Effects of Moso Bamboo (Phyllostachys pubescens) Expansion on the Stock and Nutrient Characteristics of the Litter Layer in Subtropical Coniferous and Broad-Leaved Mixed Forests, China
Abstract
1. Introduction
2. Materials and Methods
2.1. Research Site
2.2. Plot Setting
2.3. Stock of the Litter Layer
2.4. Chemical Analyses
2.5. Statistical Analysis
3. Results
3.1. Stock and Composition of the Litter Layer
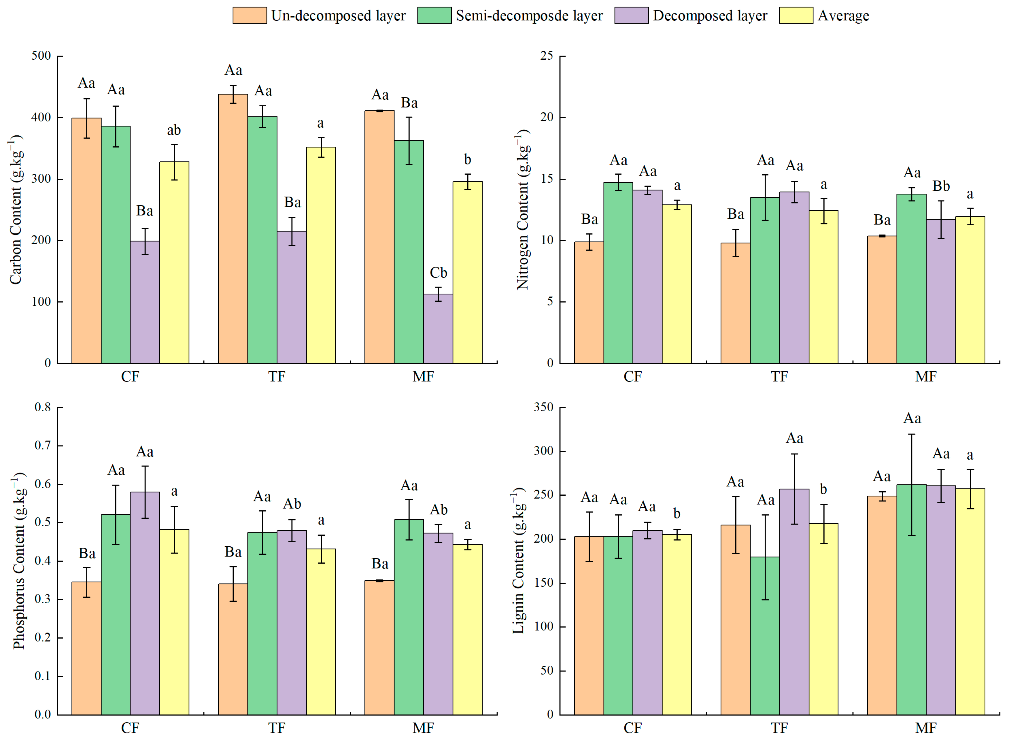
3.2. C, N, P, and Lignin Contents in the Litter Layer
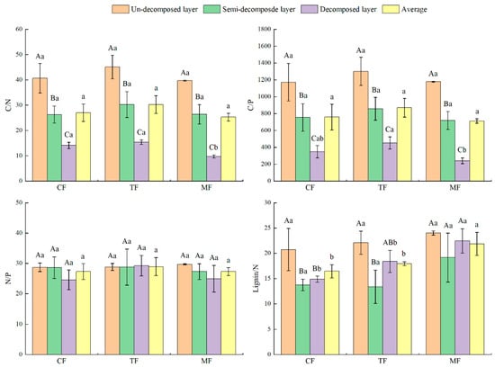
3.3. Stoichiometric Ratio of C, N, P, and Lignin in the Litter Layer
3.4. Stock and Release Rate of C, N, and P of the Litter Layer
4. Discussion
4.1. Impacts of Moso Bamboo Expansion on the Stock of the Litter Layer
4.2. Impacts of Moso Bamboo Expansion on C, N, P, and Lignin Content and Their Stoichiometric Ratios in the Litter Layer
4.3. Impacts of Moso Bamboo Expansion on Nutrient Element Reserves of the Litter Layer
5. Conclusions
Author Contributions
Funding
Data Availability Statement
Acknowledgments
Conflicts of Interest
References
- Manzoni, S.; Jackson, R.B.; Trofymow, J.A.; Porporato, A. The global stoichiometry of litter nitrogen mineralization. Science 2008, 321, 684–686. [Google Scholar] [CrossRef]
- Giweta, M. Role of litter production and its decomposition, and factors affecting the processes in a tropical forest ecosystem: A review. J. Ecol. Environ. 2020, 44, 11. [Google Scholar] [CrossRef]
- Pan, K.; He, J.; Wu, N. Effect of forest litter on microenvironment conditions of forestland. Ying Yong Sheng Tai Xue Bao J. Appl. Ecol. 2004, 15, 153–158. [Google Scholar]
- Carson, W.P.; Peterson, C.J. The role of litter in an old-field community: Impact of litter quantity in different seasons on plant species richness and abundance. Oecologia 1990, 85, 8–13. [Google Scholar] [CrossRef] [PubMed]
- Santos, S.L.d.; Valio, I.F. Litter accumulation and its effect on seedling recruitment in a Southeast Brazilian Tropical Forest. Braz. J. Bot. 2002, 25, 89–92. [Google Scholar] [CrossRef]
- Berg, B.; Matzner, E. Effect of N deposition on decomposition of plant litter and soil organic matter in forest systems. Environ. Rev. 1997, 5, 1–25. [Google Scholar] [CrossRef]
- Kavvadias, V.A.; Alifragis, D.; Tsiontsis, A.; Brofas, G.; Stamatelos, G. Litterfall, litter accumulation and litter decomposition rates in four forest ecosystems in northern Greece. For. Ecol. Manag. 2001, 144, 113–127. [Google Scholar] [CrossRef]
- Krishna, M.; Mohan, M. Litter decomposition in forest ecosystems: A review. Energy Ecol. Environ. 2017, 2, 236–249. [Google Scholar] [CrossRef]
- Martius, C.; Höfer, H.; Garcia, M.V.; Römbke, J.; Hanagarth, W. Litter fall, litter stocks and decomposition rates in rainforest and agroforestry sites in central Amazonia. Nutr. Cycl. Agroecosystems 2004, 68, 137–154. [Google Scholar] [CrossRef]
