Carbon Stock Estimation of Poplar Plantations Based on Additive Biomass Models
Abstract
1. Introduction
2. Materials and Methods
2.1. Study Area
2.2. Measurement and Data Collection
2.3. Allometric Models
2.4. Model Evaluation
2.5. Model Validation
2.6. Comparison of Existing Biomass Models
2.7. Carbon Content and Carbon Stocks
3. Results
3.1. Model Fitting for Biomass Models
3.2. Model Validation for the Optimal Model
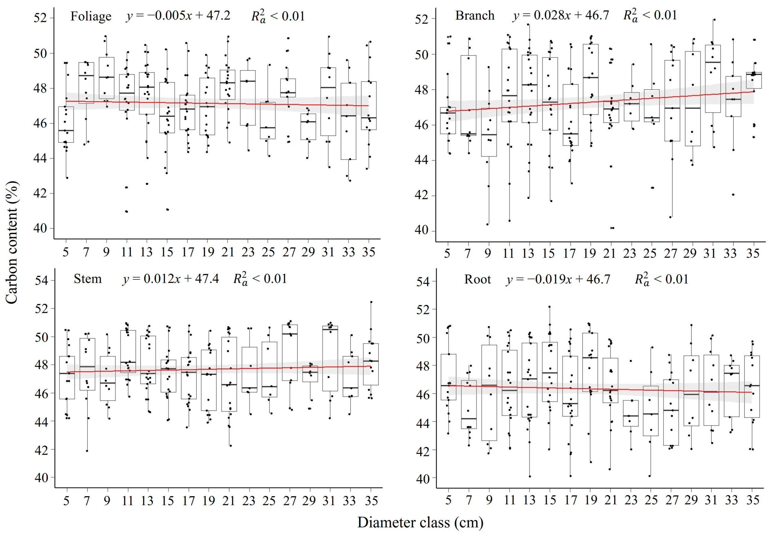
3.3. Carbon Content in Various Components
3.4. Carbon Stocks and Allocation in Standing Trees
4. Discussion
5. Conclusions
Supplementary Materials
Author Contributions
Funding
Data Availability Statement
Acknowledgments
Conflicts of Interest
References
- Canadell, J.G.; Le Quere, C.; Raupach, M.R.; Field, C.B.; Buitenhuis, E.T.; Ciais, P.; Conway, T.J.; Gillett, N.P.; Houghton, R.A.; Marland, G. Contributions to accelerating atmospheric CO2 growth from economic activity, carbon intensity, and efficiency of natural sinks. Proc. Natl. Acad. Sci. USA 2007, 104, 18866–18870. [Google Scholar] [CrossRef] [PubMed]
- Speak, A.; Escobedo, F.J.; Russo, A.; Zerbe, S. Total urban tree carbon storage and waste management emissions estimated using a combination of LiDAR, field measurements and an end-of-life wood approach. J. Clean. Prod. 2020, 256, 120420. [Google Scholar] [CrossRef]
- Mugasha, W.A.; Eid, T.; Bollandsås, O.M.; Malimbwi, R.E.; Chamshama, S.A.O.; Zahabu, E.; Katani, J.Z. Allometric models for prediction of above- and belowground biomass of trees in the miombo woodlands of Tanzania. For. Ecol. Manag. 2013, 310, 87–101. [Google Scholar] [CrossRef]
- Oliveira, N.; Rodríguez-Soalleiro, R.; Pérez-Cruzado, C.; Cañellas, I.; Sixto, H.; Ceulemans, R. Above- and below-ground carbon accumulation and biomass allocation in poplar short rotation plantations under Mediterranean conditions. For. Ecol. Manag. 2018, 428, 57–65. [Google Scholar] [CrossRef]
- Eslamipoor, R.; Sepehriar, A. Enhancing supply chain relationships in the circular economy: Strategies for a green centralized supply chain with deteriorating products. J. Environ. Manag. 2024, 367, 121738. [Google Scholar] [CrossRef]
- Sepehriar, A.; Eslamipoor, R. An economical single-vendor single-buyer framework for carbon emission policies. J. Bus. Econ. 2024, 94, 927–945. [Google Scholar] [CrossRef]
- Alvarez, E.; Duque, A.; Saldarriaga, J.; Cabrera, K.; de las Salas, G.; del Valle, I.; Lema, A.; Moreno, F.; Orrego, S.; Rodríguez, L. Tree above-ground biomass allometries for carbon stocks estimation in the natural forests of Colombia. For. Ecol. Manag. 2012, 267, 297–308. [Google Scholar] [CrossRef]
- Dong, L.H.; Liu, Y.; Zhang, L.; Xie, L.; Li, F. Variation in carbon concentration and allometric equations for estimating tree carbon contents of 10 broadleaf species in natural forests in Northeast China. Forests 2019, 10, 928. [Google Scholar] [CrossRef]
- Meng, S.; Jia, Q.; Liu, Q.; Zhou, G.; Wang, H.; Yu, J. Aboveground biomass allocation and additive allometric models for natural larix gmelinii in the western Daxing’anling Mountains, Northeastern China. Forests 2019, 10, 150. [Google Scholar] [CrossRef]
