Abstract
When wood is thermally modified, several chemical reactions take place that change the chemical and physical properties of the wood. These changes correlate with the degree of modification, which is mostly a function of the temperature and duration of modification, and consequently with the mass loss during this process. There is a lack of standardised quality control to verify the degree of heat treatment of wood and thus its quality. One of the possible methods to check the degree of thermal modification of a particular type of wood is thermogravimetry (TG). It is based on the assumption that processes that did not take place during thermal modification continue when the TG experiment is carried out. In this method, calibration curves have to be established based on TG measurements of standard samples that have been thermally modified at different temperatures and whose mass loss during modification is known. The calibration curves show the mass loss during the TG measurement as a function of the mass loss during the previous thermal modification. The course of thermal decomposition during the TG measurements is influenced by many parameters, such as the mass of the sample, the heating rate, the atmosphere in which the measurement takes place, and the shape of the crucible in which the sample is placed. In this paper, the influence of these parameters on the calibration curves was investigated. We have focused on oak wood. The best parameters result in a calibration curve with the largest correlation coefficient R2 and the highest slope of the line k. On this basis, we can determine the mass loss during the thermal modification of unknown samples of the same wood species under the same measurement conditions.
1. Introduction
Most European wood species begin to decay when exposed to temperatures above freezing and increased moisture content in the range of fibre saturation. Decomposition processes are desirable in nature, but when wood is used for commercial purposes, we want to slow down these processes as much as possible. In the past, mainly biocides and more durable tropical wood species were used, but these solutions are increasingly undesirable due to growing environmental awareness. One of the possible approaches for non-biocidal wood protection is thermal modification. During the modification process, wood is exposed to elevated temperatures (between 170 °C and 240 °C) under semi-anoxic conditions (either in a vacuum, in an inert atmosphere, in water vapour, or in hot oil) []. During this process, several chemical changes take place in the main components of the cell wall (hemicelluloses, cellulose, and lignin), which permanently alter the properties of the wood. The changes are reflected in lower equilibrium moisture content, better dimensional stability, and increased resistance to wood-degrading organisms, but on the other hand, mechanical properties may also deteriorate [].
The process of thermal modification reflects a strong ability to expand markets for forest products and to create new ones, particularly regarding underutilised and low-valued species from local certified forests. According to literature data, [] thermal modification processes are mainly carried out on low-durability wood species from the northern hemisphere. However, some companies modify some durable European species as well to improve some relevant properties, like colour and/or dimensional stability. For example, thermally modified wood is utilised for window and flooring applications []. Most commonly, thermally modified wood is used for non-structural exterior applications such as claddings and decking, fences, and garden furniture. However, it can also be used for interior decorative purposes as it also changes colour during modification [].
For a more detailed description of the processes that occur during thermal modification, a brief description of wood polymers is necessary. The main structural component of a wood cell wall is the cellulose skeleton, whose content ranges between 40% and 46% in softwood and between 44% and 49% in hardwood []. Cellulose is a homopolysaccharide consisting of β-D-glucopyranose units linked by (1–4)-glycosidic bonds. Cellulose molecules form intra- and intermolecular hydrogen bonds that connect them to form microfibrils in which crystallised regions alternate with amorphous regions. The degree of polymerization of cellulose in the cell wall is up to about 10,000. The crystallites in which the cellulose molecules run in parallel are 30 nm to 60 nm long. Hemicelluloses or polyoses are non-cellulosic polysaccharides, which, in contrast to cellulose, consist of different sugar units (various pentoses and hexoses and sometimes glucuronic acid molecules). The degree of polymerisation of their molecular chains is up to 200, so they are much shorter and more branched. Hemicelluloses can be hydrolysed into their monomeric components relatively easily; their content in softwoods is somewhat lower (between 26% and 33%) than in hardwoods (27%–34%) []. Lignin is a three-dimensional polymer composed of phenylpropane units. Lignin is deposited in the intercellular and interfibrillar spaces of the cell wall after cellulose and hemicellulose have already been deposited. On average, its content is higher in conifers (e.g., 28% in spruce) than in hardwoods (between 22% and 25% in oak hardwood) [].
In terms of thermal stability, hemicelluloses are the least stable wood polymer, which only begin to decompose when heat treated at about 180 °C []. Sikora et al. showed that hemicellulose content decreased during thermal treatment of spruce and oak at 160 °C []. Gaff et al. supported this observation for four tropical wood species []. TG analysis indicated that some side chains of hemicelluloses were already cleaved at 180 °C [].
