The Impacts of Sunlight on the Lichen Scots Pine Forest Community
Abstract
1. Introduction
2. Material and Methods
2.1. Study Area
2.2. Lichen Undergrowth Layer and Trees Height Mapping
2.3. Measurement Microhabitat Variables
2.4. Measurement of Photosynthetic Activity
2.5. Statistical Analysis
3. Results
3.1. Influence of Microhabitat Parameters on Photosynthetic Activity and Cover of Lichens and Bryophytes

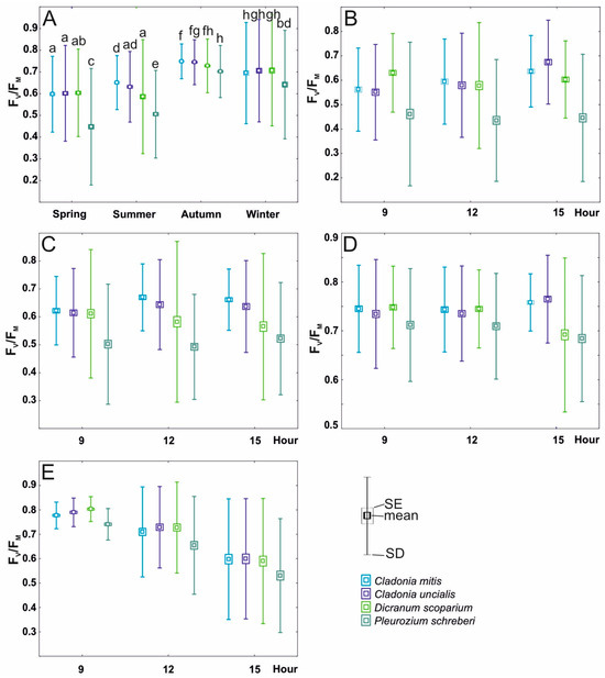
3.2. Seasonal Variations in Photosynthetic Activity of Selected Lichen and Bryophyte Species
3.3. The Relationship between Species of Lichens and Bryophytes, Forest Variables, and Microhabitat Variables
4. Discussion
4.1. Influence of Microhabitat Parameters on Photosynthetic Activity and Cover of Lichens and Bryophytes
4.2. Seasonal Variations in Photosynthetic Activity of Selected Lichen and Bryophyte Species
4.3. The Relationship between Species of Lichens and Bryophytes, Forest, and Microhabitat Variables
5. Conclusions
Supplementary Materials
Author Contributions
Funding
Data Availability Statement
Acknowledgments
Conflicts of Interest
References
- Naumburg, E.; Ellsworth, D.S. Short-term light and leaf photosynthetic dynamics affect estimates of daily understory photosynthesis in four tree species. Tree Physiol. 2002, 22, 393–401. [Google Scholar] [CrossRef] [PubMed]
- Way, D.A.; Pearcy, R.W. Sunflecks in trees and forests: From photosynthetic physiology to global change biology. Tree Physio. 2022, 32, 1066–1081. [Google Scholar] [CrossRef] [PubMed]
- Kaiser, E.; Morales, A.; Harbinson, J.; Kromdijk, J.; Heuvelink, E.; Marcelis, L.F. Dynamic photosynthesis in different environmental conditions. J. Exp. Bot. 2015, 66, 2415–2426. [Google Scholar] [CrossRef] [PubMed]
- Pearcy, R.W.; Way, D.A. Two decades of sunfleck research: Looking back to move forward. Tree Physiol. 2012, 32, 1059–1061. [Google Scholar] [CrossRef] [PubMed]
- Węgrzyn, M.; Wietrzyk, P. Phytosociology of snowbed and exposed ridge vegetation of Svalbard. Polar Bio. 2015, 38, 1905–1917. [Google Scholar] [CrossRef]
- Węgrzyn, M. New records of lichens and lichenicolous fungi from the Polish Tatra Mountains. Pol. Bot. J. 2008, 53, 163–168. [Google Scholar]
- Węgrzyn, M.H.; Fałowska, P.; Kołodziejczyk, J.; Alzayany, K.; Wężyk, P.; Zięba-Kulawik, K.; Hawryło, P.; Turowska, A.; Grzesiak, B.; Lipnicki, L.; et al. Tree height as the main factor causing disappearance of the terricolous lichens in the lichen Scots pine forests. Sci. Total Environ. 2021, 771, 144834. [Google Scholar] [CrossRef]
- Węgrzyn, M.H.; Kołodziejczyk, J.; Fałowska, P.; Wężyk, P.; Zięba-Kulawik, K.; Szostak, M.; Turowska, A.; Grzesiak, B.; Wietrzyk-Pełka, P. Influence of the environmental factors on the species composition of lichen Scots pine forests as a guide to maintain the community (Bory Tucholskie National Park, Poland). Glob. Ecol. Conserv. 2020, 22C, e01017. [Google Scholar] [CrossRef]
