Carbon Sequestration and Landscape Influences in Urban Greenspace Coverage Variability: A High-Resolution Remote Sensing Study in Luohe, China
Abstract
1. Introduction
2. Materials and Methods
2.1. Study Area
2.2. Remote Sensing Data and Data Processing
2.3. Field Survey and Carbon Sequestration Estimation
2.4. Relationship Between Carbon Sequestration and Landscape Metrics
3. Results
3.1. Spatial Assessment Model for Carbon Sequestration
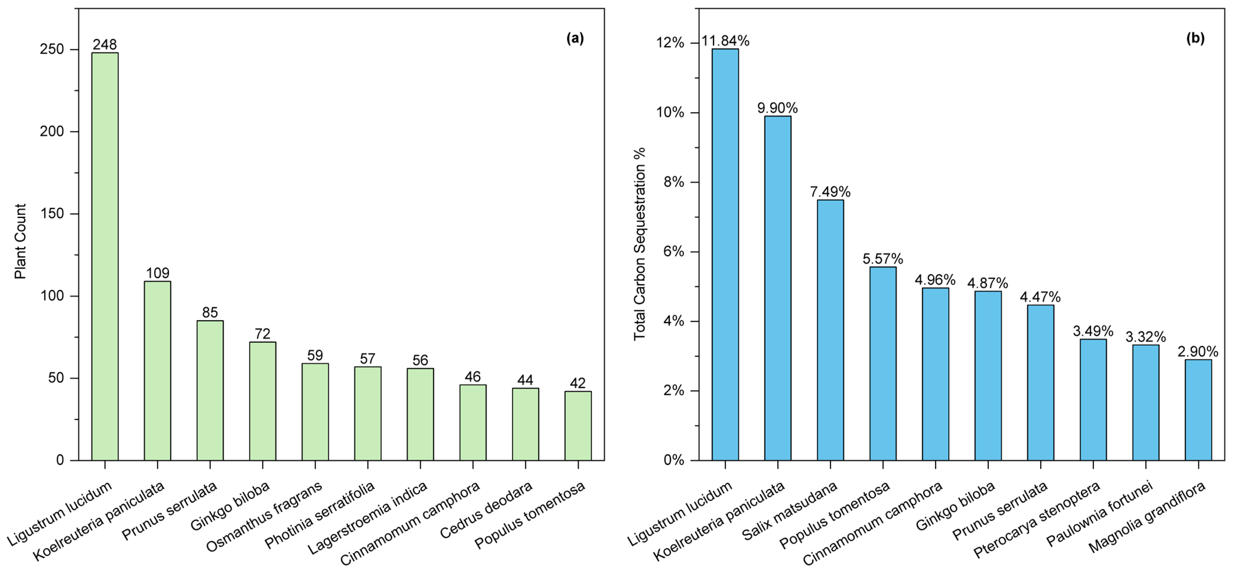
3.2. Overview of Urban Trees and Carbon Sequestration
3.3. Relationship Between Carbon Sequestration and Greenery Coverage
3.4. Relationship Between Carbon Sequestration and Landscape Structure
3.5. Relative Importance of Landscape Indices
3.6. The Partial Dependence Analysis of Landscape Indices
4. Discussion
4.1. Comparison with Other Studies
4.2. Landscape Structure Drivers of Carbon Sequestration
4.3. Implications and Outlook for the Future
5. Conclusions
Author Contributions
Funding
Data Availability Statement
Conflicts of Interest
References
- Huang, X.; Xia, J.; Xiao, R.; He, T. Urban Expansion Patterns of 291 Chinese Cities, 1990–2015. Int. J. Digit. Earth 2019, 12, 62–77. [Google Scholar] [CrossRef]
- Gong, P.; Li, X.; Zhang, W. 40-Year (1978–2017) Human Settlement Changes in China Reflected by Impervious Surfaces from Satellite Remote Sensing. Sci. Bull. 2019, 64, 756–763. [Google Scholar] [CrossRef]
- Peng, J.; Lin, H.; Chen, Y.; Blaschke, T.; Luo, L.; Xu, Z.; Hu, Y.; Zhao, M.; Wu, J. Spatiotemporal Evolution of Urban Agglomerations in China during 2000–2012: A Nighttime Light Approach. Landsc. Ecol. 2020, 35, 421–434. [Google Scholar] [CrossRef]
- Bilgili, F.; Mugaloglu, E.; Koçak, E. The Impact of Oil Prices on CO2 Emissions in China: A Wavelet Coherence Approach. In Econometrics of Green Energy Handbook: Economic and Technological Development; Shahbaz, M., Balsalobre-Lorente, D., Eds.; Springer International: Cham, Switzerland, 2020; pp. 31–57. ISBN 978-3-030-46847-7. [Google Scholar]
- Zhou, W.; Wang, J.; Cadenasso, M.L. Effects of the Spatial Configuration of Trees on Urban Heat Mitigation: A Comparative Study. Remote Sens. Environ. 2017, 195, 1–12. [Google Scholar] [CrossRef]
- Kuang, W.; Zhang, S.; Li, X.; Lu, D. A 30-Meter Resolution National Urban Land-Cover Dataset of China, 2000–2015. Earth Syst. Sci. Data Discuss. 2019; preprint. [Google Scholar] [CrossRef]
- PRC. Investing in Forest Cities. Available online: https://www.gov.cn/yaowen/liebiao/202404/content_6944811.htm (accessed on 1 July 2024).
