Next Article in Journal
The Possibility of Using Non-Native Spruces for Norway Spruce Wood Replacement—A Case Study from the Czech Republic
Previous Article in Journal
Impact of Climate Change on the Potential Geographical Distribution Patterns of Luculia pinceana Hook. f. since the Last Glacial Maximum
 
 
Font Type:
Arial Georgia Verdana
Font Size:
Aa Aa Aa
Line Spacing:
Column Width:
Background:
Article

The Quantification and Tracing of Leakage in the Forest Sector in Nordic Countries

by
Junhui Hu
*,
Eirik Ogner Jåstad
,
Torjus Folsland Bolkesjø
and
Per Kristian Rørstad
Faculty of Environmental Sciences and Natural Resource Management, Norwegian University of Life Science, NO-1432 Ås, Norway
*
Author to whom correspondence should be addressed.
Forests 2024, 15(2), 254; https://doi.org/10.3390/f15020254
Submission received: 4 January 2024 / Revised: 21 January 2024 / Accepted: 25 January 2024 / Published: 29 January 2024
(This article belongs to the Section Forest Economics, Policy, and Social Science)

Abstract

This study examines production leakage in four Nordic countries and its impact on industries and the global market. Using a Forest Sector Model, we analyze the effects of changing the harvest and find the leakage of roundwood harvest to range from 61% to 76% in Norway, 59% to 81% in Sweden, 57% to 89% in Finland, and 59% to 106% in Denmark. Notably, trade with other parts of the world absorbs over 50% of roundwood harvest changes in a Nordic country, with Norway exhibiting distinct trade patterns compared to Finland and Sweden. Compared to prior findings, sawnwood production leakage is smaller, underscoring the necessity for the refined modeling of non-Nordic countries. Importantly, our findings contribute insights into forest industries, leakage, and global trade dynamics, relevant to the Nordic context and having broader implications for globally interconnected countries.

1. Introduction

Forests provide timber, biodiversity, and other ecological services, and their role in the carbon cycle has special relevance to climate mitigation. Despite constituting only 1.6% of the global forest area, the Nordic boreal forest significantly influences international trade, with paper and lumber exports representing 18% and 15% of the global trade, respectively [1]. The Nordic forest and forest sector are pivotal players in the combat against climate change and are under the great impacts of various climate-related forest policies. International discussions on forest policies revolve around monitoring, reporting, and verifying carbon fluxes and stocks. Among others, preventing or accounting for leakage is one of the main hurdles, together with baseline setting, additionality, permanence, and funding.
Leakage, defined as a displacement or shift in environmental impact that counteracts the intended effects of the initial policy [2] is often considered a form of spillover [3], specifically a negative spillover [4]. For example, a forest conservation policy in one region could increase the use of forest resources in other regions, as the markets for wood and wood-based products are highly interlinked via international trade [5]. This counteracts the intended increase in the global carbon sink, emphasizing the crucial necessity of addressing leakage to enhance policy effectiveness. Additionally, the imperative for biodiversity restoration, coupled with the necessity to reduce emissions from deforestation and forest degradation in developing countries (REDD), may reduce roundwood production within the policy coverage area and cause a leakage risk in other countries [6,7].
The eradication of harvest leakage necessitates consistent regulation and the equitable evaluation of the benefits and costs of deforestation across all geographical areas and jurisdictions [8]. In the absence of such uniformity, the imperative lies in comprehending, quantifying, tracing, and accounting for leakage to mitigate its adverse consequences effectively. Existing studies reveal that the occurrence of market leakage is intricately tied to fundamental market characteristics. These characteristics include the responsiveness of supply and demand to price changes, the spatial extent of protective measures, and the homogeneity of affected products [5,9,10,11]. Notably, the degree of leakage is closely associated with the price elasticities of supply and demand. With a larger price elasticity of supply and a smaller price elasticity of demand, the magnitude of leakage tends to rise [5,10,11]). Furthermore, the involvement of multiple countries in implementing protective policies has a notable impact, and while the mutual implementation of policies on a larger geographical scale reduces overall leakage in absolute terms, implementing policies in a smaller geographical area may intensify the leakage [5,10]. Lastly, products from different regions that share homogeneity and are perfectly substitutable are particularly susceptible to the effects of leakage [5,9,10].
Examining market leakage in the Nordic context is important for other parts of the world since the Nordic countries boast highly competitive and export-oriented forest industries with global significance [1]. The active involvement of Nordic corporations in worldwide operations positions them as key players in the global forest sector [12]. Additionally, the Nordic forestry model, rooted in consensus politics and compromise, is synonymous with efficient and sustainable industrial forest management. Finland, Norway, and Sweden, all in advanced stages of forest transition, have successfully reversed forest decline, showcasing the compatibility of industrial forestry with expanding forest cover [13]. The study of market leakage in the Nordic context, therefore, offers transferable knowledge and implications for other countries interconnected through the global market. Through the diffusion of ideas underpinning the Nordic forestry model, lessons learned from the Nordic experience have the potential to inform and benefit countries beyond the Nordic region.
Investigations into market leakage within the Nordic region and globally have been conducted by various scholars. Gan and McCarl (2007) [5] developed an analytical framework with a computable general equilibrium (CGE) model, revealing that between 42% and 95% of forest conservation efforts within a country or region may be redirected elsewhere, thereby substantially diminishing the net global conservation impact. Renwick et al. (2015) [14] further highlighted that leakage can have even greater negative effects when conservation strategies are implemented opportunistically or when conserved landscapes have a homogeneous species distribution, emphasizing the need for strategic planning in conservation efforts. Ford et al. (2020) [15] assessed 120 protected areas in tropical and subtropical regions of America, Africa, and Asia, finding that leakage patterns can undermine conservation success, emphasizing the need for a comprehensive consideration of leakage in the design of new protected areas and networks. Schier et al. (2022) [6] employed a partial global equilibrium model (The Global Forest Products Model) and determined that 50%–60% of the EU roundwood deficit would be offset by non-EU countries due to the implementation of the EU Biodiversity Strategy, with the magnitude of leakage dependent on the extent to which forest resources are restricted. Dieter et al. (2020) [16] further discussed the high risks posed by the EU Biodiversity Strategy to non-EU countries that already face higher rates of species extinction, poor sustainable forest management, and lower governance. Päivinen et al. (2022) [17] utilized the global partial equilibrium model EFI-GTM, finding that approximately 64% of the roundwood harvest in the EU + UK + Norway is counteracted by a corresponding increase in the rest of the world, with evident production leakage in sawnwood and plywood. Kallio and Solberg (2018) [18] used the same model, quantifying that 60%–100% of harvest changes in Norway are offset elsewhere, with the leakage rate varying based on factors such as the size of the harvest change, wood category, background scenario, and time.
Except for the study by [18], there is a notable absence of assessments regarding market leakage in the forestry sector stemming from variations in roundwood harvests in the Nordic countries. Our study aims to quantify the leakage of roundwood and forest products due to specific log supply changes in each Nordic country, with a focus on tracing leakage in the Nordics. The study defines leakage as shifts in the production of roundwood (harvest leakage) and wood-based products (production leakage) from each Nordic country to other nations. Leakage is measured as the absolute difference in the production of roundwood or various wood products between a base scenario and alternative scenarios where roundwood supply is either reduced or increased in a Nordic country in a given year. It provides a comprehensive assessment of the impacts of potential variations in roundwood supply on the wood-based sector, offering guidance and quantified leakage rates for accounting purposes in the event of alterations to forest policies affecting roundwood supply in each Nordic country.
The subsequent section presents the model applied for the study, which consists of the introduction of the Nordics Forest Sector Model (NFSM), outlining key data assumptions, and elucidating roundwood harvest constraints in each country. Following this, the results will be presented, encompassing the impacts of roundwood supply variations on industry production and the net trade of forest products in the Nordics and the quantification of harvest and production leakage rates in each country, along with the tracing of primary leakage areas. Subsequently, a discussion will expound on the noteworthy implications and limitations of the study. The concluding section provides final insights.