- Węgrzyn, M.H.; Fałowska, P.; Alzayany, K.; Waszkiewicz, K.; Dziurowicz, P.; Wietrzyk-Pełka, P. Seasonal Changes in the Photosynthetic Activity of Terrestrial Lichens and Mosses in the Lichen Scots Pine Forest Habitat. Diversity 2021, 13, 642. [Google Scholar] [CrossRef]
- Barták, M. Lichen photosynthesis. Scaling from the cellular to the organism level. In The Structural Basis of Biological Energy Generation; Hohmann-Marriott, M.F., Ed.; Advances in Photosynthesis and Respiration (AIPH, volume 39); Springer Dordrecht: Berlin/Heidelberg, Germany, 2014; pp. 379–400. [Google Scholar] [CrossRef]
- Chowaniec, K.; Latkowska, E.; Rola, K. Does long-term salt stress of environmentally relevant concentrations affect the physiology of inland lichens? The importance of rainfall to restore thallus vitality. Environ. Exp. Bot. 2022, 200, 104937. [Google Scholar] [CrossRef]
- Lange, O.L.; Büdel, B.; Heber, U.; Meyer, A.; Zellner, H.; Green, T.G.A. Temperate rainforest lichens in New Zealand: High thallus water content can severely limit photosynthetic CO2 exchange. Oecologia 1993, 95, 303–313. [Google Scholar] [CrossRef] [PubMed]
- Veldhuis, M.C.T.; Ananyev, G.; Dismukes, G.C. Symbiosis extended: Exchange of photosynthetic O2 and fungal-respired CO2 mutually power metabolism of lichen symbionts. Photosynth. Res. 2020, 143, 287–299. [Google Scholar] [CrossRef]
- Pokorny, L.; Ho, B.C.; Frahm, J.P.; Quandt, D.; Shaw, A.J. Phylogenetic analyses of morphological evolution in the gametophyte and sporophyte generations of the bryophyte order Hookeriales (Bryopsida). Mol. Phylogenet. Evol. 2012, 63, 351–364. [Google Scholar] [CrossRef] [PubMed]
- Wężyk, P.; Hawryło, P.; Zięba-Kulawik, K.; Szostak, M.; Kuzera, J.; Turowska, A.; Bura, M.; Wietrzyk, P.; Kołodziejczyk, J.; Fałowska, P.; et al. Using LiDAR point clouds in active protection of forest lichen communities in “Bory Tucholskie” National Park. Arch. Fotogram. Kartogra. Rem. Sens. 2018, 30, 27–41. [Google Scholar] [CrossRef]
- Kalaji, H.M.; Rastogi, A.; Živčák, M.; Brestic, M.; Daszkowska-Golec, A.; Sitko, K.; Alsharafa, K.Y.; Lotfi, R.; Stypiński, P.; Samborska, I.A. Prompt chlorophyll fluorescence as a tool for crop phenotyping: An example of barley landraces exposed to various abiotic stress factors. Photosynthetica 2018, 56, 953–961. [Google Scholar] [CrossRef]
- Schansker, G.; Tóth, S.Z.; Strasser, R.J. Dark-recovery of the Chl a fluorescence transient (OJIP) after light adaptation: The qT- component of non-photochemical quenching is related to an activated photosystem I acceptor side. Biochim. Biophys. Acta 2006, 1757, 787–797. [Google Scholar] [CrossRef]
- Coe, R.A.; Lin, H.C. Light-Response Curves in Land Plants. Photosynthesis 2018, 1770, 83–94. [Google Scholar] [CrossRef]