- Vaccaro, L.E.; Bedford, B.L.; Johnston, C.A. Litter accumulation promotes dominance of invasive species of cattails (Typha spp.) in Lake Ontario wetlands. Wetlands 2009, 29, 1036–1048. [Google Scholar] [CrossRef]
- Forrester, D.I. The spatial and temporal dynamics of species interactions in mixed-species forests: From pattern to process. For. Ecol. Manag. 2014, 312, 282–292. [Google Scholar] [CrossRef]
- Pretzsch, H.; Schütze, G. Transgressive overyielding in mixed compared with pure stands of Norway spruce and European beech in Central Europe: Evidence on stand level and explanation on individual tree level. Eur. J. For. Res. 2009, 128, 183–204. [Google Scholar] [CrossRef]
- Li, Y.; Feng, P. Bamboo resources in china based on the ninth national forest inventory data. World Bamboo Ratt 2019, 17, 45–48. [Google Scholar]
- Xu, Q.; Liang, C.; Chen, J.; Li, Y.; Qin, H.; Fuhrmann, J.J. Rapid bamboo invasion (expansion) and its effects on biodiversity and soil processes+. Glob. Ecol. Conserv. 2020, 21, e00787. [Google Scholar] [CrossRef]
- Bai, S.; Wang, Y.; Conant, R.T.; Zhou, G.; Xu, Y.; Wang, N.; Fang, F.; Chen, J. Can native clonal moso bamboo encroach on adjacent natural forest without human intervention? Sci. Rep. 2016, 6, 31504. [Google Scholar] [CrossRef]
- Chen, X.; Chen, X.; Huang, S.; Fang, D. Impacts of Moso bamboo (Phyllostachys pubescens) invasion on species diversity and aboveground biomass of secondary coniferous and. Physiol. Ecol. Trees Under Environ. Stress. 2023, 16648714, 112. [Google Scholar]
- Li, Y.; Li, Y.; Chang, S.X.; Xu, Q.; Guo, Z.; Gao, Q.; Qin, Z.; Yang, Y.; Chen, J.; Liang, X. Bamboo invasion of broadleaf forests altered soil fungal community closely linked to changes in soil organic C chemical composition and mineral N production. Plant Soil 2017, 418, 507–521. [Google Scholar] [CrossRef]
- Wu, C.; Mo, Q.; Wang, H.; Zhang, Z.; Huang, G.; Ye, Q.; Zou, Q.; Kong, F.; Liu, Y.; Geoff Wang, G. Moso bamboo (Phyllostachys edulis (Carriere) J. Houzeau) invasion affects soil phosphorus dynamics in adjacent coniferous forests in subtropical China. Ann. For. Sci. 2018, 75, 24. [Google Scholar] [CrossRef]
- Lima, R.A.; Rother, D.C.; Muler, A.E.; Lepsch, I.F.; Rodrigues, R.R. Bamboo overabundance alters forest structure and dynamics in the Atlantic Forest hotspot. Biol. Conserv. 2012, 147, 32–39. [Google Scholar] [CrossRef]
- Wang, Y.; Shi, X.; Tao, J. Effects of different bamboo densities on understory species diversity and trees regeneration in an Abies faxoniana forest, Southwest China. Sci. Res. Essays 2012, 7, 660–668. [Google Scholar]
- Liu, X.; Fan, S.; Liu, G.; Peng, C. Changing characteristics of main structural indexes of community during the expansion of moso bamboo forests. Chin. J. Ecol. 2016, 35, 3165. [Google Scholar]
