Nature-Based Solution for Climate Change Adaptation: Coastal Habitats Restoration in Xiamen Bay, China
Abstract
1. Introduction
2. Methods and Data
2.1. Study Area
2.2. Scenario Setting
2.3. Simulation Models
2.3.1. SLAMM Model
- (1)
- Habitat types
- (2)
- Elevation and slope data
- (3)
- Sea-level rise data
2.3.2. InVEST-HQ Model
- (1)
- Threat and its relative impact
- (2)
- The closeness of habitats to sources of threats
- (3)
- Habitat suitability
- (4)
- Habitat sensitivity
3. Results
3.1. Habitat Distribution and Change
3.1.1. Habitat Types in Scenario #0 (Current Scenario)
3.1.2. Habitat Types in Scenario #1 (Climate Change Scenario)
3.1.3. Habitat Types in Scenario #2 (Moderate Mangrove Restoration)
3.1.4. Habitat Types in Scenario #3 (Enhanced Mangrove Restoration)
3.2. Habitat Quality Prediction
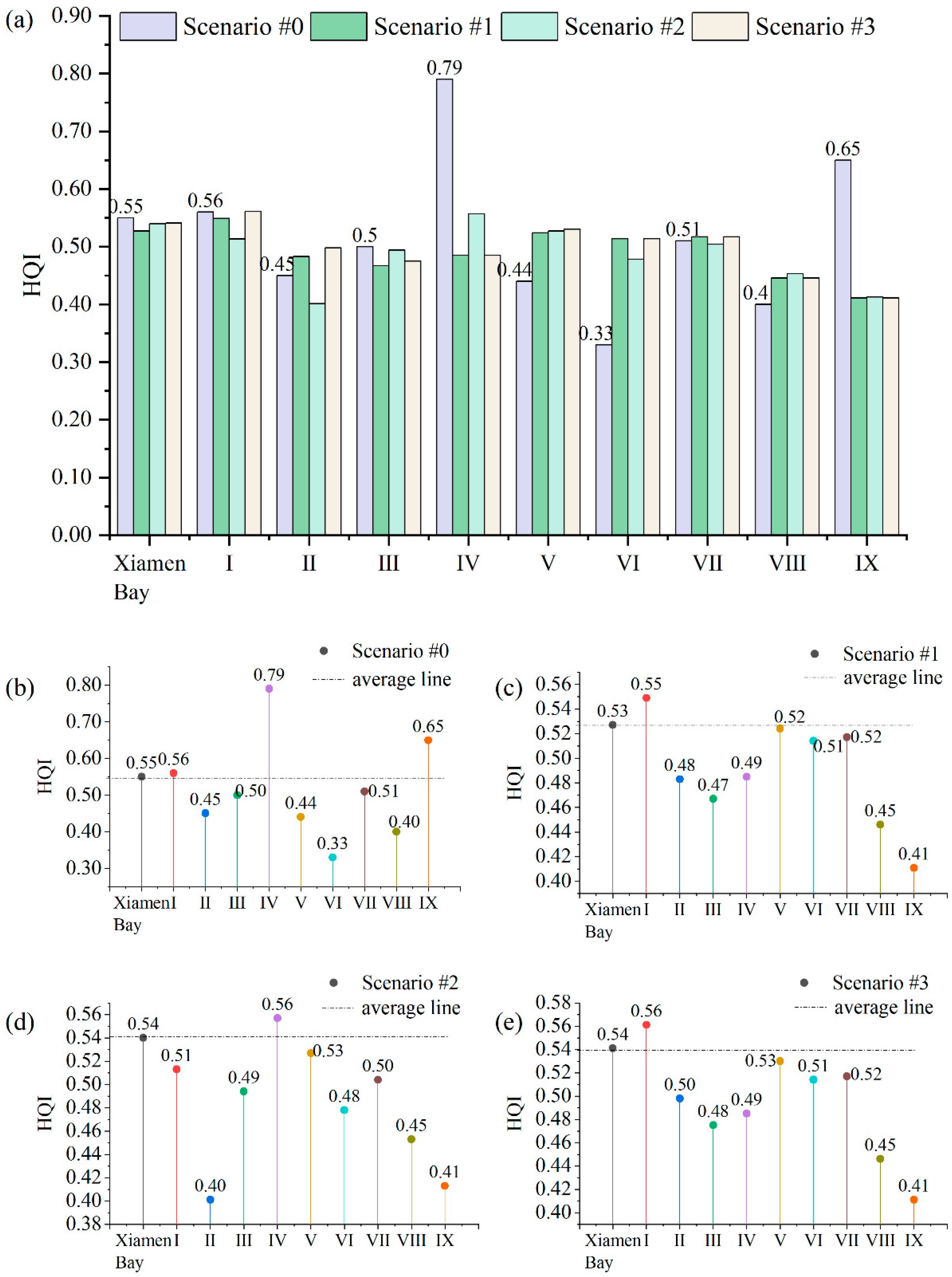
3.2.1. Habitat Quality of Scenario #0
3.2.2. Habitat Quality of Scenario #1
3.2.3. Habitat Quality of Scenario #2
3.2.4. Habitat Quality of Scenario #3
4. Discussion
4.1. Sea-Level Rise Will Bring Effects to Habitat Quality in the Study Area
4.2. Mangrove Restoration as a Key NbS Is Effective in Mitigating Climate Change Impact and Improving Habitat Quality
4.3. The Effectiveness of Mangrove Restoration in This Study Shows the Necessary Consideration of the Mangrove Fragmentation and the Sea-Use Impacts
4.4. Limitation and Outlook
5. Conclusions
Author Contributions
Funding
Data Availability Statement
Acknowledgments
Conflicts of Interest
References
- Rogers, K.; Kelleway, J.J.; Saintilan, N.; Megonigal, J.P.; Adams, J.B.; Holmquist, J.R.; Lu, M.; Schile-Beers, L.; Zawadzki, A.; Mazumder, D.; et al. Wetland carbon storage controlled by millennial-scale variation in relative sea-level rise. Nature 2019, 567, 91–95. [Google Scholar] [CrossRef] [PubMed]
- Keller, K.; Helgeson, C.; Srikrishnan, V. Climate Risk Management. Annu. Rev. Earth Planet. Sci. 2021, 49, 95–116. [Google Scholar] [CrossRef]
- IUCN. Nature-Based Solutions to Address Global Societal Challenges; International Union for Conservation of Nature: Gland, Switzerland, 2016. [Google Scholar]
- Ma, R.M.; Lu, Y.H.; Fu, B.J.; Lu, D.; Wu, X.; Sun, S.Q.; Zhang, Y.L. A modified habitat quality model to incorporate the effects of ecological restoration. Environ. Res. Lett. 2022, 17, 104029. [Google Scholar] [CrossRef]
- Wang, S.S.; Hou, S. Research Advances of Nature-based Solutions in Urban Water Management. China Water Wastewater 2021, 37, 25–33. [Google Scholar]
- He, X.; Wei, H.; Li, S. Research progress and application prospect of nature-based solutions in China. Front. Environ. Sci. 2023, 11, 1133433. [Google Scholar] [CrossRef]
- Luo, M.; Cai, J.; Zeng, Z.; Zheng, Y.; Lin, T. Development and practices of nature-based solutions in China. Nat.-Based Solut. 2024, 5, 100109. [Google Scholar] [CrossRef]