- Foster, D.R. Vegetation development following fire in Picea mariana (black spruce)—Pleurozium forests of south-eastern Labrador, Canada. J. Ecol. 1985, 73, 517–534. [Google Scholar] [CrossRef]
- Ahti, T.; Oksanen, J. Epigeic lichen communities of taiga and tundra regions. Vegetatio 1990, 86, 39.e70. [Google Scholar] [CrossRef]
- Reinecke, J.; Klemm, G.; Heinken, T. Veränderung der Vegetation nährstoffarmer Kiefernwälder im nördlichen Spreewald-Randge-biet zwischen 1965 und 2010. Verh. Bot. Ver. Berl. Brandenbg. 2011, 144, 63–97. [Google Scholar]
- Boudreault, C.; Drapeau, P.; Bouchard, M.; St-Laurent, M.H.; Imbeau, L.; Bergeron, Y. Contrasting responses of epiphytic and terricolous lichens to variations in forest char- acteristics in northern boreal ecosystems. Canad. J. For. Res. 2015, 45, 595–606. [Google Scholar] [CrossRef]
- Fałtynowicz, W. The dynamics and role of lichens in a managed Cladonia-Scotch pine forest (Cladonio-Pinetum). Monogr. Bot. 1986, 69, 1. [Google Scholar] [CrossRef]
- Friedmann, E.I.; Gabun, M. Desert Algae, Lichens, and Fungi. In Desert Biology; Brown, G.W., Ed.; College of Fisheries Volume 2.; University of Washington Seatle: Seatle, WA, USA, 1967; pp. 165–212. [Google Scholar]
- Bültmann, H.; Daniëls, F.J. Lichens and vegetationea case study of Thamnolietum vermicularis. Bibl. Lichenol. 2009, 100, 31–47. [Google Scholar]
- Boudreault, C.; Zouaoui, S.; Drapeau, P.; Bergeron, Y.; Stevenson, S. Canopy openings created by partial cutting increase growth rates and maintain the cover of three Cladonia species in the Canadian boreal forest. For. Ecol. Manag. 2014, 304, 473–481. [Google Scholar] [CrossRef]
- Valanne, N. Photosynthesis and photosynthetic products in bryophyte. In The Experimental Biology of Bryophytes; Dyer, A.F., Duckett, J.G., Cronshaw, J., Eds.; Academic Press: San Diego, CA, USA, 1984; pp. 257–273. [Google Scholar]
- Marschall, M.; Proctor, M.C.F. Are bryophytes shade plants? Photosynthetic light responses and proportions of chlorophyll a, chlorophyll b and total carotenoids. Ann. Bot. 2004, 94, 593–603. [Google Scholar] [CrossRef] [PubMed]
- Kodešová, R.; Vlasakova, M.; Fer, M.; Tepla, D.; Jakšík, O.; Neuberger, P.; Adamovský, R. Thermal properties of representative soils of the Czech Republic. Soil Water Res. 2013, 8, 141–150. [Google Scholar] [CrossRef]
- Onwuka, B.; Mang, B. Effects of soil temperature on some soil properties and plant growth. Adv. Plants Agric. Res. 2018, 8, 34–37. [Google Scholar] [CrossRef]
- Armstrong, R.A. The lichen symbiosis: Lichen “extremophiles” and survival on Mars. J. Astrobiol. Space Sci. Rev. 2019, 1, 378–397. [Google Scholar]
- Kappen, L.; Schroeter, B.; Scheidegger, C.; Sommerkorn, M.; Hestmark, G. Cold resistance and metabolic activity of lichens below 0 °C. Adv. Space Res. 1996, 18, 119–128. [Google Scholar] [CrossRef]