- China Daily. China to Have 300 Forest Cities by 2025. Available online: http://english.scio.gov.cn/chinavoices/2018-07/09/content_55763384.htm (accessed on 1 August 2023).
- Zhao, S.; Zhu, C.; Zhou, D.; Huang, D.; Wemer, J. Organic Carbon Storage in China’s Urban Areas. PLoS ONE 2013, 8, e71975. [Google Scholar] [CrossRef]
- Nowak, D.J.; Greenfield, E.J. US Urban Forest Statistics, Values, and Projections. J. For. 2018, 116, 164–177. [Google Scholar] [CrossRef]
- Yuan, Y.; Guo, W.; Tang, S.; Zhang, J. Effects of Patterns of Urban Green-Blue Landscape on Carbon Sequestration Using XGBoost-SHAP Model. J. Clean. Prod. 2024, 476, 143640. [Google Scholar] [CrossRef]
- Dorendorf, J.; Eschenbach, A.; Schmidt, K.; Jensen, K. Both Tree and Soil Carbon Need to Be Quantified for Carbon Assessments of Cities. Urban. For. Urban. Green. 2015, 14, 447–455. [Google Scholar] [CrossRef]
- Ren, Z.; Zheng, H.; He, X.; Zhang, D.; Shen, G.; Zhai, C. Changes in Spatio-Temporal Patterns of Urban Forest and Its above-Ground Carbon Storage: Implication for Urban CO2 Emissions Mitigation under China’s Rapid Urban Expansion and Greening. Environ. Int. 2019, 129, 438–450. [Google Scholar] [CrossRef]
- Yu, C.; Wang, Q.; Zhang, S.; Zeng, H.; Chen, W.; Chen, W.; Lou, H.; Yu, W.; Wu, J. Effects of Strigolactone on Torreya Grandis Gene Expression and Soil Microbial Community Structure Under Simulated Nitrogen Deposition. Front. Plant Sci. 2022, 13, 908129. [Google Scholar] [CrossRef]
- Keenan, T.F.; Hollinger, D.Y.; Bohrer, G.; Dragoni, D.; Munger, J.W.; Schmid, H.P.; Richardson, A.D. Increase in Forest Water-Use Efficiency as Atmospheric Carbon Dioxide Concentrations Rise. Nature 2013, 499, 324–327. [Google Scholar] [CrossRef]
- Pretzsch, H.; Biber, P.; Uhl, E.; Dahlhausen, J.; Schütze, G.; Perkins, D.; Rötzer, T.; Caldentey, J.; Koike, T.; van Con, T.; et al. Climate Change Accelerates Growth of Urban Trees in Metropolises Worldwide. Sci. Rep. 2017, 7, 15403. [Google Scholar] [CrossRef] [PubMed]
- Gavali, R.S.; Shaikh, H.M.Y. Estimation of Carbon Storage in the Tree Growth of Solapur University Campus, Maharashtra, India. Int. J. Sci. Res. 2016, 5, 2364–2367. [Google Scholar] [CrossRef]
- Heath, L.S.; Smith, J.E.; Skog, K.E.; Nowak, D.J.; Woodall, C.W. Managed Forest Carbon Estimates for the US Greenhouse Gas Inventory, 1990—2008. J. For. 2011, 109, 167–173. [Google Scholar] [CrossRef]
- Churkina, G.; Brown, D.G.; Keoleian, G. Carbon Stored in Human Settlements: The Conterminous United States. Glob. Change Biol. 2010, 16, 135–143. [Google Scholar] [CrossRef]
