Response of Forest Bird Communities to Managed Landscapes in the Acadian Forest
Abstract
1. Introduction
2. Methods
2.1. Study Area
2.2. Bird Sampling
2.3. Analysis
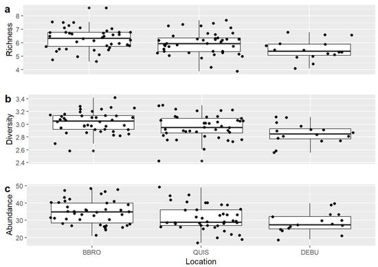
3. Results
3.1. Species Presence, Richness, Diversity and Abundance
3.2. Community Composition
3.3. Bird Functional Trait Analysis
4. Discussion
5. Conclusions
Author Contributions
Funding
Data Availability Statement
Acknowledgments
Conflicts of Interest
Appendix A
| Specie Code | Common_Name | Migration Strategy | Nesting Strategy | Habitat | Successional Association | Area Sensitive | Interior Association | |
|---|---|---|---|---|---|---|---|---|
| ALFL | Alder Flycatcher | NEO | Tall Shrubs | OHS | Tall Shrubs | N | E | |
| AMBI | American Bittern | SDM | Ground | OHS | Herbs | N | W | |
| AMCR | American Crow | SDM | Tree Canopy | OHS | Generalist | N | E | |
| AMGO | American Goldfinch | SDM | Lower Tree Canopy | MIX | Tall Shrubs | N | E | |
| AMRE | American Redstart | NEO | Tall Shrubs | HMI | Immature | Y | I_E | |
| AMRO | American Robin | SDM | Lower Tree Canopy | MIX | Generalist | N | E | |
| BAOW | Barred Owl | RES | Cavity | HMI | Mature | Y | I | |
| BAWW | Black-and-white Warbler | NEO | Ground | CMI | Mature | Y | I | |
| BBCU | Black-billed Cuckoo | NEO | Lower Tree Canopy | HWD | Immature | N | I_E | |
| BBWA | Bay-breasted Warbler | NEO | Lower Tree Canopy | CMI | Overmature | N | I_E | |
| BBWO | Black-backed Woodpecker | RES | Cavity | CON | Mature | Y | I_E | |
| BCCH | Black-capped Chickadee | RES | Cavity | MIX | Generalist | N | I_E | |
| BHVI | Blue-headed Vireo | SDM | Lower Tree Canopy | CMI | Mature | Y | I_E | |
| BLBW | Blackburnian Warbler | NEO | Tree Canopy | MIX | Mature | Y | I | |
| BLJA | Blue Jay | SDM | Lower Tree Canopy | CMI | Generalist | N | I_E | |
| BLPW | Blackpoll Warbler | NEO | Lower Tree Canopy | MIX | Overmature | N | I | |
| BOCH | Boreal Chickadee | RES | Cavity | CON | Mature | N | I | |
| BRCR | Brown Creeper | SDM | Cavity | MIX | Mature | Y | I | |
| BTBW | Black-throated Blue Warbler | NEO | Tall Shrubs | HWD | Immature | Y | I | |
| BTNW | Black-throated Green Warbler | NEO | Lower Tree Canopy | MIX | Mature | Y | I | |
| CAWA | Canada Warbler | NEO | Ground | MIX | Immature | Y | I_E | |
| CEDW | Cedar Waxwing | SDM | Lower Tree Canopy | HMI | Immature | N | E | |
| CHSP | Chipping Sparrow | SDM | Tall Shrubs | MIX | Immature | N | E | |
| CMWA | Cape May Warbler | NEO | Tree Canopy | MIX | Mature | N | I_E | |
| CONI | Common Nighthawk | NEO | Ground | OHS | Herbs | N | E | |
| CONW | Connecticut Warbler | NEO | Ground | CON | Overmature | N | I_E | |
| CORA | Common Raven | RES | Tree Canopy | MIX | Generalist | N | I_E | |
| COYE | Common Yellowthroat | NEO | Ground | OHS | Tall Shrubs | N | E | |
| CSWA | Chestnut-sided Warbler | NEO | Tall Shrubs | HWD | Immature | N | E | |
| DEJU | Dark-eyed Junco | SDM | Ground | CON | Immature | N | E | |
| DOWO | Downy Woodpecker | RES | Cavity | HWD | Immature | N | I_E | |
| EAKI | Eastern Kingbird | NEO | Lower Tree Canopy | OHS | Tall Shrubs | N | E | |
| EAWP | Eastern Wood-Pewee | NEO | Tree Canopy | HWD | Mature | N | I_E | |
| EVGR | Evening Grosbeak | NOM | Tree Canopy | CON | Mature | N | I_E | |
| FOSP | Fox Sparrow | SDM | Ground | CON | Immature | N | E | |
| GCFL | GreatCrested Flycatcher | NEO | Cavity | HWD | Immature | N | I_E | |
| GCKI | Golden-crowned Kinglet | SDM | Tree Canopy | CON | Mature | N | I | |
| GHOW | Great Horned Owl | RES | Cavity | HMI | Mature | N | I_E | |
| GRAJ | Canada Jay | RES | Lower Tree Canopy | CMI | Overmature | N | I_E | |
| GRHE | Green Heron | NEO | Tall Shrubs | OHS | Tall Shrubs | N | E | |
| HAWO | Hairy Woodpecker | RES | Cavity | MIX | Mature | Y | I | |
| HETH | Hermit Thrush | SDM | Ground | MIX | Mature | Y | I_E | |
| HOWR | House Wren | SDM | Cavity | HWD | Tall Shrubs | N | E | |
| LEFL | Least Flycatcher | NEO | Tree Canopy | HWD | Immature | Y | E | |
