Next Article in Journal
Qualitative Changes in Birch Sap after Freezing and Thawing
Previous Article in Journal
Nutrient Contribution and Carbon Sequestration of an Agroforestry System of Coffea canephora Cultivated by Conventional and Organic Management in the Ecuadorian Amazon
 
 
Font Type:
Arial Georgia Verdana
Font Size:
Aa Aa Aa
Line Spacing:
Column Width:
Background:
Article

Pre-Commercial Thinning Increases Tree Size and Reduces Western Gall Rust Infections in Lodgepole Pine

Alberta School of Forest Science and Management, University of Alberta, 751 General Services Building, Edmonton, AB T6G 2H1, Canada
*
Author to whom correspondence should be addressed.
Forests 2024, 15(5), 808; https://doi.org/10.3390/f15050808
Submission received: 19 March 2024 / Revised: 25 April 2024 / Accepted: 26 April 2024 / Published: 3 May 2024
(This article belongs to the Section Forest Ecology and Management)

Abstract

Alberta’s forest industry is predicted to be impacted by a medium-term decline in timber supply. Intensive silviculture tools, such as pre-commercial thinning, have been shown to increase individual tree growth, shorten rotation lengths, and improve stand merchantability in important commercial species such as lodgepole pine. However, lodgepole pine stands are susceptible to western gall rust infections, and thinning at an early stage may increase infection rates. This study collected tree and stand level data from 33 operational harvest origin lodgepole pine stands consisting of 11 stands thinned at age 17–19 years (PCT_18), 11 stands thinned at age 23–25 (PCT_24), and 11 unthinned stands. Approximately 40 years after pre-commercial thinning, merchantable volume is similar in all stands but thinned stands, regardless of timing, had greater individual tree size (~15% higher) compared to unthinned stands. Pre-commercially thinned stands also had a higher potential for commercial thinning since they have lower variability in tree size and longer live crown lengths. In addition, delayed thinning (PCT_24) reduced western gall rust infections and the severity of infections compared to both PCT_18 and unthinned stands. In conclusion, pre-commercial thinning should be considered for lodgepole pine stands in order to address timber supply issues in Alberta.

1. Introduction

The forest industry is a major contributor to Alberta’s economy but medium-term timber supply is predicted to decline in the province as a consequence of the cumulative effect of wildfire, insect and disease attacks, and land use change. One possible solution for this timber supply issue is the application of more intensive silviculture practices, such as pre-commercial thinning (PCT), on existing stands of important commercial conifer species such as lodgepole pine (Pinus contorta var. latifolia) [1]. Intensive silviculture has been shown to increase individual tree growth and shorten rotation lengths, thereby helping to secure the supply of timber in the face of threats from insects, fire, and diseases [2]. However, there is the risk of increasing infection by western gall rust (Cronartium harknessii) after thinning, which could eliminate the potential benefits of PCT.
Pre-commercial thinning involves the removal of poor-quality and smaller sized tress in an effort to reduce competition and improve growth in the residual trees through the redistribution of available growing space and resources. In the residual trees, the size and persistence of crown are directly affected by available growing space [3,4], with up to 20% greater live crown in thinned lodgepole pine stands compared to unthinned stands at 20 years of age [5]. Moreover, reducing the number of trees aids in the crown expansion of dominant trees, facilitating their growth [6,7], which in turn results in greater volume from bigger trees and greater potential for subsequent commercial thinning.
Lodgepole pine is one of the most important commercial conifer tree species in Alberta, comprising more than 41% (over 600 million cubic meters) of the provincial coniferous growing stock [8]. After disturbance, including both wildfire and logging, lodgepole pine often regenerates in highly dense stands, resulting in relatively slow individual tree growth. However, PCT has the potential to increase individual tree growth and improve the future merchantable yield and stand value. For example, in British Columbia, lodgepole pine stands thinned to 2500 stems per hectare had 10× higher individual tree merchantable volumes compared to unthinned stands at 20 years of age [5]. Moreover, the stand level total volume was ~35% higher in unthinned stands, but the stand level merchantable volume was higher in thinned stands. Similarly, in Scots pine (Pinus sylvestris) in Finland, thinned stands showed 15% greater mean diameter than that of unmanaged stands at the stage of the first commercial thinning [9].
The timing of pre-commercial thinning can also have an impact on growth and merchantability, with early thinning shown to increase diameter growth in a variety of pine species more than later thinning [10,11]. Long term studies of lodgepole pine in Alberta showed that early thinned stands had higher mean annual increment (MAI) compared to later thinned stands of the same age and productivity [12]. Moreover, PCT in younger stands is more efficient and less costly due to relatively smaller diameters of trees [13]. It has also been noted that early thinning enhances the possibility for early commercial thinning [14], such that the volume from first commercial thinning in early PCT Scots pine stands was ~28% higher compared to late PCT stands [9].
Western gall rust is a pathogenic fungus that infects hard pine’s main stems and lateral shoots and is widespread across the study region [15,16]. While branch galls do not seriously affect growth, stem galls can cause tree mortality [17]. However, the probability of western gall rust infection declines with tree age [18], especially after age 20 [19,20]. Therefore, delayed pre-commercial thinning may minimize losses due to western gall rust infections since delayed thinning provides an opportunity for more pre-thinning infections that can be removed during thinning and a reduced probability of infection post thinning [21]. It has also been reported that thinned stands had ~12% more stem infections compared to unthinned stands, and hence it was recommended that PCT in heavily infected stands should be delayed or avoided due to the risk of understocking [22]. Additionally, large galls (specifically stem gall encirclements ≥ 50% girth) have a serious impact on merchantability since they typically need to be removed during the manufacturing of timber [18,23]. Each 1% increase in main stem infection in young stands was projected to result in a 2 m3 increase in volume loss during rotation [24]. Hence, it is necessary to understand the effect of stand management on western gall rust infections and severity to clarify these mixed results to make decisions on operations.
Most of the existing studies on thinning in lodgepole pine stands in Alberta mainly focus on stand level yield in fire origin stands [17,25]. However, less is known on the effect of the timing of PCT on tree and stand level performance or western gall rust infection in post-harvest stands. Therefore, we ask the following research questions:
  • How does the timing of thinning affect individual tree-level and stand-level merchantability in post-harvest stands?
  • Is the incidence and severity of western gall rust affected by the timing of thinning?

