Study on the Mechanical Properties and Basic Elastic Constants of Yunnan Dendrocalamus sinicus Chia et J. L. Sun
Abstract
1. Introduction
2. Materials and Methods
3. Results and Discussion
3.1. Load-Displacement Curves and Failure Modes
3.1.1. Tension
3.1.2. Compression
3.1.3. Shear
3.2. Stress-Strain Analysis
3.2.1. Tensile Stress-Strain
3.2.2. Compressive Stress-Strain
3.3. Strengths and Elastic Constants
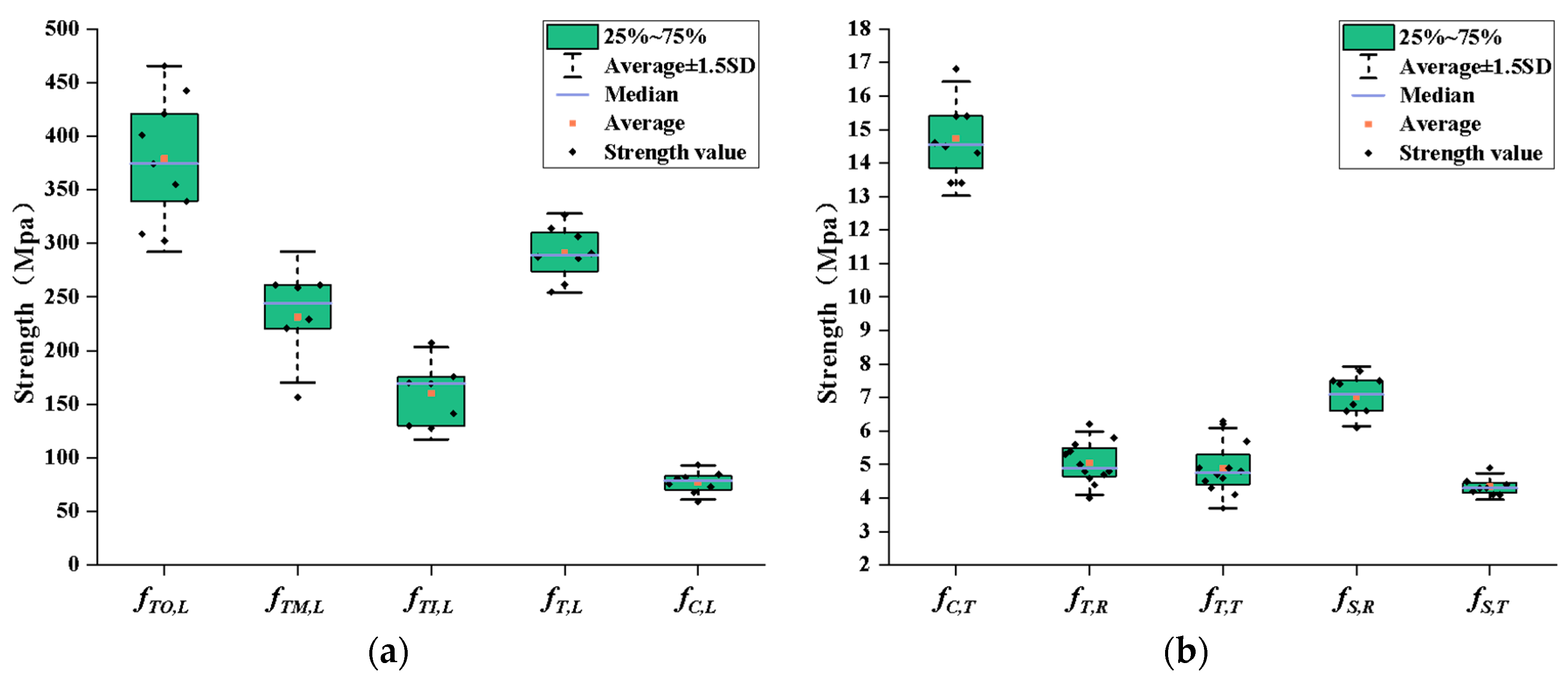
3.3.1. Strengths
3.3.2. Modulus of Elasticity
3.3.3. Poisson’s Ratio
4. Conclusions
- (1)
- The gradient longitudinal tensile mechanical properties of YDS, from the bamboo green to the bamboo yellow layers, were determined. The bamboo green layer exhibited the highest longitudinal tensile properties, followed by the bamboo flesh layer, with the bamboo yellow layer showing the lowest. The longitudinal tensile strength of the bamboo green layer, denoted as fTO,L, was found to be 40% and 136% greater than that of the bamboo flesh layer, fTM,L, and the bamboo yellow layer, fTI,L, respectively. Similarly, the longitudinal tensile modulus of elasticity of the bamboo green layer, ETO,L, was 86% and 160% higher than that of the bamboo flesh layer, ETM,L, and the bamboo yellow layer, ETI,L, respectively.