2. Method

2.1. Nordic Forest Sector Model (NFSM)

This study will apply the Nordic Forest Sector Model (NFSM), which was built as an extension of the Norwegian Trade Model (NTM) [19] and was further developed by [20,21]. Trømborg and Sjølie (2011) and Mustapha (2016) [22,23] further expanded the structure of the NTM to the Nordic Forest Sector Model (NFSM). The version used in this study was further updated by [24]. The updated NFSM has been used to study the effects of changes in the Nordic forest sector, such as the effect of the large-scale production of biofuel in the Nordics [25,26]. The model uses the same principles as the Global Trade Model (GTM) [27] and is like the Global Forest Sector Model (EFI-GTM) in structure [28]. However, the version of the NFSM applied in this study has a focus on the Nordic countries including Norway, Sweden, Finland, and Denmark, where Norway (N1–N10), Sweden (S1–S10), and Finland (F1–F10) are modeled in 10 regions, and Denmark is modeled as one region (D1), as demonstrated in Figure 1. Other countries are modeled as one ‘region’ in the model, named ‘ROW’, representing the rest of world outside of the four studied countries. Its main role is to cover import and export between each studied Nordic country and the rest of the world, ensuring the Nordic countries are price takers in the global markets.
The NFSM model is a partial equilibrium model for the Nordic forest sector, which means that the demand and supply equilibrium is achieved within the boundary of the forest sector, while the modeling of other sectors, such as the labor market, electricity, and fuels, are simplified as static prices of the goods. The modeling of the forest sector covers forest growth, the harvest of timber, the collection of forest residues, and forest industries, including sawnwood, board, pulp and paper, and bioenergy producers (like district heating and industrial heating), as well as the possibility of biofuel production. Industrial production is modeled by input–output coefficients, which specify the required feedstocks and other cost-related inputs to produce one unit of the product. For detailed data, please refer to [24].
The demand and supply equilibrium are solved in each region, where the regional timber supply is modeled as a piecewise linearized function. The supply of timber is a function of the price and supply elasticities; the demand for final products is estimated using demand elasticities with base consumption and prices based on historical data; and the trade among regions is determined when the price difference between two regions equals the transport cost. The objective of the model is to maximize the sum of producers and consumer surplus, i.e., the total social welfare of the system, and the model is solved as a mixed-integer linear programming (MILP) problem, using the General Algebraic Modelling System (GAMS Development Corporation, Fairfax VA, USA, 2017) [29]. The optimal solution is a result of supply and demand equilibrium, where production, trade, and prices for each product in each region and period are endogenously solved.

2.2. Nordic Forest Sector and Model Environment

The Nordic forest sector plays a substantial role in the economy, environment, and energy supply. Norway has active policies to increase forest carbon stocks, such as increasing afforestation in new areas and conserving more forest land. The annual harvest of wood (firewood included) was about 13 million m3 in 2018, and the annual increment was about 25 million m3 (Norwegian Ministry of Climate and Environment, Oslo, Norway, 2019) [30]. Sweden, the largest exporter of forest-based products among the Nordic countries, emphasizes the balance between production, environmental conservation, and other interests (Swedish Forest Agency, Jönköping, Sweden, 2020) [31]. The annual harvest of wood is around 76 million m3 (2018), and the average annual increment is around 123 million m3 (Swedish University of Agricultural Sciences, Alnarp, 2020) [32]. Finland’s forestry policies consider all dimensions of sustainability and aim to promote the growth of valuable stands (Ministry of Agriculture and Forestry (MMM), Helsinki, Finland, 2019) [33]. The annual harvest of wood is slightly lower than that of Sweden, around 62 Mm3, and the annual increment is about 107 million m3 in 2018. Forest resources in Denmark are limited compared to the other three Nordic countries; the annual harvest is around 5.6 million m3. Hence, the focus of forest policy in Denmark is on biodiversity and ecosystem services; the forest reserve land accounts for approximately 70% of its forest area [34].
The reference data used in the model including production and demand for the final products, the forest harvesting level, and product prices are given for the year 2018 for all regions, but data from 2019 and 2020 are used in the cases where 2018 data are unavailable. The reference harvest and net import of sawlogs, pulpwood, and their sum as roundwood in each Nordic country are shown in Table 1, the reference production of final products (including sawn products, paper and board, market pulp, and bioheat) and net export of the products (including sawn products, paper and board, and market pulp) are shown in Table 2, and the prices and price elasticities for sawlogs and pulpwood are shown in Table 3.

2.3. Applying Roundwood Supply Constraints in NFSM

To investigate the impacts of a wide range of roundwood supply variations in Nordic countries on market leakage, the roundwood harvesting level in the baseline is increased and decreased by 10% to 50%, respectively, in the step of 10% in each studied Nordic country. This is equivalent to roundwood supply changes of ±1.30, ±2.61, ±3.91, ±5.21, and ±6.51 million m3 in Norway, ±0.56, ±1.12, ±1.68, ±2.25, and ±2.81 million m3 in Denmark, ±7.62, ±15.23, ±22.85, ±30.47, and ±38.08 million m3 in Sweden, and ±6.23, ±12.47, ±18.70, ±24.93, and ±31.17 million m3 in Finland, which are applied as independent constraint in the model. The baseline of the harvesting level is the optimal solution of the model in the year 2018 without any constraints on harvesting, which is subsequently referred to as the ‘reference’.
Each constraint is applied to one country at a time; the country is referred to as ‘scenario country’ hereafter. In addition, the constraints are applied to the total harvest of roundwood in each scenario country, which includes both coniferous and non-coniferous roundwood for use as both firewood and industrial roundwood. Roundwood is categorized as sawlogs and pulpwood, and the ratio of harvested pulpwood and sawlogs is constrained to a certain level. The model optimizes endogenously the ratio in each region when a roundwood harvest constraint is applied in a scenario country.
By introducing the roundwood harvest constraints within the NFSM, the model seeks to solve the dynamics associated with roundwood harvest in each region in the scenario country and other countries. Furthermore, it captures the resultant outputs from industries and the trade dynamics of both wood and wood products. The procedure of introducing the harvest constraints in NFSM is illustrated in Figure 2.
Examining the changes in these variables, we aim to discern and quantify the leakage rate, which reveals how much impact the implemented constraint has beyond the borders. A leakage rate is estimated as a ratio in percentage between the total changes in the production of certain goods in other countries (all countries excluding the scenario country in the model) and the changes in the production of the same goods in the scenario country when a total roundwood supply constraint is applied in the scenario country.

3. Results

3.1. Impacts on Industry Production

This section presents the effect of constraints imposed on roundwood harvest in a specific country on the production levels of both domestic industries and those of other nations. Given that the modeling of production and technologies is concentrated on the Nordic countries, the following results primarily center on the alterations observed in sawnwood production within the Nordic countries. In addition, the most significantly impacted sector is sawnwood production, and due to the limited production capacity in Denmark, our primary focus is on assessing production leakage within the sawnwood industry in Sweden, Finland, and Norway. Quantitative variations in the production of wood pulp, paper, and paperboard are observed to be minimal, aligning with the findings reported in [6].