2. Methods

Pure lodgepole pine stands in the Upper Foothills and Sub Alpine subregions of Alberta were located around the town of Hinton (Figure 1). The elevation ranges from 1200 to 1550 m, while the moisture regime for all sites is mesic to submesic and the nutrient regime is medium to rich (Table 1). These stands were all of harvest origin and naturally regenerated during 1961–1964 and subsequently categorized into pre-commercial thinning (PCT) and unthinned (control) based on the treatment applied. All PCT stands were operationally pre-commercially thinned from below (i.e., smallest trees removed) to a spacing of 1800 to 2500 stems per hectare, while the unthinned stands (11 stands) were not treated. In general, the thinning principle at the time of thinning was to leave more trees in stands with western gall rust but specific stand level thinning intensities are not available. The stands were selected based on their year of harvest and the year of thinning (for PCT stands only). The crop tree species was lodgepole pine (~90%), with a lesser and variable number of other species including white spruce (Picea glauca) and trembling aspen (Populus tremuloides). Pre-commercially thinned stands were further divided into two categories based on age at thinning: PCT_18 stands (11 stands) were thinned between the ages of 17 and 19 years, and PCT_24 stands (11 stands) at 23–25 years of age.
Within each stand, six temporary fixed radius plots (5.64 m radius) were established at equal intervals of 50 m and at least 30 m away from roads, other stands, seismic lines, or creeks to avoid edge effects. Wetland areas or non-crop tree species-dominated areas were avoided. The presence of tree stumps from thinning was used to confirm evidence of thinning in all thinned stands. Within each sampling plot, all trees with DBH ≥ 5.1 cm were measured for diameter at breast height (DBH), the presence of stem galls, and the severity/encirclement of galls. Stem gall encirclement was determined based on the percentage of stem girth it covered and categorized into low severity (<50% of the girth) and high severity (≥50% of the girth). Western gall rust infection % was calculated as total number of infected trees/total number of trees, while for severity, it was total number of infected trees in the encirclement class/total number of infected trees. In total, over 3000 trees were measured and assessed for gall rust during this study.
Five canopy trees were randomly selected from each plot to measure total height (HT) and height to crown base (HCB). HCB was defined as the position of the lowest whorl in a contiguous series containing at least one live branch. Live crown length (LCL) was calculated as H-HCB. For the stand-level assessment, the basal area, total volume, and merchantable volume of the trees were calculated using Forestry Tool-box, an Ms. Excel add-in for forestry data analysis [26]. The toolbox uses volume equations developed for lodgepole pine in Alberta [27]. For merchantable volume, the 15/11 merchantability criterion was used, where 15 cm is the minimum diameter outside the bark at 15 cm stump height and 11 cm is the top diameter inside the bark. This corresponds to a merchantable tree with >13.5 cm DBH.
A linear mixed-effects Analysis of Variance (ANOVA) model, fitted using the lmer function from the lme4 package in R statistical software (Version 4.1.2), was performed to determine the effect of treatment (fixed effect) on dependent response variables such as mean DBH, basal area/ha, total volume/ha, merchantable volume/ha, live crown length, height to diameter ratio, and % western gall rust (proportion of infected trees). Block was set as random effect in the model. Whenever treatment effects were significant (α = 0.05), pairwise comparison was performed using the pairs emmeans function. Trees were divided into 5 diameter classes from <5 cm to 30 cm at an interval of 5 cm viz. (5.1–10.0 cm, 10.1–15.0 cm, 15.1–20.0 cm, 20.1–25.0 cm, and 25–30.0 cm) for analyzing diameter class distribution in thinned and unthinned stands. The merchantable DBH of trees in this study was 13.5 cm, and a 20 cm DBH was considered to form a good quality large saw-log.