- Parresol, B.R. Additivity of nonlinear biomass equations. Can. J. For. Res. 2001, 31, 865–878. [Google Scholar] [CrossRef]
- Sanquetta, C.R.; Behling, A.; Corte, A.P.D.; Péllico Netto, S.; Schikowski, A.B.; do Amaral, M.K. Simultaneous estimation as alternative to independent modeling of tree biomass. Ann. For. Sci. 2015, 72, 1099–1112. [Google Scholar] [CrossRef]
- Bayen, P.; Noulèkoun, F.; Bognounou, F.; Lykke, A.M.; Djomo, A.; Lamers, J.P.A.; Thiombiano, A. Models for estimating aboveground biomass of four dryland woody species in Burkina Faso, West Africa. J. Arid Environ. 2020, 180, 104205. [Google Scholar] [CrossRef]
- Dimobe, K.; Mensah, S.; Goetze, D.; Ouedraogo, A.; Kuyahf, S.; Porembski, S.; Thiombiano, A. Aboveground biomass partitioning and additive models for Combretum glutinosum and Terminalia laxiflora in West Africa. Biomass Bioenergy 2018, 115, 151–159. [Google Scholar] [CrossRef]
- Dong, L.; Zhang, L.; Li, F. Evaluation of stand biomass estimation methods for major forest types in the eastern Da Xing’an Mountains, Northeast China. Forests 2019, 10, 715. [Google Scholar] [CrossRef]
- Waring, R.H.; Landsberg, J.J.; Williams, M. Net primary production of forests: A constant fraction of gross primary production? Tree Physiol. 1998, 18, 129–134. [Google Scholar] [CrossRef]
- Fang, J.Y.; Guo, Z.D.; Hu, H.F.; Kato, T.; Muraoka, H.; Son, Y. Forest biomass carbon sinks in East Asia, with special reference to the relative contributions of forest expansion and forest growth. Glob. Chang. Biol. 2014, 20, 2019–2030. [Google Scholar] [CrossRef]
- Zhang, C.H.; Ju, W.M.; Chen, J.M.; Wang, X.Q.; Yang, L.; Zheng, G. Disturbance-induced reduction of biomass carbon sinks of China’s forests in recent years. Environ. Res. Lett. 2015, 10, 114021. [Google Scholar] [CrossRef]
- Zhang, C.; Ju, W.; Wang, D.; Wang, X.; Wang, X. Biomass carbon stocks and economic value dynamics of forests in Shandong Province from 2004 to 2013. Acta Ecol. Sin. 2018, 38, 1739–1749. [Google Scholar]
- Chave, J.; Condit, R.; Lao, S.; Caspersen, J.P.; Foster, R.B.; Hubbell, S.P. Spatial and temporal variation of biomass in a tropical forest: Results from a large census plot in Panama. J. Ecol. 2003, 91, 240–252. [Google Scholar] [CrossRef]
- Dong, L.H.; Zhang, L.J.; Li, F.R. Allometry and partitioning of individual tree biomass and carbon of Abies nephrolepis Maxim in northeast China. Scand. J. For. Res. 2016, 31, 399–411. [Google Scholar] [CrossRef]
- Neumann, M.; Moreno, A.; Mues, V.; Härkönen, S.; Mura, M.; Bouriaud, O.; Lang, M.; Achten, W.M.J.; Thivolle-Cazat, A.; Bronisz, K.; et al. Comparison of carbon estimation methods for European forests. For. Ecol. Manag. 2016, 361, 397–420. [Google Scholar] [CrossRef]
- Elias, M.; Potvin, C. Assessing inter- and intra-specific variation in trunk carbon concentration for 32 neotropical tree species. Can. J. For. Res. 2003, 36, 1039–1045. [Google Scholar] [CrossRef]