- Veres, K.; Csintalan, Z.; Laufer, Z.; Engel, R.; Szabó, K.; Farkas, E. Photoprotection and high-light acclimation in semi-arid grassland lichens—A cooperation between algal and fungal partners. Symbiosis 2022, 86, 33–48. [Google Scholar] [CrossRef]
- Pannewitz, S.; Green, T.A.; Maysek, K.; Schlensog, M.; Seppelt, R.; Sancho, L.G.; Turk, R.; Schroeter, B. Photosynthetic responses of three common bryophyte from continental Antarctica. Antarct. Sci. 2005, 17, 341–352. [Google Scholar] [CrossRef]
- Kappen, L.; Schroeter, B. Plants and Lichens in the Antarctic, Their Way of Life and Their Relevance to Soil Formation. In Geoecology of Antarctic Ice-Free Coastal Landscapes. Ecological Studies; Beyer, L., Bölter, M., Eds.; Springer: Berlin/Heidelberg, Germany, 2002; Volume 154. [Google Scholar] [CrossRef]
- Kallio, P.; Valanne, N. On the Effect of Continuous Light on Photosynthesis in Mosses. In Fennoscandian Tundra Ecosystems. Ecological Studies; Wielgolaski, F.E., Ed.; Springer: Berlin/Heidelberg, Germany, 1975; Volume 16. [Google Scholar] [CrossRef]
- Fontaniella, B.; Vicente, C.; Legaz, M.E. The cryoprotective role of polyols in lichens: Effects on the redistribution of RNase in Evernia prunastri thallus during freezing. Plant Physiol. 2000, 38, 621–627. [Google Scholar] [CrossRef]
- Kieft, T.L.; Ruscetti, T. Molecular sizes of lichen ice nucleation sites determined by gamma radiation inactivation analysis. Cryobiology 1992, 29, 407–413. [Google Scholar] [CrossRef]
- Doucet, C.J.; Byass, L.; Elias, L.; Worrall, D.; Smallwood, M.; Bowles, D.J. Distribution and characterization of recrystallization inhibitor activity in plant and lichen species from the UK and maritime Antarctic. Cryobiology 2000, 40, 218–227. [Google Scholar] [CrossRef] [PubMed]
- Proctor, M.C.; Smirnoff, N. Rapid recovery of photosystems on rewetting desiccation-tolerant bryophyte: Chlorophyll fluorescence and inhibitor experiments. J. Exp. Bot. 2000, 51, 1695–1704. [Google Scholar] [CrossRef] [PubMed]
- Veres, K.; Farkas, E.; Csintalan, Z. The bright and shaded side of duneland life: The photosynthetic response of lichens to seasonal changes is species-specific. Mycol. Prog. 2020, 19, 629–641. [Google Scholar] [CrossRef]
- Green, T.G.A.; Lange, O.L. Photosynthesis in Poikilohydric Plants: A Comparison of Lichens and Bryophytes. In Ecophysiology of Photosynthesis; Schulze, E.D., Caldwell, M.M., Eds.; Springer: Berlin/Heidelberg, Germany, 1995; 1995′ Springer Study Edition; Volume 100. [Google Scholar] [CrossRef]
- Hájek, J.; Barták, M.; Dubová, J. Inhibition of photosynthetic processes in foliose lichens induced by temperature and osmotic stress. Biol. Plant 2006, 50, 624–634. [Google Scholar] [CrossRef]
- Grote, E.E.; Belnap, J.; Housman, D.C.; Sparks, J.P. Carbon exchange in biological soil crust communities under differential temperatures and soil water contents: Implications for global change. Glob. Chang. Biol. 2010, 16, 2763–2774. [Google Scholar] [CrossRef]
