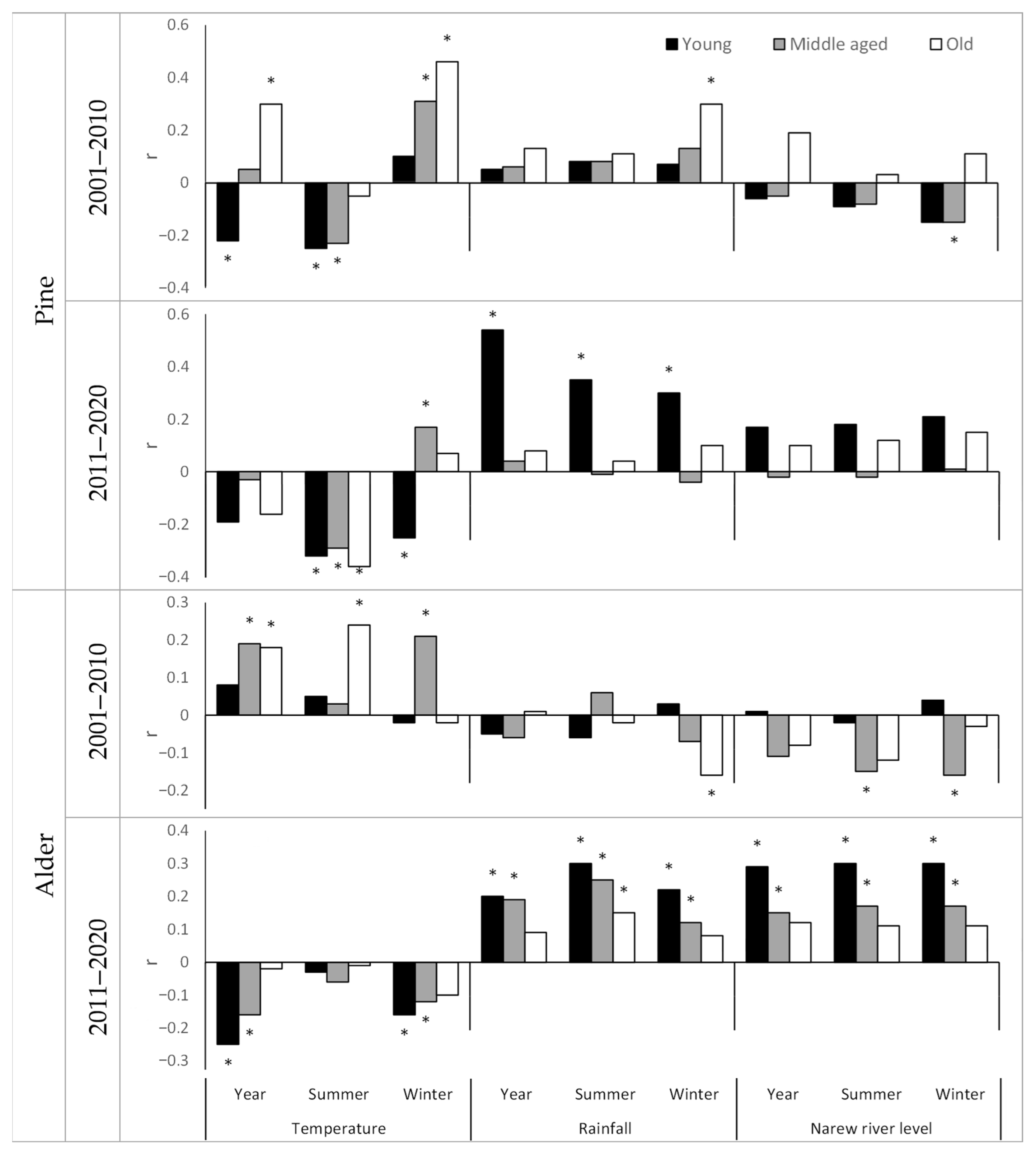
3. Results
4. Discussion
5. Conclusions
Author Contributions
Funding
Data Availability Statement
Conflicts of Interest
Appendix A





References
- Elfving, B.; Tegnhammar, L.; Tveite, B. Studies on Growth Trends of Forests in Sweden and Norway. In Growth Trends in European Forests; Spiecker, H., Mielikäinen, K., Köhl, M., Skovsgaard, J.P., Eds.; Springer: Heidelberg/Berlin, Germany, 1996; pp. 61–70. [Google Scholar]
- Eriksson, H.; Karlsson, K. Long-Term Changes in Site Index in Growth and Yield Experiments with Norway Spruce (Picea abies, [L.] Karst) and Scots Pine (Pinus sylvestris, L.) in Sweden. In Growth Trends in European Forests; Spiecker, H., Mielikäinen, K., Köhl, M., Skovsgaard, J.P., Eds.; Springer: Heidelberg/Berlin, Germany, 1996; pp. 79–88. [Google Scholar]
- Boyer, W.D.A. Generational Change in Site Index for Naturally Established Longleaf Pine on a South Alabama Coastal Plain Site. South. J. Appl. For. 2001, 25, 88–92. [Google Scholar] [CrossRef]
- Westfall, J.A.; Amateis, R.L. A Model to Account for Potential Correlations Between Growth of Loblolly Pine and Changing Ambient Carbon Dioxide Concentrations. South. J. Appl. For. 2003, 27, 279–284. [Google Scholar] [CrossRef][Green Version]
- Pretzsch, H.; Biber, P.; Schütze, G.; Uhl, E.; Rötzer, T. Forest stand growth dynamics in Central Europe have accelerated since 1870. Nat. Commun. 2014, 5, 4967. [Google Scholar] [CrossRef]
- Vacek, Z.; Vacek, S.; Cukor, J. European forests under global climate change: Review of tree growth processes, crises and management strategies. J. Environ. Manag. 2023, 332, 117353. [Google Scholar] [CrossRef] [PubMed]
- Wilczyński, S. Wpływ klimatu na przyrost radialny sosny zwyczajnej na siedliskach suchych oraz bagiennych w trzech regionach Polski [Effect of climate on the radial growth of Scots pine growing at dry and boggy sites in three regions in Poland]. Sylwan 2020, 164, 896–905. [Google Scholar] [CrossRef]
- Kilpeläinen, A.; Peltola, H.; Ryyppö, A.; Kellomäki, S. Scots pine responses to elevated temperature and carbon dioxide concentration: Growth and wood properties. Tree Physiol. 2005, 25, 75–83. [Google Scholar] [CrossRef]
- Moore, D.J.P.; Aref, S.; Ho, R.M.; Pippen, J.S.; Hamilton, J.G.; de Lucia, E.H. Annual basal area increment and growth duration of Pinus taeda in response to eight years of free-air carbon dioxide enrichment. Glob. Chang. Biol. 2006, 12, 1367–1377. [Google Scholar] [CrossRef]