- Lambers, H.; Boogaard, R.v.d.; Veneklaas, E.J.; Villar, R. Effects of global environmental change on carbon partitioning in vegetative plants of Triticum aestivum and closely related Aegilops species. Glob. Chang. Biol. 1995, 1, 397–406. [Google Scholar] [CrossRef]
- Xia, J.Z.; Chen, Y.; Yuan, W.P.; Wang, Y.P. The effects of multiple environmental factors on global carbon allocation. Ecol. Process. 2023, 12, 60–77. [Google Scholar] [CrossRef]
- Litton, C.M.; Ryan, M.G.; Knight, D.H. Effects of tree density and stand age on carbon allocation patterns in postfire lodgepole pine. Ecol. Appl. 2004, 14, 460–475. [Google Scholar] [CrossRef]
- Wang, Z.; Yan, W.; Peng, Y.; Wan, M.; Farooq, T.H.; Fan, W.; Lei, J.; Yuan, C.; Wang, W.; Qi, Y.; et al. Biomass production and carbon stocks in poplar-crop agroforestry chronosequence in subtropical central China. Plants 2023, 12, 2451. [Google Scholar] [CrossRef]
- Blujdea, V.N.B.; Pilli, R.; Dutca, I.; Ciuvat, L.; Abrudan, I.V. Allometric biomass equations for young broadleaved trees in plantations in Romania. For. Ecol. Manag. 2012, 264, 172–184. [Google Scholar] [CrossRef]
- Shi, L.; Liu, S.R. Methods of estimating forest biomass: A review. In Biomass Volume Estimation and Valorization for Energy; Jaya Shankar, T., Ed.; IntechOpen: Rijeka, Croatia, 2017; pp. 23–46. [Google Scholar]
- Edwards, T.C., Jr.; Cutler, D.R.; Zimmermann, N.E.; Geiser, L.; Alegria, J. Model-based stratifications for enhancing the detection of rare ecological events. Ecology 2005, 86, 1081–1090. [Google Scholar] [CrossRef]
- Gregoire, T.G.; Valentine, H.T.; Furnival, G.M. Sampling methods to estimate foliage and other characteristics of individual trees. Ecology 1995, 76, 1181–1194. [Google Scholar] [CrossRef]
- Poudel, K.P.; Temesgen, H.; Gray, A.N. Evaluation of sampling strategies to estimate crown biomass. For. Ecosyst. 2015, 2, 14–25. [Google Scholar] [CrossRef]
- Basuki, T.M.; van Laake, P.E.; Skidmore, A.K.; Hussin, Y.A. Allometric equations for estimating the above-ground biomass in tropical lowland Dipterocarp forests. For. Ecol. Manag. 2009, 257, 1684–1694. [Google Scholar] [CrossRef]
- Zeng, W. Developing tree biomass models for eight major tree species in China. In Biomass Volume Estimation and Valorization for Energy; Jaya Shankar, T., Ed.; IntechOpen: Rijeka, Croatia, 2017; pp. 3–21. [Google Scholar]
- Xu, Z.; Du, W.; Zhou, G.; Qin, L.; Meng, S.; Yu, J.; Sun, Z.; SiQing, B.; Liu, Q. Aboveground biomass allocation and additive allometric models of fifteen tree species in northeast China based on improved investigation methods. For. Ecol. Manag. 2022, 505, 119918. [Google Scholar] [CrossRef]
- Zhao, D.; Kane, M.; Markewitz, D.; Teskey, R.; Clutter, M. Additive tree biomass equations for midrotation loblolly pine plantations. For. Sci. 2015, 61, 613–623. [Google Scholar] [CrossRef]
- Zheng, C.; Mason, E.G.; Jia, L.; Wei, S.; Sun, C.; Duan, J. A single-tree additive biomass model of Quercus variabilis Blume forests in North China. Trees 2015, 29, 705–716. [Google Scholar] [CrossRef]
- GB/T 43648-2024; Tree Biomass Models and Related Paraments to Carbon Accounting for Major Tree Species. Standardization Administration of China (SAC): Beijing, China, 2024.