3. Results

The basal area (avg. = 32.5 m2/ha, p = 0.75), total volume (avg. = 250 m3/ha, p = 0.65), merchantable volume (avg. =190 m3/ha, p = 0.17), and large sawlog volume (avg. = 100 m3/ha, p = 0.19) were not different in thinned stands compared to unthinned ones. However, the large sawlog volume was on average 45 m3/ha greater in thinned stands. In addition, the mean DBH was greater in thinned stands (avg. = 16.35 cm, p < 0.001) compared to unthinned stands (13.8 cm; Table 2).
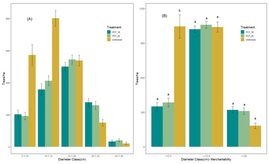
The stand density (trees/ha) was lower in thinned stands (avg. = 1410 trees/ha) compared to unthinned ones (2086 trees/ha), mainly due to the greater number of non-merchantable trees (DBH < 13.5 cm) in unthinned stands (1044 trees/ha, p < 0.001) compared to thinned stands (370 trees/ha; Figure 2). The numbers of merchantable trees (avg. = 1040 trees/ha, p = 0.90) and larger diameter sawlog class trees (avg. = 270 trees/ha, p = 0.10) were not different in thinned and unthinned stands.
The mean live crown lengths in thinned stands (avg. = 6.3 m, p < 0.05) were greater than in unthinned stands (5.5 m; Figure 3). However, the mean height–diameter ratio (HDR) was greater in PCT_24 stands (0.85, p < 0.05) compared to both PCT_18 stands (0.76) and unthinned stands (0.77; Figure 3).
Western gall rust infection rates (western gall rust %) were lowest in PCT_24 stands (22.1%, p = 0.01) compared to both PCT_18 (32.8%) and unthinned stands (32.6%; Figure 4). In addition, the proportion of trees with severe infections (western gall rust % from encirclement ≥ 50%) was lower in PCT_24 stands (20.3%, p < 0.05) compared to both PCT-18 (35.6%) and unthinned stands (31.2%; Figure 4).