- Johnson, D.W.; Thomas, R.B.; Griffin, K.L.; Tissue, D.T.; Ball, J.T.; Strain, B.R.; Walker, R.F. Effects of carbon and nitrogen on growth and nitrogen uptake in Ponderosa and Lobolly Pine. J. Environ. Qual. 1998, 27, 414–425. [Google Scholar] [CrossRef]
- Finzi, A.C.; DeLucia, E.H.; Hamilton, J.G.; Richter, D.D.; Schlesinger, W.H. The nitrogen budget of a pine forest under free air CO2 enrichment. Oecologia 2002, 132, 567–578. [Google Scholar] [CrossRef]
- Jiang, M.; Kelly, J.W.G.; Atwell, B.J.; Tissue, D.T.; Medlyn, B.E. Drought by CO2 interactions in trees: A test of the water savings mechanism. New Phytol. 2021, 230, 1421–1434. [Google Scholar] [CrossRef]
- Gardner, A.; Jiang, M.; Ellsworth, D.S.; MacKenzie, A.R.; Pritchard, J.; Bader, M.K.F.; Barton, C.V.; Bernacchi, C.; Calfapietra, C.; Crous, K.Y.; et al. Optimal stomatal theory predicts CO2 responses of stomatal conductance in both gymnosperm andangiosperm trees. New Phytol. 2023, 237, 1229–1241. [Google Scholar] [CrossRef] [PubMed]
- Zajączkowski, J.; Brzeziecki, B.; Perzanowski, K.; Kozak, I. Wpływ potencjalnych zmian klimatycznych na zdolność konkurencyjną głównych gatunków drzew w Polsce [Impact of potential climate changes on competitive ability of main forest tree species in Poland]. Sylwan 2013, 157, 253–261. [Google Scholar] [CrossRef]
- Giorgi, F.; Xunqiang, B.; Pal, J. Mean, interannual variability and trends in a regional climate change experiment over Europe. II: Climate change scenarios (2071−2100). Clim. Dyn. 2004, 23, 839–858. [Google Scholar] [CrossRef]
- Aitken, S.N.; Yeaman, S.; Holliday, J.A.; Wang, T.; Curtis-McLane, S. Adaptation, migration or extirpation: Climate change outcomes for tree populations. Evol. Appl. 2008, 1, 95–111. [Google Scholar] [CrossRef]
- Cheaib, A.; Badeau, V.; Boe, J.; Chuine, I.; Delire, C.; Dufrêne, E.; François, C.; Gritti, E.S.; Legay, M.; Pagé, C.; et al. Climate change impacts on tree ranges: Model intercomparison facilitates understanding and quantification of uncertainty. Ecol. Lett. 2012, 15, 533–544. [Google Scholar] [CrossRef] [PubMed]
- Tulik, M.; Grochowina, A.; Jura-Morawiec, J.; Bijak, S. Groundwater Level Fluctuations Affect the Mortality of Black Alder (Alnus glutinosa Gaertn.). Forests 2020, 11, 134. [Google Scholar] [CrossRef]
- Szporak-Wasilewska, S.; Piniewski, M.; Kubrak, J.; Okruszko, T. What we can learn from a wetland water balance? Narew National Park case study. Ecohydrol. Hydrobiol. 2015, 15, 136–149. [Google Scholar] [CrossRef]