3.1.1. Scenario Country of Sweden

The fluctuation in roundwood harvest in Sweden directly impacts domestic sawnwood production. Approximately, each cubic meter reduction/increase in roundwood harvest results in a 0.12 Mm3 reduction/0.09 Mm3 increase in sawnwood production. Similarly, each reduced/increased cubic meter of sawlog harvest resulted in a 0.27 Mm3 reduction and a 0.26 Mm3 increase in sawnwood production.
The model further indicates that the phenomenon of leakage in sawnwood production becomes more pronounced when there is an increase in production in Sweden. Conversely, such leakage is less discernible during periods of production decrease, as illustrated in Figure 3. On average, production in Finland and Norway decreased by 0.67 Mm3 and 0.05 Mm3, respectively, while the production of sawnwood increased by 2.09 Mm3 in Sweden, resulting in an average production leakage rate of 34% (which is a result of (0.67 + 0.05)/2.09). In addition, the leakage rates increase with smaller fluctuations in roundwood harvest. For example, the production leakage rate of sawnwood is as high as 78% when the roundwood harvest of roundwood increases by 10%.

3.1.2. Scenario Country of Finland

The impact of roundwood harvest fluctuations in Finland on domestic sawnwood production is also apparent, as portrayed in Figure 4. Approximately, each cubic meter reduction/increase in roundwood harvest results in a 0.08 Mm3 reduction/0.09 Mm3 increase in sawnwood production. Examining changes in sawlogs, a cubic meter reduction in sawlog harvest results in a 0.52 Mm3 reduction and a 0.57 Mm3 increase in sawnwood production.
The leakage of sawnwood production within the Nordic region is only observed when production decreases in Finland, while production also tends to increase in other countries with the increased roundwood supply in Finland (Figure 4). On average, production in Sweden increased by 0.24 Mm3 when production decreased by 1.33 Mm3 in Finland. However, the increased roundwood supply leads to increased production not only in Finland but also in Sweden; on average, production in Finland and Sweden increases by 0.92 Mm3 and 0.36 Mm3, respectively.

3.1.3. Scenario Country of Norway

The model illustrates that a reduction from −10% to −50% in roundwood harvest in Norway leads to a notable decline in domestic sawnwood production (Figure 5, left), ranging from 0.04 Mm3 to 0.88 Mm3, which accounts for 1% to 34% of the original production level. Additionally, it is deduced that for each cubic meter reduction in roundwood harvest, sawnwood production diminishes by 0.16 Mm3. Meanwhile, sawnwood production increases in Sweden and Finland, especially in Sweden, bringing the production leakage rates range from 40% to 72%. On average, when the production of sawnwood in Norway decreases by 0.37 Mm3 (corresponding to −40% roundwood constraint), production increases by 0.18 Mm3 and 0.03 Mm3 in Sweden and Finland, respectively, resulting in an average production leakage rate of 59%.
Despite an increase in roundwood harvest in Norway, there is barely any concurrent rise in sawnwood production in Norway, while Sweden experiences a noticeable increase (Figure 5, right). On average, production increases by 0.4 Mm3 when roundwood supply in Norway is increased by 10%–50%.

3.2. Impacts on Trade

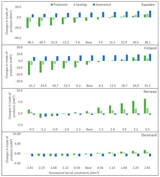
This section presents the effect of roundwood supply constraints on the trade of wood and wood products. The trade of sawnwood and roundwood (including both sawlogs and pulpwood) is shown in Figure 6.
In Sweden, a reduction in roundwood harvest from 7.62 Mm3 (−10%) to 38.1 Mm3 (−50%) prompts a corresponding increase in net roundwood imports, ranging from 5.37 Mm3 to 22.2 Mm3, constituting 58% to 71% of the roundwood harvest reduction. Simultaneously, the net export of sawnwood diminishes by 0.08 Mm3 to 3.47 Mm3, accounting for 1% to 37% of the original export volume. Conversely, the model shows that a 20% increase in roundwood harvest transforms Sweden into a net exporter, with approximately 57% of the augmented harvest being exported. Furthermore, the net export of sawnwood experiences a 13% increase, with this ratio potentially escalating to 37% under a 50% harvest constraint.
In case of Finland, a reduction in roundwood harvest from 6.23 Mm3 (−10%) to 31.2 Mm3 (−50%) results in an increase in net roundwood imports ranging from 4.99 Mm3 to 19.41 Mm3, constituting 54% to 80% of the harvest reduction. Additionally, the net export of sawnwood decreases by 0.23 Mm3 to 2.52 Mm3, accounting for 3% to 31% of the original export level. On the contrary, the model also shows that a 20% increase in roundwood harvest renders Finland a net exporter, with around 70% of the augmented harvest being exported. The net export of sawnwood increases by 3%, with the potential for this ratio to rise to 26% under a 50% harvest constraint.
Norway is a net exporter of roundwood; with roundwood harvest decreasing by 1.30 Mm3 (−10%) and 2.61 Mm3 (−20%), the net export of roundwood decreases by 42% and 77%. Under more substantial reductions of 3.91 Mm3 (−30%), 5.21 Mm3 (−40%), and 6.51 Mm3 (−50%), Norway turns into a net importer of roundwood, and net import of roundwood amounts to 0.1 Mm3, 1.17 Mm3 and 1.9 Mm3. Concurrently, the net import of sawnwood increases by 0.32 Mm3, 0.5 Mm3, and 0.87 Mm3, representing 61%, 96%, and 167% of the original importing level. Conversely, an increase in roundwood harvest in Norway from 1.3 Mm3 (+10%) to 6.5 Mm3 (+50%) leads to a net increase in roundwood exported from 54% to 271%. However, the net export of sawnwood remains largely unchanged.
Denmark relies on the import of pulpwood and sawnwood due to its limited forest resources and forest industry capacities. The model results show that the import of pulpwood tends to increase with decreased domestic logging and the export of pulpwood and sawlogs is possible with an increase in domestic roundwood harvesting. However, the country stably maintains itself as a net importer of sawnwood within all tested roundwood harvest constraints.

3.3. Quantification of Roundwood Leakage

This section delineates the quantified leakage rates for sawlogs, pulpwood, and roundwood, respectively, when original roundwood harvesting levels are constrained from ±10% to ±50% in each scenario country. A discernible symmetry in the leakage rates emerges between decreasing and increasing constraints in Sweden and Finland, where original roundwood harvests are compelled to decrease and increase from 10% to 50%. The leakage rates exhibit a swifter decline with increasing constraint magnitudes within the range of ±10%–±30%, after which the rate of decline attenuates.
As Figure 7 illustrates, the leakage rates for roundwood decrease from 89% to 57% under negative constraints and from 76% to 63% under positive constraints in Finland, while for Sweden, the corresponding rates decrease from 69% to 59% under negative constraints and from 81% to 62% under positive constraints. The leakage rates for sawlogs and pulpwood closely mirror those for roundwood, with average rates hovering around 67%.
The leakage patterns in Norway and Denmark diverge from those in Sweden and Finland. In Norway (Figure 7), the roundwood leakage rates vary between 61% and 76% when the harvest changes from ±10% to ±50%. Notably, there is a slight declining trend in leakage rates with increased negative constraints, particularly pronounced for sawlogs compared to pulpwood and roundwood. Moreover, the leakage rates for sawlogs are on average 12% higher than those for pulpwood. Conversely, leakage rates increase with heightened positive constraints, particularly for sawlogs, with rates escalating from 20% to 52%, while pulpwood exhibits an average 17% higher leakage rate than sawlogs.
In Denmark (Figure 7), roundwood leakage rates vary between 59% and 93% under negative constraints and from 82% to 106% under positive constraints, lacking a discernible increasing or decreasing trend. Sawlogs exhibit wide-ranging leakage rates from −41% to 175%; this variability may be attributed the low reference harvesting level of sawlogs, leading to considerable fluctuations within a broad spectrum of constraints ranging from ±10% to ±50%.