Acetic acid is released from the hemicellulose (the acetate groups are bound to the hemicelluloses in the form of an ester), which lowers the pH of the wood. The content of acetyl groups in wood depends on the wood species and varies on average between 1% and 6% []. The release of acetic acid, which catalyses the depolymerisation of carbohydrates, mainly causes the depolymerisation of hemicellulose chains into smaller units. This phenomenon has been reported in both softwoods and hardwoods, including oak []. At elevated temperatures, a higher decrease in hemicelluloses was determined in oak wood (58.86%) than in spruce wood (37.40%). In spruce wood, the thermal stability declines in the following order: mannose > xylose~galactose > arabinose. On the other hand, in oak hardwood, the least stable saccharides were galactose, arabinose, and mannose, which were almost completely decomposed by thermal modification []. The less ordered, amorphous cellulose is also deacetylated and decomposed, decreasing the mechanical strength of the wood. In this temperature range, intramolecular dehydration also occurs, leading to the formation of furfural-like compounds [].
Since mainly hemicellulose and amorphous cellulose are degraded at the beginning of the heat treatment, the degree of crystallinity of the heat-treated wood increases. X-ray diffraction analysis shows that crystalline cellulose in wood only decomposes at about 320 °C []. This temperature is not reached during heat treatment [].
With heat treatment above 200 °C, the lignin content also increases due to the decreasing carbohydrate content. For oak wood, thermal treatment leads to an increase in carbonyl groups in lignin together with the splitting of aliphatic side chains and demethoxylation []. Cleavage of the -OCH3 groups during the demethoxylation of lignin causes an increase in the free reactive sites on the aromatic rings of lignin and condensation of individual lignin units via methylene bridges. Electron spin resonance showed a sharp increase in stable free radicals in heat-treated wood []. These are formed during the demethoxylation of lignin. Reactive free radicals lead to cross-linking reactions of lignin (autocondensation) and lignin with other wood components []. The proportion of these reactions is small, but they are important due to a cross-linked lignin–carbohydrate complex formation, which reduces hygroscopicity and increases the dimensional stability of the wood []. In addition, it was reported in oak wood that the predominance of lignin degradation is evident at lower temperatures; cleavage of alkyl side chains already occurs at 180 °C []. Higher temperatures catly condensation reactions and molecular weight increases []. The reduced hygroscopicity and increased dimensional stability after thermal treatment are explained by the fact that the cellulose microfibres are surrounded by a harder and less elastic wrap due to the increased cross-linking with the lignin complex []. In this form, the cellulose microfibers have a lower ability to absorb water between the cellulose chains, which prevents cell wall swelling. A small contribution to the reduction in hygroscopicity is also made by the released acetic acid, which binds with an ester bond to the free hydroxyl groups of the wood components, which are no longer available to bind water molecules []. However, the main contribution to the reduction in hygroscopicity is the degradation of hemicellulose, the most hydrophilic component of wood, which is partially selectively converted into a hydrophobic network during heat treatment. The gradually darker colour of the wood, which is more noticeable with more intensive heat treatment, results from the formation of oxidised decomposition products such as quinones [].
All of the above changes in wood properties tend to correlate well with mass loss or the degree of modification, which depends largely on the temperature and modification duration []. These two parameters can be monitored and changed during this process. Candelier et al. used Thermogravimetry–Simultaneous Thermal Analysis (TG–STA), a simultaneous technique which enables the detection of mass changes and enthalpy effects for studying wood thermal degradation during wood heat treatment. Special emphasis was put on the kinetics of thermal degradation. Beech and Silver fir were measured under a helium atmosphere at different temperatures from 180 °C to 280 °C and for different times. The results showed that mass losses generated from thermal degradation and calorific values as a function of thermal treatment intensity were dependent on time and temperature []. In general, mass loss that occurs during heat treatment depends, besides wood species, on process conditions such as drying step, heating medium and treatment intensity (temperature and duration) []. Chaouch compared the mass losses between hardwood and softwood species during heat treatment, performed under a nitrogen atmosphere []. The results showed that the kinetics of the mass loss during the heat treatment is strongly dependent on the wood composition and especially its content of acetyl groups. Independently of the wood species used, wood samples become totally resistant to fungi decay at mass losses of around 15%.
Another use of thermogravimetry for studying thermally treated wood samples was used for Norway spruce; deconvoluted DTG curves were used in a highly accurate multivariate statistical approach for predictions of compositional information, including carbon, hydrogen and oxygen concentrations, the volatile content and the heating value []. The evolution of gas components during pyrolysis of beech wood was investigated using coupled thermogravimetric/Fourier transform infrared spectrometry analysis (TG–FTIR). The heating rate had little influence on the gas composition. The five components produced in the order of most to least produced are formaldehyde as the largest, followed by CO2 or methanol evolution, methane and CO []. Two coupled techniques, thermogravimetry–mass spectrometry (TG–MS) [] and TG–FTIR [] were used for the rapid characterisation of volatile compounds produced by the pyrolysis of lignins. Fenner et al. showed that formaldehyde was detected at a temperature of about 180–300 °C. These findings were supported by later studies where, besides the TG–FTIR technique, the doubly hyphenated pyrolysis–gas chromatography/mass spectrometry (Py–GC/MS) technique was also used []. It was found that maple (hardwood) lignin contained more methoxyl groups than Chinese fir (softwood) lignin due to the enrichment of syringol units. Both doubly hyphenated methods in thermal analysis (TG–GC/MS and TG–GC/FTIR) were used for the first time in 1993 to detect gaseous products during the pyrolysis of wood []. A review paper by Zelinka et al. gives many ideas for further use of different simultaneous or coupled thermoanalytical methods for studying processes and materials in different wood functionalisation technologies (dimensional stability by thermomechanical analysis; hygroscopicity/liquid water absorption by TG and DSC; surface charring with DSC–optical microscopy preparation of resin-treated wood by high-pressure DSC; fire protection with TG–MS and DSC–optical microscopy) [].