- Schouwenburg, J.C.V. Comparison of methods for the determination of calcium in plant material. Neth. J. Agric. Sci. 1961, 9, 181–187. [Google Scholar] [CrossRef]
- Henningsen, A.; Hamann, J.D. systemfit: A package for estimating systems of simultaneous equations in R. J. Stat. Softw. 2007, 23, 1–40. [Google Scholar] [CrossRef]
- Zhao, D.; Westfall, J.; Coulston, J.W.; Lynch, T.B.; Bullock, B.P.; Montes, C.R. Additive biomass equations for slash pine trees: Comparing three modeling approaches. Can. J. For. Res. 2019, 49, 27–40. [Google Scholar] [CrossRef]
- Jucker, T.; Caspersen, J.; Chave, J.; Antin, C.; Barbier, N.; Bongers, F.; Dalponte, M.; van Ewijk, K.Y.; Forrester, D.I.; Haeni, M.; et al. Allometric equations for integrating remote sensing imagery into forest monitoring programmes. Glob. Chang. Biol. 2017, 23, 177–190. [Google Scholar] [CrossRef]
- Zhang, Q.; Wang, C.; Wang, X.; Quan, X. Carbon concentration variability of 10 Chinese temperate tree species. For. Ecol. Manag. 2009, 258, 722–727. [Google Scholar] [CrossRef]
- Zhou, G.; Liu, Q.; Xu, Z.; Du, W.; Yu, J.; Meng, S.; Zhou, H.; Qin, L.; Shah, S. How can the shade intolerant Korean pine survive under dense deciduous canopy? For. Ecol. Manag. 2020, 457, 117735. [Google Scholar] [CrossRef]
- Poorter, H.; Nagel, O.W. The role of biomass allocation in the growth response of plants to different levels of light, CO2, nutrients and water: A quantitative review. Aust. J. Plant Physiol. 2000, 27, 595–607. [Google Scholar]
- Walters, M.B.; Reich, P.B. Seed size, nitrogen supply, and growth rate affect tree seedling survival in deep shade. Ecology 2000, 81, 1887–1901. [Google Scholar] [CrossRef]
- Poorter, H.; Niklas, K.J.; Reich, P.B.; Oleksyn, J.; Poot, P.; Mommer, L. Biomass allocation to leaves, stems and roots: Meta-analyses of interspecific variation and environmental control. New Phytol. 2012, 193, 30–50. [Google Scholar] [CrossRef]
- Howe, G.T.; Aitken, S.N.; Neale, D.B.; Jermstad, K.D.; Chen, T.H.H. From genotype to phenotype: Unraveling the complexities of cold adaptation in forest trees. Can. J. Bot. 2003, 81, 1247–1266. [Google Scholar] [CrossRef]
- Collalti, A.; Todaro, L.; Rita, A. Growth and allocation of woody biomass in forest trees based on environmental conditions. Forests 2021, 12, 154. [Google Scholar] [CrossRef]
- Grime, J.P. Vegetation classification by reference to strategies. Nature 1974, 250, 26–31. [Google Scholar] [CrossRef]
- Zhang, Y.S.; Meiners, S.J.; Meng, Y.N.; Yao, Q.; Guo, K.; Guo, W.Y.; Li, S.P. Temporal dynamics of Grime’s CSR strategies in plant communities during 60 years of succession. Ecol. Lett. 2024, 27, e14446. [Google Scholar] [CrossRef] [PubMed]