- Hutyra, L.R.; Duren, R.; Gurney, K.R.; Grimm, N.; Kort, E.A.; Larson, E.; Shrestha, G. Urbanization and the Carbon Cycle: Current Capabilities and Research Outlook from the Natural Sciences Perspective. Earth’s Future 2014, 2, 473–495. [Google Scholar] [CrossRef]
- Pouyat, R.V.; Yesilonis, I.D.; Golubiewski, N.E. A Comparison of Soil Organic Carbon Stocks between Residential Turf Grass and Native Soil. Urban. Ecosyst. 2009, 12, 45–62. [Google Scholar] [CrossRef]
- Davies, Z.G.; Edmondson, J.L.; Heinemeyer, A.; Leake, J.R.; Gaston, K.J. Mapping an Urban Ecosystem Service: Quantifying above-Ground Carbon Storage at a City-Wide Scale. J. Appl. Ecol. 2011, 48, 1125–1134. [Google Scholar] [CrossRef]
- Sun, Y.; Xie, S.; Zhao, S. Valuing Urban Green Spaces in Mitigating Climate Change: A City-Wide Estimate of Aboveground Carbon Stored in Urban Green Spaces of China’s Capital. Glob. Change Biol. 2019, 25, 1717–1732. [Google Scholar] [CrossRef]
- Helen; Jarzebski, M.P.; Gasparatos, A. Land Use Change, Carbon Stocks and Tree Species Diversity in Green Spaces of a Secondary City in Myanmar, Pyin Oo Lwin. PLoS ONE 2019, 14, e0225331. [Google Scholar] [CrossRef]
- Dong, L.; Wang, Y.; Ai, L.; Cheng, X.; Luo, Y. A Review of Research Methods for Accounting Urban Green Space Carbon Sinks and Exploration of New Approaches. Front. Environ. Sci. 2024, 12, 1350185. [Google Scholar] [CrossRef]
- Jin, S.; Zhang, E.; Guo, H.; Hu, C.; Zhang, Y.; Yan, D. Comprehensive Evaluation of Carbon Sequestration Potential of Landscape Tree Species and Its Influencing Factors Analysis: Implications for Urban Green Space Management. Carbon. Balance Manag. 2023, 18, 17. [Google Scholar] [CrossRef] [PubMed]
- Lv, H.; Wang, W.; He, X.; Wei, C.; Xiao, L.; Zhang, B.; Zhou, W. Association of Urban Forest Landscape Characteristics with Biomass and Soil Carbon Stocks in Harbin City, Northeastern China. PeerJ 2018, 6, e5825. [Google Scholar] [CrossRef]
- Henan Provincial Bureau of Statistics. Henan Statistical Yearbook 2023. Available online: https://oss.henan.gov.cn/sbgt-wztipt/attachment/hntjj/hntj/lib/tjnj/2023nj/zk/indexch.htm (accessed on 1 July 2024).
- Zhu, X.; Li, Y.; Zhang, P.; Wei, Y.; Zheng, X.; Xie, L. Temporal–Spatial Characteristics of Urban Land Use Efficiency of China’s 35mega Cities Based on DEA: Decomposing Technology and Scale Efficiency. Land. Use Policy 2019, 88, 104083. [Google Scholar] [CrossRef]
- i-Tree Manuals, Guides & Workbooks. Available online: https://www.itreetools.org/support/resources-overview/i-tree-manuals-workbooks (accessed on 1 July 2024).