- Perera-Castro, A.V.; Waterman, M.J.; Turnbull, J.D.; Ashcroft, M.B.; McKinley, E.; Watling, J.R.; Bramley-Alves, J.; Casanova-Katny, A.; Zunig, G.; Flexas, J.; et al. It is hot in the sun: Antarctic bryophyte have high temperature optima for photosynthesis despite cold climate. Front. Plant Sci. 2020, 11, 1178. [Google Scholar] [CrossRef]
- Tobias, M.; Niinemets, Ü. Acclimation of photosynthetic characteristics of the bryophyte Pleurozium schreberi to among-habitat and within-canopy light gradients. Plant Biol. 2010, 12, 743–754. [Google Scholar] [CrossRef]
- Lechowicz, M.J.; Adams, M.S. Ecology of Cladonia lichens. II. Comparative physiological ecology of C. mitis, C. rangiferina, and C. uncialis. Can. J. Bot. 1974, 52, 411–422. [Google Scholar] [CrossRef]
- Tuba, Z.; Csintalan, Z.; Proctor, M.C. Photosynthetic responses of a bryophyte, Tortula ruralis, ssp. ruralis, and the lichens Cladonia convoluta and C. furcata to water deficit and short periods of desiccation, and their ecophysiological significance: A baseline study at present-day CO2 concentration. New Phytol. 1996, 133, 353–361. [Google Scholar] [CrossRef] [PubMed]
- Harley, P.; Guenther, A.; Zimmerman, P. 1996. Effects of light, temperature and canopy position on net photosynthesis and isoprene emission from sweetgum (Liquidambar styraciflua) leaves. Tree Physiol. 2006, 16, 25–32. [Google Scholar] [CrossRef] [PubMed]
- Kershaw, K.A. Studies on lichen-dominated systems. XX. An examination of some aspects of the northern boreal lichen woodlands in Canada. Can. J. Bot. 1977, 55, 393–410. [Google Scholar] [CrossRef]
- Sadowsky, A.; Ott, S. Symbiosis as a successful strategy in continental Antarctica: Performance and protection of Trebouxia photosystem II in relation to lichen pigmentation. Polar Biol. 2016, 39, 139–151. [Google Scholar] [CrossRef]
- Tegler, B.; Kershaw, K.A. Studies on lichen-dominated systems. XXIII. The control of seasonal rates of net photosynthesis by moisture, light, and temperature in Cladonia rangiferina. Can. J. Bot. 1980, 58, 1851–1858. [Google Scholar] [CrossRef]
- Maxwell, K.; Johnson, G.N. Chlorophyll fluorescence—A practical guide. J. Exp. Bot. 2000, 51, 659–668. [Google Scholar] [CrossRef] [PubMed]
- Gauslaa, Y.; Solhaug, K.A. High-light damage in air-dry thalli of the old forest lichen Lobaria pulmonaria–interactions of irradiance, exposure duration and high temperature. J. Exp. Bot. 1999, 50, 697–705. [Google Scholar] [CrossRef]
- Popov, S.Y. On the Distribution of Pleurozium schreberi (Bryophyta, Hylocomiaceae) in the East European Plain and Eastern Fennoscandia. Mosc. Univ. Biol. Sci. Bull. 2018, 73, 178–184. [Google Scholar] [CrossRef]
- Kalapos, T.; Mázsa, K. Juniper shade enables terricolous lichens and bryophyte to maintain high photochemical efficiency in a semiarid temperate sand grassland. Photosynthetica 2001, 39, 263–268. [Google Scholar] [CrossRef]