In practice, users are often confronted with problems related to the quality of modified wood, e.g., poor mechanical properties, and complain mainly about the lack of appropriate quality control of thermally modified wood. There is a lack of standardised quality control methods for the determination of the degree of heat treatment of the wood and thus its quality [].
Thermogravimetry could be one of the appropriate techniques for subsequent determination of the mass loss of a single wood specimen, which takes place during the thermal modification process. The proposed method assumes that processes that did not occur during thermal modification continue during heating when the TG experiment is performed. First, calibration curves for standard samples have to be established. TG measurements of the prepared samples for which the mass loss during thermal modification is known (standard samples) are performed, and then the mass loss within a certain but equal temperature range during TG measurement is plotted against the mass loss during thermal modification. The latter parameter is determined by weighing the dried samples before and after modification. Thereafter, milled and sieved samples are prepared for the thermogravimetric measurements [,].
It is known that several factors divided into instrumental parameters (heating rate, type of atmosphere—inert, reducing or oxidising, geometry of the crucible and the furnace, crucible material) and sample parameters (mass of the sample, particle size, thermal conductivity, enthalpy of reaction) influence the course of thermal decomposition during the TG measurement. One of the most important instrumental parameters is the heating rate. A lower heating rate lowers the initial and final decomposition temperature. This is because at lower heating rates, the sample follows the temperature of the furnace, while at higher heating rates, there is a delay between them. The atmosphere surrounding the sample can significantly affect the TG results. The effect of the atmosphere on the mass change curve depends on the type of reaction, the type of decomposition products, and the type of atmosphere used. The sample mass and particle size are the two main parameters that also strongly influence the thermal decomposition. A small sample mass and particle size with a narrow size distribution will prevent a temperature gradient within the sample. Gaseous species also have a shorter diffusion length and can quickly reach the surface of the solid phase to develop. Both of these factors increase the resolution of the measured curves. Under constant parameters, the TG curve is a fingerprint of the sample, similar to an infrared spectrum [,].
The objective of this study was to determine the optimal parameters (heating rate, sample mass, atmosphere, crucible type) that can be used when thermogravimetry is chosen to determine the degree of thermal treatment of an unknown sample.
2. Materials and Methods
Twelve pedunculate oak (Quercus robur) rectangles measuring 2 cm × 2 cm × 1 cm were placed in Petri dishes and placed in a drier (Binder, Tittlingen, Germany), where they were dried at a temperature of 102 °C for 18 h. After drying, they were cooled in a desiccator, weighed, wrapped tightly in aluminium foil (two rectangles for each modification temperature), and placed in a dryer preheated to a specific temperature (170 °C, 180 °C, 190 °C, 200 °C, 205 °C, and 210 °C), where they were isothermally heated at the selected temperature for three hours. Two samples were left untreated. After heat treatment, the samples were placed in a desiccator to cool, unwrapped from the aluminium foil, and reweighed. The difference in mass of the dry samples before and after heat treatment was used to calculate the mass change and percent of the mass loss. Table 1 shows the average mass loss of the two parallels for each heat treatment temperature. The rectangles were then cut into small pieces, milled using a Retsch ZM 2000 centrifugal mill (Retsch, Haan, Germany), and then sieved to obtain particles smaller than 1 mm. The untreated samples were also prepared in the manner described above.
Table 1.
Dependence of the mass loss of pedunculate oak rectangles during the thermal modification process at different temperatures (t = 3 h). Average value of the two parallels is given.
Dynamic thermogravimetric measurements were performed on a Mettler Toledo TGA/DSC 1 instrument (Mettler Toledo, Greifensee, Switzerland) in a temperature range from 25 °C to 600 °C under a dynamic gas flow. The following parameters affecting the course of thermal decomposition were studied:
- nitrogen or air flow (flow rate of 100 mL/min),
- heating rate (5 °C/min or 10 °C/min),
- the initial masses of the samples (about 5 mg or about 10 mg),
- the shape of the crucible (150 μL Pt crucible with a diameter of 7.3 mm or narrower 100 μL Al crucible with a diameter of 6.0 mm). The height of both crucibles is the same, 4.2 mm.
Before starting the measurements, we measured the baseline of the empty crucible under the same measurement conditions (same heating rate, same gas type, and same gas flow). The baseline was automatically subtracted from the other measurements. The data collection and analysis were performed using the program package STARe Software 17.0 (STARe, Software 17.0, Mettler-Toledo GmbH, 2023) and Origin 2017 (OriginLab Corporation, Northampton, MA, USA).