- David, J. Nowak Assessing the Benefits and Economic Values of Trees, 1st ed.; Routledge: London, UK, 2017. [Google Scholar]
- Amini Parsa, V.; Salehi, E.; Yavari, A.R.; van Bodegom, P.M. Analyzing Temporal Changes in Urban Forest Structure and the Effect on Air Quality Improvement. Sustain. Cities Soc. 2019, 48, 101548. [Google Scholar] [CrossRef]
- Cimburova, Z.; Barton, D.N. The Potential of Geospatial Analysis and Bayesian Networks to Enable I-Tree Eco Assessment of Existing Tree Inventories. Urban. For. Urban. Green. 2020, 55, 126801. [Google Scholar] [CrossRef]
- Jia, X.; Han, H.; Feng, Y.; Song, P.; He, R.; Liu, Y.; Wang, P.; Zhang, K.; Du, C.; Ge, S.; et al. Scale-Dependent and Driving Relationships between Spatial Features and Carbon Storage and Sequestration in an Urban Park of Zhengzhou, China. Sci. Total Environ. 2023, 894, 164916. [Google Scholar] [CrossRef]
- Feng, Y.; Zhang, K.; Li, A.; Zhang, Y.; Wang, K.; Guo, N.; Wan, H.Y.; Tan, X.; Dong, N.; Xu, X.; et al. Spatial and Seasonal Variation and the Driving Mechanism of the Thermal Effects of Urban Park Green Spaces in Zhengzhou, China. Land 2024, 13, 1474. [Google Scholar] [CrossRef]
- Zhou, Z.X.; Li, J. The Correlation Analysis on the Landscape Pattern Index and Hydrological Processes in the Yanhe Watershed, China. J. Hydrol. 2015, 524, 417–426. [Google Scholar] [CrossRef]
- Li, Q.; Zhou, Y.; Wang, L.; Zuo, Q.; Yi, S.; Liu, J.; Su, X.; Xu, T.; Jiang, Y. The Link between Landscape Characteristics and Soil Losses Rates over a Range of Spatiotemporal Scales: Hubei Province, China. Int. J. Environ. Res. Public. Health 2021, 18, 11044. [Google Scholar] [CrossRef] [PubMed]
- Lu, G.Q. Study on the Ecological Benefit Evaluation and the Dynamics Simulation About Urban Forest in Dalian. Ph.D. Thesis, Beijing Forestry University, Beijing, China, 2006. [Google Scholar]
- Shi, Y. Vegetation Structure Characteristics and Carbon Uptake of Urban Built-Up Area in China. Ph.D. Thesis, Zhejiang University, Hangzhou, China, 2013. [Google Scholar]
- Gao, H. Study on the Value of Green Space System Services of Manduhai Park. Master’s Thesis, Inner Mongolia Agricultural University, Hohhot, China, 2006. [Google Scholar]
- Lian, J. The Structure and Benefits of Urban Forest in Xi’an City. Master’s Thesis, Northeast University, Xi’an, China, 2008. [Google Scholar]
- Chen, W.Y. The Role of Urban Green Infrastructure in Offsetting Carbon Emissions in 35 Major Chinese Cities: A Nationwide Estimate. Cities 2015, 44, 112–120. [Google Scholar] [CrossRef]
- Gao, S. Carbon Balance and Nutrient Cycle of Urban Forest in Changsha. Ph.D. Thesis, Central South University of Forestry and Technology, Changsha, China, 2010. [Google Scholar]
- Shen, W.; Cui, X. Impact of Electric Vehicles and Renewable Energy Systems on Cost and Emission of Electricity. In Proceedings of the 2012 7th IEEE Conference on Industrial Electronics and Applications (ICIEA), Singapore, 18–20 July 2012; IEEE: Singapore, 2012; pp. 120–125. [Google Scholar]
- Chen, S.; Liu, X.; Yang, L.; Zhu, Z. Variations in Ecosystem Service Value and Its Driving Factors in the Nanjing Metropolitan Area of China. Forests 2023, 14, 113. [Google Scholar] [CrossRef]
- Pasher, J.; McGovern, M.; Khoury, M.; Duffe, J. Assessing Carbon Storage and Sequestration by Canada’s Urban Forests Using High Resolution Earth Observation Data. Urban. For. Urban. Green. 2014, 13, 484–494. [Google Scholar] [CrossRef]