- Grabińska, B.; Szymczyk, S. Przyrodnicze i antropogeniczne uwarunkowania rozwoju koryta Narwi (wielkie zakole poniżej Różana) [Natural and anthropogenic conditions for the development of the Narew riverbed (the great bend below Różan)]. Inż. Ekol. 2012, 31, 27–37. [Google Scholar]
- Piela, M.; Kaczka, R.J. Przyrosty radialne dębu szypułkowego (Quercus robur L.) jako bioarchiwum stanów wody Wisły w Kotlinie Oświęcimskiej [Radial growths of pedunculate oak (Quercus robur L.) as a bioarchive of water levels on the Vistula River in the Oświęcim Basin]. Stud. Mater. CEPL Rogowie 2012, 14, 246–252. [Google Scholar]
- Okoński, B.; Koprowski, M.; Danielewicz, W.; Miler, A.T.; Kasztelank, A. Wykorzystanie lat wskaźnikowych do oceny wpływu reżimu rzecznego na warunki wzrostu drzew w dolinie Warty [Use of index years to assess the impact of the river regime on tree growth conditions in the Warta Valley]. Stud. Mater. CEPL Rogowie 2014, 16, 156–163. [Google Scholar]
- Wójcik, A.; Czajka, A.; Kaczka, R.J. Wpływ regulacji środkowego biegu Nidy na stan lasu łęgowego—Zapis procesu w przyrostach rocznych olszy czarnej Alnus glutinosa (L.) Gaertn. [The influence of the regulation of the middle reaches of the Nida on the condition of the riparian forest—A record of the process in the annual increments of the black alder Alnus glutinosa (L.) Gaertn]. Stud. Mater. CEPL Rogowie 2014, 16, 174–182. [Google Scholar]
- Zhou, H.; Chen, Y.; Hao, X.; Zhao, Y.; Fang, G.; Yang, Y. Tree rings: A key ecological indicator for reconstruction of groundwater depth in the lower Tarim River, Northwest China. Ecohydrology 2019, 12, e2142. [Google Scholar] [CrossRef]
- George, S.S.; Nielsen, E. Signatures of high-magnitude 19th-century floods in Quercus macrocarpa tree rings along the Red River, Manitoba, Canada. Geology 2000, 28, 899–902. [Google Scholar] [CrossRef]
- Malik, I.; Wistuba, M.; Stopka, R.; Trąbka, K. Rzeźbotwórcza rola wezbrań o różnej wielkości zapisana w anatomii drewna drzew, przykład z Hrubégo Jeseníka (Sudety Wschodnie) [The sculptural role of floods of various sizes recorded in the anatomy of tree wood, example from Hrubégo Jeseníka (Eastern Sudetes)]. Stud. Mater. CEPL Rogowie 2012, 30, 157–165. [Google Scholar]
- Copini, P.; den Ouden, J.; Robert, E.M.R.; Tardif, J.C.; Loesberg, W.A.; Goudzwaard, L.; Sass-Klaassen, U. Flood-Ring Formation and Root Development in Response to Experimental Flooding of Young Quercus robur Trees. Front. Plant Sci. 2016, 7, 775. [Google Scholar] [CrossRef] [PubMed]