- (2)
- YDS exhibits significant anisotropy, with its longitudinal properties (including the green, flesh, and yellow layers) being the most superior in terms of strength and elastic modulus. The longitudinal tensile strength (fT,L) and compressive strength (fC,L) reach up to 290 MPa and 77 MPa, respectively; the longitudinal tensile modulus (ET,L) and compressive modulus (EC,L) attain values of 20,111 MPa and 16,771 MPa, respectively. In contrast, the radial and tangential properties are relatively inferior, with tensile strength (fT,R, fT,T), compressive strength (fC,T), and shear strength (fS,R, fS,T) only ranging from approximately 5 to 15 MPa; the radial and tangential tensile modulus (ET,R, ET,T), compressive modulus (EC,R, EC,T), and shear modulus (GR, GT) are only in the range of approximately 200 to 500 MPa.
- (3)
- The Poisson’s ratios of YDS under tensile stress are μLTO = 0.512, μLTM = 0.343, μLTI = 0.306, μLR = 0.344, μRL = 0.024, μRT = 0.156, μTLO = 0.029, and μTR = 0.102, and under compressive stress are μLR = 0.422, μRL = 0.018, μRT = 0.147, μTR = 0.179, μLTO = 0.299, μLTI = 0.151, μTLO = 0.020, and μTLI = 0.005.
- (4)
- This study comprehensively investigated the fundamental mechanical properties and elastic constants of bamboo, particularly through systematic testing of the variation in elastic modulus and Poisson’s ratio from the green to the yellow layers of YDS. This not only compensates for the deficiencies in previous research but also provides essential foundational data and theoretical support for predicting the mechanical behavior and numerical simulation of bamboo in structural applications. These findings can more accurately inform the design and assessment of bamboo structures, promoting the use of bamboo as a renewable and environmentally friendly material in the fields of construction and engineering.
Author Contributions
Funding
Data Availability Statement
Conflicts of Interest
References
- Huang, X.H. Studies on the Reproduction of Dendroncalamus sinicus. Master’s Thesis, Southwest Forestry College, Kunming, China, 2008. [Google Scholar]
- Liu, R.H.; Cheng, D.R.; Shi, Z.J.; Liu, W.Y.; Hui, C.M.; Deng, J. Study on Physical Properties of Thin-Culm-Wall Dendrocalamus sinicus. World Bamboo Ratt. Newsl. 2015, 13, 14–17. [Google Scholar] [CrossRef]
- Liu, S.N.; Hui, C.M. Research Status and Outlook of Rare Bamboo Species of Dendrocalamus sinicus. World Bamboo Ratt. Newsl. 2011, 9, 26–30. [Google Scholar] [CrossRef]
- Li, P.J. Research on the Tectonics of Raw Bamboo Architecture: Taking Yunnan Dendrocalamus sinicus as an Example. Master’s Thesis, Kunming University of Science and Technology, Kunming, China, 2022. [Google Scholar] [CrossRef]
- Ma, Y.F.; Luan, Y.; Chen, L.; Huang, B.; Luo, X.; Miao, H.; Fang, C.H. A Novel Bamboo–Wood Composite Utilizing High-Utilization, Easy-to-Manufacture Bamboo Units: Optimization of Mechanical Properties and Bonding Performance. Forests 2024, 15, 716. [Google Scholar] [CrossRef]