4. Discussion

Pre-commercially thinned stands, regardless of timing, showed greater average tree diameter compared to unthinned stands approximately 40 years after treatment. In addition, delayed pre-commercial thinning until after age 20 resulted in reduced western gall rust infections and severity of infection.
Thinning results in a shift in diameter distribution with relatively more large trees and fewer smaller trees. This is in part due to the selective removal of smaller and poorer trees [28], along with the increased diameter growth of residual trees [4,29], which results in greater average tree diameter in thinned stands of ~15% in our stands. As is commonly seen in thinning studies, the total stand volume and merchantable volume are not significantly different between thinned and unthinned stands due to the lower stand density in thinned stands. However, despite these differences in stand density, greater growth increments of residual trees in thinned stands resulted in catching up with total and merchantable volumes of unthinned stands with even greater, albeit statistically non-significant, volumes of merchantable and large sawlog timber in thinned stands compared to unthinned ones. In comparison, thinned lodgepole pine stands in British Columbia have been observed to exceed the merchantable volume of unthinned stands after 15 years of growth [29], while other studies have reported lower basal area and total volume in thinned stands compared to unthinned stands, and that the volume loss at thinning is never made up by subsequent increased growth [12].
Even though the timing of thinning did not show any influence on tree size or stand merchantability in our study, previous studies in various pine species have observed the advantage of early thinning [9,10]. One possible explanation for the insignificance of PCT timing on merchantability after 40 years is the relatively long time since thinning, such that later thinned stands may have caught up with earlier thinned ones over time [12], and any initial difference in productivity is lost.
Pre-commercially thinned stands have greater potential for commercial thinning (CT) since they have lower variability in tree size, greater average tree size at time of CT, and longer live crown lengths for greater future growth response [30]. Moreover, high density in unthinned stands make them less suitable for CT because they become more prone to snow breakage and blowdown as they become taller with time. Even if the average density in unthinned stands is acceptable, clumpiness in these is generally not suitable for CT due to the higher cost of harvests and reduced growth response [30]. Additionally, stand vigor factors such as live crown length, height, or position in canopy before CT affect the response after. Trees with longer live crowns and greatest heights tend to be more vigorous. The post-thinning basal area growth was reported to be 30% higher by leaving the same basal area of the most vigorous trees instead of the least vigorous trees [31]. Hence, thinned stands are likely to respond greater after CT due to longer liver crowns and top heights. The height–diameter ratio is a valid indicator of a stand’s stability, and the average value should be below 90 to reduce the risk of blowdown [30]. Even though height–diameter ratios were higher in PCT_24 stands compared to PCT_18 stands, this is not significant in the context of suitability for CT since both values fall under the recommended value for CT operations in Alberta. However, if risk factors such as possible future impact from insect and pest damage are considered, PCT_24 stands are more suitable for CT than PCT_18 stands since the western gall rust infection rate and severity are lower.
The timing of thinning also had an impact on western gall rust infection rate, with PCT_24 stands having lower infection rates and severity of infection. This may be due to the delayed thinning, removing most trees with existing stem galls and providing more opportunity for pre-thinning infections which are subsequently removed. In addition, the trees that remain could be the most genetically resistant ones in the population, and past age 20, the probability of western gall rust infections declines [19,20]. The likelihood of a wave year occurring after thinning is also reduced by delayed thinning. Overall, delayed PCT may help in lowering post thinning infections and loss due to western gall rust.
Pre-commercial thinning should be applied with caution in the presence of western gall rust infection, and attempting to eradicate diseases such as western gall rust from commercial pine stands is probably unrealistic. Management should instead strive to reduce their impact on final volume production and quality to acceptable levels. Even though late pre-commercial thinning helps reduce western gall rust infections, pre-commercial thinning in younger stands is more efficient and less costly due to the relatively smaller diameters of the trees [13]. Thus, delayed thinning may result in increased costs of operations and hence it should be considered only if the stands have a considerable amount of western gall rust infections. Moreover, delayed thinning helps in reducing losses due to western gall rust, such as volume removal during timber processing or breakage or blowdown, making them more suitable for subsequent commercial thinning compared to early thinned stands. However, considering western gall rust infections, selective removal may result in non-uniform spacing due to the disease’s random distribution in the stands [21,32]. In such cases, it may be prudent to leave more trees on-site to compensate for any additional increase in tree mortality and the long-term impact this may have on growth.

5. Conclusions

In conclusion, pre-commercial thinning is not currently widely applied in forest management in Alberta, Canada, likely due to a lack of understanding of yield benefits from thinning [33] and interactions with other disturbance agents such as western gall rust. However, our study demonstrates at an operational scale that PCT, irrespective of the timing of thinning, creates stands with similar or greater volumes than unthinned stands but with greater average tree sizes. In addition, delayed thinning until at least age 20 has the potential to reduce western gall rust infection rate and severity in disease prone stands. Pre-commercial thinning should therefore be considered as a viable management option in post-harvest lodgepole pine stands in order to address timber supply and disease issues in Alberta.

Author Contributions

Conceptualization, B.D.P.; methodology, F.S. and B.D.P.; formal analysis, F.S.; investigation, F.S.; writing—original draft preparation, F.S.; writing—review and editing, B.D.P. and F.S.; supervision, B.D.P.; project administration, F.S.; funding acquisition, B.D.P. All authors have read and agreed to the published version of the manuscript.