| MAWA | Magnolia Warbler | NEO | Lower Tree Canopy | CON | Immature | Y | I_E | |
| MERL | Merlin | SDM | Tree Canopy | CON | Generalist | N | I_E | |
| MOWA | Mourning Warbler | NEO | Ground | HMI | Immature | N | E | |
| NAWA | Nashville Warbler | NEO | Ground | MIX | Immature | N | E | |
| NOFL | Northern Flicker | SDM | Cavity | MIX | Immature | N | E | |
| NOPA | Northern Parula | NEO | Tree Canopy | MIX | Mature | Y | I | |
| NOWA | Northern Waterthrush | NEO | Ground | CMI | Mature | N | I_E | |
| NSOW | Northern Saw-whet Owl | RES | Cavity | CMI | Mature | N | I_E | |
| OCWA | Orange-crowned Warbler | SDM | Ground | CMI | Tall Shrubs | N | E | |
| OSFL | Olive-sided Flycatcher | NEO | Tree Canopy | CON | Overmature | N | I_E | |
| OVEN | Ovenbird | NEO | Ground | HMI | Mature | Y | I | |
| PAWA | Palm Warbler | SDM | Ground | CON | Tall Shrubs | N | E | |
| PHVI | Philadelphia Vireo | NEO | Tree Canopy | HWD | Immature | N | I_E | |
| PIGR | Pine Grosbeak | NOM | Lower Tree Canopy | MIX | Mature | N | I_E | |
| PIWA | Pine Warbler | SDM | Tree Canopy | CON | Mature | Y | I | |
| PIWO | Pileated Woodpecker | RES | Cavity | MIX | Mature | Y | I | |
| PUFI | Purple Finch | SDM | Tree Canopy | MIX | Mature | N | I_E | |
| RBGR | Rose-breasted Grosbeak | NEO | Lower Tree Canopy | HMI | Immature | N | I_E | |
| RBNU | Red-breasted Nuthatch | RES | Cavity | CMI | Mature | Y | I | |
| RCKI | Ruby-crowned Kinglet | SDM | Tree Canopy | CON | Mature | N | I_E | |
| REVI | Red-eyed Vireo | NEO | Lower Tree Canopy | HWD | Mature | N | I_E | |
| RTHU | Ruby-throated Hummingbird | NEO | Lower Tree Canopy | HWD | Generalist | N | E | |
| RUBL | Rusty Blackbird | SDM | Lower Tree Canopy | MIX | Generalist | N | E | |
| RUGR | Ruffed Grouse | RES | Ground | HMI | Generalist | N | I_E | |
| RWBL | Red-winged Blackbird | SDM | Wetland | OHS | Tall Shrubs | N | W | |
| SCTA | Scarlet Tanager | NEO | Tree Canopy | HWD | Mature | Y | I | |
| SPSA | Spotted Sandpiper | NEO | Ground | OHS | Herbs | N | S | |
| SWTH | Swainson’s Thrush | NEO | Lower Tree Canopy | MIX | Mature | N | I | |
| TEWA | Tennessee Warbler | NEO | Ground | HMI | Immature | N | I_E | |
| TRES | Tree Swallow | SDM | Cavity | OHS | Immature | N | E | |
| VEER | Veery | NEO | Tall Shrubs | HMI | Immature | Y | I | |
| WAVI | Warbling Vireo | NEO | Tree Canopy | HWD | Immature | N | E | |
| WBNU | White-breasted Nuthatch | RES | Cavity | HWD | Mature | Y | I | |
| WISN | Wilson’s Snipe | SDM | Ground | OHS | Herbs | N | W | |
| WIWA | Wilson’s Warbler | NEO | Ground | OHS | Tall Shrubs | N | E | |
| WIWR | Winter Wren | SDM | Cavity | CMI | Mature | Y | I | |
| WOTH | Wood Thrush | NEO | Lower Tree Canopy | MIX | Mature | N | I_E | |
| WTSP | White-throated Sparrow | SDM | Ground | MIX | Generalist | N | I_E | |
| WWCR | White-winged Crossbill | NOM | Tree Canopy | MIX | Mature | N | I_E | |
| YBFL | Yellow-bellied Flycatcher | NEO | Ground | CON | Overmature | N | I_E | |
| YBSA | Yellow-bellied Sapsucker | SDM | Cavity | MIX | Mature | Y | I_E | |
| YEWA | Yellow Warbler | NEO | Tall Shrubs | HWD | Tall Shrubs | N | E | |
| YRWA | Yellow-rumped Warbler | SDM | Tree Canopy | MIX | Mature | N | I_E | |
| Species Code | Common Name | Scientific Name | BBRO | QUIS | DEBU |
|---|---|---|---|---|---|
| Abundance | |||||
| ALFL | Alder Flycatcher | Empidonax alnorum | 11 | 0 | 5 |
| AMBI | American Bittern | Botaurus lentiginosus | 4 | 3 | 0 |
| AMCR | American Crow | Corvus brachyrhynchos | 9 | 5 | 0 |
| AMGO | American Goldfinch | Spinus tristis | 9 | 11 | 0 |
| AMRE | American Redstart | Setophaga ruticilla | 21 | 7 | 3 |
| AMRO | American Robin | Turdus migratorius | 52 | 41 | 14 |
| BAOW | Barred Owl | Strix varia | 2 | 3 | 3 |
| BAWW | Black-and-white Warbler | Mniotilta varia | 6 | 2 | 4 |
| BBCU | Black-billed Cuckoo | Coccyzus erythropthalmus | 2 | 0 | 0 |
| BBWA | Bay-breasted Warbler | Setophaga castanea | 7 | 5 | 0 |