- Horton, P.; Ruban, A. Regulation of Photosynthesis under Stress: Molecular design of the photosystem II light-harvesting antenna: Photosynthesis and photoprotection. J. Exp. Bot. 2005, 56, 365–373. [Google Scholar] [CrossRef] [PubMed]
- Heber, U.; Bukhov, N.G.; Shuvalov, V.A.; Kobayashi, Y.; Lange, O.L. Protection of the photosynthetic apparatus against damage by excessive illumination in homoiohydric leaves and poikilohydric bryophyte and lichens. J. Exp. Bot. 2001, 52, 1999–2006. [Google Scholar] [CrossRef] [PubMed]
- Heber, U.; Lange, O.L.; Shuvalov, V.A. Conservation and dissipation of light energy as complementary processes: Homoiohydric and poikilohydric autotrophs. J. Exp. Bot. 2006, 57, 1211–1223. [Google Scholar] [CrossRef]
- Ertl, L. Über die Lichtverhältnisse in Laubflechten. Planta 1951, 39, 245–270. [Google Scholar] [CrossRef]






| Variables | B | t | p | |
|---|---|---|---|---|
| (a) | Tree height | −7.74 | −10.147 | p < 0.001 |
| ASTA | 65.31 | 3.0355 | p = 0.003 | |
| ASTW | −95.19 | −2.419 | p = 0.016 | |
| (b) | Tree height | −8.15 | −11.123 | p < 0.001 |
| ALIA | 0.009 | 2.025 | p = 0.044 | |
| Variables | F | p | |
|---|---|---|---|
| (a) | Species | 150.6 | p < 0.001 |
| Season | 460.2 | p < 0.001 | |
| Species x season | 16.4 | p < 0.001 | |
| (b) | Species | 96.2 | p < 0.001 |
| Daytime in spring | 12.15 | p < 0.001 | |
| Species x daytime in spring | 7.61 | p < 0.001 | |
| (c) | Species | 81.18 | p < 0.001 |
| Daytime in summer | 0.76 | p = 0.47 | |
| Species x daytime in summer | 3.33 | p = 0.003 | |
| (d) | Species | 30.6 | p < 0.001 |
| Daytime in autumn | 2.7 | p = 0.069 | |
| Species x daytime in autumn | 11.0 | p < 0.001 | |
| (e) | Species | 13.93 | p < 0.001 |
| Daytime in winter | 197.01 | p < 0.001 | |
| Species x daytime in winter | 0.41 | p = 0.875 | |
| Variable | Abbreviation | Lambda A | p | F |
|---|---|---|---|---|
| Tree height | TH | 0.22 | 0.002 | 14.68 |
| Light intensity summer—6:00 | LIS6 | 0.07 | 0.002 | 4.92 |
| Tree cover 2017 | TC-2017 | 0.05 | 0.002 | 3.61 |
| Substrate temperature—autumn 12:00 | STA12 | 0.05 | 0.002 | 3.23 |
| Substrate temperature—summer 12:00 | STS12 | 0.05 | 0.002 | 3.67 |
| Crown area | CA | 0.04 | 0.008 | 2.3 |
| Light intensity—winter 12:00 | LIW12 | 0.03 | 0.006 | 2.19 |
| Average Light intensity—summer | ALIS | 0.03 | 0.004 | 2.24 |
| Light intensity—winter 15:00 | LIW15 | 0.03 | 0.01 | 2.04 |
| Average light intensity—winter | ALIW | 0.02 | 0.04 | 1.68 |
| Substrate temperature—autumn 6:00 | STA6 | 0.03 | 0.016 | 1.9 |
| Substrate temperature—summer 6:00 | STS6 | 0.02 | 0.028 | 1.78 |
| Average light intensity—autumn | ALIA | 0.02 | 0.038 | 1.8 |
| Light intensity—autumn 15:00 | LIA15 | 0.02 | 0.048 | 1.73 |
| Average substrate temperature—autumn | ASTA | 0.03 | 0.11 | 1.5 |
| Light intensity—winter 9:00 | LIW9 | 0.02 | 0.088 | 1.5 |