- Zhang, X.B.; Jiang, Z.H.; Fei, B.H.; Fang, C.H.; Liu, H.R. Experimental performance of threaded steel glued into laminated bamboo. Constr. Build. Mater. 2020, 249, 118780. [Google Scholar] [CrossRef]
- Almeida, A.C.D.; Araujo, V.A.D.; Morales, E.A.M.; Gava, M.; Munis, R.A.; Garcia, J.N.; Cortez-Barbosa, J. Wood-bamboo particleboard: Mechanical properties. BioResources 2017, 12, 7784–7792. [Google Scholar] [CrossRef]
- Chen, M.L.; Semple, K.; Hu, Y.A.; Zhang, J.L.; Zhou, C.L.; Pineda, H.; Xia, Y.L.; Zhu, W.K.; Dai, C.P. Fundamentals of Bamboo Scrimber Hot Pressing: Mat Compaction and Heat Transfer Process. Constr. Build. Mater. 2024, 412, 134843. [Google Scholar] [CrossRef]
- Wang, F.L.; Shao, Z.P. Study on the Variation Law of Bamboo Fibers’ Tensile Properties and the Organization Structure on the Radial Direction of Bamboo Stem. Ind. Crops Prod. 2020, 152, 112521. [Google Scholar] [CrossRef]
- Liu, P.C.; Zhou, Q.S.; Zhang, H.; Tian, J.F. Experimental Research on the Compressive Performance of Raw Bamboo Materials along the Grain. J. Phys. Conf. Ser. 2021, 1798, 012004. [Google Scholar] [CrossRef]
- Krause, J.Q.; De Andrade Silva, F.; Ghavami, K.; Gomes, O.D.F.M.; Filho, R.D.T. On the Influence of Dendrocalamus Giganteus Bamboo Microstructure on Its Mechanical Behavior. Constr. Build. Mater. 2016, 127, 199–209. [Google Scholar] [CrossRef]
- Huang, X.Y.; Xie, J.L.; Qi, J.Q.; De Hoop, C.F.; Xiao, H.; Chen, Y.Z.; Li, F. Differences in physical–mechanical properties of bamboo scrimbers with response to bamboo maturing process. Eur. J. Wood Wood Prod. 2018, 76, 1137–1143. [Google Scholar] [CrossRef]
- Wang, Z.W.; Zhang, X.W.; Yao, L.H.; Zhang, Q.M. Experimental study and numerical simulation on the macro and micro mechanical properties of bamboo. J. For. Eng. 2022, 7, 31–37. [Google Scholar] [CrossRef]
- Yang, T.C.; Yang, H.Y. Strain analysis of Moso bamboo (Phyllostachys pubescens) subjected to longitudinal tensile force. Mater. Today Commun. 2021, 28, 102491. [Google Scholar] [CrossRef]
- Sharma, B.; Harries, K.A.; Ghavami, K. Methods of determining transverse mechanical properties of full-culm bamboo. Constr. Build. Mater. 2013, 38, 627–637. [Google Scholar] [CrossRef]
- Zhou, Q.S.; Tian, J.F.; Liu, P.C.; Zhang, H. Test and Prediction of Mechanical Properties of Moso Bamboo. J. Eng. Fibers Fabr. 2021, 16, 155892502110668. [Google Scholar] [CrossRef]
- Tinkler-Davies, B.; Shah, D.U. Digital Image Correlation Analysis of Laminated Bamboo under Transverse Compression. Mater. Lett. 2021, 283, 128883. [Google Scholar] [CrossRef]
- Liu, P.C.; Zhou, Q.S.; Zhang, H.; Tian, J.F. Design Strengths of Bamboo Based on Reliability Analysis. Wood Mater. Sci. Eng. 2023, 18, 222–232. [Google Scholar] [CrossRef]