| BBWO | Black-backed Woodpecker | Picoides arcticus | 1 | 3 | 1 |
| BCCH | Black-capped Chickadee | Poecile atricapillus | 46 | 31 | 4 |
| BHVI | Blue-headed Vireo | Vireo solitarius | 40 | 33 | 8 |
| BLBW | Blackburnian Warbler | Setophaga fusca | 30 | 26 | 8 |
| BLJA | Blue Jay | Cyanocitta cristata | 29 | 26 | 8 |
| BLPW | Blackpoll Warbler | Setophaga striata | 2 | 0 | 0 |
| BOCH | Boreal Chickadee | Poecile hudsonicus | 5 | 5 | 4 |
| BRCR | Brown Creeper | Certhia americana | 22 | 23 | 10 |
| BTBW | Black-throated Blue Warbler | Setophaga caerulescens | 42 | 47 | 17 |
| BTNW | Black-throated Green Warbler | Setophaga virens | 56 | 51 | 19 |
| CAWA | Canada Warbler | Cardellina canadensis | 12 | 5 | 2 |
| CEDW | Cedar Waxwing | Bombycilla cedrorum | 0 | 1 | 0 |
| CHSP | Chipping Sparrow | Spizella passerina | 3 | 5 | 2 |
| CMWA | Cape May Warbler | Setophaga tigrina | 7 | 7 | 1 |
| CONI | Common Nighthawk | Chordeiles minor | 3 | 1 | 0 |
| CONW | Connecticut Warbler | Geothlypis agilis | 1 | 0 | 0 |
| CORA | Common Raven | Corvus corax | 8 | 23 | 3 |
| COYE | Common Yellowthroat | Geothlypis trichas | 3 | 0 | 2 |
| CSWA | Chestnut-sided Warbler | Setophaga pensylvanica | 4 | 2 | 6 |
| DEJU | Dark-eyed Junco | Junco hyemalis | 2 | 7 | 5 |
| DOWO | Downy Woodpecker | Dryobates pubescens | 1 | 0 | 1 |
| EAKI | Eastern Kingbird | Tyrannus tyrannus | 0 | 0 | 1 |
| EAWP | Eastern Wood-Pewee | Contopus virens | 12 | 11 | 5 |
| EVGR | Evening Grosbeak | Coccothraustes vespertinus | 6 | 3 | 0 |
| FOSP | Fox Sparrow | Passerella iliaca | 8 | 1 | 0 |
| GCFL | Great Crested Flycatcher | Myiarchus crinitus | 0 | 0 | 1 |
| GCKI | Golden-crowned Kinglet | Regulus satrapa | 37 | 35 | 10 |
| GHOW | Great Horned Owl | Bubo virginianus | 5 | 0 | 0 |
| GRAJ | Gray Jay | Perisoreus canadensis | 10 | 6 | 1 |
| GRHE | Green Heron | Butorides virescens | 1 | 1 | 0 |
| HAWO | Hairy Woodpecker | Dryobates villosus | 2 | 1 | 0 |
| HETH | Hermit Thrush | Catharus guttatus | 67 | 65 | 18 |
| HOWR | House Wren | Troglodytes aedon | 0 | 1 | 0 |
| LEFL | Least Flycatcher | Empidonax minimus | 8 | 12 | 9 |
| MAWA | Magnolia Warbler | Setophaga magnolia | 41 | 25 | 12 |
| MERL | Merlin | Falco columbarius | 2 | 0 | 0 |
| MOWA | Mourning Warbler | Geothlypis philadelphia | 2 | 0 | 5 |
| NAWA | Nashville Warbler | Oreothlypis ruficapilla | 42 | 21 | 10 |
| NOFL | Northern Flicker | Colaptes auratus | 8 | 0 | 1 |
| NOPA | Northern Parula | Setophaga americana | 53 | 50 | 14 |
| NOWA | Northern Waterthrush | Parkesia noveboracensis | 24 | 2 | 3 |
| NSOW | Northern Saw-whet Owl | Aegolius acadicus | 0 | 1 | 0 |
| OCWA | Orange-crowned Warbler | Oreothlypis celata | 1 | 0 | 0 |
| OSFL | Olive-sided Flycatcher | Contopus cooperi | 13 | 3 | 4 |
| OVEN | Ovenbird | Seiurus aurocapilla | 72 | 85 | 28 |
| PAWA | Palm Warbler | Setophaga palmarum | 3 | 1 | 0 |
| PHVI | Philadelphia Vireo | Vireo philadelphicus | 8 | 10 | 2 |
| PIGR | Pine Grosbeak | Pinicola enucleator | 1 | 0 | 0 |
| PIWA | Pine Warbler | Setophaga pinus | 1 | 0 | 0 |
| PIWO | Pileated Woodpecker | Dryocopus pileatus | 1 | 4 | 2 |
| PUFI | Purple Finch | Haemorhous purpureus | 9 | 18 | 4 |
| RBGR | Rose-breasted Grosbeak | Pheucticus ludovicianus | 20 | 19 | 3 |
| RBNU | Red-breasted Nuthatch | Sitta canadensis | 55 | 59 | 12 |
| RCKI | Ruby-crowned Kinglet | Regulus calendula | 35 | 24 | 6 |
| REVI | Red-eyed Vireo | Vireo olivaceus | 30 | 46 | 19 |
| RTHU | Ruby-throated Hummingbird | Archilochus colubris | 1 | 0 | 0 |
| RUBL | Rusty Blackbird | Euphagus carolinus | 4 | 0 | 0 |
| RUGR | Ruffed Grouse | Bonasa umbellus | 57 | 61 | 32 |
| RWBL | Red-winged Blackbird | Agelaius phoeniceus | 1 | 0 | 0 |
| SCTA | Scarlet Tanager | Piranga olivacea | 0 | 12 | 6 |
| SPSA | Spotted Sandpiper | Actitis macularius | 1 | 1 | 0 |
| SWTH | Swainson’s Thrush | Catharus ustulatus | 82 | 78 | 25 |
| TEWA | Tennessee Warbler | Oreothlypis peregrina | 5 | 9 | 1 |
| TRES | Tree Swallow | Tachycineta bicolor | 0 | 1 | 0 |
