The Effect of Particles from Rotten Spruce Logs and Recycled Wooden Composites on Changes in the Bio-Resistance of Three-Layer Particleboards Against the Decaying Fungus Coniophora puteana and Mixture of Moulds
Abstract
1. Introduction
2. Materials and Methods
2.1. Particleboard Variants
- Control–sound spruce wood particles (C).
- Brown-rotten (BR) wood particles: particles from spruce logs decayed by Fomitopsis pinicola (brown-rot fungus).
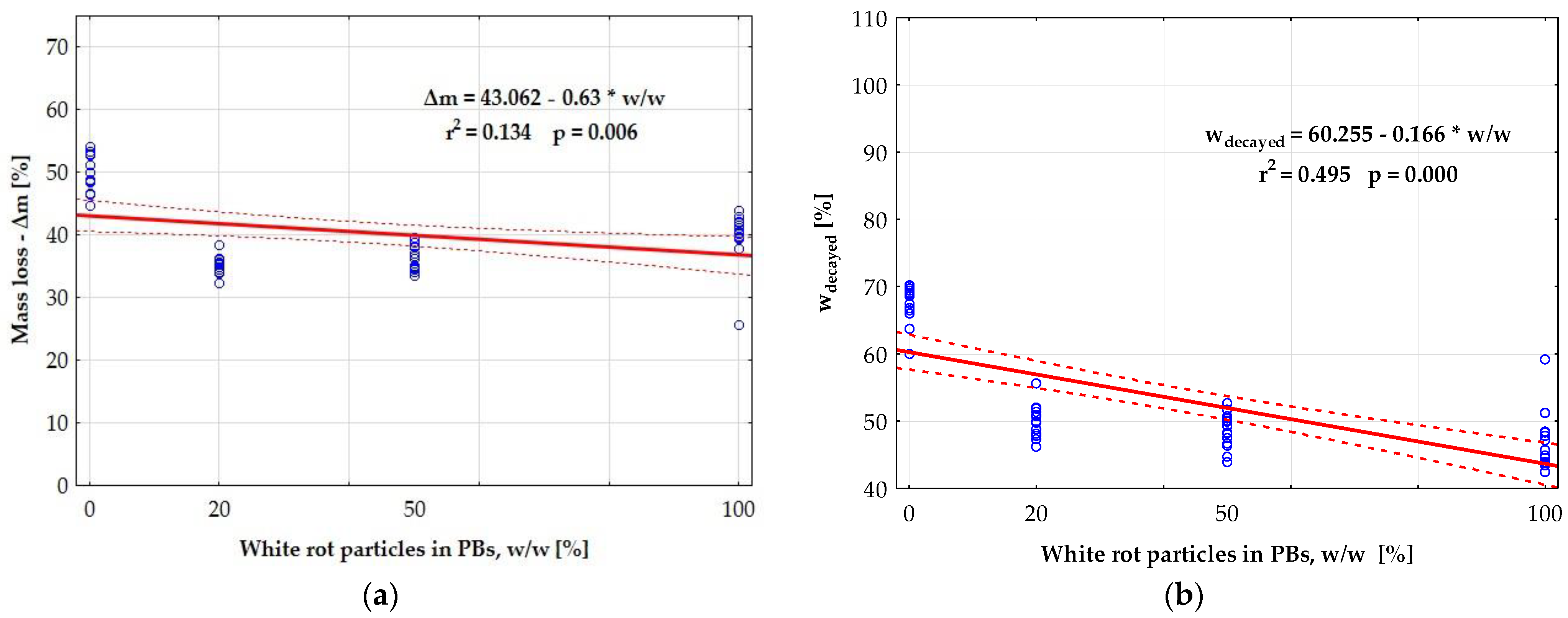
- White-rotten (WR) wood particles: particles from spruce logs decayed by Armillaria ostoyae (white-rot fungus).
- Recycled particles from laminated PBs (LPBs) sourced from waste laminated PBs.
- Recycled particles from waste blockboards (BBs): sourced from waste blockboards.