| Light intensity—summer 15:00 | LIS15 | 0.02 | 0.222 | 1.22 |
| Substrate temperature—summer 15:00 | STS15 | 0.02 | 0.126 | 1.41 |
| Substrate temperature—summer 9:00 | STS9 | 0.02 | 0.118 | 1.45 |
| Light intensity—summer 18:00 | LIS18 | 0.01 | 0.128 | 1.33 |
| Light intensity—winter 18:00 | LIW18 | 0.02 | 0.402 | 1.02 |
| Light intensity—summer 12:00 | LIS12 | 0.01 | 0.364 | 1.08 |
| Light intensity—autumn 18:00 | LIA18 | 0.01 | 0.61 | 0.86 |
| Substrate temperature—autumn 18:00 | STA18 | 0.02 | 0.556 | 0.94 |
| Average Substrate temperature—winter | ASTW | 0.01 | 0.348 | 1.11 |
| Substrate temperature—winter 18:00 | STW18 | 0.02 | 0.258 | 1.25 |
| Substrate temperature—winter 6:00 | STW6 | 0.01 | 0.348 | 1.07 |
| Light intensity—autumn 9:00 | LIA9 | 0.02 | 0.41 | 1.04 |
| Light intensity—summer 9:00 | LIS9 | 0.01 | 0.472 | 0.96 |
| Substrate temperature—autumn 15:00 | STA15 | 0.01 | 0.744 | 0.75 |
| Substrate temperature—winter 12:00 | STW12 | 0.01 | 0.76 | 0.73 |
| Tree cover 2018 | TC-2018 | 0.01 | 0.824 | 0.67 |
| Light intensity—autumn 12:00 | LIA12 | 0.01 | 0.772 | 0.74 |
| Substrate temperature—winter 15:00 | STW15 | 0.01 | 0.802 | 0.7 |
| Average substrate temperature—summer | ASTS | 0.01 | 0.894 | 0.55 |
| Substrate temperature—winter 9:00 | STW9 | 0.01 | 0.98 | 0.45 |
| Substrate temperature—summer 18:00 | STS18 | 0.01 | 0.99 | 0.39 |
Disclaimer/Publisher’s Note: The statements, opinions and data contained in all publications are solely those of the individual author(s) and contributor(s) and not of MDPI and/or the editor(s). MDPI and/or the editor(s) disclaim responsibility for any injury to people or property resulting from any ideas, methods, instructions or products referred to in the content. |
© 2024 by the authors. Licensee MDPI, Basel, Switzerland. This article is an open access article distributed under the terms and conditions of the Creative Commons Attribution (CC BY) license (https://creativecommons.org/licenses/by/4.0/).
Share and Cite
Fałowska, P.; Dziurowicz, P.; Waszkiewicz, K.; Wietrzyk-Pełka, P.; Węgrzyn, M.H. The Impacts of Sunlight on the Lichen Scots Pine Forest Community. Forests 2024, 15, 675. https://doi.org/10.3390/f15040675
Fałowska P, Dziurowicz P, Waszkiewicz K, Wietrzyk-Pełka P, Węgrzyn MH. The Impacts of Sunlight on the Lichen Scots Pine Forest Community. Forests. 2024; 15(4):675. https://doi.org/10.3390/f15040675
Chicago/Turabian StyleFałowska, Patrycja, Patrycja Dziurowicz, Karolina Waszkiewicz, Paulina Wietrzyk-Pełka, and Michał Hubert Węgrzyn. 2024. "The Impacts of Sunlight on the Lichen Scots Pine Forest Community" Forests 15, no. 4: 675. https://doi.org/10.3390/f15040675
APA StyleFałowska, P., Dziurowicz, P., Waszkiewicz, K., Wietrzyk-Pełka, P., & Węgrzyn, M. H. (2024). The Impacts of Sunlight on the Lichen Scots Pine Forest Community. Forests, 15(4), 675. https://doi.org/10.3390/f15040675