The xylotomic cross-sectional plane images were taken on polished spruce, beech and oak samples. Examination was carried out using an Olympus DSX1000 digital microscope (Olympus, Tokyo, Japan), with all images taken in a mixture of bright and dark fields.
3. Results and Discussion
Figure 1a shows the progression of the TG curves of a sample (shown on a normalised scale, therefore the mass is given in %) previously heat treated at 170 °C and measured under different conditions. In the first step, up to about 120 °C, weakly bound water (moisture) evaporates from the samples, while in the second step, from 200 °C to about 350 °C, decomposition of hemicelluloses, cellulose and lignin takes place. In the last step, the rest of the organic matter continues to decompose slowly. From this figure, it can be seen that parameters such as the type of atmosphere and the shape of the crucible (its diameter) have a greater influence on the mass loss during thermal decomposition, while the different mass on a scale of this magnitude (initial mass of about 5 mg or 10 mg) has almost no influence on the course of thermal decomposition. The lowest mass loss is observed for the sample in a narrow (aluminium) crucible since the diffusion path was longer in this case. As expected, the organic matter thermally completely decomposes up to 500 °C under an air atmosphere (blue curve).
Figure 1.
Effect of different measurement conditions over the course of thermal decomposition for unmodified oak wood (a); magnification of these curves in a temperature range from 130 °C to 300 °C (b). In (b), the curves shown in (a) were set to the same starting point of 130 °C.
Figure 1b is an enlargement of Figure 1a from 130 °C to 300 °C; the curves presented in Figure 1a were set to the same starting point (mass) at 130 °C in order to better recognise the differences between the samples measured under different measurement conditions. Thermal decomposition of wood is fastest in an air atmosphere (blue curve), while it is slowest in a nitrogen atmosphere and in a narrow crucible (green curve). The purple curve, where the heating rate was higher (10 °C/min), indicates that the sample had less time to decompose, so the degree of decomposition is also lower. It can also be seen from this figure that within this temperature interval (from 130 °C to 270 °C, from 130 °C to 280 °C and from 130 °C to 290 °C), the differences in mass loss between the individual measurement conditions are pronounced.
Thermally treated samples rehydrated when exposed to ambient atmosphere. Samples with lower degrees of modification have a higher content of hemicelluloses. They are more hydrophilic and show a higher tendency to adsorb moisture. The TG curve of this type of sample shows a greater mass loss from room temperature up to 130 °C, where the dehydration process is complete. Figure 2a shows TG curves of milled oak samples modified at different temperatures (for clarity, the temperature range is shown from 25 °C to 150 °C). The curves were measured at a heating rate of 5 °C/min under a nitrogen atmosphere, and the initial masses were about 10 mg. Before the measurements, approximately 10 mg of the milled sample was weighed into the 100 μL aluminium crucible and placed in a humidity-controlled chamber for 3 days. The chamber contained a saturated KNO3 solution at approximately 98% humidity at room temperature []. After humidification, the samples were quickly hermetically sealed with a lid that was pierced with a needle just before measurement. In this way, we were able to avoid mass changes due to fluctuations in ambient humidity.
Figure 2.
TG curves of differently thermally treated oak samples, after thermally treated samples were milled and rehydrated in a chamber with constant moisture. Heating rate was 5 °C/min, initial masses of samples were around 10 mg (a); mass loss in a temperature range from room temperature to 130 °C (values obtained from TG measurements) versus mass loss during thermal treatment (b). Blue circles represent average value of the two parallel measurements, whereas black stars represent each separate value.
Figure 2b shows the dependence of the mass loss during TG measurements (in a temperature range from 25 °C to 130 °C) on the mass loss in the previous thermal treatment. The dependence is not linear. Besides this fact, there are several other reasons why the above-mentioned temperature range is probably not ideal for the construction of the calibration curves, e.g.,: (i) the differences between samples thermally treated to a higher degree are smaller [,], (ii) the experiment should be carefully performed to ensure constant humidity in the humidity chamber (which also depends on the temperature) and the possibility of various systematic and random errors. One of the possible systematic error scenarios would be that the samples had not yet reached equilibrium moisture content prior to measurement; therefore, we would obtain insufficient values for mass loss during dehydration. A random error, on the other hand, would be incomplete sealing of the lid on the crucible, which could occur when the sample is waiting on the instrument’s autosampler and already loses some of the bound moisture before measurement.
For the reasons described above, we focused on the influence of the measurement parameters on the calibration curves showing the mass loss in TG measurements in a higher temperature range (when loosely bound water has already evaporated from the sample, up to a temperature where maximum differences between samples treated with different thermal treatments occur) compared to the mass loss in the previous thermal treatment. For this reason, the TG curves are set to the same starting point of 130 °C [,].
Figure 3a shows a photograph of milled and sieved oak samples, previously thermally modified at different temperatures (from 170 °C to 210 °C) for three hours.
Figure 3.