- Pickett, S.T. Space-for-time substitution as an alternative to long-term studies. In Long-Term Studies in Ecology: Approaches and Alternatives; Springer: New York, NY, USA, 1989; pp. 110–135. [Google Scholar]
- Chen, X.; Chen, H. Comparing environmental impacts of Chinese Torreya plantations and regular forests using remote sensing. Environ. Dev. Sustain. 2021, 23, 133–150. [Google Scholar] [CrossRef]
- Wu, H.; Xu, H. A review of sampling and modeling techniques for forest biomass inventory. Agric. Rural Stud. 2023, 1, 2. [Google Scholar] [CrossRef]
- Zheng, L.; Lu, L. Standing crop and nutrient characteristics of forest floor litter in China. J. Northwest For. Univ. 2012, 27, 63–69. [Google Scholar]
- Lu, R. Soil and Agro-Chemical Analytical Methods; China Agricultural Science and Technology Press: Beijing, China, 1999; pp. 146–195. [Google Scholar]
- Hatfield, R.; Grabber, J.; Ralph, J.; Brei, K. Using the acetyl bromide assay to determine lignin concentrations in herbaceous plants: Some cautionary notes. J. Agric. Food Chem. 1999, 47, 628–632. [Google Scholar] [CrossRef] [PubMed]
- Martins, W.B.R.; do Vale, R.L.; Ferreira, G.C.; de Andrade, V.M.S.; Dionísio, L.F.S.; Rodrigues, R.P.; de Assis Oliveira, F.; de Souza, G.M.P. Litterfall, litter stock and water holding capacity in post-mining forest restoration ecosystems, Eastern Amazon. Rev. Bras. De Ciências Agrárias 2018, 13, 1–9. [Google Scholar] [CrossRef]
- Pang, Y.; Tian, J.; Zhao, X.; Chao, Z.; Wang, Y.; Zhang, X.; Wang, D. The linkages of plant, litter and soil C: N: P stoichiometry and nutrient stock in different secondary mixed forest types in the Qinling Mountains, China. PeerJ 2020, 8, e9274. [Google Scholar] [CrossRef] [PubMed]
- Wang, J.; Yang, Q.; Qiao, Y.; Zhai, D.; Jiang, L.; Liang, G.; Sun, X.; Wei, N.; Wang, X.; Xia, J. Relative contributions of biotic and abiotic factors to the spatial variation of litter stock in a mature subtropical forest. J. Plant Ecol. 2019, 12, 769–780. [Google Scholar] [CrossRef]
- Hao, Q.; Yang, B.; Zhou, Y. Quantitative characteristics and impact factors of litter accumulation for Casuarina equisetifolia. J. For. Environ. 2020, 40, 356–362. [Google Scholar] [CrossRef]
- Leroy, C.J.; Marks, J.C. Litter quality, stream characteristics and litter diversity influence decomposition rates and macroinvertebrates. Freshw. Biol. 2006, 51, 605–617. [Google Scholar] [CrossRef]
- Zhao, C.; Long, J.; Li, J.; Liao, H.-K.; Liu, L.-F.; Zhang, M.-J. Litter stock and nutrient characteristics of decomposing litter layers in Maolan Karst primary forest in different slope directions. Chin. J. Ecol. 2018, 37, 296. [Google Scholar]
- Li, Q.; Zhou, D.; Chen, X. The accumulation, decomposition and ecological effects of above-ground litter in terrestrial ecosystem. Acta Ecol. Sin. 2014, 34, 3807–3819. [Google Scholar]