- Sandhaas, C.; Sarnaghi, A.K.; van de Kuilen, J.W. Numerical modelling of timber and timber joints: Computational aspects. Wood Sci. Technol. 2020, 54, 31–61. [Google Scholar] [CrossRef]
- Gilbert, B.P.; Bailleres, H.; Zhang, H.; McGavin, R.L. Strength Modelling of Laminated Veneer Lumber (LVL) Beams. Constr. Build. Mater. 2017, 149, 763–777. [Google Scholar] [CrossRef]
- Molari, L.; Coppolino, F.S.; García, J.J. Arundo donax: A widespread plant with great potential as sustainable structural material. Constr. Build. Mater. 2021, 268, 121143. [Google Scholar] [CrossRef]
- Lu, H.J.; Lian, H.Y.; Xu, J.Y.; Ma, N.N.; Zhou, Z.Z.; Song, Y.P.; Yu, Y.M.; Zhang, X.C. Study on the Variation Pattern and Influencing Factors of Poisson’s Ratio of Bamboo. Front. Mater. 2022, 9, 896756. [Google Scholar] [CrossRef]
- García, J.J.; Rangel, C.; Ghavami, K. Experiments with rings to determine the anisotropic elastic constants of bamboo. Constr. Build. Mater. 2012, 31, 52–57. [Google Scholar] [CrossRef]
- Dixon, P.G.; Gibson, L.J. The structure and mechanics of Moso bamboo material. J. R. Soc. Interface 2014, 11, 20140321. [Google Scholar] [CrossRef] [PubMed]
- D07 Committee; Test Methods for Small Clear Specimens of Timber. ASTM International: West Conshohocken, PA, USA, 2014. [CrossRef]
- JG/T 199-2007; Test Method for Physical and Mechanical Properties of Bamboo for Construction. Ministry of Construction of the People’s Republic of China: Beijing, China, 2007.
- Wang, J.F.; Lu, C.F.; Tian, E.B.; Wang, H.Y. Experimental Research on the Mechanical Properties of Sanming Phyllostachys pubescen Along the Grain Direction. J. Sanming Univ. 2021, 38, 93–101. [Google Scholar] [CrossRef]
- Tan, T.; Rahbar, N.; Allameh, S.M.; Kwofie, S.; Dissmore, D.; Ghvami, K.; Soboyejo, W.O. Mechanical properties of functionally graded hierarchical bamboo structures. Acta Biomater. 2011, 7, 3796–3803. [Google Scholar] [CrossRef] [PubMed]
- Liu, H.R.; Jiang, Z.H.; Fei, B.H.; Hse, C.Y.; Sun, Z.J. Tensile behaviour and fracture mechanism of moso bamboo (Phyllostachys pubescens). Holzforschung 2015, 69, 47–52. [Google Scholar] [CrossRef]
- Shao, Z.P.; Fang, C.H.; Huang, S.X.; Tian, G.L. Tensile properties of Moso bamboo (Phyllostachys pubescens) and its components with respect to its fiber-reinforced composite structure. Wood Sci. Technol. 2010, 44, 655–666. [Google Scholar] [CrossRef]
- Cui, J.; Mi, L.; Li, L.; Liu, Y.; Wang, C.; He, C.; Zhang, H.; Chen, Y.; Wang, Q. Stepwise failure behavior of thermal-treated bamboo under uniaxial tensile load. Ind. Crops Prod. 2023, 204, 117313. [Google Scholar] [CrossRef]
- Cai, X.F.; Wang, M.T.; Lu, Y.B.; Noori, A.; Chen, J.; Chen, F.M.; Chen, L.B.; Jing, X.Q.; Zhang, Q.H. Experimental study on the dynamic tensile failure of bamboo. Constr. Build. Mater. 2023, 392, 131886. [Google Scholar] [CrossRef]