Photograph of differently thermally modified oak wood milled samples (a); influence of some measurement conditions on the course of thermal decomposition for samples, previously modified at 170 °C and 210 °C. The heating rate was 5 °C/min, while the mass of the samples was about 10 mg (b).
Figure 3b shows the effects of nitrogen and oxidising (air) atmospheres and the influence of the shape of the crucible on the course of thermal decomposition. The heating rate was 5 °C/min, while the masses of the samples were about 10 mg. The samples were previously modified at 170 °C and 210 °C. For all three pairs, it can be seen that the mass loss was greater for the sample heat treated at a lower temperature, i.e., 170 °C. In the samples treated at a higher temperature (210 °C), the decomposition processes of hemicelluloses, cellulose and lignin have already occurred during the modification treatment itself, so the mass loss in the thermogravimetric analysis is lower. The greatest mass loss occurred in an oxidising (air) atmosphere. The mass loss was lower for samples in an inert nitrogen atmosphere. Again, the influence of the shape of the crucible on the course of decomposition is evident.
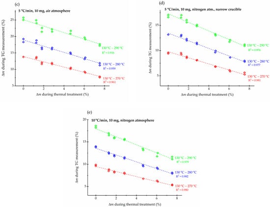
From the data obtained, we calculated the mass loss for each sample in the temperature intervals between 130 °C and 270 °C, 130 °C and 280 °C, and 130 °C and 290 °C. For each measurement, variables such as heating rate, sample mass, atmosphere, and crucible shape were changed and their effects on mass loss during the TG measurements were observed. The data (average value of two determinations) are summarised in Table 2, which gives the average of two parallels. Based on this table, we created calibration lines (Figure 4a–e).
Table 2.
Mass losses during TG measurement of oak samples thermally pre-modified at different temperatures. A series of samples were measured under different conditions listed in the row before the data.

Figure 4.
(a–e) Calibration curves (dependence of sample mass loss on mass loss during previous thermal treatment) under different conditions of TG measurements and different temperature ranges, i.e., from 130 °C to 270 °C, from 130 °C to 280 °C and from 130 °C to 290 °C, respectively.
From Figure 4, we can see that the calibration curves have a linear dependence. The largest mass losses were observed in the range between 130 °C and 290 °C, and the smallest between 130 °C and 270 °C. The most significant correlation coefficients R2 were obtained with the nitrogen flow and in the temperature range from 130 °C to 280 °C, except when the measurements were performed in narrow aluminium crucibles. In this case, and for measurements in the air flow, a better correlation coefficient was obtained in the temperature range between 130 °C and 270 °C. A comparison of the obtained calibration lines with the optimal temperature range of TG measurements (from 130 °C to 280 °C) is shown in Figure 5.
Figure 5.
Calibration lines in the temperature range 130 °C to 280 °C (values obtained from the mass loss in this temperature region from TG measurements) under different measuring conditions and a heating rate of 5 °C/min (a) and in the temperature range from 130 °C to 280 °C for a sample mass of 10 mg in a nitrogen flow at a heating rate of 5 °C/min and 10 °C/min (b).
Table 3 summarises the equations of the calibration curves for the temperature ranges considered under different measurement conditions.
Table 3.
Equations of the calibration curves for the individual temperature ranges under different conditions.
The higher the value of the linear coefficient k of the line, the steeper the line, which means that there are greater differences between the samples having a different modification degree in a chosen temperature range of TG measurements.
Figure 5a shows that between lines, obtained from the mass loss of TG curves in a range from 130 °C to 280 °C and at a heating rate of 5 °C/min, the cyan curve has the largest linear coefficient (−0.94). The initial mass of the samples was 10 mg, and TG measurements were performed in an air atmosphere. This confirms the assumption that the sample decomposes faster in air. Samples with initial masses of 5 mg and 10 mg in a nitrogen flow have similar linear coefficients (−0.90 and −0.87, respectively). The smallest linear coefficient (−0.75) was obtained during the measurements in narrow crucibles. During the TG measurement, the weight of this sample decreased the least, and the smallest differences were observed between the differently thermally modified samples.
In Figure 5b, we compared the linear coefficients of the calibration curves of samples, obtained from the TG measurements in the temperature range from 130 °C to 280 °C with an initial mass of 10 mg in a nitrogen flow. The only variable parameter was the heating rate. The calibration lines show that a higher linear coefficient is obtained in the case of a slower heating rate of 5 °C/min since more time was available for the chemical reactions to occur.