2.2. Mycological Test with the Brown-Rot Fungus Coniophora puteana
2.3. Mould Resistance of Particleboards
2.4. Statistical Analyses
3. Results
3.1. Decay Resistance of Particleboards to the Brown-Rot Fungus Coniophora puteana
3.2. Mould Resistance of PBs
4. Discussion
5. Conclusions
Author Contributions
Funding
Data Availability Statement
Conflicts of Interest
References
- Ministry of Agriculture and Rural Development of the Slovak Republic. Report on the Forestry Sector of the Slovak Republic 2020—Green Report; Ministry of Agriculture and Rural Development of the Slovak Republic: Bratislava, Slovakia, 2021; p. 69. [Google Scholar]
- Lee, S.H.; Lum, W.C.; Boon, J.G.; Kristak, L.; Antov, P.; Pędzik, M.; Rogoziński, T.; Taghiyari, H.R.; Rahandi Lubis, M.A.; Fatriasari, W. Particleboard from Agricultural Biomass and Recycled Wood Waste: A Review. J. Mater. Res. Technol. 2022, 20, 4630–4658. [Google Scholar] [CrossRef]
- Tascioglu, C.; Yoshimura, T.; Tsunoda, K. Biological Decay and Termite Resistance of Post-Treated Wood-Based Composites under Protected Above-Ground Conditions: A Preliminary Study after 36 Months of Exposure. BioResources 2013, 8, 833–843. [Google Scholar] [CrossRef][Green Version]
- Gonçalves, F.G.; Paes, J.B.; Lopez, Y.M.; de Alcântara Segundinho, P.G.; de Oliveira, R.G.E.; Fassarella, M.V.; Brito, A.S.; Chaves, I.L.S.; Martins, R.S.F. Resistance of particleboards produced with ligno-cellulosic agro-industrial wastes to fungi and termites. Int. Biodeterior. Biodegrad. 2021, 157, 105159. [Google Scholar] [CrossRef]
- Cintura, E.; Nunes, L.; Esteves, B.; Faria, P. Agro-industrial wastes as building insulation materials: A review and challenges for Euro-Mediterranean countries. Ind. Crops Prod. 2021, 171, 113833. [Google Scholar] [CrossRef]
- Iždinský, J.; Vidholdová, Z.; Reinprecht, L. Particleboards from recycled wood. Forests 2020, 11, 1166. [Google Scholar] [CrossRef]
- Iždinský, J.; Vidholdová, Z.; Reinprecht, L. Particleboards from Recycled Thermally Modified Wood. Forests 2021, 12, 1462. [Google Scholar] [CrossRef]
- Ihnát, V.; Lübke, H.; Russ, A.; Borůvka, V. Waste agglomerated wood materials as a secondary raw material for chipboards and fibreboards Part I. Preparation and characterization of wood chips in terms of their reuse. Wood Res. 2017, 62, 45–56. [Google Scholar]
- Hýsková, P.; Hýsek, Š.; Schönfelder, O.; Šedivka, P.; Lexa, M.; Jarský, V. Utilization of agricultural rests: Straw-based composite panels made from enzymatic modified wheat and rapeseed straw. Ind. Crops Prod. 2020, 144, 112067. [Google Scholar] [CrossRef]
- Bekhta, P.; Kozak, R.; Gryc, V.; Sebera, V.; Tippner, J. Effects of Wood Particles from Deadwood on the Properties and Formaldehyde Emission of Particleboards. Polymers 2022, 14, 3535. [Google Scholar] [CrossRef]
- Krug, D.; Direske, M.; Tobisch, S.; Weber, A.; Wenderdel, C. Particle-Based Materials. In Springer Handbook of Wood Science and Technology; Springer International Publishing: Cham, Switzerland, 2023; pp. 1409–1490. [Google Scholar]