| VEER | Veery | Catharus fuscescens | 21 | 14 | 7 |
| WAVI | Warbling Vireo | Vireo gilvus | 0 | 0 | 0 |
| WBNU | White-breasted Nuthatch | Sitta carolinensis | 0 | 0 | 1 |
| WISN | Wilson’s Snipe | Gallinago delicata | 4 | 1 | 1 |
| WIWA | Wilson’s Warbler | Cardellina pusilla | 1 | 0 | 0 |
| WIWR | Winter Wren | Troglodytes hiemalis | 49 | 45 | 14 |
| WOTH | Wood Thrush | Hylocichla mustelina | 0 | 5 | 0 |
| WTSP | White-throated Sparrow | Zonotrichia albicollis | 94 | 61 | 28 |
| WWCR | White-winged Crossbill | Loxia leucoptera | 9 | 12 | 0 |
| YBFL | Yellow-bellied Flycatcher | Empidonax flaviventris | 37 | 19 | 6 |
| YBSA | Yellow-bellied Sapsucker | Sphyrapicus varius | 59 | 60 | 28 |
| YEWA | Yellow Warbler | Setophaga petechia | 1 | 0 | 0 |
| YRWA | Yellow-rumped Warbler | Setophaga coronata | 13 | 22 | 10 |
References
- Seddon, N.; Mace, G.M.; Naeem, S.; Tobias, J.A.; Pigot, A.L.; Cavanagh, R.; Mouillot, D.; Vause, J.; Walpole, M. Biodiversity in the Anthropocene: Prospects and policy. Proc. R. Soc. B Biol. Sci. 2016, 283, 20162094. [Google Scholar] [CrossRef] [PubMed]
- Rosenberg, K.V.; Dokter, A.M.; Blancher, P.J.; Sauer, J.R.; Smith, A.C.; Smith, P.A.; Stanton, J.C.P.; Helft, L.; Parr, M.; Marra, P.P. Decline of North American avifauna. Science 2019, 366, 120–124. [Google Scholar] [CrossRef] [PubMed]
- Jokimäki, J.; Solonen, T. Habitat associations of old forest bird species in managed boreal forests characterized by forest inventory data. Ornis Fenn. 2011, 88, 57–70. [Google Scholar] [CrossRef]
- Brockerhoff, E.G.; Jactel, H.; Parrotta, J.A.; Quine, C.P.; Sayer, J. Plantation forests and biodiversity: Oxymoron or opportunity? Biodivers. Conserv. 2008, 17, 925–951. [Google Scholar] [CrossRef]
- Paquette, A.; Messier, C. The role of plantations in managing the world’s forests in the Anthropocene. Front. Ecol. Environ. 2010, 8, 27–34. [Google Scholar] [CrossRef]
- Püttker, T.; Crouzeilles, R.; Almeida-Gomes, M.; Schmoeller, M.; Maurenza, D.; Alves-Pinto, H.; Pardini, R.; Vieira, M.V.; Banks-Leite, C.; Fonseca, C.R.; et al. Indirect effects of habitat loss via habitat fragmentation: A cross-taxa analysis of forest-dependent species. Biol. Conserv. 2020, 241, 108368. [Google Scholar] [CrossRef]
- Schmiegelow FK, A.; Machtans, C.S.; Hannon, S.J. Are Boreal Birds Resilient to Forest Fragmentation? An Experimental Study of Short-Term Community Responses. Ecology 1997, 78, 1914–1932. [Google Scholar] [CrossRef]
- Venier, L.A.; Thompson, I.D.; Fleming, R.; Malcolm, J.; Aubin, I.; Trofymow, J.A.; Langor, D.; Sturrock, R.; Patry, C.; Outerbridge, R.O.; et al. Effects of natural resource development on the terrestrial biodiversity of Canadian boreal forests. Environ. Rev. 2014, 22, 457–490. [Google Scholar] [CrossRef]
- Porro, Z.; Chiatante, G.; Bogliani, G. Associations between forest specialist birds and composition of woodland habitats in a highly modified landscape. For. Ecol. Manag. 2020, 458, 117732. [Google Scholar] [CrossRef]
- Van Dorp, D.; Opdam, P.F.M. Effects of patch size, isolation and regional abundance on forest bird communities. Landsc. Ecol. 1987, 1, 59–73. [Google Scholar] [CrossRef]
- Robinson, S.K.; Thompson, F.R., III; Donovan, T.M.; Whitehead, D.R.; Faaborg, J. Regional forest fragmentation and the nesting success of migratory birds. Science 1995, 267, 1987–1990. [Google Scholar] [CrossRef]
- Burke, D.M.; Nol, E. Landscape and fragment size effects on reproductive success of forest-breeding birds in Ontario. Ecol. Appl. 2000, 10, 1749–1761. [Google Scholar] [CrossRef]
- Boulinier, T.; Nichols, J.D.; Hines, J.E.; Sauer, J.R.; Flather, C.H.; Pollock, K.H. Forest fragmentation and bird community dynamics: Inference at regional scales. Ecology 2001, 82, 1159–1169. [Google Scholar] [CrossRef]
- New Brunswick. Natural Resources and Energy Development, Forestry and Conservation. 2023. Available online: https://www2.gnb.ca/content/gnb/en/departments/erd/forestry-conservation.html (accessed on 15 October 2023).