In the end, we were interested in comparing the calibration lines for three different wood species: Norway spruce (Picea abies), European beech (Fagus sylvatica) and pedunculate oak (Quercus robur). The results for the first two species have already been published [,]. They are shown in Figure 6a; for all three samples, the left axis represents the mass loss in TG measurements in the temperature range between 130 °C and 280 °C. The starting point and slope of the lines for spruce and beech wood are similar, while a slightly lower mass loss in this temperature range is exhibited by the spruce samples (compared to beech wood, thermally treated to the same degree; the latter has a slightly lower content of hemicelluloses and cellulose and a higher content of lignin—Table 4). However, the oak samples show significantly higher mass losses. The lignin content is the highest in these samples, while the hemicellulose content is the lowest—see Table 4. The mass loss is attributed mainly to the loss of hemicelluloses, which are considered to be the most thermally sensitive components of wood cell wall polymers, and it is greater for hardwoods compared to softwoods treated under identical conditions. Degradation of hemicelluloses has been observed at temperatures around 100 °C when wood was heated for extended periods of time (48 h) []. The reasons for explaining such a behaviour might lie in the morphology of the wood; oak wood has many pores with elongated shapes, up to 300 μm in their largest dimension (Figure 6b). The other reason could be that during the TG measurements in this temperature range (130–280 °C), lignin predominantly decomposes [].
Figure 6.
A comparison of calibration lines for spruce, beech and oak wood in the temperature range of TG measurements from 130 °C to 280 °C. Measurements were performed with a heating rate of 5 °C/min under nitrogen atmosphere, initial sample masses were around 10 mg (a); xylotomic cross-sectional plane images of a spruce, beech and oak (b).
Table 4.
The main components of the cell walls [].
4. Conclusions
The results of previous publications show that thermogravimetric analysis could become one of the methods for determining the degree of thermal modification of different wood species. The method is based on the construction of calibration curves of standard samples, where the mass loss during heat treatment is known. The right axis of these curves shows the mass loss during thermal modification, and the ordinate shows the mass loss during TG measurement in a given temperature interval. The highest mass loss during TG measurement is exhibited by samples that have undergone thermal modification at lower temperatures since only a few thermally induced processes have taken place during the previous heat treatment. The course of the calibration curves is also influenced by parameters of TG measurements such as the mass of the sample, the heating rate, the atmosphere, and the shape of the crucible in which the sample is placed. The aim of this study was to determine their influence on the correlation and linear coefficients, and thus to determine the optimal conditions for creating the calibration curve for the oak species.
We constructed calibration curves for which the mass loss in different temperature intervals (130–270 °C, 130–280 °C, and 130–290 °C) was obtained from TG measurements of standard samples. The mass loss in this temperature range depends mainly on the type of gas (decomposition is much faster in air than in a nitrogen flow) and the shape of the crucible (in narrower aluminium crucibles, the diffusion path of the released gasses is longer and decomposition is therefore slower than in wider platinum crucibles). The heating rate (5 °C/min or 10 °C/min) has a much smaller effect on the decomposition rate, and the initial mass of the sample (5 mg or 10 mg) has practically no effect, except that the correlation factor was higher for larger masses due to better homogeneity. The best correlation coefficients R2 were obtained on average in the temperature range from 130 °C to 280 °C, with values between 0.959 and 0.993.
Based on the comparison of the equations of the lines fitting the measured data and the value of the correlation coefficient, the following conditions were found to be the most optimal: initial sample mass 10 mg, nitrogen flow and heating rate 5 °C/min, wider Pt crucibles. Once a calibration line is established for a single wood species, it could be used to determine the mass loss during thermal modification and thus the degree of thermal modification based on the mass loss of an examined sample in the same temperature range. Due to the influence of the different parameters, the same initial mass of the unknown sample would be weighed and measured under the same conditions used to establish the calibration line.
Author Contributions
Conceptualisation, R.C.K., G.R., M.H. and U.L.Š.; methodology, R.C.K., M.H. and G.R.; validation, B.Ž., D.K. and N.Č.K.; formal analysis, B.Ž., D.K. and N.Č.K.; investigation, G.R., D.K. and N.Č.K.; data curation, R.C.K., N.Č.K. and G.R.; writing—original draft preparation, R.C.K.; writing—review and editing, M.H., B.Ž., N.Č.K., D.K., G.R. and U.L.Š.; visualisation, R.C.K., B.Ž., D.K. and N.Č.K.; supervision, R.C.K., G.R., M.H. and U.L.Š.; project administration, B.Ž., N.Č.K., D.K.; funding acquisition, U.L.Š. and M.H. All authors have read and agreed to the published version of the manuscript.
Funding
This research was funded by the Slovenian Research Agency through research programs P1-0134 (Chemistry for sustainable development) and P4-0015 (Wood and lignocellulosic composites).
Data Availability Statement
The data presented in this study are available on request from the corresponding author.
Conflicts of Interest
Author Gregor Rep is employed by the company Sitik d.o.o. The remaining authors declare that the research was conducted in the absence of any commercial or financial relationships that could be construed as a potential conflict of interest. Sitik d.o.o. had no role in the design of the study; in the collection, analyses, or interpretation of data; in the writing of the manuscript, or in the decision to publish the results.