3.4. Tracing of Roundwood Leakage

The rest of the world (ROW) is the primary leakage destination; the average compensation of roundwood harvest from ROW accounts for 50%, 49%, 55%, and 78%, while the average proportion from the Nordic countries is 22%, 17%, 10%, and 7% when roundwood harvest varies in Norway, Sweden, Finland, and Denmark, respectively. Despite a relatively low share of the harvest leakage within the Nordic countries, the model adeptly discerns regional differences. The subsequent section delves into the effects of a roundwood harvest constraint of ±30% in various regions within the Nordic countries when the constraint is applied in one of them.

3.4.1. Scenario Country of Sweden

When the total harvest is constrained to decrease in Sweden at the country level, the most substantial reductions occur in S5, S7, and S9, where significant industrial operations are situated (Figure 8). As a response, the adjacent region N2 experiences the most notable surge in harvest levels in Norway, driven by heightened exports to S5 and S7. In addition, the harvest increases at a similar scale in F2 and F3 in Finland, attributable to enhanced supply to S1, as well as to S2 and S4, respectively. Likewise, Denmark witnesses a surge in harvest, primarily attributed to augmented exports to S10 in Sweden. On the other hand, when the national roundwood harvest in Sweden is compelled to increase, the harvest in and export from N2 experiences the most significant decrease in Norway, driven by diminished demand in S7. In Finland, the most substantial harvest reduction occurs in F2, resulting from a shift from net exporter to net importer status.

3.4.2. Scenario Country of Finland

The primary leakage destination resulting from alterations in roundwood harvest in Finland extends from the northern to the middle regions of Sweden (S1–S5) (Figure 9). Specifically, instances such as increased harvest in S1 and S4 contribute to increased exports to F2 and F7 when the national roundwood harvest decreases in Finland; simultaneously, the harvest increases in S2 due to an increased supply to S1. Conversely, when the roundwood harvest increases in Finland, the harvest in the middle to northern regions of Sweden decreases due to reduced exports to Finland.

3.4.3. Scenario Country of Norway

When a national harvest constraint is applied in Norway, the most significant harvest changes affect region N2, where the most production occurs, and the regions in Sweden emerge as the primary leakage destinations (Figure 10). When harvest decreases in Norway, the export of roundwood from Norway decreases significantly, e.g., from N3 and N5 to S10. This prompts a corresponding surge in harvest in S10, coupled with increased imports from Denmark, F7, and ROW. The rise in harvest in F7, however, is relatively modest due to heightened imports from F3. Simultaneously, a significant reduction in roundwood export is observed from N2 to S7. In S7, the associated harvest increase is relatively limited, primarily attributable to augmented harvests in adjacent regions such as S6 and S8, facilitated by the flexible trade of timber. When harvest increases in Norway, the most substantial reductions in harvest transpire in S5 and S6 in Sweden. This is predominantly attributed to diminished demand for roundwood in S7, arising from increased imports from N2 in Norway.

3.4.4. Scenario Country of Denmark

In Denmark, the resulting roundwood harvest variation across other Nordic regions is relatively negligible, primarily attributable to its low baseline harvesting levels; hence, the significance of regional tracing diminishes compared to the other three countries. However, Finland stands out as the primary leakage destination at the national level within the Nordics, while the countries outside the Nordics (ROW) consistently manifest as the predominant areas of leakage worldwide.