- Montreal Process. Criteria and Indicators for the Conservation and Sustainable Management of Temperate and Boreal Forests. 2015. Available online: https://montreal-process.org/ (accessed on 15 October 2023).
- Ontario Crown Forest Sustainability Act. Ontario Ministry of Natural Resources and Forestry, Province of Ontario, Canada. 1994. Available online: https://www.ontario.ca/laws/statute/94c25 (accessed on 15 October 2023).
- Gao, T.; Nielsen, A.B.; Hedblom, M. Reviewing the strength of evidence of biodiversity indicators for forest ecosystems in Europe. Ecol. Indic. 2015, 57, 420–434. [Google Scholar] [CrossRef]
- Venier, L.A.; Pearce, J.L. Birds as indicators of sustainable forest management. For. Chron. 2004, 80, 61–66. [Google Scholar] [CrossRef]
- Fraixedas, S.; Lindén, A.; Piha, M.; Cabeza, M.; Gregory, R.; Lehikoinen, A. A state-of-the-art review on birds as indicators of biodiversity: Advances, challenges, and future directions. Ecol. Indic. 2020, 118, 106728. [Google Scholar] [CrossRef]
- Niemi, G.; Hanowski, J.; Helle, P.; Howe, R.; Mönkkönen, M.; Venier, L.; Welsh, D. Ecological Sustainability of Birds in Boreal Forests. Ecol. Soc. 1998, 2, 17. [Google Scholar] [CrossRef]
- McLaren, M.A.; Thompson, I.D.; Baker, J.A. Selection of vertebrate wildlife indicators for monitoring sustainable forest management in Ontario. For. Chron. 1998, 74, 241–248. [Google Scholar] [CrossRef]
- Koskimies, P.; Vaisanen, R.A. Monitoring Bird Populations: A Manual of Methods Applied in Finland. Zoological Museum, Finnish Museum of Natural History; University of Helsinki: Helsinki, Finland, 1986. [Google Scholar]
- Ralph, C.J.; Droege, S.; Sauer, J.R. Managing and monitoring birds using point counts: Standards and applications. In Monitoring Bird Populations by Point Counts; Ralph, C.J., Sauer, J.R., Droege, S., Eds.; US Department of Agriculture, Forest Service, Pacific Southwest Research Station: Albany, CA, USA, 1995; pp. 171–175. [Google Scholar]
- Clavel, J.; Julliard, R.; Devictor, V. Worldwide decline of specialist species: Toward a global functional homogenization? Front. Ecol. Environ. 2011, 9, 222–228. [Google Scholar] [CrossRef]
- Gámez-Virués, S.; Perović, D.J.; Gossner, M.M.; Börschig, C.; Blüthgen, N.; De Jong, H.; Simons, N.K.; Klein, A.M.; Krauss, J.; Maier, G.; et al. Landscape simplification filters species traits and drives biotic homogenization. Nat. Commun. 2015, 6, 8568. [Google Scholar] [CrossRef]
- Venier, L.A.; Holmes, S.B.; Holborn, G.W.; McIlwrick, K.A.; Brown, G. Evaluation of an automated recording device for monitoring forest birds. Wildl. Soc. Bull. 2012, 36, 30–39. [Google Scholar] [CrossRef]
- Hobson, K.A.; Rempel, R.S.; Greenwood, H.; Turnbull, B.; Van Wilgenburg, S.L. Acoustic surveys of birds using electronic recordings: New potential from an omnidirectional microphone system. Wildl. Soc. Bull. 2002, 30, 709–720. [Google Scholar]
- Acevedo, M.A.; Villanueva-Rivera, L.J. From the Field: Using Automated Digital Recording Systems as Effective Tools for the Monitoring of Birds and Amphibians. Wildl. Soc. Bull. 2006, 34, 211–214. [Google Scholar] [CrossRef]
- Celis-Murillo, A.; Deppe, J.L.; Allen, M.F. Using soundscape recordings to estimate bird species abundance, richness, and composition. J. Field Ornithol. 2009, 80, 64–78. [Google Scholar] [CrossRef]
- Stewart, R.L.M.; Bredin, K.A.; Couturier, A.R.; Horn, A.; Lepage, D.; Makepeace, S.; Taylor, P.D.; Villard, M.-A.; Whittam, R.M. Second Atlas of Breeding Birds of the Maritime Provinces; Bird Studies Canada, Environment Canada, Natural History Society of Prince Edward Island: Ottawa, ON, Canada, 2015. [Google Scholar]
- Cadman, M.D.; Sutherland, G.G.; Lepge, D.; Couturier, A.R. Atas of the Breeding Birds on Ontario, 2001–2005. Auk 2007, 126, 469–472. [Google Scholar]
- Sauer, J.R.; Pardieck, K.L.; Ziolkowski, D.J.; Smith, A.C.; Hudson, M.-A.R.; Rodriguez, V.; Berlanga, H.; Niven, D.K.; Link, W.A. The first 50 years of the North American Breeding Bird Survey. Condor 2017, 119, 576–593. [Google Scholar] [CrossRef]