References
- Rep, G.; Pohleven, F. Wood modification—A promising method for wood preservation. Drv. Ind. 2001, 52, 71–76. [Google Scholar]
- Jamsa, S.; Viitaniemi, P. Heat treatment of wood. Better durability without chemicals. In Review on Heat Treatments of Wood; Rapp, A.O., Ed.; European Communities: Antibes, France, 2001; pp. 17–21. [Google Scholar]
- Candelier, K.; Dibdiakova, J. A review on life cycle assessments of thermally modified wood. Holzforschung 2021, 75, 199–224. [Google Scholar] [CrossRef]
- Ugovšek, A.; Šubic, B.; Starman, J.; Rep, G.; Humar, M.; Lesar, B.; Thaler, N.; Brischke, C.; Meyer-Veltrup, L.; Jones, D.; et al. Short-term performance of wooden windows and facade elements made of thermally modified and non-modified Norway spruce in different natural environments. Wood Mater. Sci. Eng. 2019, 14, 42–47. [Google Scholar] [CrossRef]
- Bytner, O.; Drożdżek, M.; Laskowska, A.; Zawadzki, J. Temperature, Time, and Interactions between Them in Relation to Colour Parameters of Black Poplar (Populus nigra L.) Thermally Modified in Nitrogen Atmosphere. Materials 2022, 15, 824. [Google Scholar] [CrossRef] [PubMed]
- Fengel, D.; Wegener, G. Wood: Chemistry, Ultrastructure, Reactions, 1st ed.; de Gruyter: New York, NY, USA, 1983. [Google Scholar]
- Hon, D.N.-S.; Shiraishi, N. Wood and Cellulosic Chemistry, 2nd ed.; Marcel Dekker, Inc.: New York, NY, USA; Basel, Switzerland, 2000; Volume 123. [Google Scholar]
- Sivonen, H.; Maunu, S.L.; Sundholm, F.; Jämsä, S.; Viitaniemi, P. Magnetic Resonance Studies of Thermally Modified Wood. Holzforschung 2002, 56, 648–654. [Google Scholar] [CrossRef]
- Sikora, A.; Kačík, F.; Gaff, M.; Vondrová, V.; Bubeníková, T.; Kubovský, I. Impact of thermal modification on color and chemical changes of spruce and oak wood. J. Wood Sci. 2018, 64, 406–416. [Google Scholar] [CrossRef]
- Gaff, M.; Kubovský, I.; Sikora, A.; Kačíková, D.; Li, H.; Kubovský, M.; Kačík, F. Impact of thermal modification on color and chemical changes of African padauk, merbau, mahogany, and iroko wood species. Rev. Adv. Mater. Sci. 2023, 62, 20220277. [Google Scholar] [CrossRef]
- Liang, T.; Wang, L. Thermal Treatment of Poplar Hemicelluloses at 180 to 220 °C under Nitrogen Atmosphere. Bioresources 2017, 12, 1128–1135. [Google Scholar] [CrossRef]
- Tjeerdsma, B.F.; Militz, H. Chemical changes in hydrothermal treated wood: FTIR analysis of combined hydrothermal and dry heat-treated wood. Eur. J. Wood Wood Prod. 2005, 63, 102–111. [Google Scholar] [CrossRef]
- Kubovský, I.; Kačíková, D.; Kačík, F. Structural Changes of Oak Wood Main Components Caused by Thermal Modification. Polymers 2020, 12, 485. [Google Scholar] [CrossRef]
- Weiland, J.J.; Guyonnet, R. Study of chemical modifications and fungi degradation of thermally modified wood using DRIFT spectroscopy. Eur. J. Wood Wood Prod. 2003, 61, 216–220. [Google Scholar] [CrossRef]
- Kim, D.-Y.; Nishiyama, Y.; Wada, M.; Kuga, S.; Okano, T. Thermal Decomposition of Cellulose Crystallites in Wood. Holzforschung 2001, 55, 521–524. [Google Scholar] [CrossRef]
- Hakkou, M.; Pétrissans, M.; Zoulalian, A.; Gérardin, P. Investigation of wood wettability changes during heat treatment on the basis of chemical analysis. Polym. Degrad. Stab. 2005, 89, 1–5. [Google Scholar] [CrossRef]
- Kotilainen, R.A.; Toivanen, T.-J.; Alén, R.J. Monitoring of Chemical Changes in Softwood during Heating. J. Wood Chem. Technol. 2000, 20, 307–320. [Google Scholar] [CrossRef]
- Tjeerdsma, B.F.; Boonstra, M.; Pizzi, A.; Tekely, P.; Militz, H. Characterisation of thermally modified wood: Molecular reasons for wood performance improvement. Eur. J. Wood Wood Prod. 1998, 56, 149–153. [Google Scholar] [CrossRef]
- Fenner, R.; Lephardt, J. Examination of the thermal decomposition of Kraft pine lignin by Fourier transform infra-red evolved gas analysis. J. Agric. Food Chem. 1981, 29, 846–849. [Google Scholar] [CrossRef]
- Hill, C.A.S. Wood Modification, 1st ed.; Wiley: New York, NY, USA, 2006; ISBN 9780470021729. [Google Scholar]