4. Discussion

Our investigation focuses on the dynamics of the forest industries, exploring how variations in roundwood harvesting levels influence the production and trade of wood products. We employed a series of roundwood supply constraints and applied them to each country scenario within the Nordic Forest Sector Model. The following discussion delves into the implications and limitations of the modeling results and sheds light on future improvements.
A significant finding of this research is the variability of leakage rates, ranging from 57% to slightly over 100%, in the total harvest of roundwood under a wide spectrum of tested constraints. These rates fall within the similar range previously reported by other studies. For instance, Gan and McCarl (2007) [5] determined that between 42% and 95% of the forestry production reduction within a country or region can potentially be relocated to other areas. In addition, Schier et al. (2022) [6] applied intensive and moderate scenarios based on the EU Biodiversity strategy that corresponds to approximately a 48% reduction and an 8% increase in total roundwood production, which results in leakage rates of around 53% and 63% in the EU for the two scenarios, respectively. Likewise, Kallio et al. (2018) [9] implemented reference levels for EU forest carbon sinks following the restricted use of forest resources. Their analysis estimated that 79% of roundwood harvests in the EU, including Norway, were counterbalanced by an equivalent increase in harvesting activities outside the EU. Kallio and Solberg (2018) [18] extended research by simulating variations in roundwood harvest levels, with increases and decreases of 10%, 30%, and 50% in Norway. Their findings indicated that 60% to 100% of the change in harvest levels was compensated for by corresponding adjustments in other regions around the world. Notably, the study highlighted that smaller reductions in harvest levels exhibited higher leakage rates compared to more significant reductions. This trend can be attributed to the ease of offsetting smaller reductions with increased harvesting in other global regions, a pattern consistent with our findings in the case of Norway, Sweden, and Finland.
In addition to the findings above, the outcomes of our model analysis revealed that the diminished supply of sawlogs within the Norwegian forestry sector is predominantly offset by reduced consumption in domestic industries, rather than by an augmented reliance on imported sawlogs. Furthermore, the deficit in the supply of sawnwood in Norway is mitigated by escalated production activities in Sweden. It is pertinent to note that [18] applied a global model, EFI-GT, and suggested that Norway would augment its import of sawlogs to counterbalance the decline in domestic supply, with the reduction in sawnwood production being very little. Nevertheless, it is important to highlight that [17] later employed the same model to investigate the consequences of setting reference levels in the European Union (EU) and Norway. Their findings indicated that the production of sawnwood and plywood tends to decrease significantly in the EU and Norway due to reduced harvest levels, which seems in line with our findings in Norway. The discrepancies in the results do not solely arise from variations in model configurations and parameter settings, which encompass influential factors such as supply elasticity, demand elasticity, and transportation costs, exerting significant influence over regional price dynamics and ensuing trade patterns. These disparities are also intricately tied to the distinct geographic boundaries within the scope of the research. It is worth noting that when examining the impact on industries within a single country, the effects can significantly diverge from the aggregate sum of impacts across multiple countries.
To assess the robustness of leakage rates to the model parameters, the roundwood supply elasticities are varied by ±0.1 and ±0.5 and the demand elasticities of sawnwood increased by +0.1 and +0.5 in each of the scenario countries. The sensitivity analysis indicates that the estimated leakage rates exhibit limited responsiveness to alterations in the assumptions regarding timber supply elasticity and demand elasticity within the model. Notably, the disparities in leakage rates remain confined to approximately 1%, even when subject to a ±0.5 modification in the original supply elasticity. Similarly, the sensitivity of estimated leakage rates to the demand elasticity of sawnwood is also marginal. Together with comparing our study’s leakage rates to other studies, we ensure the validity and acceptability of our results.
It is important to acknowledge potential limitations in the study. For example, the modeling of the production leakage of sawnwood in our study is relatively small compared to the estimated production leakage rates in [6]. They reported a production leakage of sawnwood of around 93% and 107% for the scenarios of moderate (MSC) and intensive (ISC) implementation of EU biodiversity objectives, respectively. In this study, the reduction in production in Norway yields a production leakage rate of 40%–72%, primarily due to increased production in Sweden and Finland. However, when sawnwood production decreases in Sweden and Finland, no observable increase in sawnwood production is evident in other Nordic countries and the Rest of the World (ROW). Likewise, the increased production in Sweden results in a production leakage rate of 25%–78%, primarily attributed to decreased production in Finland and Norway, while when roundwood harvest increases in Finland, except for a minor spillover to Sweden, the sawnwood production change in ROW is not distinctly observed. This could be mainly due to the simplified modeling in non-Nordic countries (ROW). Notably, the applied model emphasizes the detailed modeling of roundwood supply, wood industries, and trade among Nordic countries while simplifying the representation of forest industries and trade between the Nordics and non-Nordics (ROW) under the assumption of the Nordic market as a price taker. This is the main reason for a lower or non-measurement of the production leakage of sawnwood in the analysis.
As is customary in exploratory studies, the results presented here are scenario-specific outcomes and should not be misconstrued as predictive forecasts; rather, they serve as responses to hypothetical “what if” scenarios. Therefore, it is imperative to recognize that the design of the roundwood supply variations varies between ±10% and ±50% in this study and does not purport to depict actual future outcomes but rather offers a conceptual framework for envisaging potential scenarios. It is also important to clarify that our study does not claim that our assumptions and results are statistically representative. We are not attempting to make statistical predictions that would assert our findings as a reflection of reality. In addition, it is essential to notice that the scope of leakage rates examined in the present study is primarily centered on production leakage, which does not fully account for carbon leakage. This limitation arises from the model’s exclusion of factors such as carbon emissions during timber transport and forest industry production, substitution effects, and variations in forest growth. Additionally, the study does not consider carbon sequestration effects in soil or the surface albedo effect, as outlined in Schwaiger and Bird (2010). Meanwhile, the model’s scope is limited to the leakage of the boreal forest, potentially resulting in an underestimation of leakage effects for hardwood species.
Roundwood harvesting level is intricately linked to prevailing forest policies. As of June 2023, 5.2% percent of Norway’s forest area is protected, falling short of the mandated 10 percent set by parliament in 2016 [35]. This necessitates a doubling of protected forests in the future. In Sweden, Finland, and Denmark, the protected forest may also increase due to broader policy frameworks, such as the new biodiversity strategy to protect 30 percent of its land area by 2030 [36,37]. The implementation of these agreements could potentially lead to changes in harvesting levels, not only in Nordic countries, requiring a careful consideration of associated leakage risks.
In the NFSM model framework, wood and wood products are posited to exist in a state of homogeneity within a perfectly competitive global market; this characterization can ease the trade of goods from one region to another. This is deemed a potential limitation in light of findings in a study by [38]. In fact, the wood product market aligns with a degree of homogeneity and wide international trade, distinct from goods like energy, as mentioned in [9]. Additionally, the study by [5] tested the sensitivity of the leakage rates to the elasticity of substitution by varying the elasticity of substitution between domestic and imported forestry products by ±10% for all countries and regions. Their findings reveal that the standard deviations of leakage remain below 2% of the means across all contexts. Therefore, while it is plausible that the model has potentially overestimated the leakage rates in our study, the range of values reported remains a reasonable representation of the underlying dynamics.
Addressing the geographical limitations inherent in our model is imperative for future work. While the geographic regions within the model are expansive, they may still be relatively large compared to actual timber transportation ports, potentially leading to an underestimation of inter- and intra-transportation costs and an overestimation of leakage. It is important to acknowledge that the timber trade is inherently linked to price disparities and transportation costs across the modeled regions. The simplification of trade between a Nordic country and non-Nordic countries as a single region inadvertently overlooks certain price dynamics among the countries, contributing to an increased dependence of the results on a limited set of model parameters. The incorporation of updated data into the model, such as the Russian ban on log exports implemented in January 2022 and the consequences for wood production and trade resulting from the Russian military actions initiated in Ukraine in February 2022, would be valuable. Addressing these limitations and incorporating these complexities would be a valuable focus for future research.
The study contributes to a deeper understanding of production leakage in the forest sector, and the implications of the study are transferable to other sectors and countries. Although the study focuses on the Nordic countries, the quantified leakage rates in the forest sector are in a similar range compared to other studies conducted in other parts of the world. This reveals the essence of the leakage in the forest sector, that the leakage in the production of wood and wood products is inevitable due to the high substitution of wood and wood products and the connectivity of the global market. Therefore, the conclusion can be transferable to other sectors such that the goods share similar attributes, such as steel and cement [39]. While this study refrains from offering definitive solutions to mitigate leakage, it accentuates the necessity for critical reflection. Among the others, the market leakage observed often stems from unilateral policies within specific borders; hence, a comprehensive investigation of the effect of such policies is vital; as [11] mentioned, the affected products, substitutes and sources, etc. should be investigated. In addition, the distinction, accounting, and monitoring of the leakage are critical for accurately estimating the true emission mitigation effects. For instance, a country that implements a unilateral policy should deduct the resulting increase in carbon emissions from other countries from the carbon emission reduction effect of its policy. Furthermore, proactive measures should be taken to limit production leakage through markets, such as the Border Adjustment Tax Mechanism (BATM) adopted by the European Union to prevent the carbon leakage of specific carbon-intensive goods [40]. On the other hand, it is also important to communicate to countries with a high potential of becoming primary leakage destinations, e.g., a developing country, and collaborative efforts to constrain carbon emission growth in these countries are vital for addressing the global dimensions of the leakage challenge.