- Yang, C.Y.; Zhou, Y.; Chen, Y.; Wang, L.W. Ecosystem conservation and restoration through Nature-based Solutions. Earth Sci. Front. 2021, 28, 25–34. [Google Scholar]
- Martin, E.G.; Giordano, R.; Pagano, A.; van der Keur, P.; Costa, M.M. Using a system thinking approach to assess the contribution of nature based solutions to sustainable development goals. Sci. Total Environ. 2020, 738, 139693. [Google Scholar] [CrossRef]
- Friess, D.A.; Adame, M.F.; Adams, J.B.; Lovelock, C.E. Mangrove forests under climate change in a 2 °C world. Wiley Interdiscip. Rev. Clim. Change 2022, 13, e792. [Google Scholar] [CrossRef]
- Griscom, B.W.; Adams, J.; Ellis, P.W.; Houghton, R.A.; Lomax, G.; Miteva, D.A.; Schlesinger, W.H.; Shoch, D.; Siikamaki, J.V.; Smith, P.; et al. Natural climate solutions. Proc. Natl. Acad. Sci. USA 2017, 114, 11645–11650. [Google Scholar] [CrossRef]
- Chen, M.; Lin, G. Nature-based solutions: A comprehensive approach of using nature to meet the challenges of sustainable development. Chin. Landsc. Archit. 2019, 35, 81–85. [Google Scholar]
- Mahmood, R.; Zhang, L.; Li, G. Assessing effectiveness of nature-based solution with big earth data: 60 years mangrove plantation program in Bangladesh coast. Ecol. Process. 2023, 12, 11. [Google Scholar] [CrossRef]
- Huxham, M.; Kairu, A.; Lang’at, J.K.; Kivugo, R.; Mwafrica, M.; Huff, A.; Shilland, R. Rawls in the mangrove: Perceptions of justice in nature-based solutions projects. People Nat. 2023, 5, 1497–1511. [Google Scholar] [CrossRef]
- Saintilan, N.; Khan, N.S.; Ashe, E.; Kelleway, J.J.; Rogers, K.; Woodroffe, C.D.; Horton, B.P. Thresholds of mangrove survival under rapid sea level rise. Science 2020, 368, 1118–1121. [Google Scholar] [CrossRef]
- Nicholls, R.J.; Hanson, S.E.; Lowe, J.A.; Warrick, R.A.; Lu, X.; Long, A.J. Sea-level scenarios for evaluating coastal impacts. WIREs Clim. Change 2013, 5, 129–150. [Google Scholar] [CrossRef]
- Shih, S.-S.; Huang, Z.-Z.; Hsu, Y.-W. Nature-based solutions on floodplain restoration with coupled propagule dispersal simulation and stepping-stone approach to predict mangrove encroachment in an estuary. Sci. Total Environ. 2022, 851, 158097. [Google Scholar] [CrossRef]
- Natural Capital Project. InVEST, version 3.12.0; Stanford University: Stanford, CA, USA, 2022. [Google Scholar]
- Warren Pinnacle Consulting, Inc. SLAMM 6.7 Beta, User’s Manual; Warren Pinnacle Consulting, Inc.: Waitsfield, VT, USA, 2016. [Google Scholar]
- Yang, S.Z.; Fang, Q.H.; Ikhumhen, H.O.; Meilana, L.; Zhu, S.Q. Marine spatial planning for transboundary issues in bays of Fujian, China: A hierarchical system. Ecol. Indic. 2022, 136, 108622. [Google Scholar] [CrossRef]
- Fang, Q.H. Adapting Chinese cities to climate change. Science 2016, 354, 425–426. [Google Scholar] [CrossRef]