- Wang, F.; Yan, K.; Nam, K.; Zhu, G.; Peng, X.; Zhao, Z. The Wuxie debris flows triggered by a record-breaking rainstorm on 10 June 2021 in Zhuji City, Zhejiang Province, China. Landslides 2022, 19, 1913–1934. [Google Scholar] [CrossRef]
- Guo, J.; Yang, Y.; Chen, G.; Lin, P.; Xie, J. A review on litter decomposition in forest ecosystem. Sci. Silvae Sin. 2006, 42, 93. [Google Scholar]
- Cotrufo, M.F.; Wallenstein, M.D.; Boot, C.M.; Denef, K.; Paul, E. The M icrobial E fficiency-M atrix S tabilization (MEMS) framework integrates plant litter decomposition with soil organic matter stabilization: Do labile plant inputs form stable soil organic matter? Glob. Chang. Biol. 2013, 19, 988–995. [Google Scholar] [CrossRef] [PubMed]
- Ge, X.; Zeng, L.; Xiao, W.; Huang, Z.; Geng, X.; Tan, B. Effect of litter substrate quality and soil nutrients on forest litter decomposition: A review. Acta Ecol. Sin. 2013, 33, 102–108. [Google Scholar] [CrossRef]
- Kang, H.; Xin, Z.; Berg, B.; Burgess, P.J.; Liu, Q.; Liu, Z.; Li, Z.; Liu, C. Global pattern of leaf litter nitrogen and phosphorus in woody plants. Ann. For. Sci. 2010, 67, 811. [Google Scholar] [CrossRef]
- Chang, Y.; Cao, J.; Li, J.; Pan, C.; Chen, Q.; Ma, L. Chemical properties of litter layers in coniferous forests of western Qinling Mountains. Chin. J. Ecol. 2009, 28, 1308. [Google Scholar]
- Akinyele, A.O.; Donald-Amaeshi, U. Leaf litter decomposition and nutrient release of three selected agroforestry tree species. Agrofor. Syst. 2021, 95, 559–570. [Google Scholar] [CrossRef]
- Moorhead, D.; Lashermes, G.; Recous, S.; Bertrand, I. Interacting microbe and litter quality controls on litter decomposition: A modeling analysis. PLoS ONE 2014, 9, e108769. [Google Scholar] [CrossRef]
- Li, X.; Han, S.; Hu, Y.; Zhao, Y. Decomposition of litter organic matter and its relations to C, N and P release in secondary conifer and broadleaf mixed forest in Changbai Mountains. Ying Yong Sheng Tai Xue Bao J. Appl. Ecol. 2008, 19, 245–251. [Google Scholar]
- Yu, L.; Fang, X.; Xiang, W.; Shi, J.; Liu, Z.; Li, L. Stoichiometry of Carbon, Nitrogen, and Phosphorus in Litter and Soil of Four Types of Subtropical Stand. Sci. Silvae Sin 2016, 52, 10–21. [Google Scholar]
- Han, W.; Fang, J.; Guo, D.; Zhang, Y. Leaf nitrogen and phosphorus stoichiometry across 753 terrestrial plant species in China. New Phytol. 2005, 168, 377–385. [Google Scholar] [CrossRef]
- Gessner, M.O.; Swan, C.M.; Dang, C.K.; McKie, B.G.; Bardgett, R.D.; Wall, D.H.; Hättenschwiler, S. Diversity meets decomposition. Trends Ecol. Evol. 2010, 25, 372–380. [Google Scholar] [CrossRef]
- Liu, P.; Huang, J.; Sun, O.J.; Han, X. Litter decomposition and nutrient release as affected by soil nitrogen availability and litter quality in a semiarid grassland ecosystem. Oecologia 2010, 162, 771–780. [Google Scholar] [CrossRef]