5. Conclusions

Wood and wood products play pivotal roles in carbon sequestration, holding significant potential as carbon sinks that contribute to the 2050 carbon-neutral goal. The Nordic forest and forest sector, as critical contributors to climate change mitigation, navigate substantial impacts from diverse climate-related forest policies. A central concern in this context is leakage, prompting our investigation. This study employs the Nordic Forest Sector Model (NFSM) to analyze the harvest leakage of roundwood and the production leakage of wood products due to variations in roundwood supply in each Nordic country.
The results reveal a high rate of shift in both roundwood and sawnwood production through the global market to varying extents, which highlights the importance of a comprehensive analysis of forest policies, especially the ones that may affect roundwood harvesting levels. The leakage rate of roundwood harvest ranges from 61% to 76% in Norway, 59% to 81% in Sweden, 57% to 89% in Finland, and 59% to 106% in Denmark. In addition, the leakage rates present distinctive patterns in different countries. For Sweden and Finland, the harvest leakage rates decline with the increasing magnitude of harvest shocks. A similar trend is found for both sawlogs and pulpwood, and the effect is equally significant for both negative and positive harvest shocks. In Norway, the leakage rates decrease with the increasing magnitude of negative constraints but increase with the increasing magnitude of positive constraints, which is especially evident for sawlogs. In Denmark, the leakage rate for roundwood fluctuates in a wider range without a discernible trend. In addition, the results show that the estimated sawnwood production leakage is smaller than the harvest leakage and the results from prior findings, and the magnitude of modeled production leakage also depends on where the roundwood supply constraints are applied.
Non-Nordic countries emerge as the primary destination for leakage when there are alterations in roundwood harvesting levels within the studied Nordic countries. Specifically, over 70% of the changes are directed toward non-Nordic regions, with less than 30% being compensated for within the Nordic countries. The tracing of regional leakage destinations within the Nordics showed that the central and southern regions of Sweden, as well as the central to northern regions of Sweden, serve as the principal leakage areas if roundwood supply changes in Norway and Finland, respectively. In the scenario of fluctuating roundwood supply within Sweden, the central regions of Norway (Innlandet) and particularly the middle of Finland (Pohjois-Pohjanmaa, Kainuu) constitute the primary leakage destinations.
Norway exhibits more distinct trade patterns compared to Finland and Sweden. Norway demonstrates a tendency to heighten sawnwood imports in roundwood deficits while exporting surplus roundwood. However, Sweden and Finland present comparable trade behaviors when facing roundwood harvest constraints—increasing roundwood imports during deficits and augmenting sawnwood exports during surpluses. As for Denmark, it tends to stably maintain itself as a net importer of sawnwood, coupled with the increased import of pulpwood when harvest decreases, while exporting excess sawlogs and pulpwood to other countries when harvest increases.
In summary, the harvest leakage of roundwood and the production leakage of sawnwood are significant if roundwood harvest is altered in the Nordic countries; the study has demonstrated the leakage among the Nordic countries in detail, while further detailed modeling of non-Nordic countries is necessary to better trace the leakage outside of the Nordics.

Author Contributions

J.H.: Conceptualization, Methodology, Software, Formal analysis, Investigation, Data curation, Writing—original draft, Writing—review & editing, Visualization. E.O.J.: Conceptualization, Methodology, Writing—review & editing, Supervision. T.F.B.: Conceptualization, Writing—review & editing, Supervision. P.K.R.: Conceptualization, Writing—review & editing, Supervision. All authors have read and agreed to the published version of the manuscript.

Funding

This work was supported by the Research Council of Norway (Norges Forskningsråd), through the ‘Norwegian Centre for Sustainable Bio-based Fuels and Energy (Bio4Fuels)’ [NRF-257622].

Data Availability Statement

The data used in the model is referred to [24], and the model structure is described in [23].

Conflicts of Interest

The authors declare that they have no known competing financial interests or personal relationships that could have appeared to influence the work reported in this paper.