- Fujian Meteorological Bureau. Fujian Climate Bulletin. 2023. Available online: https://www.weather.com.cn/fujian/zxfw/qhgb/07/3797835.shtml (accessed on 17 May 2024).
- Wang, M.; Xu, H. Remote sensing-based assessment of vegetation damage by a strong typhoon (Meranti) in Xiamen Island, China. Nat. Hazards 2018, 93, 1231–1249. [Google Scholar] [CrossRef]
- Wu, W.; Zheng, J.; Fang, Q. How a typhoon event transforms public risk perception of climate change: A study in China. J. Clean. Prod. 2020, 261, 121163. [Google Scholar] [CrossRef]
- Zhang, D.; Wang, Y.Y.; Yu, W.W.; Ma, Z.Y.; Yao, B.X.; Chen, G.C.; Chen, B.; Hu, W.J. Assessment of the habitat suitability and restoration potential of mangroves in Xiamen Bay, China. J. Appl. Oceanogr. 2021, 40, 44–55. [Google Scholar]
- Li, S.S.; Meng, X.W.; Ge, Z.M.; Zhang, L.Q. Vulnerability assessment on the mangrove ecosystems in qinzhou bay under sea level rise. Acta Ecol. Sin. 2014, 34, 2702–2711. [Google Scholar]
- Liang, S.S.; Liu, J.; Su, S.K.; Chen, G.C.; Chen, S.Y.; Chen, B.; Liu, W.H.; Hu, W.J. Vulnerability of mangrove habitats driven by sea level rise and land use. China Environ. Sci. 2023, 43, 266–275. [Google Scholar]
- Liang, S.S.; Hu, W.J.; Liu, J.; Su, S.K.; Chen, G.C.; Chen, S.Y.; Xie, B.; Du, J.G.; Liu, W.H.; Chen, B. Mapping mangrove sustainability in the face of sea level rise and land use: A case study on Leizhou Peninsula, China. J. Environ. Manag. 2023, 325, 116554. [Google Scholar] [CrossRef]
- Park, R.A.; Lee, J.K.; Mausel, P.W.; Howe, R.C. Using remote sensing for modeling the impacts of sea level rise. World Resour. Rev. 1991, 3, 184–220. [Google Scholar]
- Chen, C.Y.; Liu, J.; Bi, L.L. Spatial and Temporal Changes of Habitat Quality and Its Influential Factors in China Based on the InVEST Model. Forests 2023, 14, 374. [Google Scholar] [CrossRef]
- Hack, J.; Molewijk, D.; Beissler, M.R. A Conceptual Approach to Modeling the Geospatial Impact of Typical Urban Threats on the Habitat Quality of River Corridors. Remote Sens. 2020, 12, 1345. [Google Scholar] [CrossRef]
- DD2012-04; Technical Standards for Geological Surveys of the China Geological Survey. China Geological Survey: Beijing, China, 2012.
- IPCC. Climate Change 2022: Impacts, Adaptation and Vulnerability. In Working Group II Contribution to the Sixth Assessment Report of the Intergovernmental Panel on Climate Change; Pörtner, H.-O., Roberts, D.C., Tignor, M.M.B., Poloczanska, E., Mintenbeck, K., Mintenbeck, K., Craig, M., Langsdorf, S., Löschke, S., Möller, V., et al., Eds.; Intergovernmental Panel on Climate Change, Cambridge University Press: Cambridge, UK; New York, NY, USA, 2022; p. 1465. [Google Scholar]
- MNR. China Sea Level Bulletin (2022); Ministry of Natural Resource of the People’s Republic of China: Beijing, China, 2023. [Google Scholar]