- Zhang, W.; Chao, L.; Yang, Q.; Wang, Q.; Fang, Y.; Wang, S. Litter quality mediated nitrogen effect on plant litter decomposition regardless of soil fauna presence. Ecology 2016, 97, 2834–2843. [Google Scholar] [CrossRef]
- García-Palacios, P.; McKie, B.G.; Handa, I.T.; Frainer, A.; Hättenschwiler, S. The importance of litter traits and decomposers for litter decomposition: A comparison of aquatic and terrestrial ecosystems within and across biomes. Funct. Ecol. 2016, 30, 819–829. [Google Scholar] [CrossRef]
- Liu, G.; Sun, J.; Tian, K.; Xiao, D.; Yuan, X. Long-term responses of leaf litter decomposition to temperature, litter quality and litter mixing in plateau wetlands. Freshw. Biol. 2017, 62, 178–190. [Google Scholar] [CrossRef]
- Qu, H.; Pan, C.; Zhao, X.; Lian, J.; Wang, S.; Wang, X.; Ma, X.; Liu, L. Initial lignin content as an indicator for predicting leaf litter decomposition and the mixed effects of two perennial gramineous plants in a desert steppe: A 5-year long-term study. Land Degrad. Dev. 2019, 30, 1645–1654. [Google Scholar] [CrossRef]
- Li, L.J.; Zeng, D.H.; Yu, Z.Y.; Fan, Z.P.; Mao, R.; Peri, P.L. Foliar N/P ratio and nutrient limitation to vegetation growth on Keerqin sandy grassland of North-east China. Grass Forage Sci. 2011, 66, 237–242. [Google Scholar] [CrossRef]
- von Oheimb, G.; Power, S.A.; Falk, K.; Friedrich, U.; Mohamed, A.; Krug, A.; Boschatzke, N.; Härdtle, W. N:P ratio and the nature of nutrient limitation in Calluna-dominated heathlands. Ecosystems 2010, 13, 317–327. [Google Scholar] [CrossRef]
- Koerselman, W.; Meuleman, A.F. The vegetation N: P ratio: A new tool to detect the nature of nutrient limitation. J. Appl. Ecol. 1996, 33, 1441–1450. [Google Scholar] [CrossRef]
- Güsewell, S.; Verhoeven, J.T. Litter N:P ratios indicate whether N or P limits the decomposability of graminoid leaf litter. Plant Soil 2006, 287, 131–143. [Google Scholar] [CrossRef]
- Chen, J.; Zhang, S.; Li, L.; Gu, X.; Liu, Z.; Wang, L.; Fang, X. Stock and nutrient characteristics of litter layer at different vegetation restoration stages in subtropical region, China. Acta Ecol. Sin. 2020, 40, 4073–4086. [Google Scholar]
- Ma, W.; Zhao, Y.; Zhang, Q.; Arshad, A.; Shi, Q.; Yan, E. C: N: P stoichiometry in forest floor litter of evergreen broad-leaved forests at different successional stages in Tiantong, Zhejiang, eastern China. Chin. J. Plant Ecol. 2014, 38, 833. [Google Scholar]





| Forest Type | Stand Density (Plants/ha) | Mean Tree Height (m) | Mean DBH (cm) | Dominant Species | Important Value |
|---|---|---|---|---|---|
| CF | 483.3 ± 28.9 | 15.63 ± 5.52 | 20.48 ± 9.64 | Schima superba | 27.6 ± 15.3 |
| Liquidambar formosana | 27.1 ± 11.4 | ||||
| Pinus massoniana | 12.5 ± 5.7 | ||||
| TF | 2275.0 ± 633.9 | 15.99 ± 3.68 | 13.18 ± 6.53 | Phyllostachys pubescens | 48.2 ± 7.8 |
| Pinus massoniana | 15.6 ± 7.2 | ||||
| Schima superba | 12.7 ± 2.0 | ||||