- Gorzelak, A.; Sierota, Z. Stan Środowiska Leśnego w Dolinie Środkowej Odry po Powodzi w 1997 r. [The Condition of the Forest Environment in the Middle Odra Valley after the Flood in 1997]; IBL: Warsaw, Poland, 1999; pp. 8–29. [Google Scholar]
- Tulik, M.; Bijak, S. Are climatic factors responsible for the process of oak decline in Poland? Dendrochronologia 2016, 38, 18–25. [Google Scholar] [CrossRef]
- Elferts, D.; Dauðkane, I.; Ûsele, G.; Treimane, A. Effect of water level and climatic factors on the radial growth of black alder. Proc. Latv. Acad. Sci. 2011, 65, 164–169. [Google Scholar] [CrossRef]
- Rodríguez-González, P.M.; Campelo, F.; Albuquerque, A.; Rivaes, R.; Ferreira, T.; Pereira, J.S. Sensitivity of black alder (Alnus glutinosa [L.] Gaertn.) growth to hydrological changes in wetland forests at the rear edge of the species distribution. Plant Ecol. 2014, 215, 233–245. [Google Scholar] [CrossRef]
- Schilling, O.S.; Doherty, J.; Kinzelbach, W.; Wang, H.; Yang, P.N.; Brunner, P. Using tree ring data as a proxy for transpiration to reduce predictive uncertainty of a model simulating groundwater-surface water-vegetation interactions. J. Hydrol. 2014, 519, 2258–2271. [Google Scholar] [CrossRef]
- Gholami, V.; Chau, K.W.; Fadaee, F.; Torkaman, J.; Ghaffari, A. Modelling of groundwater level fluctuations using dendrochronology in alluvial aquifers. J. Hydrol. 2015, 529, 1060–1069. [Google Scholar] [CrossRef]
- van der Maaten, E.; van der Maaten-Theunissen, M.; Buras, A.; Scharnweber, T.; Simard, S.; Kaiser, K.; Lorenz, S.; Wilmking, M. Can We Use Tree Rings of Black Alder to Reconstruct Lake Levels? A Case Study for the Mecklenburg Lake District, Northeastern Germany. PLoS ONE 2015, 10, e0137054. [Google Scholar] [CrossRef] [PubMed]
- Tuovinen, M. Response of tree-ring width and density of Pinus sylvestris to climate beyond the continuous northern forest line in Finland. Dendrochronologia 2005, 22, 83–91. [Google Scholar] [CrossRef]
- Cedro, A.; Lamentowicz, M. Contrasting responses to environmental changes by pine (Pinus sylvestris L.) growing on peat and mineral soil: An example from a Polish Baltic bog. Dendrochronologia 2011, 29, 211–217. [Google Scholar] [CrossRef]
- Kowalewski, Z.; Stankiewicz, J.; Kierasiński, B. Kształtowanie się stanów wód w dolinie Narwi na granicy Narwiańskiego Parku Narodowego i w jego strefie buforowej [Water levels in the Narew river valley at the border of the Narwiański National Park and its buffer zone]. Woda Sr. Obsz. Wiej. 2014, 14, 27–40. [Google Scholar]