- Vaher, A.; Kotta, J.; Szava-Kovats, R.; Kaasik, A.; Fetissov, M.; Aps, R.; Koivupuu, A. Assessing cumulative impacts of human-induced pressures on reef and sandbank habitats and associated biotopes in the northeastern Baltic Sea. Mar. Pollut. Bull. 2022, 183, 114042. [Google Scholar] [CrossRef]
- Wu, L.L.; Sun, C.G.; Fan, F.L. Estimating the Characteristic Spatiotemporal Variation in Habitat Quality Using the InVEST Model-A Case Study from Guangdong-Hong Kong-Macao Greater Bay Area. Remote Sens. 2021, 13, 1008. [Google Scholar] [CrossRef]
- Zhang, H.F.; Li, S.D.; Liu, Y.; Xu, M. Assessment of the Habitat Quality of Offshore Area in Tongzhou Bay, China: Using Benthic Habitat Suitability and the InVEST Model. Water 2022, 14, 1574. [Google Scholar] [CrossRef]
- Ankrah, J.; Monteiro, A.; Madureira, H. Geospatiality of sea level rise impacts and communities’ adaptation: A bibliometric analysis and systematic review. Nat. Hazards 2023, 116, 1–31. [Google Scholar] [CrossRef]
- WPC. EPA Grant LI-96144501 Quality Assurance Project Plan for Project Code 2013-022 Long Island Sound Study (LISS) Marsh Migration Modeling; Warren Pinnacle Consulting, Inc.: Waitsfield, VT, USA, 2013. [Google Scholar]
- Anderson, J.B.; Wallace, D.J.; Rodriguez, A.B.; Simms, A.R. Unprecedented Historical Erosion of US Gulf Coast: A Consequence of Accelerated Sea-Level Rise? Earths Future 2023, 11, e2023EF003676. [Google Scholar] [CrossRef]
- Brown, I. Do habitat compensation schemes to offset losses from sea level rise and coastal squeeze represent a robust climate change adaptation response? Ocean. Coast. Manag. 2022, 219, 106072. [Google Scholar] [CrossRef]
- Chen, W.L.; Muller, P.; Grabowski, R.C.; Dodd, N. Green Nourishment: An Innovative Nature-Based Solution for Coastal Erosion. Front. Mar. Sci. 2022, 8, 814589. [Google Scholar] [CrossRef]
- Abdelhafez, M.A.; Ellingwood, B.; Mahmoud, H. Hidden costs to building foundations due to sea level rise in a changing climate. Sci. Rep. 2022, 12, 14020. [Google Scholar] [CrossRef]
- Farinas-Franco, J.M.; Cook, R.L.; Gell, F.R.; Harries, D.B.; Hirst, N.; Kent, F.; MacPherson, R.; Moore, C.; Mair, J.M.; Porter, J.S.; et al. Are we there yet? Management baselines and biodiversity indicators for the protection and restoration of subtidal bivalve shellfish habitats. Sci. Total Environ. 2023, 863, 161001. [Google Scholar] [CrossRef]
- Elliott, M.; Mander, L.; Mazik, K.; Simenstad, C.; Valesini, F.; Whitfield, A.; Wolanski, E. Ecoengineering with Ecohydrology: Successes and failures in estuarine restoration. Estuar. Coast. Shelf Science 2016, 176, 12–35. [Google Scholar] [CrossRef]
- Asamoah, E.F.; Maina, J.M. Nature-based climate solutions require a mix of socioeconomic and governance attributes. iScience 2022, 25, 105699. [Google Scholar] [CrossRef]