- Wang, M.T.; Cai, X.F.; Lu, Y.B.; Noori, A.; Chen, F.M.; Chen, L.B.; Jiang, X.Q. Mechanical behavior and failure modes of bamboo scrimber under quasi-static and dynamic compressive loads. Eng. Fail. Anal. 2023, 146, 107006. [Google Scholar] [CrossRef]
- Tsuyama, T.; Hamai, K.; Kijidani, Y.; Sugiyama, J. Quantitative morphological transformation of vascular bundles in the culm of moso bamboo (Phyllostachys pubescens). PLoS ONE 2023, 18, e0290732. [Google Scholar] [CrossRef]
- Gong, Z.H.; Zhang, W.; Zhou, C.; Yao, W.B.; Yu, W.P.; Zhang, T.Y. Examination of bamboo single layer linear tensile property. J. For. Eng. 2023, 8, 58–63. [Google Scholar] [CrossRef]
- Li, H.B.; Zhu, Q.P.; Lu, P.C.; Chen, X.; Xian, Y. The Gradient Variation of Location Distribution, Cross-Section Area, and Mechanical Properties of Moso Bamboo Vascular Bundles along the Radial Direction. Forests 2024, 15, 1023. [Google Scholar] [CrossRef]
- Chen, F.; Wang, X.D.; Shi, Y.G.; Zhang, Z.Y.; Wang, Z.K. Discussion on the Law of Mechanical Properties of 45 Steel. Shanxi Metall. 2021, 44, 89–90+93. [Google Scholar] [CrossRef]
- An, X.J.; Wang, H.; Li, W.J.; Wang, H.K.; Yu, Y. Tensile mechanical properties of fiber sheaths microdissected from moso bamboo. J. Nanjing For. Univ. (Nat. Sci. Ed.) 2014, 38, 6–10. [Google Scholar] [CrossRef]



















| Test Types | Specimens Naming | Specimen Quantities | Specimens Size: L × R × T (mm) | Densities (g/cm3) | Moisture Contents (%) | Loading Speeds (mm/min) | Strength | Elasticity/Shear Modulus | Poisson’s Ratios |
|---|---|---|---|---|---|---|---|---|---|
| Tension | TI, L | 8 | 130.20 × 2.53 × 10.04 | 0.523 | 9.35 | 1 | fTI,L | ETI,L | μLTI(T) |
| TM, L | 8 | 130.22 × 2.55 × 10.12 | 0.648 | 9.29 | 1 | fTM,L | ETM,L | μLTM(T) | |
| TO, L | 8 | 130.10 × 2.51 × 10.05 | 0.811 | 9.21 | 1 | fTOL | ETO,L | μLTO(T) | |
| T, L | 8 | 130.26 × 2.53 × 10.14 | 0.657 | 9.35 | 1 | fT,L | ET,L | μLR(T) | |
| T, R | 24 | 12.09 × 12.06 × 12.04 | 0.643 | 9.30 | 0.5 | fT,R | ET,R | μRL(T), μRT(T) | |
| T, T | 24 | 12.09 × 12.08 × 12.03 | 0.653 | 9.22 | 0.5 | fT,T | ET,T | μTL(T), μTR(T) | |
| Compression | C, L | 36 | 21.05 × 12.05 × 20.04 | 0.646 | 9.14 | 0.7 | fC,L | EC,L | μLTI(C), μLTO(C), μLTI(C) |
| C, R | 24 | 21.04 × 12.04 × 20.03 | 0.641 | 9.32 | 0.5 | fC,R | EC,R | μRL(C), μRT(C) | |
| C, T | 36 | 21.06 × 12.05 × 20.07 | 0.649 | 9.17 | 0.5 | fC,T | EC,T | μTLI(C), μTLQ(C), μTR(C) | |
| Shear | S, R | 8 | Shear surface: 15.51 × 12.05 | 0.647 | 9.48 | 0.3 | fS,R | GR | - |
| S, T | 8 | shear surface: 15.52 × 12.06 | 0.644 | 9.28 | 0.3 | fS,T | GT | - |
| Type of Test | Tension | Compression | Shear | ||||||||
|---|---|---|---|---|---|---|---|---|---|---|---|
| TO, L | TM, L | TI, L | T, L | T, R | T, T | C, L | C, T | S, R | S, T | ||
| Fmax [N] | Avg | 9850 | 7401 | 5125 | 7564 | 728 | 703 | 18,501 | 3745 | 1259 | 784 |
| SD | 1502 | 1301 | 918 | 640 | 91 | 116 | 2548 | 357 | 126 | 51 | |