Funding

The research was funded by West Fraser Mills—Hinton Wood Products and the Forest Resource Improvement Association of Alberta.

Data Availability Statement

The data presented in this study are available on request from the corresponding author.

Acknowledgments

The authors thank Apsana Kafle, Keegan Martin, Ethan Ramsfield, Surabhi Lukose, and Stephania Hinse who assisted in field work and data collection. Special thanks goes to Mostarin Ara and Shes Kanta Bhandari for support with data analysis and to Sharon Meredith for providing feedback on previous versions of the manuscript.

Conflicts of Interest

The authors declare no conflicts of interest. The funders did not interfere with authors’ ability to analyze and interpret the data and were not involved in decisions regarding publication.

References

  1. Pinno, B.D.; Thomas, B.R.; Lieffers, V.J. Wood supply challenges in Alberta—Growing more timber is the only sustainable solution. For. Chron. 2021, 97, 106–108. [Google Scholar] [CrossRef]
  2. Lieffers, V.J.; Pinno, B.D.; Beverly, J.L.; Thomas, B.R.; Nock, C. Reforestation policy has constrained options for managing risks on public forests. Can. J. For. Res. 2020, 50, 855–861. [Google Scholar] [CrossRef]
  3. Johnstone, W.D.; van Thienen, F.J. The Effects of Pre-Commercial Thinning on the Growth and Yield of Lodgepole Pine: 25-Year Results; British Columbia Ministry of Forests and Range, Forest Science Program: Kamloops, BC, Canada, 2011; 10p. [Google Scholar]
  4. Brockley, R.P. Effects of post-thinning density and repeated fertilization on the growth and development of young lodgepole pine. Can. J. For. Res. 2005, 35, 1952–1964. [Google Scholar] [CrossRef]
  5. Johnstone, W.D. The Effects of Juvenile Spacing on 7-Year-Old Lodgepole Pine in Central British Columbia. West. J. Appl. For. 2005, 20, 160–166. [Google Scholar] [CrossRef]
  6. Reid, D.E.B.; Silins, U.; Lieffers, V.J. Stem sapwood permeability in relation to crown dominance and site quality in self-thinning fire-origin lodgepole pine stands. Tree Physiol. 2003, 23, 833–840. [Google Scholar] [CrossRef] [PubMed]
  7. Johnstone, W.D. Thinning Lodgepole Pine in South Eastern British Columbia: 46-Year Results; The Research Branch of British Columbia’s Ministry of Forests Working Paper 63; The Research Branch of British Columbia’s Ministry of Forests: Victoria, BC, Canada, 2002. [Google Scholar]
  8. Government of Alberta. Alberta’s Forest Economy. In A Handbook of Public Economic and Socioeconomic Accounts; Government of Alberta: Edmonton, AB, Canada, 2021. [Google Scholar]
  9. Huuskonen, S.; Hynynen, J. Timing and intensity of pre-commercial thinning and their effects on the first commercial thinning in Scots pine stands. Silva Fenn. 2006, 40, 645–662. [Google Scholar] [CrossRef]
  10. Varmola, M.; Salminen, H. Timing and intensity of pre-commercial thinning in Pinus sylvestris stands. Scand J. For. Res. 2004, 19, 142–151. [Google Scholar] [CrossRef]
  11. Ulvcrona, K.A.; Karlsson, K.; Ulvcrona, T. Identifying the biological effects of pre-commercial thinning on diameter growth in young Scots pine stands. Scand. J. For. Res. 2014, 29, 427–435. [Google Scholar] [CrossRef]
  12. Stewart, J.D.; Salvail, J.C. Evaluation of Pre-Commercial Thinning of Lodgepole Pine from Long-Term Research Installations in Alberta; Inf. Rep. FI-X-16; Natural Resources Canada, Canadian Forest Service, The Canadian Wood Fibre Centre: Edmonton, AB, Canada, 2017. [Google Scholar]
  13. Riley, L.F. Operational Trials of Techniques to Improve Jack Pine Spacing; Inf. Rep. 0-X-180; Department of Environment, Canadian Forest Service: Sault Ste. Marie, ON, Canada, 1973; 26p. [Google Scholar]
  14. Cole, D.M.; Koch, P. Managing Lodgepole Pine to Yield Merchantable Thinning Products and Attain Sawtimber Rotations; USDA Forest Service, Intermountain Research Station: Ogden, UT, USA, 1995. [Google Scholar]