- Nowak, D.J.; Greenfield, E.J.; Hoehn, R.E.; Lapoint, E. Carbon Storage and Sequestration by Trees in Urban and Community Areas of the United States. Environ. Pollut. 2013, 178, 229–236. [Google Scholar] [CrossRef] [PubMed]
- Jo, H. Impacts of Urban Greenspace on Offsetting Carbon Emissions for Middle Korea. J. Environ. Manag. 2002, 64, 115–126. [Google Scholar] [CrossRef]
- Zhou, W.; Wang, J.; Qian, Y.; Pickett, S.T.A.; Li, W.; Han, L. The Rapid but “Invisible” Changes in Urban Greenspace: A Comparative Study of Nine Chinese Cities. Sci. Total Environ. 2018, 627, 1572–1584. [Google Scholar] [CrossRef] [PubMed]
- Hong, W.; Ren, Z.; Guo, Y.; Wang, C.; Cao, F.; Zhang, P.; Hong, S.; Ma, Z. The Rapid but “Invisible” Changes in Urban Greenspace: A Comparative Study of Nine Chinese Cities. Ecol. Indic. 2024, 159, 111601. [Google Scholar] [CrossRef]
- Rui, Z.S.T. The influence of landscape characteristics of a park green space on the park cool island effect in Zhengzhou City. Ecol. Lett. 2020, 40, 2886–2894. [Google Scholar] [CrossRef]
- Cai, G.; Lin, Y.; Zhang, F.; Zhang, S.; Wen, L.; Li, B. Response of Ecosystem Service Value to Landscape Pattern Changes under Low-Carbon Scenario: A Case Study of Fujian Coastal Areas. Land 2022, 11, 2333. [Google Scholar] [CrossRef]
- Guo, M.; Chen, S.; Zhang, Y. Spatial Analysis on the Role of Multi-Dimensional Urbanizations in Carbon Emissions: Evidence from China. Int. J. Environ. Res. Public. Health 2022, 19, 5315. [Google Scholar] [CrossRef] [PubMed]
- Wang, H.; Feng, Y.; Ai, L. Progress of Carbon Sequestration in Urban Green Space Based on Bibliometric Analysis. Front. Environ. Sci. 2023, 11, 1196803. [Google Scholar] [CrossRef]
- Wang, R.-Y.; Mo, X.; Ji, H.; Zhu, Z.; Wang, Y.-S.; Bao, Z.; Li, T. Comparison of the CASA and InVEST Models’ Effects for Estimating Spatiotemporal Differences in Carbon Storage of Green Spaces in Megacities. Sci. Rep. 2024, 14, 5456. [Google Scholar] [CrossRef] [PubMed]
- Chen, M.; Jia, W.; Du, C.; Shi, M.; Henebry, G.M.; Wang, K. Carbon Saving Potential of Urban Parks Due to Heat Mitigation in Yangtze River Economic Belt. J. Clean. Prod. 2023, 385, 135713. [Google Scholar] [CrossRef]
- Song, J.; Zhang, R.; Wang, Y.; Huang, J. Evolution Characteristics of Wetland Landscape Pattern and Its Impact on Carbon Sequestration in Wuhan from 2000 to 2020. Land 2023, 12, 582. [Google Scholar] [CrossRef]
- Gao, J.; Han, H.; Ge, S. Carbon-Saving Potential of Urban Parks in the Central Plains City: A High Spatial Resolution Study Using a Forest City, Shangqiu, China, as a Lens. Land 2023, 12, 1383. [Google Scholar] [CrossRef]
- Park, H.-M.; Jo, H.-K.; Kim, J.-Y. Carbon Footprint of Landscape Tree Production in Korea. Sustainability 2021, 13, 5915. [Google Scholar] [CrossRef]
- Tang, Z.; Wang, Y.; Fu, M.; Xue, J. The Role of Land Use Landscape Patterns in the Carbon Emission Reduction: Empirical Evidence from China. Ecol. Indic. 2023, 156, 111176. [Google Scholar] [CrossRef]
- Whittinghill, L.J.; Rowe, D.B.; Schutzki, R.; Cregg, B.M. Quantifying Carbon Sequestration of Various Green Roof and Ornamental Landscape Systems. Landsc. Urban. Plan. 2014, 123, 41–48. [Google Scholar] [CrossRef]