- Candelier, K.; Treu, A.; Dibdiakova, J.; Larnoy, E.; Petrissans, A.; Dumarcay, S.; Petrissans, M.; Gérardin, P. Utilization of TG-DSC to study thermal degradation of beech and silver fir. In Proceedings of the 44th Annual Meeting of the International Research Group on Wood Protection, Stockholm, Sweden, 17 June 2023. [Google Scholar]
- Tenorio, C.; Moya, R. Thermogravimetric characteristics, its relation with extractives and chemical properties and combustion characteristics of ten fast-growth species in Costa Rica. Thermochim. Acta 2013, 563, 12–21. [Google Scholar] [CrossRef]
- Chaouch, M.; Pétrissans, M.; Pétrissans, A.; Gérardin, P. Use of wood elemental composition to predict heat treatment intensity and decay resistance of different softwood and hardwood species. Polym. Degrad. Stab. 2010, 95, 2255–2259. [Google Scholar] [CrossRef]
- Strandberg, A.; Holmgren, P.; Broström, M. Predicting fuel properties of biomass using thermogravimetry and multivariate data analysis. Fuel Process. Technol. 2017, 156, 107–112. [Google Scholar] [CrossRef]
- Ding, Y.; Ezekoye, O.A.; Lu, S.; Wang, C. Thermal degradation of beech wood with thermogravimetry/Fourier transform infrared analysis. Energy Convers. Manag. 2016, 120, 370–377. [Google Scholar] [CrossRef]
- Faix, O.; Jakab, E.; Till, F.; Szekely, T. Study on low mass thermal degradation products of milled wood lignins by thermogravimetry-mass-spectrometry. Wood Sci. Technol. 1988, 22, 323–334. [Google Scholar] [CrossRef]
- Zhao, J.; Xiuwen, W.; Hu, J.; Liu, Q.; Shen, D.; Xiao, R. Thermal degradation of softwood lignin and hardwood lignin by TG-FTIR and Py-GC/MS. Polym. Degrad. Stab. 2014, 108, 133–138. [Google Scholar] [CrossRef]
- McClennen, W.; Buchanan, R.; Arnold, N.; Dworzanski, J.; Meuzelaar, H. Thermogravimetry/Gas Chromatography/Mass Spectrometry and Thermogravimetry/Gas Chromatography/Fourier Transform Infrared Spectroscopy: Novel Hyphenated Methods in Thermal Analysis. Anal. Chem. 1993, 65, 2819–2823. [Google Scholar] [CrossRef]
- Zelinka, S.L.; Altgen, M.; Emmerich, L.; Guigo, N.; Keplinger, T.; Kymäläinen, M.; Thybring, E.E.; Thygesen, L.G. Review of Wood Modification and Wood Functionalization Technologies. Forests 2022, 13, 1004. [Google Scholar] [CrossRef]
- Cerc Korošec, R.; Lavrič, B.; Rep, G.; Pohleven, F.; Bukovec, P. Thermogravimetry as a possible tool for determining modification degree of thermally treated Norway spruce wood. J. Therm. Anal. Calorim. 2009, 98, 189–195. [Google Scholar] [CrossRef]
- Korošec, R.C.; Renko, S.; Rep, G.; Bukovec, P. Determination of the thermal modification degree of beech wood using thermogravimetry. J. Therm. Anal. Calorim. 2017, 130, 1383–1390. [Google Scholar] [CrossRef]
- Leskelä, T. Thermoanalytical Techniques in the Study of Inorganic Materials. Doctoral Dissertation, Helsinki University of Technology, Espoo, Finland, 1996. [Google Scholar]
- Niinistö, L. Thermal Analysis. In Analytical Chemistry: A Modern Approach to Analytical Science; Kellner, R., Mermet, J.M., Otto, M., Valcarcel, M., Widmer, H.M., Eds.; Wiley-VCH Verlag: Weinheim, Germany, 2004; pp. 373–391. [Google Scholar]
- Scheiding, W.; Stein, S.; Turkulin, H. Determination of moisture content as a parameter for quality control of thermally modified timber production. In Proceedings of the IRG Annual Metting, Ghent, Belgium, 4–8 June 2017. [Google Scholar]
- Hill, C.; Altgen, M.; Rautkari, L. Thermal modification of wood—A review: Chemical changes and hygroscopicity. J. Mater. Sci. 2021, 56, 6581–6614. [Google Scholar] [CrossRef]
- Wagenführ, R. Holzatlas, 5th ed.; Fachbuchverlag: Leipzig, München, 2000. [Google Scholar]
Disclaimer/Publisher’s Note: The statements, opinions and data contained in all publications are solely those of the individual author(s) and contributor(s) and not of MDPI and/or the editor(s). MDPI and/or the editor(s) disclaim responsibility for any injury to people or property resulting from any ideas, methods, instructions or products referred to in the content. |
© 2023 by the authors. Licensee MDPI, Basel, Switzerland. This article is an open access article distributed under the terms and conditions of the Creative Commons Attribution (CC BY) license (https://creativecommons.org/licenses/by/4.0/).