- de Melo, R.R.; Stangerlin, D.M.; Campomanes Santana, R.R.; Pedrosa, T.D. Decay and termite resistance of particleboard manufactured from wood, bamboo, and rice husk. Maderas. Ciencia Tecnolog. 2015, 17, 55–62. [Google Scholar] [CrossRef]
- Wronka, A.; Kowaluk, G. Supporting Circular Economy Principles by Recycling Window Frames into Particleboard. Materials 2024, 17, 4132. [Google Scholar] [CrossRef] [PubMed]
- Hrušovský, D.; Réh, R. Properties of particleboard made from recycled municipal waste and wood particles. Acta Fac. Xylologiae Zvolen 2024, 66, 33–46. [Google Scholar] [CrossRef]
- Shi, L.; Hu, C.; Zhang, W.; Chen, R.; Ye, Y.; Fan, Z.; Lin, X. Effects of adhesive residues in wood particles on the properties of particleboard. Ind. Crops Prod. 2024, 214, 118526. [Google Scholar] [CrossRef]
- Satinová, V.; Jánošíková, S.; Langová, N.; Vidholdová, Z.; Iždinský, J. The effect of type of wood-based recyclate and low-quality timber in particleboard on mechanical properties of furniture joints. Acta Fac. Xylologiae Zvolen 2024, 66, 17–32. [Google Scholar] [CrossRef]
- Pędzik, M.; Kwidziński, Z.; Janiszewska-Latterini, D.; Rogoziński, T. Particleboard from the residues of wooden door production as a closed material cycle. Ind. Crops Prod. 2024, 222, 119653. [Google Scholar] [CrossRef]
- EN 350; Durability of Wood and Wood-Based Products—Testing and Classification of the Durability to Biological Agents of Wood and Wood-Based Materials. European Committee for Standardization: Brussels, Belgium, 2016; p. 67.
- Zabel, R.A.; Morrell, J.J. Wood Microbiology: Decay and Its Prevention; Academic Press: Cambridge, MA, USA, 1992. [Google Scholar]
- Nerg, A.-M.; Heijari, J.; Noldt, U.; Viitanen, H.; Vuorinen, M.; Kainulainen, P.; Holopainen, J.K. Significance of Wood Terpenoids in the Resistance of Scots Pine Provenances Against the Old House Borer, Hylotrupes bajulus, and Brown-Rot Fungus, Coniophora puteana. J. Chem. Ecol. 2004, 30, 125–141. [Google Scholar] [CrossRef]
- Gáper, J.; Gáperová, S.; Gašparcová, T.; Kvasnová, S.; Pristaš, P.; Náplavová, K. Indoor fungal destroyers of wooden materials Their identification in present review. Wood Res. 2018, 63, 203–214. [Google Scholar]
- Martín, J.A.; López, R. Biological Deterioration and Natural Durability of Wood in Europe. Forests 2023, 14, 283. [Google Scholar] [CrossRef]
- Köse, C.; Terzi, E.; Büyüksarı, Ü.; Avci, E.; Ayrılmış, N.; Kartal, S.N.; Imamura, Y. Particleboard and MDF panels made from a mixture of wood and pinecones: Resistance to decay fungi and termites under laboratory conditions. BioResources 2011, 6, 2045–2054. [Google Scholar] [CrossRef]
- Indrayani, Y.; Setyawati, D.; Umemura, K.; Yoshimura, T. Decay resistance of Medium Density Fibreboard (MDF) made from pineapple leaf fiber. J. Math. Fund. Sci. 2015, 47, 76–83. [Google Scholar] [CrossRef][Green Version]
- Lee, M.; Kang, E.-C.; Lee, S.-M.; Yoon, S.-M. Mechanical properties of structural particleboard and termite and decay resistance. BioResources 2023, 18, 6169–6182. [Google Scholar] [CrossRef]