- Fang, X.; Zou, J.Q.; Wu, Y.F.; Zhang, Y.F.; Zhao, Y.; Zhang, H.F. Evaluation of the sustainable development of an island “Blue Economy”: A case study of Hainan, China. Sustain. Cities Soc. 2021, 66, 102662. [Google Scholar] [CrossRef]
- Chausson, A.; Turner, B.; Seddon, D.; Chabaneix, N.; Girardin, C.A.J.; Kapos, V.; Key, I.; Roe, D.; Smith, A.; Woroniecki, S.; et al. Mapping the effectiveness of nature-based solutions for climate change adaptation. Glob. Change Biol. 2020, 26, 6134–6155. [Google Scholar] [CrossRef] [PubMed]
- Martin, E.G.; Costa, M.M.; Egerer, S.; Schneider, U.A. Assessing the long-term effectiveness of Nature-Based Solutions under different climate change scenarios. Sci. Total Environ. 2021, 794, 148515. [Google Scholar] [CrossRef] [PubMed]
- Albert, C.; Spangenberg, J.H.; Schroeter, B. Nature-based solutions: Criteria. Nature 2017, 543, 315. [Google Scholar] [CrossRef]
- Andrikopoulou, T.; Schielen, R.M.J.; Spray, C.J.; Schipper, C.A.; Blom, A. A Framework to Evaluate the SDG Contribution of Fluvial Nature-Based Solutions. Sustainability 2021, 13, 11320. [Google Scholar] [CrossRef]
- Choi, J.; Hye-Rin, K. A Critical Study of Nature-based Solutions from a Climate Justice Perspective. Environ. Law Policy 2022, 29, 49–71. [Google Scholar] [CrossRef]
- Liu, L.; Lin, B.; Fang, Q.; Jiang, X. Effectiveness assessment of China’s coastal wetland ecological restoration: A meta-analysis. Sci. Total Environ. 2024, 934, 173336. [Google Scholar] [CrossRef]
- Aneseyee, A.B.; Noszczyk, T.; Soromessa, T.; Elias, E. The InVEST Habitat Quality Model Associated with Land Use/Cover Changes: A Qualitative Case Study of the Winike Watershed in the Omo-Gibe Basin, Southwest Ethiopia. Remote Sens. 2020, 12, 1103. [Google Scholar] [CrossRef]
- Miserendino, M.L.; Casaux, R.; Archangelsky, M.; Di Prinzio, C.Y.; Brand, C.; Kutschker, A.M. Assessing land-use effects on water quality, in-stream habitat, riparian ecosystems and biodiversity in Patagonian northwest streams. Sci. Total Environ. 2011, 409, 612–624. [Google Scholar] [CrossRef]
- Corte, G.N.; Checon, H.H.; Shah Esmaeili, Y.; Lefcheck, J.S.; Amaral, A.C.Z. Mangrove fragments as key coastal reservoirs of taxonomic and functional biodiversity. Biodivers. Conserv. 2021, 30, 1573–1593. [Google Scholar] [CrossRef]
- Mishra, Y. Biodiversity Conservation: Strategies for Future. Biochem. Cell. Arch. 2016, 16 (Suppl. S1), 302–305. [Google Scholar]
- Kundu, S.; Rana, N.K.; Mahato, S. Unravelling blue landscape fragmentation effects on ecosystem services in urban agglomerations. Sustain. Cities Soc. 2024, 102, 105192. [Google Scholar] [CrossRef]
- Quisthoudt, K.; Adams, J.; Rajkaran, A.; Dahdouh-Guebas, F.; Koedam, N.; Randin, C.F. Disentangling the effects ofglobal climate and regional land-use change on the current and future distribution of mangroves in South Africa. Biodivers. Conserv. 2013, 22, 1369–1390. [Google Scholar] [CrossRef]