- Jung, M.C. Urban Landscape Affects Scaling of Transportation Carbon Emissions across Geographic Scales. Sustain. Cities Soc. 2024, 113, 105656. [Google Scholar] [CrossRef]
- Hou, Y.; Wang, L.; Li, Z.; Ouyang, X.; Xiao, T.; Wang, H.; Li, W.; Nie, X. Landscape Fragmentation and Regularity Lead to Decreased Carbon Stocks in Basins: Evidence from Century-Scale Research. J. Environ. Manag. 2024, 367, 121937. [Google Scholar] [CrossRef] [PubMed]
- Li, H. Dynamic Response of the Vegetation Carbon Storage in the Sanjiang Plain to Changes in Land Use/Cover and Climate. Herit. Sci. 2021, 9, 134. [Google Scholar] [CrossRef]
- Tao, P.; Lin, Y.; Wang, X.; Li, J.; Ma, C.; Wang, Z.; Dong, X.; Yao, P.; Shao, M. Optimization of Green Spaces in Plain Urban Areas to Enhance Carbon Sequestration. Land 2023, 12, 1218. [Google Scholar] [CrossRef]
- Brinck, K.; Fischer, R.; Groeneveld, J.; Lehmann, S.; Dantas De Paula, M.; Pütz, S.; Sexton, J.O.; Song, D.; Huth, A. High Resolution Analysis of Tropical Forest Fragmentation and Its Impact on the Global Carbon Cycle. Nat. Commun. 2017, 8, 14855. [Google Scholar] [CrossRef]
- Dang, H. Multi-Scenario Simulation Can Contribute to Identify Priorities for Regional Ecological Corridors Conservation. Ecol. Indic. 2024, 165, 112166. [Google Scholar] [CrossRef]
- Carbon Stock Corridors to Mitigate Climate Change and Promote Biodiversity in the Tropics | Nature Climate Change. Available online: https://www.nature.com/articles/nclimate2105 (accessed on 17 August 2024).
- Moomaw, W.R. Wetlands In a Changing Climate: Science, Policy and Management. Wetlands 2018, 38, 183–205. [Google Scholar] [CrossRef]
- Nahlik, A.M.; Fennessy, M.S. Carbon Storage in US Wetlands. Nat. Commun. 2016, 7, 13835. [Google Scholar] [CrossRef]
- Fortier, J.; Truax, B.; Gagnon, D.; Lambert, F. Biomass Carbon, Nitrogen and Phosphorus Stocks in Hybrid Poplar Buffers, Herbaceous Buffers and Natural Woodlots in the Riparian Zone on Agricultural Land. J. Environ. Manag. 2015, 154, 333–345. [Google Scholar] [CrossRef]
- Liu, Y.; Fan, C.; Xue, D. A Review of the Effects of Urban and Green Space Forms on the Carbon Budget Using a Landscape Sustainability Framework. Sustainability 2024, 16, 1870. [Google Scholar] [CrossRef]
- Han, J.; Meng, X.; Zhou, X.; Yi, B.; Liu, M.; Xiang, W.-N. A Long-Term Analysis of Urbanization Process, Landscape Change, and Carbon Sources and Sinks: A Case Study in China’s Yangtze River Delta Region. J. Clean. Prod. 2017, 141, 1040–1050. [Google Scholar] [CrossRef]
- Sha, Z.; Bai, Y.; Li, R.; Lan, H.; Zhang, X.; Li, J.; Liu, X.; Chang, S.; Xie, Y. The Global Carbon Sink Potential of Terrestrial Vegetation Can Be Increased Substantially by Optimal Land Management. Commun. Earth Env. 2022, 3, 8. [Google Scholar] [CrossRef]








| Classification | Landscape Index | Abbr. | Description |
|---|---|---|---|
| Fragmentation indicator | Number of patches | NP | Represents the total number of distinct patches within a landscape. |
| Patch density | PD | Indicates the frequency of patches per unit area, reflecting landscape fragmentation. | |
| Agglomeration indicator | Patch cohesion index | COHESION | Indicates the extent to which similar patches are clustered together. |
| Aggregation index | AI | Reflects the spatial clustering of patches of the same type. | |