- Karlinasari, L.; Sejati, P.S.; Adzkia, U.; Arinana, A.; Hiziroglu, S. Some of the Physical and Mechanical Properties of Particleboard Made from Betung Bamboo (Dendrocalamus asper). Appl. Sci. 2021, 11, 3682. [Google Scholar] [CrossRef]
- Thybring, E.E. The decay resistance of modified wood influenced by moisture exclusion and swelling reduction. Int. Biodeter. Biodegrad. 2013, 82, 87–95. [Google Scholar] [CrossRef]
- Belt, T.; Altgen, M.; Awais, M.; Nopens, M.; Rautkari, L. Degradation by brown rot fungi increases the hygroscopicity of heat-treated wood. Int. Biodeterior Biodegrad. 2024, 186, 105690. [Google Scholar] [CrossRef]
- Hill, C.A.S. Wood Modification: Chemical, Thermal and Other Processes. John Wiley & Sons Ltd.: Chichester, UK, 2006. [Google Scholar]
- Choupani Chaydarreh, K.; Lin, X.; Guan, L.; Hu, C. Interaction between particle size and mixing ratio on porosity and properties of tea oil camellia (Camellia oleifera Abel.) shells-based particleboard. J. Wood Sci. 2022, 68, 43. [Google Scholar] [CrossRef]
- Farrokhpayam, S.R.; Valadbeygi, T.; Sanei, E. Thin particleboard quality: Effect of particle size on the properties of the panel. J. Indian Acad. Wood Sci. 2016, 13, 38–43. [Google Scholar] [CrossRef]
- Yue, K.; Cheng, X.; Chen, Z.; Tang, L.; Liu, W. Investigation of decay resistance of alkaline copper, urea-formaldehyde, and phenol-formaldehyde resins. Wood Fiber Sci. 2018, 50, 392–401. [Google Scholar] [CrossRef]
- Tsunoda, K. Preservative properties of vapor-boron-treated wood and wood-based composites. J. Wood Sci. 2001, 47, 149–153. [Google Scholar] [CrossRef]
- Changotra, R.; Rajput, H.; Liu, B.; Murray, G. Occurrence, fate, and potential impacts of wood preservatives in the environment: Challenges and environmentally friendly solutions. Chemosphere 2024, 352, 141291. [Google Scholar] [CrossRef]
- Sakhno, T.; Barashkov, N.; Irgibaeva, I.; Pustovit, S.; Sakhno, Y. Polymer Coatings for Protection of Wood and Wood-Based Materials. Adv. Chem. Eng. Sci. 2016, 6, 93–110. [Google Scholar] [CrossRef]
- EN 323; Wood-based Panels—Determination of Density. European Committee for Standardization: Brussels, Belgium, 1993.
- Satinová, V. Particleboards based on modified wood—Composition, functionality, durability. Ph.D. Thesis, Technical University in Zvolen, Zvolen, Slovakia, 2023; 90p. [Google Scholar]
- Satinová, V.; Hlaváč, P.; Iždinský, J.; Reinprecht, L. Rot evaluation in spruce logs and rot reflection into dimensions of chips for particleboards. Acta Fac. Xylologiae Zvolen 2022, 64, 5–16. [Google Scholar] [CrossRef]
- EN 113-3; Durability of wood and wood-based products—Test method against wood destroying basidiomycetes—Part 3: Assessment of Durability of Wood-Based Panels. European Committee for Standardization: Brussels, Belgium, 2023.
- Pristaš, P.; Kvasnová, S.; Gáperová, S.; Gašparcová, T.; Gáper, J. Application of MALDI-TOF mass spectrometry for in vitro identification of wood decay polypores. For. Pathol. 2017, 47, e12352. [Google Scholar] [CrossRef]
- EN 15457; Paints and Varnishes—Laboratory Method for Testing the Efficacy of Film Preservatives in a Coating Against Fungi. European Committee for Standardization: Brussels, Belgium, 2022.