| MF | 3058.3 ± 821.7 | 17.19 ± 3.18 | 12.45 ± 2.28 | Phyllostachys pubescens | 64.9 ± 2.9 |
| Schima superba | 14.1 ± 0.1 | ||||
| Pinus massoniana | 9.3 ± 0.3 |
| Forest Type | Litter Layer | C | N | P | Total |
|---|---|---|---|---|---|
| CF | Un-decomposed | 722.25 (42.21) Ab | 17.87 (10.82) Ab | 0.62 (9.73) ABb | 740.75 (41.42) Ab |
| Semi-decomposed | 417.42 (39.31) Ba | 15.94 (−12.83) Aa | 0.56 (−31.01) Ba | 433.92 (37.30) Ba | |
| Decomposed | 253.34 Cb | 17.99 Aa | 0.74 Aa | 272.06 Cb | |
| Total | 1393.00 b | 51.80 a | 1.93 a | 1446.73 b | |
| TF | Un-decomposed | 916.43 (67.87) Aa | 20.65 (52.10) Aa | 0.71 (51.16) Aa | 937.79 (67.51) Aa |
| Semi-decomposed | 294.43 (−7.52) Bb | 9.89 (−107.59) Bb | 0.35 (−102.79) Bb | 304.67 (−10.88) Bb | |
| Decomposed | 316.57 Ba | 20.54 Aa | 0.71 Aa | 337.81 Ba | |
| Total | 1527.43 a | 51.08 a | 1.77 b | 1580.27 a | |
| MF | Un-decomposed | 287.11 (16.30) Ac | 7.24 (−26.18) Bc | 0.24 (−38.18) Bc | 294.59 (15.21) Ac |
| Semi-decomposed | 240.32 (63.99) Bb | 9.13(1.94) Ab | 0.34 (−7.30) Ab | 249.79 (61.63) Bb | |
| Decomposed | 86.53 Cc | 8.96 Ab | 0.36 Ab | 95.85 Cc | |
| Total | 613.96 c | 25.33 b | 0.94 c | 640.23 c |
Disclaimer/Publisher’s Note: The statements, opinions and data contained in all publications are solely those of the individual author(s) and contributor(s) and not of MDPI and/or the editor(s). MDPI and/or the editor(s) disclaim responsibility for any injury to people or property resulting from any ideas, methods, instructions or products referred to in the content. |
© 2024 by the authors. Licensee MDPI, Basel, Switzerland. This article is an open access article distributed under the terms and conditions of the Creative Commons Attribution (CC BY) license (https://creativecommons.org/licenses/by/4.0/).
Share and Cite
Chen, X.; Liu, Y. Effects of Moso Bamboo (Phyllostachys pubescens) Expansion on the Stock and Nutrient Characteristics of the Litter Layer in Subtropical Coniferous and Broad-Leaved Mixed Forests, China. Forests 2024, 15, 342. https://doi.org/10.3390/f15020342
Chen X, Liu Y. Effects of Moso Bamboo (Phyllostachys pubescens) Expansion on the Stock and Nutrient Characteristics of the Litter Layer in Subtropical Coniferous and Broad-Leaved Mixed Forests, China. Forests. 2024; 15(2):342. https://doi.org/10.3390/f15020342
Chicago/Turabian StyleChen, Xi, and Yang Liu. 2024. "Effects of Moso Bamboo (Phyllostachys pubescens) Expansion on the Stock and Nutrient Characteristics of the Litter Layer in Subtropical Coniferous and Broad-Leaved Mixed Forests, China" Forests 15, no. 2: 342. https://doi.org/10.3390/f15020342
APA StyleChen, X., & Liu, Y. (2024). Effects of Moso Bamboo (Phyllostachys pubescens) Expansion on the Stock and Nutrient Characteristics of the Litter Layer in Subtropical Coniferous and Broad-Leaved Mixed Forests, China. Forests, 15(2), 342. https://doi.org/10.3390/f15020342