  15. Mather, W.J.; Simard, S.W.; Heineman, J.L.; Sachs, D.L. Decline of planted lodgepole pine in the southern interior of British Columbia. For. Chron. 2010, 86, 484–497. [Google Scholar] [CrossRef][Green Version]
  16. Fries, A. Damage by pathogens and insects to Scots pine and lodgepole pine 25 years after reciprocal plantings in Canada and Sweden. Scand. J. For. Res. 2017, 32, 459–472. [Google Scholar] [CrossRef]
  17. Wolken, J.M.; Blenis, P.V.; Duncan, I. Predicting survival of lodgepole pine stands infected with western gall rust. Can. J. For. Res. 2006, 36, 878–885. [Google Scholar] [CrossRef]
  18. Gross, H.L. Negligible Cull and Growth Loss of Jack Pine Associated with Globose Gall Rust. For. Chron. 1983, 59, 308–311. [Google Scholar] [CrossRef]
  19. Blenis, P.V.; Duncan, I. Management implications of western gall rust in pre- commercially thinned lodgepole pine stands. Can. J. For. Res. 1997, 27, 603–608. [Google Scholar] [CrossRef]
  20. Blenis, P.V.; Li, W. Incidence of main stem infections of lodgepole pine by western gall rust decreases with tree age. Can. J. For. Res. 2005, 35, 1314–1318. [Google Scholar] [CrossRef]
  21. van der Kamp, B.J.; Spence, M. Stem Diseases of Lodgepole Pine in the British Columbia Interior Following Juvenile Spacing. For. Chron. 1987, 63, 334–339. [Google Scholar] [CrossRef]
  22. Bella, I.E. Western gall rust and insect leader damage in relation to tree size in young lodgepole pine in Alberta. Can. J. For. Res. 1985, 15, 1008–1010. [Google Scholar] [CrossRef]
  23. Sattler, D.F.; Goudie, J.W.; Reich, R.W. A module to simulate the impact of western gall rust (Cronartium harknessii) on merchantable volume and lumber yields for lodgepole pine (Pinus contorta var. latifolia) stands in British Columbia. Can. J. For. Res. 2019, 49, 1379–1391. [Google Scholar] [CrossRef]
  24. Woods, A.J.; Nussbaum, A.; Golding, W. Predicted impacts of hard pine stem rusts on lodgepole pine dominated stands in central British Columbia. Can. J. For. Res. 2000, 30, 476–481. [Google Scholar] [CrossRef]
  25. Stewart, J.D.; Jones, T.N.; Noble, R.C. Long-Term Lodgepole Pine Silviculture Trials in Alberta: History and Current Results; Natural Resources Canada, Canadian Forest Service, Northern Forestry Centre: Edmonton, AB, Canada, 2006. [Google Scholar]
  26. FGROW. Forestry Toolbox. 2022. Available online: https://fgrow.ca/publications/forestry-toolbox-excel-add (accessed on 25 April 2024).
  27. Huang, S. Ecologically Based Individual Tree Volume Estimation for Major Alberta Tree Species; Report # 7. Ecologically based Individual Tree Volume Tables for Lodgepole Pine (Pinus contorta var. latifolia Engelm.); Alberta Environmental Protection, Land and Forest Services, Forest Management Division: Edmonton, AB, Canada, 1994. [Google Scholar]
  28. Hynynen, J. Predicting the growth response to thinning for Scots pine stands using individual-tree growth models. Silva Fenn. 1995, 29, 225–246. [Google Scholar] [CrossRef]
  29. Johnstone, W.D.; van Thienen, F.J. A Summary of Early Results from Recent Lodgepole Pine Thinning Experiments in the British Columbia Interior; Technical Report 16; B.C. Ministry of Forests, Research Branch.: Victoria, BC, Canada, 2004. [Google Scholar]
  30. Dewey, M.; Schoonmaker, A.; Roth, B. Handbook for Commercial Thinning in Alberta. 2023. Available online: https://fgrow.ca/wp-content/uploads/sites/3/2023/02/Version-1-Handbook-for-Commercial-Thinning-in-Alberta.pdf (accessed on 25 February 2023).
  31. Larson, B.C.; Cameron, I.R. Guidelines for thinning Douglas-fir: Uses and limitations. In Douglas-Fir: Stand Management for the Future; Oliver, C.D., Hanley, D., Johnson, J., Eds.; College of Forest Resources, University of Washington: Seattle, WA, USA, 1986; pp. 310–316. [Google Scholar]
  32. van der Kamp, B.J. Lodgepole pine stem diseases and management of stand density in the British Columbia interior. For. Chron. 1994, 70, 773–779. [Google Scholar] [CrossRef]