- Betts, M.G.; Villard, M.-A. Landscape thresholds in species occurrence as quantitative targets in forest management: Generality in space and time? In Setting Conservation Targets for Managed Forest Landscapes; Jonsson, B.G., Villard, M.-A., Eds.; Cambridge University Press: Cambridge, UK, 2009; pp. 185–206. [Google Scholar] [CrossRef]
- Haché, S.; Pétry, T.; Villard, M.-A. Numerical Response of Breeding Birds Following Experimental Selection Harvesting in Northern Hardwood Forests. Réponse Numérique Huit. Espèces D’oiseaux Nicheurs Suite D’une Coupe Jard. Expérimentale Forêt Feuillue Septentr. 2013, 8, 35–49. [Google Scholar] [CrossRef]
- Haché, S.; Cameron, R.; Villard, M.-A.; Bayne, E.M.; MacLean, D.A. Demographic response of a neotropical migrant songbird to forest management and climate change scenarios. For. Ecol. Manag. 2016, 359, 309–320. [Google Scholar] [CrossRef]
- MacKay, A.; Allard, M.; Villard, M.-A. Capacity of older plantations to host bird assemblages of naturally-regenerated conifer forests: A test at stand and landscape levels. Biol. Conserv. 2014, 170, 110–119. [Google Scholar] [CrossRef]
- Hurlbert, S.H. Pseudoreplication and the Design of Ecological Field Experiments. Ecol. Monogr. 1984, 54, 187–211. [Google Scholar] [CrossRef]
- Baldwin, K.; Allen, L.; Basquill, S.; Chapman, K.; Downing, D.; Flynn, N.; MacKenzie, W.; Major, M.; Meades, W.; Meidinger, D.; et al. Vegetation Zones of Canada: A Biogeoclimatic Perspective; Natural Resources Canada: Sault Ste. Marie, ON, Canada, 2020; Available online: https://cfs.nrcan.gc.ca/publications/download-pdf/40507 (accessed on 15 October 2023).
- Margalef, R. Information theory in ecology. Gen. Syst. 1958, 3, 35. [Google Scholar]
- Magurran, A. Measuring Biological Diversity; Blackwell: Oxford, UK, 2004. [Google Scholar]
- Oksanene, J.; Gavin, L.; Simpson, F.; Blanchet, G.; Kindt, R.; Legendre, P.; Minchin, P.R.; O’Hara, R.B.; Solymos, P.; Stevens, M.H.H.; et al. vegan: Community Ecology Package; R Package Version 2.6-2; R Team: Vienna, Austria, 2022; Available online: https://CRAN.R-project.org/package=vegan (accessed on 15 October 2023).
- McCune, B.; Grace, J.B. Analysis of Ecological Communities; MjM Software Design: Gleneden Beach, OR, USA, 2002. [Google Scholar]
- Fahrig, L. When does fragmentation of breeding habitat affect population survival? Ecol. Model. 1998, 105, 273–292. [Google Scholar] [CrossRef]
- Andren, H. Effects of habitat fragmentation on birds and mammals in landscapes with different proportions of suitable habitat: A review. Oikos 1994, 71, 355–366. [Google Scholar] [CrossRef]
- Hinsley, S.A.; Bellamy, P.E.; Newton, I.; Sparks, T.H. Habitat and landscape factors influencing the presence of individual breeding bird species in woodland fragments. J. Avian Biol. 1995, 26, 94–104. [Google Scholar] [CrossRef]
- Sisk, T.D.; Haddad, N.M.; Ehrlich, P.R. Bird assemblages in patchy woodlands: Modeling the effects of edge and matrix habitats. Ecol. Appl. 1997, 7, 1170–1180. [Google Scholar] [CrossRef]
- McGarigal, K.; McComb, W.C. Relationships between Landscape Structure and Breeding Birds in the Oregon Coast Range. Ecol. Monogr. 1995, 65, 235–260. [Google Scholar] [CrossRef]
- Venier, L.A.; Pearce, J.L. Boreal forest landbirds in relation to forest composition, structure, and landscape: Implications for forest management. Can. J. For. Res. 2007, 37, 1214–1226. [Google Scholar] [CrossRef]
- Wells, K.; Böhm, S.M.; Boch, S.; Fischer, M.; Kalko, E.K.V. Local and landscape-scale forest attributes differ in their impact on bird assemblages across years in forest production landscapes. Basic Appl. Ecol. 2011, 12, 97–106. [Google Scholar] [CrossRef]
- Bayne, E.M.; Hobson, K.A. Apparent survival of male ovenbirds in fragemented and forested boreal landscapes. Ecology 2002, 83, 1307–1316. [Google Scholar] [CrossRef]