References

  1. Ekström, H.; Hannerz, M. Nordic Forest Statistics 2020: Resources, Industry, Trade, Conservation and Climate. 2020. Available online: https://nordicforestresearch.org/wp-content/uploads/2021/03/Nordisk-skogsstatistik-3.pdf (accessed on 11 November 2023).
  2. Meyfroidt, P.; Lambin, E.F.; Erb, K.-H.; Hertel, T.W. Globalization of land use: Distant drivers of land change and geographic displacement of land use. Curr. Opin. Environ. Sustain. 2013, 5, 438–444. [Google Scholar] [CrossRef]
  3. Meyfroidt, P.; Chowdhury, R.R.; de Bremond, A.; Ellis, E.C.; Erb, K.-H.; Filatova, T.; Garrett, R.D.; Grove, J.M.; Heinimann, A.; Kuemmerle, T.; et al. Middle-range theories of land system change. Glob. Environ. Chang. 2018, 53, 52–67. [Google Scholar] [CrossRef]
  4. Nilsson, A.; Bergquist, M.; Schultz, W.P. Spillover effects in environmental behaviors, across time and context: A review and research agenda. Environ. Educ. Res. 2016, 23, 573–589. [Google Scholar] [CrossRef]
  5. Gan, J.; McCarl, B.A. Measuring transnational leakage of forest conservation. Ecol. Econ. 2007, 64, 423–432. [Google Scholar] [CrossRef]
  6. Schier, F.; Iost, S.; Seintsch, B.; Weimar, H.; Dieter, M. Assessment of Possible Production Leakage from Implementing the EU Biodiversity Strategy on Forest Product Markets. Forests 2022, 13, 1225. [Google Scholar] [CrossRef]
  7. Streck, C. REDD+ and leakage: Debunking myths and promoting integrated solutions. Clim. Policy 2021, 21, 843–852. [Google Scholar] [CrossRef]
  8. Streck, C. Deforestation Leakage, Policy Spill-Overs and the Case for Integrated Management. 2021. Available online: https://climatestrategies.org/deforestation-leakage-policy-spill-overs-and-the-case-for-integrated-management/ (accessed on 26 January 2023 ).
  9. Kallio, A.M.I.; Solberg, B.; Käär, L.; Päivinen, R. Economic impacts of setting reference levels for the forest carbon sinks in the EU on the European forest sector. For. Policy Econ. 2018, 92, 193–201. [Google Scholar] [CrossRef]
  10. Murray, B.C.; McCarl, B.A.; Lee, H.-C. Estimating Leakage from Forest Carbon Sequestration Programs. Land Econ. 2004, 80, 109–124. [Google Scholar] [CrossRef]
  11. Jonsson, R.; Mbongo, W.; Felton, A.; Boman, M. Leakage Implications for European Timber Markets from Reducing Deforestation in Developing Countries. Forests 2012, 3, 736–744. [Google Scholar] [CrossRef]
  12. Rekola, M.; Valkeapää, A.; Rantala Rekola, T. Nordic Forest Professionals’ Values. Silva Fenn. 2010, 44, 885–908. Available online: http://www.metla.fi/silvafennica/full/sf44/sf445885.pdf886 (accessed on 16 November 2023). [CrossRef]
  13. Westholm, E.; Lindahl, K.B.; Kraxner, F. The Future Use of Nordic Forests: A Global Perspective; Springer: Dordrecht, The Netherlands, 2016. [Google Scholar]
  14. Renwick, A.R.; Bode, M.; Venter, O. Reserves in Context: Planning for Leakage from Protected Areas. PLoS ONE 2015, 10, e0129441. [Google Scholar] [CrossRef] [PubMed]
  15. Ford, S.A.; Jepsen, M.R.; Kingston, N.; Lewis, E.; Brooks, T.M.; MacSharry, B.; Mertz, O. Deforestation leakage undermines conservation value of tropical and subtropical forest protected areas. Glob. Ecol. Biogeogr. 2020, 29, 2014–2024. [Google Scholar] [CrossRef]
  16. Dieter, M.; Weimar, H.; Iost, S.; Englert, H.; Fischer, R.; Günter, S.; Morland, C.; Roering, H.-W.; Schier, F.; Seintsch, B.; et al. Assessment of Possible Leakage Effects of Implementing EU COM Proposals for the EU Biodiversity Strategy on Forestry and Forests in Non-EU Countries; Thünen Working Paper, No. 159; Johann Heinrich von Thünen-Institut: Braunschweig, Germany, 2020. [Google Scholar]
  17. Päivinen, R.; Kallio, A.M.I.; Solberg, B.; Käär, L. EU Forest reference levels: The compatible harvest volumes compiled and assessed in terms of forest sector market development. For. Policy Econ. 2022, 140, 102748. [Google Scholar] [CrossRef]
  18. Kallio, A.M.I.; Solberg, B. Leakage of forest harvest changes in a small open economy: Case Norway. Scand. J. For. Res. 2018, 33, 502–510. [Google Scholar] [CrossRef]
  19. Trømborg, E.; Solberg, B. Beskrivelse av en Partiell Likevektsmodell Anvendt i Prosjektet "Modellanalyse av Norsk Skogsektor" =: Description of a Partial Equilibrium Model Applied in the Project "Modelling the Norwegian Forest Sector"; Nasjonalbiblioteket: Oslo, Norway, 1995; Available online: https://www.nb.no/nbsok/nb/dfa173b8aa13ac2cefa56855a4b96e6a?lang=no (accessed on 15 July 2022).
  20. Bolkesjø, T.F.; Trømborg, E.; Solberg, B. Increasing Forest Conservation in Norway: Consequences for Timber and Forest Products Markets. Environ. Resour. Econ. 2005, 31, 95–115. [Google Scholar] [CrossRef]
  21. Bolkesjø, T.F.; Trømborg, E.; Solberg, B. Bioenergy from the forest sector: Economic potential and interactions with timber and forest products markets in Norway. Scand. J. For. Res. 2006, 21, 175–185. [Google Scholar] [CrossRef]
  22. Trømborg, E.; Sjølie, H.K. Data Applied in the Forest Sector Models NorFor and NTMIII; Department of Ecology and Natural Resource Management, Norwegian University of Life Sciences: Ås, Norway, 2011. [Google Scholar]
  23. Mustapha, W. The Nordic Forest Sector Model (NFSM): Data and Model Structure. 2016. Available online: http://www.umb.no/statisk/ina/publikasjoner/fagrapport/if38.pdf (accessed on 18 January 2022).
  24. Jåstad, E.O. Assessments of the Future Role of Bioenergy in the Nordic energy and Forest Sectors. Ph.D. Thesis, Norwegian University of Life Sciences (NMBU), Ås, Norway, 2020. [Google Scholar]
  25. Jåstad, E.O.; Bolkesjø, T.F.; Trømborg, E.; Rørstad, P.K. Integration of forest and energy sector models—New insights in the bioenergy markets. Energy Convers. Manag. 2021, 227, 113626. [Google Scholar] [CrossRef]
  26. Jåstad, E.O.; Bolkesjø, T.F.; Rørstad, P.K.; Midttun, A.; Sandquist, J.; Trømborg, E. The Future Role of Forest-Based Biofuels: Industrial Impacts in the Nordic Countries. Energies 2021, 14, 2073. [Google Scholar] [CrossRef]
  27. Kallio, A.M.I.; Dykstra, D.P.; Binkley, C.S. The Global Forest Sector: An Analytical Perspective. The International Institute for Applied Systems Analysis (IIASA) Executive Report; John Wiley & Sons: Hoboken, NJ, USA, 1987; 16p. [Google Scholar]
  28. Kallio, A.M.I.; Moiseyev, A.; Solberg, B. The global forest sector model EFI-GTM. The model structure. EFI Tech. Rep. 2004, 15, 24. Available online: http://www.efi.int/files/attachments/publications/ir_15.pdf (accessed on 8 August 2023).
  29. GAMS Development Corporation. GAMS—General Algebraic Modelling System. 2017. Available online: https://www.gams.com/ (accessed on 31 January 2023).
  30. National Forestry Accounting Plan for Norway, Including Forest Reference Level for the First Commitment Period 2021–2025; Norwegian Ministry of Climate and Environment: Oslo, Norway, 2019.
  31. Swedish Forest Agency. Forest Management in Sweden Current Practice and Historical Background. 2020. Available online: https://www.skogsstyrelsen.se/globalassets/om-oss/rapporter/rapporter-2020/rapport-2020-4-forest-management-in-sweden.pdf (accessed on 15 July 2022).
  32. Swedish University of Agricultural Sciences. Standing Volume is Increasing at a Slower Rate. 2020. Available online: https://www.slu.se/en/ew-news/2020/5/standing-volume-is-increasing-at-a-slower-rate/ (accessed on 15 July 2022).
  33. National Forestry Accounting Plan for Finland; Ministry of Agriculture and Forestry (MMM): Helsinki, Finland, 2019.
  34. Johannsen, V.K.; Nord-Larsen, T.; Bentsen, N.S.; Vesterdal, L. Danish National Forest Accounting Plan 2021–2030; University of Copenhagen: Copenhagen, Denmark, 2019; Available online: https://core.ac.uk/download/pdf/286087334.pdf (accessed on 13 July 2022).
  35. Det Kongelige Klima-Og Miljødepartement. Natur for Livet Norsk Handlingsplan for Naturmangfold. 2015. Available online: www.fagbokforlaget.no/offpub (accessed on 24 November 2023).
  36. European Commission. Biodiversity Strategy for 2030. 2020. Available online: https://environment.ec.europa.eu/strategy/biodiversity-strategy-2030_en (accessed on 27 November 2023).
  37. 15th Conference of Parties to the UN Convention on Biological Diversity. 2022. Available online: https://www.cbd.int/article/cop15-cbd-press-release-final-19dec2022 (accessed on 27 November 2023).
  38. Eriksson, V.; Lundmark, R. A Cointegration Analysis of the Nordic Roundwood Markets. Forests 2020, 11, 1007. [Google Scholar] [CrossRef]
  39. Boutabba, M.A.; Lardic, S. EU Emissions Trading Scheme, competitiveness and carbon leakage: New evidence from cement and steel industries. Ann. Oper. Res. 2017, 255, 47–61. [Google Scholar] [CrossRef]
  40. European Commission. Carbon Border Adjustment Mechanism. 2023. Available online: https://taxation-customs.ec.europa.eu/carbon-border-adjustment-mechanism_en (accessed on 30 January 2023).
Figure 1. The four Nordic countries are modeled in 31 regions in the version of NFSM applied in this study, where N for Norway, S for Sweden, F for Finland and D for Denmark.
Figure 1. The four Nordic countries are modeled in 31 regions in the version of NFSM applied in this study, where N for Norway, S for Sweden, F for Finland and D for Denmark.
Forests 15 00254 g001
Figure 2. The procedure of applying a roundwood harvest constraint in each Nordic country in the model NFSM.
Figure 2. The procedure of applying a roundwood harvest constraint in each Nordic country in the model NFSM.
Forests 15 00254 g002
Figure 3. The change in sawnwood production in other Nordic countries when roundwood harvest is decreased (negative constraints) and increased (positive constraints) in Sweden. (Mm3 = million m3).
Figure 3. The change in sawnwood production in other Nordic countries when roundwood harvest is decreased (negative constraints) and increased (positive constraints) in Sweden. (Mm3 = million m3).
Forests 15 00254 g003
Figure 4. The change in sawnwood production in other Nordic countries when roundwood harvest is decreased (negative constraints) and increased (positive constraints) in Finland. (Mm3 = million m3).
Figure 4. The change in sawnwood production in other Nordic countries when roundwood harvest is decreased (negative constraints) and increased (positive constraints) in Finland. (Mm3 = million m3).
Forests 15 00254 g004
Figure 5. The change in sawnwood production in other Nordic countries when roundwood harvest is decreased (negative constraints) and increased (positive constraints) in Norway. (Mm3 = million m3).
Figure 5. The change in sawnwood production in other Nordic countries when roundwood harvest is decreased (negative constraints) and increased (positive constraints) in Norway. (Mm3 = million m3).
Forests 15 00254 g005
Figure 6. The net import (below the x-axis) and net export (above the x-axis) of sawlogs, pulpwood, and sawnwood in the scenario countries of Sweden, Finland, Norway and Denmark, respectively, when their roundwood harvest is constrained by ±10% to ±50%.
Figure 6. The net import (below the x-axis) and net export (above the x-axis) of sawlogs, pulpwood, and sawnwood in the scenario countries of Sweden, Finland, Norway and Denmark, respectively, when their roundwood harvest is constrained by ±10% to ±50%.
Forests 15 00254 g006
Figure 7. Modeled leakage rates for roundwood, sawlogs, and pulpwood when roundwood harvest constraints varying from ±10% to ±50% are applied in Sweden, Finland, Norway, and Denmark respectively.
Figure 7. Modeled leakage rates for roundwood, sawlogs, and pulpwood when roundwood harvest constraints varying from ±10% to ±50% are applied in Sweden, Finland, Norway, and Denmark respectively.
Forests 15 00254 g007
Figure 8. Regional harvest variations in Sweden and other Nordic countries are depicted for scenarios of national roundwood harvest decrease (left) and increase (right) in Sweden. Enhanced harvest is highlighted in green, while the reduced harvest is indicated in blue, and the darker the color the greater the changes. Yellow arrows represent increased trade flow, while red arrows signify decreased trade flow. The black arrow in the dot indicates the original direction of trade flow. The purple dots pinpoint the primary sawnwood production regions in each country, where significant harvest fluctuations typically occur in response to the application of a national roundwood harvest constraint.
Figure 8. Regional harvest variations in Sweden and other Nordic countries are depicted for scenarios of national roundwood harvest decrease (left) and increase (right) in Sweden. Enhanced harvest is highlighted in green, while the reduced harvest is indicated in blue, and the darker the color the greater the changes. Yellow arrows represent increased trade flow, while red arrows signify decreased trade flow. The black arrow in the dot indicates the original direction of trade flow. The purple dots pinpoint the primary sawnwood production regions in each country, where significant harvest fluctuations typically occur in response to the application of a national roundwood harvest constraint.
Forests 15 00254 g008
Figure 9. Regional harvest variations in Finland and other Nordic countries are depicted for scenarios of national roundwood harvest decrease (left) and increase (right) in Finland. Enhanced harvest is highlighted in green, while reduced harvest is indicated in blue, and the darker the color the greater the changes. Yellow arrows represent increased trade flow, while red arrows signify decreased trade flow. The black arrow in the dot indicates the original direction of trade flow. The purple dots pinpoint the primary sawnwood production regions in each country, where significant harvest fluctuations typically occur in response to the application of a national roundwood harvest constraint.
Figure 9. Regional harvest variations in Finland and other Nordic countries are depicted for scenarios of national roundwood harvest decrease (left) and increase (right) in Finland. Enhanced harvest is highlighted in green, while reduced harvest is indicated in blue, and the darker the color the greater the changes. Yellow arrows represent increased trade flow, while red arrows signify decreased trade flow. The black arrow in the dot indicates the original direction of trade flow. The purple dots pinpoint the primary sawnwood production regions in each country, where significant harvest fluctuations typically occur in response to the application of a national roundwood harvest constraint.
Forests 15 00254 g009
Figure 10. Regional harvest variations in Norway and other Nordic countries are depicted for scenarios of national roundwood harvest decrease (left) and increase (right) in Norway. Enhanced harvest is highlighted in green, while the reduced harvest is indicated in blue, and the darker the color the greater the changes. Yellow arrows represent increased trade flow, while red arrows signify decreased trade flow. The purple dots pinpoint the primary sawnwood production regions in each country, where significant harvest fluctuations typically occur in response to the application of a national roundwood harvest constraint.
Figure 10. Regional harvest variations in Norway and other Nordic countries are depicted for scenarios of national roundwood harvest decrease (left) and increase (right) in Norway. Enhanced harvest is highlighted in green, while the reduced harvest is indicated in blue, and the darker the color the greater the changes. Yellow arrows represent increased trade flow, while red arrows signify decreased trade flow. The purple dots pinpoint the primary sawnwood production regions in each country, where significant harvest fluctuations typically occur in response to the application of a national roundwood harvest constraint.
Forests 15 00254 g010
Table 1. Harvest level and net export of roundwood, including sawlogs and pulpwood in each Nordic country in NFSM in 2018. Unit: million m3.
Table 1. Harvest level and net export of roundwood, including sawlogs and pulpwood in each Nordic country in NFSM in 2018. Unit: million m3.
NorwaySwedenFinlandDenmark
HarvestSawlogs6.136.625.01.1
Pulpwood7.540.138.64.7
Roundwood13.676.763.55.8
Net ExportSawlogs1.49−2.26−0.100.23
Pulpwood1.60−6.48−6.220.05
Roundwood3.09−8.75−6.320.28
Table 2. Production and net export of sawnwood, paper and board, market pulp, and production of bioheat in each Nordic country in NFSM in 2018. The unit for bioheat is TWh, and the unit for other products is million m3.
Table 2. Production and net export of sawnwood, paper and board, market pulp, and production of bioheat in each Nordic country in NFSM in 2018. The unit for bioheat is TWh, and the unit for other products is million m3.
ProductsNorwaySwedenFinlandDenmark
ProductionSawnwood2.521.012.30.5
Paper and board1.811.612.40.8
Market pulp0.412.211.10.0
Net exportBioheat7.796.773.522.0
Sawnwood−0.3511.88.09−1.40
Paper and board0.357.5413.61−2.57
Market pulp0.163.014.11−0.10
Table 3. Price elasticities of sawlogs and pulpwood in modeled regions in NFSM in 2018.
Table 3. Price elasticities of sawlogs and pulpwood in modeled regions in NFSM in 2018.
RegionSawlogsPulpwood
South/East Norway (N1–N6)0.81.2
South/west Norway (N7–N8)0.60.8
North Norway (N9–N10)0.81
Sweden (S1–S10)0.60.8
Finland (F1–F10)11.2
Denmark (D1)0.81.2
ROW11.2
Disclaimer/Publisher’s Note: The statements, opinions and data contained in all publications are solely those of the individual author(s) and contributor(s) and not of MDPI and/or the editor(s). MDPI and/or the editor(s) disclaim responsibility for any injury to people or property resulting from any ideas, methods, instructions or products referred to in the content.