- Bird, S.; Coulson, R.N.; Crossley, D.A. Impacts of silvicultural practices on soil and litter arthropod diversity in a Texas pine plantation. For. Ecol. Manag. 2000, 131, 65–80. [Google Scholar] [CrossRef]
- Yu, Z.; Liu, S.; Li, H.; Liang, J.; Liu, W.; Piao, S.; Tian, H.; Zhou, G.; Lu, C.; You, W.; et al. Maximizing carbon sequestration potential in Chinese forests through optimal management. Nat. Commun. 2024, 15, 3154. [Google Scholar] [CrossRef]
- Chave, J.; Andalo, C.; Brown, S.; Cairns, M.A.; Chambers, J.Q.; Eamus, D.; Fölster, H.; Fromard, F.; Higuchi, N.; Kira, T.; et al. Tree allometry and improved estimation of carbon stocks and balance in tropical forests. Oecologia 2005, 145, 87–99. [Google Scholar] [CrossRef]
- Sixto, H.; Cañellas, I.; van Arendonk, J.; Ciria, P.; Camps, F.; Sánchez, M.; Sánchez-González, M. Growth potential of different species and genotypes for biomass production in short rotation in Mediterranean environments. For. Ecol. Manag. 2015, 354, 291–299. [Google Scholar] [CrossRef]






| Statistics | DBH | H | Bf | Bb | Bs | Br | Bt |
|---|---|---|---|---|---|---|---|
| Mean | 19.7 | 17.3 | 14.85 | 38.61 | 148.04 | 54.13 | 255.64 |
| Min | 5.2 | 3.2 | 0.39 | 0.55 | 0.47 | 0.47 | 2.21 |
| Max | 59.1 | 31.1 | 147.28 | 602.70 | 1189.68 | 667.30 | 2607.00 |
| SD | 9.6 | 6.5 | 19.12 | 59.83 | 176.34 | 74.74 | 319.56 |
| Statistics | DBH | H | Bf | Bb | Bs | Br | Bt |
|---|---|---|---|---|---|---|---|
| Mean | 19.5 | 17.2 | 14.83 | 38.85 | 142.25 | 53.49 | 249.42 |
| Min | 5.2 | 3.2 | 0.39 | 0.55 | 0.47 | 0.47 | 2.21 |
| Max | 59.1 | 31.1 | 147.28 | 602.74 | 1189.68 | 667.30 | 2607.00 |
| SD | 9.7 | 6.7 | 20.49 | 68.62 | 177.61 | 80.02 | 337.82 |
| Source | Origin | Components | Model | a | b | c |
|---|---|---|---|---|---|---|
| [33] | Plantation | Above | B = aDBHbHc | 0.047 | 2.125 | 0.592 |
| Root | 0.024 | 2.311 | 0.085 |
| Models | Components | a | b | c | RMSE | MAPE (%) | Weight Function | BP Test | ||||
|---|---|---|---|---|---|---|---|---|---|---|---|---|
| Estimate | SE | Estimate | SE | Estimate | SE | (p-Value) | ||||||
| MS1 | Foliage | 0.018 *** | 4.248 × 10−10 | 2.184 *** | 6.657 × 10−9 | - | - | 0.856 | 7.789 | 61.576 | 1/DBH1.06 | 0.397 |
| Branch | 0.003 *** | 2.682 × 10−11 | 2.975 *** | 2.538 × 10−9 | - | - | 0.903 | 22.654 | 43.484 | 1/DBH1.01 | 0.570 | |
| Stem | 0.212 *** | 5.157 × 10−10 | 2.127 *** | 6.709 × 10−10 | - | - | 0.962 | 39.370 | 70.562 | 1/DBH1.17 | 0.557 | |
| Root | 0.010 *** | 6.667 × 10−11 | 2.718 *** | 1.859 × 10−9 | - | - | 0.924 | 22.475 | 33.011 | 1/DBH1.03 | 0.545 | |
| Total | - | - | - | - | - | - | 0.980 | 54.380 | 27.597 | 1/DBH1.12 | 0.626 | |