- Whitaker, D.M.; Taylor, P.D.; Warkentin, I.G. Survival of adult songbirds in boreal forest landscapes fragmented by clearcuts and natural openings. Avian Conserv. Ecol. 2008, 3, 5. [Google Scholar] [CrossRef]
- Dalley, K.L.; Taylor, P.D.; Shutler, D. Success of Migratory Songbirds Breeding in Harvested Boreal Forests of Northwestern Newfoundland. Condor 2009, 111, 314–325. [Google Scholar] [CrossRef][Green Version]
- Venier, L.A.; Dalley, K.; Goulet, P.; Mills, S.; Pitt, D.; Cowcill, K. Benefits of aggregate green tree retention to boreal forest birds. For. Ecol. Manag. 2015, 343, 80–87. [Google Scholar] [CrossRef]
- Imbeau, L.; Monkkonen, M.; Derochers, A. Long-term effects of forestry on birds of the easter Canadian boreal forests: A comparison with Fennoscandia. Conserv. Biol. 2001, 15, 1151–1162. [Google Scholar] [CrossRef]
- Hobson, K.A.; Bayne, E. Effects of forest fragmentation by agriculture on avian communities in the southern boreal mixedwoods of western Canada. Wilson Bull. 2000, 112, 373–387. [Google Scholar] [CrossRef]
- Betts, M.G.; Yang, Z.; Hadley, A.S.; Smith, A.C.; Rousseau, J.S.; Northrup, J.M.; Nocera, J.J.; Gorelick, N.; Gerber, B.D. Forest degradation drives widespread avian habitat and population declines. Nat. Ecol. Evol. 2022, 6, 709–719. [Google Scholar] [CrossRef]
- Betts, M.G.; Phalan, B.; Frey, S.J.K.; Rousseau, J.S.; Yang, Z. Old-growth forests buffer climate-sensitive bird populations from warming. Divers. Distrib. 2018, 24, 439–447. [Google Scholar] [CrossRef]
- Phalan, B.T.; Northrup, J.M.; Yang, Z.; Deal, R.L.; Rousseau, J.S.; Spies, T.A.; Betts, M.G. Impacts of the Northwest Forest Plan on forest composition and bird populations. Proc. Natl. Acad. Sci. USA 2019, 116, 3322–3327. [Google Scholar] [CrossRef]
- Jones, G.M.; Kramer, H.A.; Berigan, W.J.; Whitmore, S.; Gutiérrez, R.; Peery, M.Z. Megafire causes persistent loss of an old-forest species. Anim. Conserv. 2021, 24, 925–936. [Google Scholar] [CrossRef]
- Lindenmayer, D.; Bowd, E. Critical Ecological Roles, Structural Attributes and Conservation of Old Growth Forest: Lessons from a Case Study of Australian Mountain Ash Forests. Front. For. Glob. Change 2022, 5, 878570. [Google Scholar] [CrossRef]
- Stockland, J.N.; Siitonen, J.; Jonsson, B.G. Biodiversity in Dead Wood; Cambridge University Press: Cambridge, UK, 2012. [Google Scholar]
- Betts, M.G.; Forbes, G.J.; Diamond, A.W. Thresholds in Songbird Occurrence in Relation to Landscape Structure. Conserv. Biol. 2007, 21, 1046–1058. [Google Scholar] [CrossRef]
- Ritter, C.; King, D.I.; DeStefano, S.; Clark, D. Bird communities reveal the ecological value of non-native Norway spruce plantations in Massachusetts, USA. For. Ecol. Manag. 2023, 540, 120992. [Google Scholar] [CrossRef]
- Pawson, S.M.; Brin, A.; Brockerhoff, E.G.; Lamb, D.; Payn, T.W.; Paquette, A.; Parrotta, J.A. Plantation forests, climate change and biodiversity. Biodivers. Conserv. 2013, 22, 1203–1227. [Google Scholar] [CrossRef]
- Tremblay, J.A.; Savard, J.-P.L.; Ibarzabal, J. Structural retention requirements for a key ecosystem engineer in conifer-dominated stands of a boreal managed landscape in eastern Canada. For. Ecol. Manag. 2015, 357, 220–227. [Google Scholar] [CrossRef]
- Robbins, C.S.; Dawson, D.K.; Dowell, B.A. Habitat area requirements of breeding forest birds of the middle Atlantic states. Wildl. Monogr. 1989, 103, 3–34. [Google Scholar]
- Fahrig, L.; Merriam, G. Conservation of Fragmented Populations. Conserv. Biol. 1994, 8, 50–59. [Google Scholar] [CrossRef]
- Hanski, I. Metapopulation dynamics. Nature 1998, 396, 41–49. [Google Scholar] [CrossRef]
- Van Horne, B. Density as a Misleading Indicator of Habitat Quality. J. Wildl. Manag. 1983, 47, 893–901. [Google Scholar] [CrossRef]
- Pulliam, H.R. Sources, Sinks, and Population Regulation. Am. Nat. 1988, 132, 652–661. [Google Scholar] [CrossRef]
- Donovan, T.M.; Thompson, F.R., III; Faaborg, J.; Probst, J.R. Reproductive Success of Migratory Birds in Habitat Sources and Sinks. Conserv. Biol. 1995, 9, 1380–1395. [Google Scholar] [CrossRef]