- Evans, J.D. Straightforward Statistics for the Behavioral Sciences. Thomson Brooks/Cole Publishing, Co.: Belmont, NC, USA, 1996; 624p. [Google Scholar]
- Schmidt, O. Wood and Tree Fungi—Biology, Damage, Protection, and Use. Springer: Berlin/Heidelberg, Germany, 2006; 334p. [Google Scholar]
- Fojutowski, A.; Kropacz, A.; Noskowiak, A. Determination of wood-based panels resistance to wood attacking fungi. Folia For. Pol. Ser. B 2009, 40, 79–88. [Google Scholar]
- Reinprecht, L.; Tiralová, Z. Susceptibility of the sound and the primary rotten wood to decay by selected brown-rot fungi. Wood Res. 2001, 46, 11–20. [Google Scholar]
- Okino, E.Y.A.; Alves, M.V.S.; Teixeira, D.E.; Souza, M.R.; Santana, M.A.E. Biodegradação de chapas de partículas orientadas de pinus, eucalipto e cipreste expostas a quatro fungos apodrecedores. Sci. For. 2007, 74, 67–74. [Google Scholar]
- Paes, J.B.; Maffioletti, F.D.; Silva, M.R.; Ramalho, A.H.C.; de Medeiros, J.R.; Lopez, Y.M.; de Alcântara Segundinho, P.G.; Rocco Lahr, F.A. Biological resistance of sandwich particleboard made with sugarcane, thermally treated Pinus wood and malva fiber. J. Wood Chem. Technol. 2022, 42, 171–180. [Google Scholar] [CrossRef]
- Ayrilmis, N.; Kartal, S.N.; Laufenberg, T.L.; Winandy, J.E.; White, R.H. Physical and mechanical properties and fire, decay, and termite resistance of treated oriented strandboard. For. Prod. J. 2005, 55, 74–81. [Google Scholar]
- Brito, F.M.S.; Bortoletto Júnior, G.; Paes, J.B. Wettability and decay of particleboards manufactured with thermally treated sugarcane residue and bamboo (Dendrocalamus asper) particles. Maderas. Cienc. Tecnol. 2022, 24, 1–18. [Google Scholar] [CrossRef]
- Marzbani, P.; Afrouzi, Y.M.; Omidvar, A. The effect of nano-zinc oxide on particleboard decay resistance. Maderas. Cienc. Tecnol. 2015, 17, 63–68. [Google Scholar] [CrossRef]
- Reinprecht, L.; Iždinský, J.; Vidholdová, Z. Biological Resistance and Application Properties of Particleboards Containing Nano-Zinc Oxide. Adv. Mater. Sci. Eng. 2018, 1, 2680121. [Google Scholar] [CrossRef]
- Nielsen, K.F.; Holm, G.; Uttrup, L.P.; Nielsen, P.A. Mould growth on building materials under low water activities. Influence of humidity and temperature on fungal growth and secondary metabolism. Int. Biodeterior Biodegrad. 2004, 54, 325–336. [Google Scholar] [CrossRef]
- Johansson, P.; Ekstrand-Tobin, A.; Svensson, T.; Bok, G. Laboratory study to determine the critical moisture level for mould growth on building materials. Int. Biodeterior Biodegrad. 2012, 73, 23–32. [Google Scholar] [CrossRef]
- Flannigan, B.; Miller, J.D. Microbial growth in indoor environments. In Microorganisms in Home and Indoor Work Environments: Diversity, Health Impacts, Investigation and Control; Flannigan, B., Samson, R.A., Miller, J.D., Eds.; CRC Press LLC.: New York, NY, USA, 2001. [Google Scholar]
- Mirski, R.; Dziurka, D.; Dukarska, D.; Czarnecki, R.; Cofta, G. The influence of microfungi on physicomechanical properties of particle boards. BioResources 2014, 9, 6329–6339. [Google Scholar] [CrossRef]
- Silveira, V.D.C.; Pinto, M.M.; Westphal, F.S. Influence of environmental factors favorable to the development and proliferation of mold in residential buildings in tropical climates. Build. Environ. 2019, 166, 106421. [Google Scholar] [CrossRef]