  33. Hossain, K.L.; Lieffers, V.J.; Pinno, B.D. Thinning to meet sawlog objectives at shorter rotation in lodgepole pine stands. Can. J. For. Res. 2022, 52, 940–950. [Google Scholar] [CrossRef]
Figure 1. Location of the operational site and schematic distribution of the stands. The highlighted portion shows the Hinton wood products forest management area. Each rectangle represents one stand, and one dot represents one plot (5.64 m–100 m2). Green dots indicate plots from unthinned stands and red dots indicate plots from PCT stands.
Figure 1. Location of the operational site and schematic distribution of the stands. The highlighted portion shows the Hinton wood products forest management area. Each rectangle represents one stand, and one dot represents one plot (5.64 m–100 m2). Green dots indicate plots from unthinned stands and red dots indicate plots from PCT stands.
Forests 15 00808 g001
Figure 2. (A) Density of trees in PCT_24, PCT_18, and unthinned stands by diameter class. The x-axis represents the diameter distribution of trees by diameter class and the y-axis represents trees per hectare measured in 2022. (B) Density of trees in PCT_24, PCT_18, and unthinned stands by diameter class (based on merchantability). The x-axis represents the diameter distribution of trees by diameter class and the y-axis represents trees per hectare measured in 2022. The error bar indicates standard error. Letters indicate significant differences between treatments (Type III Analysis of Variance Test—Satterthwaite’s method).
Figure 2. (A) Density of trees in PCT_24, PCT_18, and unthinned stands by diameter class. The x-axis represents the diameter distribution of trees by diameter class and the y-axis represents trees per hectare measured in 2022. (B) Density of trees in PCT_24, PCT_18, and unthinned stands by diameter class (based on merchantability). The x-axis represents the diameter distribution of trees by diameter class and the y-axis represents trees per hectare measured in 2022. The error bar indicates standard error. Letters indicate significant differences between treatments (Type III Analysis of Variance Test—Satterthwaite’s method).
Forests 15 00808 g002
Figure 3. (A) Mean live crown lengths in PCT_24, PCT_18, and unthinned stands. (B) Mean height–diameter ratios in PCT_24, PCT_18, and unthinned stands. The error bar indicates standard error. Letters indicate significant differences between treatments (Type III Analysis of Variance Test—Satterthwaite’s method).
Figure 3. (A) Mean live crown lengths in PCT_24, PCT_18, and unthinned stands. (B) Mean height–diameter ratios in PCT_24, PCT_18, and unthinned stands. The error bar indicates standard error. Letters indicate significant differences between treatments (Type III Analysis of Variance Test—Satterthwaite’s method).
Forests 15 00808 g003
Figure 4. (A) Western gall rust stem infection proportion in PCT_24, PCT_18, and unthinned stands. Infection proportion is the number of trees infected relative to the total number of trees. (B) Western gall rust stem infection severity (% stem encirclement) in PCT_24, PCT_18, and unthinned stands. Infection proportion is the number of trees infected relative to the total number of infected trees. The error bar indicates standard error. Letters indicate significant differences between treatments (Type III Analysis of Variance Test—Satterthwaite’s method).
Figure 4. (A) Western gall rust stem infection proportion in PCT_24, PCT_18, and unthinned stands. Infection proportion is the number of trees infected relative to the total number of trees. (B) Western gall rust stem infection severity (% stem encirclement) in PCT_24, PCT_18, and unthinned stands. Infection proportion is the number of trees infected relative to the total number of infected trees. The error bar indicates standard error. Letters indicate significant differences between treatments (Type III Analysis of Variance Test—Satterthwaite’s method).
Forests 15 00808 g004