- Juan-Jorda, M.J.; Murua, H.; Arrizabalaga, H.; Merino, G.; Pacoureau, N.; Dulvy, N.K. Seventy years of tunas, billfishes, and sharks as sentinels of global ocean health. Science 2022, 378, eabj0211. [Google Scholar] [CrossRef] [PubMed]
- Liu, B.; Gong, M.; Wu, X.; Liu, X. A comprehensive model of vessel anchoring pressure based on machine learning to support the sustainable management of the marine environments of coastal cities. Sustain. Cities Soc. 2021, 72, 103011. [Google Scholar] [CrossRef]
- Frazão, S.C.; Agardy, T.; Andrade, F.; Calado, H.; Crowder, L.B.; Ehler, C.N.; García-Morales, S.; Gissi, E.; Halpern, B.S.; Orbach, M.K.; et al. Integrating climate change in ocean planning. Nat. Sustain. 2020, 3, 505–516. [Google Scholar] [CrossRef]
- Santos, C.F.; Agardy, T.; Andrade, F.; Barange, M.; Crowder, L.B.; Ehler, C.N.; Orbach, M.K.; Rosa, R. Ocean planning in a changing climate. Nat. Geosci. 2016, 9, 730. [Google Scholar] [CrossRef]
- Rullens, V.; Mangan, S.; Stephenson, F.; Clark, D.E.; Bulmer, R.H.; Berthelsen, A.; Crawshaw, J.; Gladstone-Gallagher, R.; Thomas, S.; Ellis, J.; et al. Understanding the consequences of sea level rise: The ecological implications of losing intertidal habitat. N. Z. J. Mar. Freshw. Res. 2022, 56, 353–370. [Google Scholar] [CrossRef]
- Collins, M.; An, S.-I.; Cai, W.J.; Ganachaud, A.; Guilyardi, E.; Jin, F.F.; Jochum, M.; Lengaigne, M.; Power, S.; Timmermann, A.; et al. The impact of global warming on the tropical Pacific Ocean and El Niño. Nat. Geosci. 2010, 3, 391–397. [Google Scholar] [CrossRef]






| Scenarios | Principles | Parameters | 
|---|---|---|
| Scenario #0 | The current situation | The current situation in 2020 | 
| Scenario #1 | Sea-level rise in 2060 as a climate change scenario | Sea-level rise 0.144 m | 
| Scenario #2 | Moderate mangrove restoration as an NbS based on Scenario #1 | Sea-level rise 0.144 m, 0.33 km2 mangroves to restore | 
| Scenario #3 | Enhanced mangrove restoration based on Scenario #2 | Sea-level rise of 0.144 m, 0.96 km2 mangroves to restore | 
| Maximum Effect Distance (km) | Weight | Threat | Decay | Describe | Path | 
|---|---|---|---|---|---|
| 8 | 1.000 | IC | exponential | Industrial construction | IC_c.tif | 
| 3 | 0.900 | Disp | exponential | disposal | Disp_c.tif | 
| 3 | 0.600 | Port | linear | Port and shipping | Port_c.tif | 
| 3 | 0.600 | Mineral | exponential | Mineral exploration | Mineral_c.tif | 
| 3 | 0.400 | Tour | exponential | tourism | Tour_c.tif | 
| Habitat Types or Sea Uses | Suitability | Sensitivity | ||||
|---|---|---|---|---|---|---|
| Industrial Construction | Port and Shipping | Mineral Exploration | Tourism | Disposal | ||
| Coastal water | 0.800 | 1.000 | 0.600 | 0.600 | 0.400 | 0.900 | 