- Airaksinen, M.; Kurnitski, J.; Pasanen, P.; Seppanen, O. Fungal spore transport through a building structure. Indoor Air 2004, 14, 92–104. [Google Scholar] [CrossRef]
- Stefanowski, B.K.; Curling, S.F.; Ormondroyd, G.A. A rapid screening method to determine the susceptibility of bio-based construction and insulation products to mould growth. Int. Biodeterior. Biodegrad. 2017, 116, 124–132. [Google Scholar] [CrossRef]
- Palumbo, M.; Lacasta, A.M.; Navarro, A.; Giraldo, M.P.; Lesar, B. Improvement of fire reaction and mould growth resistance of a new bio-based thermal insulation material. Constr. Build. Mater. 2017, 139, 531–539. [Google Scholar] [CrossRef]
- Xie, Y.; Hill, C.A.; Jalaludin, Z.; Curling, S.F.; Anandjiwala, R.D.; Norton, A.J.; Newman, G. The dynamic water vapour sorption behaviour of natural fibres and kinetic analysis using the parallel exponential kinetics model. J. Mater. Sci. 2011, 46, 479–489. [Google Scholar] [CrossRef]
- Gradeci, K.; Labonnote, N.; Time, B.; Köhler, J. Mould growth criteria and design avoidance approaches in wood-based materials—A systematic review. Constr. Build. Mater. 2017, 150, 77–88. [Google Scholar] [CrossRef]
- Johansson, P.; Svensson, T.; Ekstrand-Tobin, A. Validation of critical moisture conditions for mould growth on building materials. Build. Environ. 2013, 62, 201–209. [Google Scholar] [CrossRef]







| PB Variant | Abbreviation | Amount of Sound Spruce Particles in PB [%] | Amount of Rotten/Recycled Particles in PB [%] | Density 1 [kg·m3] | ||||||
|---|---|---|---|---|---|---|---|---|---|---|
| 0 | 50 | 80 | 100 | 0 | 20 | 50 | 100 | |||
| Control PB | PB-C | ✗ | ✗ | 656 ± 23 | ||||||
| PB-BR | 20 BR | ✗ | ✗ | 638 ± 21 | ||||||
| PB manufactured from | 50 BR | ✗ | ✗ | 630 ± 23 | ||||||
| brown-rotten particles 2 | 100 BR | ✗ | ✗ | 636 ± 23 | ||||||
| PB-WR | 20 WR | ✗ | ✗ | 642 ± 21 | ||||||
| PB manufactured from | 50 WR | ✗ | ✗ | 645 ± 23 | ||||||
| white-rotten particles 3 | 100 WR | ✗ | ✗ | 640 ± 25 | ||||||
| PB-LPB | 20 LPB | ✗ | ✗ | 646 ± 27 | ||||||
| PB manufactured from recycled | 50 LPB | ✗ | ✗ | 648 ± 28 | ||||||
| particles from waste laminated PBs 4 | 100 LPB | ✗ | ✗ | 643 ± 21 | ||||||
| PB-BB | 20 BB | ✗ | ✗ | 657 ± 20 | ||||||
| PB manufactured from recycled | 50 BB | ✗ | ✗ | 654 ± 18 | ||||||
| particles from waste blockboards 5 | 100 BB | ✗ | ✗ | 649 ± 21 | ||||||
| Biological Resistance of PBs-BR | Amount of Brown-Rotten Particles in PB w/w [%] | ||||
|---|---|---|---|---|---|
| 0 | 20 | 50 | 100 | ||
| Decay attack by C. puteana | |||||
| Δm [%] | Median | 49.47 | 38.77 | 36.87 | 30.55 |
| Average (SD 1) | 50.09 (2.98) | 39.69 (2.09) | 35.44 (5.11) | 30.45 (1.02) | |
| wdecayed [%] | 67.54 (2.85) | 49.26 (2.92) | 51.26 (3.32) | 45.81 (3.95) | |
| Durability class (EN 350 [18]) | 5 | 5 | 5 | 5 | |
| Attack by mixture of interior moulds—MGA (0–4) | |||||
| 7th day | 1 | 1 | 1 | 0 | |
| 14th day | 3 | 3 | 3 | 2 | |
| 21st day | 4 | 4 | 4 | 4 | |
| Biological Resistance of PB-WR | Amount of White-Rotten Particles in PB w/w [%] | ||||
|---|---|---|---|---|---|
| 0 | 20 | 50 | 100 | ||
| Decay attack by C. puteana | |||||
| Δm [%] | Median | 49.47 | 35.42 | 36.43 | 40.45 |
| Average (SD 1) | 50.09 (2.98) | 35.23 (1.42) | 36.36 (1.88) | 39.86 (4.39) | |
| wdecayed [%] | 67.54 (2.85) | 49.91 (2.42) | 48.60 (2.56) | 46.72 (4.38) | |