| COV (%) | 15.3 | 17.6 | 17.9 | 8.5 | 12.5 | 16.4 | 13.8 | 9.5 | 10 | 6.5 | |
| f [MPa] | Avg | 378.8 | 231.3 | 160.2 | 290.9 | 5.1 | 4.9 | 77.1 | 14.9 | 7.1 | 4.4 |
| SD | 57.8 | 40.6 | 28.7 | 24.6 | 0.6 | 0.8 | 10.6 | 1.4 | 0.7 | 0.3 | |
| COV (%) | 15.3 | 17.6 | 17.9 | 8.5 | 12.5 | 16.3 | 13.8 | 9.5 | 10 | 6.5 | |
| Type of Test | TO, L | TM, L | TI, L | T, L | T, R | T, T | C, R | C, T | S, R | S, T | |
|---|---|---|---|---|---|---|---|---|---|---|---|
| E (G) [MPa] | Avg | 30,805 | 16,547 | 11,851 | 20,111 | 191 | 299 | 494 | 567 | 202 | 149 |
| SD | 4860 | 3255 | 2374 | 2003 | 44 | 55 | 119 | 137 | 36 | 39 | |
| COV (%) | 15.7 | 19.7 | 20 | 10 | 23.1 | 18.4 | 23.9 | 24.1 | 17.9 | 26.2 | |
| Type of Test | μLR | μLTO | μLTM | μLTI | μRL | μRT | μTLO | μTLI | μTR | |
|---|---|---|---|---|---|---|---|---|---|---|
| Tension | Avg | 0.344 | 0.512 | 0.343 | 0.306 | 0.024 | 0.156 | 0.029 | - | 0.102 |
| SD | 0.073 | 0.071 | 0.059 | 0.062 | 0.008 | 0.047 | 0.008 | - | 0.034 | |
| COV (%) | 21.1 | 13.8 | 17.1 | 20.4 | 32.9 | 29.9 | 28.3 | - | 32.8 | |
| Compression | Avg | 0.422 | 0.299 | - | 0.151 | 0.018 | 0.147 | 0.020 | 0.005 | 0.179 |
| SD | 0.083 | 0.057 | - | 0.033 | 0.006 | 0.027 | 0.004 | 0.002 | 0.063 | |
| COV (%) | 19.7 | 19.0 | - | 21.7 | 33.8 | 18.7 | 21.8 | 37.8 | 20.1 | |
Disclaimer/Publisher’s Note: The statements, opinions and data contained in all publications are solely those of the individual author(s) and contributor(s) and not of MDPI and/or the editor(s). MDPI and/or the editor(s) disclaim responsibility for any injury to people or property resulting from any ideas, methods, instructions or products referred to in the content. |
© 2024 by the authors. Licensee MDPI, Basel, Switzerland. This article is an open access article distributed under the terms and conditions of the Creative Commons Attribution (CC BY) license (https://creativecommons.org/licenses/by/4.0/).
Share and Cite
Zhou, F.; Wang, X.; Wang, Y.; Li, G.; Dong, C. Study on the Mechanical Properties and Basic Elastic Constants of Yunnan Dendrocalamus sinicus Chia et J. L. Sun. Forests 2024, 15, 2017. https://doi.org/10.3390/f15112017
Zhou F, Wang X, Wang Y, Li G, Dong C. Study on the Mechanical Properties and Basic Elastic Constants of Yunnan Dendrocalamus sinicus Chia et J. L. Sun. Forests. 2024; 15(11):2017. https://doi.org/10.3390/f15112017
Chicago/Turabian StyleZhou, Fengwei, Xingyu Wang, Yanrong Wang, Guofu Li, and Chunlei Dong. 2024. "Study on the Mechanical Properties and Basic Elastic Constants of Yunnan Dendrocalamus sinicus Chia et J. L. Sun" Forests 15, no. 11: 2017. https://doi.org/10.3390/f15112017
APA StyleZhou, F., Wang, X., Wang, Y., Li, G., & Dong, C. (2024). Study on the Mechanical Properties and Basic Elastic Constants of Yunnan Dendrocalamus sinicus Chia et J. L. Sun. Forests, 15(11), 2017. https://doi.org/10.3390/f15112017