| Connectivity indicator | Core area mean | CORE_MN | Average size of core areas within patches, important for ecological processes. |
| Proportion of like adjacencies | PLADJ | Proportion of a patch’s perimeter that is adjacent to the same patch type. | |
| Dominance indicator | Percentage of landscape | PLAND | Percentage of the green spaces. |
| Shape complexity indicator | Landscape shape index | LSI | Quantifies the complexity of patch shapes in the landscape. |
| Normalized landscape shape index | NLSI | Normalizes the shape complexity on a scale from 0 to 1, with higher values indicating more complex shapes. | |
| Dispersion indicator | Landscape division index | DIVISION | Measures the degree to which the landscape is split into isolated patches. |
| Effective mesh size | MESH | Assesses the average spacing or distance between patch centroids in the landscape. |
| Model | R2 | AIC |
|---|---|---|
| Cseq 1 = e0.012DVI−0.126 | 0.4565 | 204.6325 |
| Cseq = e7.488GNDVI−0.843 | 0.3553 | 221.4447 |
| Cseq = e4.564MASVI−0.361 | 0.5464 | 192.7188 |
| Cseq = e7.102NDVI−0.256 | 0.5456 | 193.3446 |
| Cseq = e0.299RDVI−0.193 | 0.5043 | 198.8507 |
| Cseq = e2.595RVI−2.73 | 0.5415 | 194.5988 |
| Cseq = e6.932EVI−1.934 | 0.6484 | 136.5168 |
| Carbon Density | Model | R2 | F-Value | p-Value |
|---|---|---|---|---|
| Maximum carbon density | Cseq * = −1.283∙10−4∙P2 + 0.023∙P − 0.110 | 0.733 | 17.577 | <0.001 |
| Mean carbon density | Cseq = −1.046∙10−4∙P2 + 0.018∙P − 1.046 | 0.710 | 135.607 | <0.001 |
| Minimum carbon density | Cseq = 2.171∙10−6∙P2 + 0.004∙P − 0.031 | 0.253 | 120.904 | <0.001 |
Disclaimer/Publisher’s Note: The statements, opinions and data contained in all publications are solely those of the individual author(s) and contributor(s) and not of MDPI and/or the editor(s). MDPI and/or the editor(s) disclaim responsibility for any injury to people or property resulting from any ideas, methods, instructions or products referred to in the content. |
© 2024 by the authors. Licensee MDPI, Basel, Switzerland. This article is an open access article distributed under the terms and conditions of the Creative Commons Attribution (CC BY) license (https://creativecommons.org/licenses/by/4.0/).
Share and Cite
Huang, J.; Song, P.; Liu, X.; Li, A.; Wang, X.; Liu, B.; Feng, Y. Carbon Sequestration and Landscape Influences in Urban Greenspace Coverage Variability: A High-Resolution Remote Sensing Study in Luohe, China. Forests 2024, 15, 1849. https://doi.org/10.3390/f15111849
Huang J, Song P, Liu X, Li A, Wang X, Liu B, Feng Y. Carbon Sequestration and Landscape Influences in Urban Greenspace Coverage Variability: A High-Resolution Remote Sensing Study in Luohe, China. Forests. 2024; 15(11):1849. https://doi.org/10.3390/f15111849
Chicago/Turabian StyleHuang, Jing, Peihao Song, Xiaojuan Liu, Ang Li, Xinyu Wang, Baoguo Liu, and Yuan Feng. 2024. "Carbon Sequestration and Landscape Influences in Urban Greenspace Coverage Variability: A High-Resolution Remote Sensing Study in Luohe, China" Forests 15, no. 11: 1849. https://doi.org/10.3390/f15111849
APA StyleHuang, J., Song, P., Liu, X., Li, A., Wang, X., Liu, B., & Feng, Y. (2024). Carbon Sequestration and Landscape Influences in Urban Greenspace Coverage Variability: A High-Resolution Remote Sensing Study in Luohe, China. Forests, 15(11), 1849. https://doi.org/10.3390/f15111849