| Durability class (EN 350 [18]) | 5 | 5 | 5 | 5 | |
| Attack by mixture of interior moulds—MGA (0–4) | |||||
| 7th day | 1 | 1 | 1 | 1 | |
| 14th day | 3 | 3 | 3 | 3 | |
| 21st day | 4 | 4 | 4 | 4 | |
| Biological Resistance of PB-LPB | Amount of Recycled Particles from Laminated PBs in PB w/w [%] | ||||
|---|---|---|---|---|---|
| 0 | 20 | 50 | 100 | ||
| Decay attack by C. puteana | |||||
| Δm [%] | Median | 49.47 | 43.72 | 42.06 | 32.96 |
| Average (SD 1) | 50.09 (2.98) | 44.20 (2.35) | 41.07 (5.47) | 33.84 (3.36) | |
| wdecayed [%] | 67.54 (2.85) | 48.81 (2.07) | 50.06 (4.88) | 48.26 (8.39) | |
| Durability class (EN 350 [18]) | 5 | 5 | 5 | 5 | |
| Attack by mixture of interior moulds—MGA (0–4) | |||||
| 7th day | 1 | 0 | 0 | 0 | |
| 14th day | 3 | 1 | 2 | 1 | |
| 21st day | 4 | 4 | 4 | 4 | |
| Biological Resistance of PB-BB | Amount of Recycled Particles from Blockboards in PB w/w [%] | ||||
|---|---|---|---|---|---|
| 0 | 20 | 50 | 100 | ||
| Decay attack by C. puteana | |||||
| Δm [%] | Median | 49.47 | 47.10 | 44.93 | 42.96 |
| Average (SD 1) | 50.09 (2.98) | 47.51 (4.35) | 45.82 (3.09) | 43.07 (2.36) | |
| wdecayed [%] | 67.54 (2.85) | 53.23 (4.13) | 53.69 (4.70) | 50.06 (5.46) | |
| Durability class (EN 350 [18]) | 5 | 5 | 5 | 5 | |
| Attack by mixture of interior moulds—MGA (0–4) | |||||
| 7th day | 1 | 1 | 1 | 0 | |
| 14th day | 3 | 2 | 3 | 1 | |
| 21st day | 4 | 4 | 4 | 4 | |
Disclaimer/Publisher’s Note: The statements, opinions and data contained in all publications are solely those of the individual author(s) and contributor(s) and not of MDPI and/or the editor(s). MDPI and/or the editor(s) disclaim responsibility for any injury to people or property resulting from any ideas, methods, instructions or products referred to in the content. |
© 2024 by the authors. Licensee MDPI, Basel, Switzerland. This article is an open access article distributed under the terms and conditions of the Creative Commons Attribution (CC BY) license (https://creativecommons.org/licenses/by/4.0/).
Share and Cite
Vidholdová, Z.; Satinová, V.; Reinprecht, L. The Effect of Particles from Rotten Spruce Logs and Recycled Wooden Composites on Changes in the Bio-Resistance of Three-Layer Particleboards Against the Decaying Fungus Coniophora puteana and Mixture of Moulds. Forests 2024, 15, 2043. https://doi.org/10.3390/f15112043
Vidholdová Z, Satinová V, Reinprecht L. The Effect of Particles from Rotten Spruce Logs and Recycled Wooden Composites on Changes in the Bio-Resistance of Three-Layer Particleboards Against the Decaying Fungus Coniophora puteana and Mixture of Moulds. Forests. 2024; 15(11):2043. https://doi.org/10.3390/f15112043
Chicago/Turabian StyleVidholdová, Zuzana, Viktória Satinová, and Ladislav Reinprecht. 2024. "The Effect of Particles from Rotten Spruce Logs and Recycled Wooden Composites on Changes in the Bio-Resistance of Three-Layer Particleboards Against the Decaying Fungus Coniophora puteana and Mixture of Moulds" Forests 15, no. 11: 2043. https://doi.org/10.3390/f15112043
APA StyleVidholdová, Z., Satinová, V., & Reinprecht, L. (2024). The Effect of Particles from Rotten Spruce Logs and Recycled Wooden Composites on Changes in the Bio-Resistance of Three-Layer Particleboards Against the Decaying Fungus Coniophora puteana and Mixture of Moulds. Forests, 15(11), 2043. https://doi.org/10.3390/f15112043