| Saltmarsh | 0.800 | 1.000 | 0.350 | 0.350 | 0.350 | 0.800 | 
| Mangrove | 1.000 | 1.000 | 0.750 | 0.750 | 0.300 | 0.900 | 
| Tidal flat | 0.750 | 1.000 | 0.750 | 0.750 | 0.500 | 0.900 | 
| Coastal beach | 0.900 | 1.000 | 0.850 | 0.850 | 0.300 | 0.900 | 
| Rocky coastline | 0.900 | 0.000 | 0.000 | 0.000 | 0.000 | 0.900 | 
| MPA | 1.000 | 1.000 | 1.000 | 1.000 | 0.900 | 0.900 | 
| Industrial construction | 0.000 | 0.000 | 0.000 | 0.000 | 0.000 | 0.300 | 
| Port and shipping | 0.500 | 1.000 | 0.000 | 0.850 | 0.750 | 0.000 | 
| Tourism | 0.750 | 1.000 | 0.750 | 0.600 | 0.000 | 0.800 | 
| Mineral exploration | 0.300 | 1.000 | 0.850 | 0.000 | 0.600 | 0.800 | 
| Disposal | 0.000 | 0.300 | 0.000 | 0.800 | 0.800 | 0.000 | 
| Habitat Types | Scenario #1 | Scenario #2 | Scenario #3 | 
|---|---|---|---|
| Mangrove | −43.51% | −39.94% | −38.39% | 
| Salt marsh | −65.76% | −65.89% | −66.02% | 
| Tidal flat | −70.37% | −70.55% | −70.61% | 
| Coastal beach | −20.43% | −20.53% | −20.75% | 
| Rocky coastline | −32.65% | −34.22% | −32.33% | 
| Coastal water | +8.55% | +8.54% | +8.54% | 
| Disclaimer/Publisher’s Note: The statements, opinions and data contained in all publications are solely those of the individual author(s) and contributor(s) and not of MDPI and/or the editor(s). MDPI and/or the editor(s) disclaim responsibility for any injury to people or property resulting from any ideas, methods, instructions or products referred to in the content. | 
© 2024 by the authors. Licensee MDPI, Basel, Switzerland. This article is an open access article distributed under the terms and conditions of the Creative Commons Attribution (CC BY) license (https://creativecommons.org/licenses/by/4.0/).
Share and Cite
Yang, S.; Fang, Q.; Zhang, D.; Meilana, L.; Ikhumhen, H.O.; Zhang, X.; Jiang, X.; Lin, B. Nature-Based Solution for Climate Change Adaptation: Coastal Habitats Restoration in Xiamen Bay, China. Forests 2024, 15, 1844. https://doi.org/10.3390/f15111844
Yang S, Fang Q, Zhang D, Meilana L, Ikhumhen HO, Zhang X, Jiang X, Lin B. Nature-Based Solution for Climate Change Adaptation: Coastal Habitats Restoration in Xiamen Bay, China. Forests. 2024; 15(11):1844. https://doi.org/10.3390/f15111844
Chicago/Turabian StyleYang, Suzhen, Qinhua Fang, Dian Zhang, Lusita Meilana, Harrison Odion Ikhumhen, Xue Zhang, Xiaoyan Jiang, and Boding Lin. 2024. "Nature-Based Solution for Climate Change Adaptation: Coastal Habitats Restoration in Xiamen Bay, China" Forests 15, no. 11: 1844. https://doi.org/10.3390/f15111844
APA StyleYang, S., Fang, Q., Zhang, D., Meilana, L., Ikhumhen, H. O., Zhang, X., Jiang, X., & Lin, B. (2024). Nature-Based Solution for Climate Change Adaptation: Coastal Habitats Restoration in Xiamen Bay, China. Forests, 15(11), 1844. https://doi.org/10.3390/f15111844
 
        


 
       