- Mioduszewski, W.; Napiórkowski, J.; Okruszko, T. Wody Narwiańskiego Parku Narodowego [Waters of the Narew National Park]. In Narwiański Park Narodowy—Krajobraz, Przyroda, Człowiek; Banaszuk, P., Wołkowycki, D., Eds.; Narew National Park: Białystok, Poland, 2016; pp. 51–64. [Google Scholar]
- Cook, E.R.; Kairiukstis, L.A. Methods of Dendrochronology: Applications in the Environmental Sciences; Kluwer Academic Publishers: Boston, MA, USA, 1990; pp. 23–50. [Google Scholar]
- Zielski, A.; Krąpiec, M. Dendrochronologia, 1st ed.; [Dendrochronology]; Wydawnictwo Naukowe PWN: Warszawa, Poland, 2004; pp. 131–156. [Google Scholar]
- Olesiak, A.; Tomusiak, R.; Kędziora, W.; Wojtan, R. Charakterystyka dendrochronologiczna drzew rosnących na wydmach nadmorskich [Dendrochronological characteristics of trees growing on coastal dunes]. Stud. Mater. CEPL Rogowie 2014, 16, 211–219. [Google Scholar]
- Au, T.F.; Maxwell, J.T.; Robeson, S.M.; Li, J.; Siani, S.M.; Novick, K.A.; Dannenberg, M.P.; Phillips, R.P.; Li, T.; Chen, Z.; et al. Younger trees in the upper canopy are more sensitive but also more resilient to drought. Nat. Clim. Change 2022, 12, 1168–1174. [Google Scholar] [CrossRef]





| Feature | Generation | Age | Alnus | Pine |
|---|---|---|---|---|
| Number of trees | 1982–2001 (Y) | 21–40 | 14 | 6 |
| 1962–1981 (M) | 41–60 | 30 | 29 | |
| 1932–1961 (O) | 61–90 * | 13 | 7 | |
| All | 57 | 42 | ||
| Average DBH ± SD (cm) | 1982–2001 (Y) | 21–40 | 24.9 ± 6.3 | 25.0 ± 4.0 |
| 1962–1981 (M) | 41–60 | 34.0 ± 5.5 | 32.1 ± 4.3 | |
| 1932–1961 (O) | 61–90 * | 38.1 ± 5.1 | 38.3 ± 2.8 | |
| All | 32.7 ± 7.3 | 32.1 ± 5.4 | ||
| Average height ± SD (m) | 1982–2001 (Y) | 21–40 | 19.4 ± 2.8 | 18.3 ± 1.6 |
| 1962–1981 (M) | 41–60 | 20.5 ± 2.2 | 21.8 ± 2.7 | |
| 1932–1961 (O) | 61–90 * | 21.8 ± 2.8 | 23.0 ± 1.0 | |
| All | 20.5 ± 2.6 | 21.5 ± 2.7 |
| Feature | Decade | All | |||||
|---|---|---|---|---|---|---|---|
| 1971–1980 | 1981–1990 | 1991–2000 | 2001–2010 | 2011–2020 | |||
| Average ± Standard deviation | |||||||
| Temperature (°C) | Year | 6.5 ± 0.9 | 7.0 ± 1.2 | 7.2 ± 0.8 | 7.5 ± 0.5 | 8.2 ± 0.7 | 7.3 ± 1.0 |
| Winter | 0.0 ± 1.2 | 0.3 ± 1.9 | 0.6 ± 1.3 | 0.8 ± 1.7 | 1.4 ± 1.5 | 0.6 ± 1.5 | |
| Summer | 13.0 ± 0.9 | 13.6 ± 0.6 | 13.8 ± 0.5 | 14.4 ± 0.7 | 14.7 ± 0.8 | 13.9 ± 0.9 | |
| Rainfall (mm) | Year | 592.4 ± 116.3 | 496.6 ± 65.9 | 552.7 ± 62.5 | 553.9 ± 98.2 | 577.8 ± 85.9 | 554.7 ± 90.6 |