| MS2 | Foliage | 0.027 *** | 1.901 × 10−3 | 1.905 *** | 1.550 × 10−2 | 0.171 *** | 2.655 × 10−2 | 0.861 | 7.694 | 57.014 | 1/DBH1.09 | 0.426 |
| Branch | 0.012 *** | 4.430 × 10−4 | 2.947 *** | 5.207 × 10−3 | −0.429 *** | 1.173 × 10−2 | 0.904 | 23.383 | 41.372 | 1/DBH1.00 | 0.674 | |
| Stem | 0.028 *** | 2.618 × 10−4 | 2.074 *** | 1.611 × 10−3 | 0.704 *** | 3.035 × 10−3 | 0.982 | 30.049 | 23.821 | 1/DBH1.07 | 0.518 | |
| Root | 0.046 *** | 1.072 × 10−3 | 2.645 *** | 3.862 × 10−3 | −0.414 *** | 7.861 × 10−3 | 0.928 | 21.220 | 34.991 | 1/DBH1.00 | 0.589 | |
| Total | - | - | - | - | - | - | 0.983 | 51.391 | 20.093 | 1/DBH1.00 | 0.520 | |
| Source | Origin | Components | MAE |
|---|---|---|---|
| This study | Plantation | Above | 24.395 |
| Root | 14.000 | ||
| Total | 33.366 | ||
| [33] | Plantation | Above | 29.377 |
| Root | 16.213 | ||
| Total | 36.166 |
| Components | N | Carbon Content (Mean ± SD) |
|---|---|---|
| Foliage | 225 | 47.14 ± 2.07 a |
| Branch | 225 | 47.26 ± 2.48 a |
| Stem | 225 | 47.67 ± 2.21 a |
| Root | 225 | 46.37 ± 2.78 b |
Disclaimer/Publisher’s Note: The statements, opinions and data contained in all publications are solely those of the individual author(s) and contributor(s) and not of MDPI and/or the editor(s). MDPI and/or the editor(s) disclaim responsibility for any injury to people or property resulting from any ideas, methods, instructions or products referred to in the content. |
© 2024 by the authors. Licensee MDPI, Basel, Switzerland. This article is an open access article distributed under the terms and conditions of the Creative Commons Attribution (CC BY) license (https://creativecommons.org/licenses/by/4.0/).
Share and Cite
Yin, M.; Gao, T.; Zhao, Y.; Ni, R.; Zheng, P.; Zhao, Y.; Zhang, J.; Li, K.; Li, C. Carbon Stock Estimation of Poplar Plantations Based on Additive Biomass Models. Forests 2024, 15, 1829. https://doi.org/10.3390/f15101829
Yin M, Gao T, Zhao Y, Ni R, Zheng P, Zhao Y, Zhang J, Li K, Li C. Carbon Stock Estimation of Poplar Plantations Based on Additive Biomass Models. Forests. 2024; 15(10):1829. https://doi.org/10.3390/f15101829
Chicago/Turabian StyleYin, Minglong, Ting Gao, Yuhao Zhao, Ruiqiang Ni, Peijin Zheng, Yuyao Zhao, Jinshan Zhang, Kun Li, and Chuanrong Li. 2024. "Carbon Stock Estimation of Poplar Plantations Based on Additive Biomass Models" Forests 15, no. 10: 1829. https://doi.org/10.3390/f15101829
APA StyleYin, M., Gao, T., Zhao, Y., Ni, R., Zheng, P., Zhao, Y., Zhang, J., Li, K., & Li, C. (2024). Carbon Stock Estimation of Poplar Plantations Based on Additive Biomass Models. Forests, 15(10), 1829. https://doi.org/10.3390/f15101829