- Pohlman, C.K.; Roth, A.M.; Hartley, M.J.; Hunter, M.L.; McGill, B.J.; Seymour, R.S. Experimental natural disturbance-based silviculture systems maintain mature forest bird assemblage long-term in Maine (USA). For. Ecol. Manag. 2023, 528, 120630. [Google Scholar] [CrossRef]




| Management | BBRO | QUIS | DEBU |
|---|---|---|---|
| % Area planted to conifer (of total landbase) | 41.8 | 10.2 | 0 |
| % Area softwood regeneration (of total landbase) | 4.4 | 1.0 | 3 |
| % Area thinned in last 10 years (of total landbase) | 8.3 | 0.6 | 0 |
| % Hardwood Area operated (of total hardwood area) | 21.1 | 21.8 | 32 |
| % Mature forest (of total landbase) | 34.0 | 39.4 | 45.7 |
| Forest Type | BBRO | QUIS | DEBU |
|---|---|---|---|
| Cedar Mature/Over Mature 1 | 7 | 7 | 2 |
| Mixedwood Mature/Over Mature 2 | 7 | 7 | 3 |
| Spruce Fir (16–45 years old) 3 | 7 | 7 | 3 |
| Spruce Fir Mature/Over Mature 4 | 7 | 7 | 2 |
| Tolerant Hardwood Mature–Over Mature–No Recent Harvest 5 | 7 | 6 | 3 |
| Tolerant Hardwood Mature–Over Mature–Selection Harvest 6 | 7 | 7 | 2 |
| Total | 42 | 41 | 15 |
| Total Number of Species | No. of Sampled Stands | Abundance | Mean Margalef Richness Per Sampled Stand (SD) | Mean Abundance Per Sampled Stand (SD) | Mean Shannon Diversity Per Sampled Stand (SD) | |
|---|---|---|---|---|---|---|
| All Landscapes | 86 | 99 | 3193 | 6.01 | 31.16 | |
| BBRO | 77 | 42 | 1456 | 6.28 (0.84) | 34.7 (7.1) | 3.03 (0.17) |
| QUIS | 65 | 41 | 1278 | 5.95 (0.86) | 31.2 (7.4) | 2.96 (0.19) |
| DEBU | 56 | 16 | 459 | 5.48 (0.75) | 28.7 (5.8) | 2.83 (0.16) |
| Comparison | Richness | Shannon Diversity | Abundance |
|---|---|---|---|
| Overall (one-way ANOVA) | F(2, 96) = 5.634, p = 0.0049 | F(2, 96) = 6.345, p = 0.0026 | F(2, 96) = 5.017, p = 0.0085 |
| BBRO vs. QUIS (Tukey’s HSD test for multiple comparisons) | p = 0.17 | p = 0.15 | p = 0.06 |
| QUIS vs. DEBU (Tukey’s HSD test for multiple comparisons) | p = 0.13 | p = 0.096 | p = 0.45 |
| BBRO vs. DEBU (Tukey’s HSD test for multiple comparisons) | p = 0.004 | p = 0.002 | p = 0.013 |
| Comparisons | Df | Permanova F | Permanova p | R-Squared | Beta Dispersion F | Beta Dispersion p |
|---|---|---|---|---|---|---|
| BBRO: QUIS | 1 | 3.53 | 0.003 | 0.041 | 0.839 | 0.362 |
| BBRO: DEBU | 1 | 3.46 | 0.001 | 0.058 | 2.97 | 0.090 |
| QUIS: DEBU | 1 | 1.59 | 0.1 | 0.028 | 4.50 | 0.038 |
Disclaimer/Publisher’s Note: The statements, opinions and data contained in all publications are solely those of the individual author(s) and contributor(s) and not of MDPI and/or the editor(s). MDPI and/or the editor(s) disclaim responsibility for any injury to people or property resulting from any ideas, methods, instructions or products referred to in the content. |
© 2024 by the authors. Licensee MDPI, Basel, Switzerland. This article is an open access article distributed under the terms and conditions of the Creative Commons Attribution (CC BY) license (https://creativecommons.org/licenses/by/4.0/).
Share and Cite
Venier, L.A.; Porter, K.; Adams, G.; McIlwrick, K.; Smenderovac, E. Response of Forest Bird Communities to Managed Landscapes in the Acadian Forest. Forests 2024, 15, 184. https://doi.org/10.3390/f15010184
Venier LA, Porter K, Adams G, McIlwrick K, Smenderovac E. Response of Forest Bird Communities to Managed Landscapes in the Acadian Forest. Forests. 2024; 15(1):184. https://doi.org/10.3390/f15010184
Chicago/Turabian StyleVenier, Lisa A., Kevin Porter, Gregory Adams, Kenneth McIlwrick, and Emily Smenderovac. 2024. "Response of Forest Bird Communities to Managed Landscapes in the Acadian Forest" Forests 15, no. 1: 184. https://doi.org/10.3390/f15010184
APA StyleVenier, L. A., Porter, K., Adams, G., McIlwrick, K., & Smenderovac, E. (2024). Response of Forest Bird Communities to Managed Landscapes in the Acadian Forest. Forests, 15(1), 184. https://doi.org/10.3390/f15010184