Table 1. Stand and site characteristics of pre-commercial thinning stands and unthinned stands. UF: Upper Foothills; SA: Subalpine.
Table 1. Stand and site characteristics of pre-commercial thinning stands and unthinned stands. UF: Upper Foothills; SA: Subalpine.
TreatmentLatitudeLongitudeElevation (m)Natural SubregionNutrient RegimeMoisture RegimeHarvest YearThinning Year
PCT_2453.244−117.4221302UFMediumMesic19631987
53.703−117.4771229UFMediumMesic19611986
53.241−117.4151269UFRichMesic19631987
53.673−117.4381295UFMediumMesic19631986
53.245−117.4161287UFMediumMesic19631987
53.247−117.4091258UFMediumMesic19631987
53.243−117.4221302UFMediumMesic19631987
53.288−117.2231249UFMediumMesic19641987
53.247−117.4301283UFMediumMesic19631987
53.242−117.4301369UFMediumMesic19631987
53.244−117.4391344UFMediumMesic19631987
PCT_1853.728−118.2891403SAMediumMesic19611980
53.721−118.2971417SAMediumMesic19621980
53.725−118.2981437SAMediumMesic19611980
53.741−118.3261450SAMediumMesic19621980
53.705−117.4551283UFMediumMesic19641981
53.737−118.3131429SAMediumMesic19621980
53.709−117.4601275UFMediumMesic19641981
53.700−117.4711257UFMediumMesic19631981
53.705−117.4671289UFMediumMesic19641981
53.695−117.4761227UFMediumMesic19631981
53.696−117.4611283UFMediumMesic19641981
Unthinned53.530−117.7271543UFRichMesic1961__
53.527−117.7241543UFRichMesic1963__
53.710−118.3311508SAMediumMesic1964__
53.735−118.3001442SAMediumMesic1962__
53.696−117.4611312UFMediumMesic1964__
53.723−118.2821475SAMediumSubmesic1961__
53.226−117.4421380UFMediumMesic1963__
53.728−118.3291539SAMediumMesic1963__
53.270−117.1331268UFMediumMesic1962__
53.254−117.0891315UFRichMesic1961__
53.295−117.2061292UFMediumMesic1964__
Table 2. Summary of stand level properties in PCT_24, PCT_18, and unthinned stands; values are mean and standard error; letters indicate significant differences between treatments (Type III Analysis of Variance Test—Satterthwaite’s method).
Table 2. Summary of stand level properties in PCT_24, PCT_18, and unthinned stands; values are mean and standard error; letters indicate significant differences between treatments (Type III Analysis of Variance Test—Satterthwaite’s method).
TreatmentDensity
(Trees/ha)
Basal Area (m2/ha)Total Volume (m3/ha)Merchantable Volume (m3/ha)Mean DBH (cm)Large Sawlog Volume (m3/ha)
PCT_24a1448 ± 48a32 ± 1.10a265 ± 10.1a212 ± 10.0a16.2 ± 0.2a115 ± 11.6
PCT_18a1371 ± 50a30.5 ± 0.8a247 ± 8.5a198 ± 8.8a16.5 ± 0.2b116 ± 11.0
Unthinnedb2086 ± 92a32.5 ± 1.1a240 ± 10.6b158 ± 11.0b13.8 ± 0.2c70 ± 9.7
F value17.600.280.431.8410.671.70
p<0.0010.750.650.17<0.0010.19
Disclaimer/Publisher’s Note: The statements, opinions and data contained in all publications are solely those of the individual author(s) and contributor(s) and not of MDPI and/or the editor(s). MDPI and/or the editor(s) disclaim responsibility for any injury to people or property resulting from any ideas, methods, instructions or products referred to in the content.

Share and Cite

MDPI and ACS Style

Scaria, F.; Pinno, B.D. Pre-Commercial Thinning Increases Tree Size and Reduces Western Gall Rust Infections in Lodgepole Pine. Forests 2024, 15, 808. https://doi.org/10.3390/f15050808

AMA Style

Scaria F, Pinno BD. Pre-Commercial Thinning Increases Tree Size and Reduces Western Gall Rust Infections in Lodgepole Pine. Forests. 2024; 15(5):808. https://doi.org/10.3390/f15050808

Chicago/Turabian Style

Scaria, Francis, and Bradley D. Pinno. 2024. "Pre-Commercial Thinning Increases Tree Size and Reduces Western Gall Rust Infections in Lodgepole Pine" Forests 15, no. 5: 808. https://doi.org/10.3390/f15050808

APA Style

Scaria, F., & Pinno, B. D. (2024). Pre-Commercial Thinning Increases Tree Size and Reduces Western Gall Rust Infections in Lodgepole Pine. Forests, 15(5), 808. https://doi.org/10.3390/f15050808

Note that from the first issue of 2016, this journal uses article numbers instead of page numbers. See further details here.

Article Metrics

Back to TopTop