Share and Cite

MDPI and ACS Style

Hu, J.; Jåstad, E.O.; Bolkesjø, T.F.; Rørstad, P.K. The Quantification and Tracing of Leakage in the Forest Sector in Nordic Countries. Forests 2024, 15, 254. https://doi.org/10.3390/f15020254

AMA Style

Hu J, Jåstad EO, Bolkesjø TF, Rørstad PK. The Quantification and Tracing of Leakage in the Forest Sector in Nordic Countries. Forests. 2024; 15(2):254. https://doi.org/10.3390/f15020254

Chicago/Turabian Style

Hu, Junhui, Eirik Ogner Jåstad, Torjus Folsland Bolkesjø, and Per Kristian Rørstad. 2024. "The Quantification and Tracing of Leakage in the Forest Sector in Nordic Countries" Forests 15, no. 2: 254. https://doi.org/10.3390/f15020254

APA Style

Hu, J., Jåstad, E. O., Bolkesjø, T. F., & Rørstad, P. K. (2024). The Quantification and Tracing of Leakage in the Forest Sector in Nordic Countries. Forests, 15(2), 254. https://doi.org/10.3390/f15020254

Note that from the first issue of 2016, this journal uses article numbers instead of page numbers. See further details here.

Article Metrics

Back to TopTop