| Winter | 186.5 ± 66.7 | 175.2 ± 38.2 | 188.8 ± 46.6 | 190.8 ± 39.1 | 198.3 ± 54.5 | 187.9 ± 48.6 | |
| Summer | 407.0 ± 115.8 | 326.4 ± 78.8 | 364.8 ± 59.9 | 360.8 ± 105.8 | 378.4 ± 78.8 | 367.5 ± 90.3 | |
| Narew river level (cm) | Year | 202.3 ± 19.9 | 179.9 ± 17.1 | 180.2 ± 14.2 | 179.8 ± 25.2 | 178.5 ± 29.5 | 184.1 ± 22.9 |
| Winter | 208.2 ± 21.7 | 192.5 ± 25.2 | 194.7 ± 18.7 | 195.2 ± 26.4 | 197.5 ± 34.6 | 197.6 ± 25.4 | |
| Summer | 196.5 ± 26.0 | 167.3 ± 23.1 | 165.8 ± 15.7 | 164.4 ± 25.3 | 159.5 ± 26.0 | 170.7 ± 26.2 | |
| pI5 ≥ 1.3 * | Pine | 11.3 ± 7.3 | 11.4 ± 4.3 | 9.4 ± 5.0 | 9.6 ± 4.5 | 13.9 ± 7.9 | 11.1 ± 5.9 |
| Alder | 7.2 ± 5.3 | 9.1 ± 6.5 | 4.0 ± 3.0 | 8.1 ± 7.9 | 4.3 ± 4.3 | 6.5 ± 5.8 | |
| pI5 ≤ 0.7 * | Pine | 16.4 ± 7.3 | 14.5 ± 7.3 | 12.6 ± 3.9 | 11.8 ± 5.2 | 17.5 ± 9.8 | 14.6 ± 7.1 |
| Alder | 11.4 ± 7.8 | 11.0 ± 6.8 | 7.0 ± 3.3 | 9.3 ± 8.4 | 6.4 ± 8.3 | 9.0 ± 7.4 | |
Disclaimer/Publisher’s Note: The statements, opinions and data contained in all publications are solely those of the individual author(s) and contributor(s) and not of MDPI and/or the editor(s). MDPI and/or the editor(s) disclaim responsibility for any injury to people or property resulting from any ideas, methods, instructions or products referred to in the content. |
© 2024 by the authors. Licensee MDPI, Basel, Switzerland. This article is an open access article distributed under the terms and conditions of the Creative Commons Attribution (CC BY) license (https://creativecommons.org/licenses/by/4.0/).
Share and Cite
Piętka, S.; Misiukiewicz, W.; da Costa, J.M. Influence of Hydrological and Climatic Changes on Tree Growth in Narew National Park, NE Poland, over the Past 50 Years. Forests 2024, 15, 1507. https://doi.org/10.3390/f15091507
Piętka S, Misiukiewicz W, da Costa JM. Influence of Hydrological and Climatic Changes on Tree Growth in Narew National Park, NE Poland, over the Past 50 Years. Forests. 2024; 15(9):1507. https://doi.org/10.3390/f15091507
Chicago/Turabian StylePiętka, Sławomir, Wojciech Misiukiewicz, and Joao M. da Costa. 2024. "Influence of Hydrological and Climatic Changes on Tree Growth in Narew National Park, NE Poland, over the Past 50 Years" Forests 15, no. 9: 1507. https://doi.org/10.3390/f15091507
APA StylePiętka, S., Misiukiewicz, W., & da Costa, J. M. (2024). Influence of Hydrological and Climatic Changes on Tree Growth in Narew National Park, NE Poland, over the Past 50 Years. Forests, 15(9), 1507. https://doi.org/10.3390/f15091507

