Forest Cover and Locality Regulate Response of Watershed Discharge to Rainfall Variability in Caribbean Region
Abstract
1. Introduction
2. Materials and Methods
3. Results
3.1. Calibration and Validation of SWAT+
3.2. Impact of Land Use Change on Daily Discharges
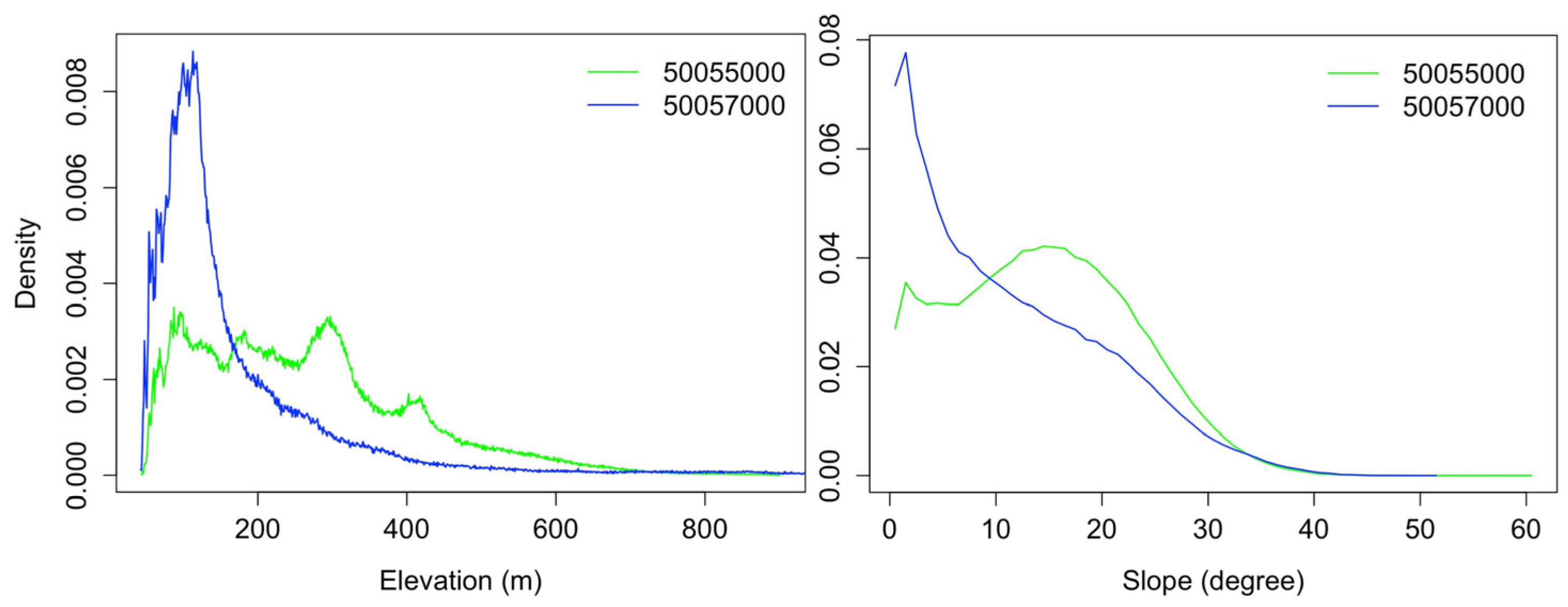
3.3. Impacts of Forest Locality on Daily Discharges
3.4. Response of Stream Discharges to Altered Rainfall Variability
4. Discussion
5. Conclusions
Author Contributions
Funding
Data Availability Statement
Conflicts of Interest
References
- Hernández, A.; Martin-Puertas, C.; Moffa-Sánchez, P.; Moreno-Chamarro, E.; Ortega, P.; Blockley, S.; Cobb, K.M.; Comas-Bru, L.; Giralt, S.; Goosse, H.; et al. Modes of climate variability: Synthesis and review of proxy-based reconstructions through the Holocene. Earth-Sci. Rev. 2020, 209, 103286. [Google Scholar] [CrossRef]
- Ghil, M.; Lucarini, V. The physics of climate variability and climate change. Rev. Mod. Phys. 2020, 92, 035002. [Google Scholar] [CrossRef]
- Karl, T.R.; Trenberth, K.E. Modern Global Climate Change. Science 2003, 302, 1719–1723. [Google Scholar] [CrossRef] [PubMed]
- Kossin, J.P.; Knapp, K.R.; Olander, T.L.; Velden, C.S. Global increase in major tropical cyclone exceedance probability over the past four decades. Proc. Natl. Acad. Sci. USA 2020, 117, 11975–11980. [Google Scholar] [CrossRef]
- Hansford, M.R.; Plink-Björklund, P.; Jones, E.R. Global quantitative analyses of river discharge variability and hydrograph shape with respect to climate types. Earth-Sci. Rev. 2020, 200, 102977. [Google Scholar] [CrossRef]
- D’Odorico, P.; Laio, F.; Porporato, A.; Ridolfi, L.; Rinaldo, A.; Rodriguez-Iturbe, I. Ecohydrology of Terrestrial Ecosystems. BioScience 2010, 60, 898–907. [Google Scholar] [CrossRef]
- Andrés-Doménech, I.; García-Bartual, R.; Montanari, A.; Marco, J. Climate and hydrological variability: The catchment filtering role. Hydrol. Earth Syst. Sci. 2015, 19, 379–387. [Google Scholar] [CrossRef]
- Dwarakish, G.S.; Ganasri, B.P. Impact of land use change on hydrological systems: A review of current modeling approaches. Cogent Geosci. 2015, 1, 1115691. [Google Scholar] [CrossRef]
- Antolini, F.; Tate, E. Location Matters: A Framework to Investigate the Spatial Characteristics of Distributed Flood Attenuation. Water 2021, 13, 2706. [Google Scholar] [CrossRef]
- Yu, M.; Gao, Q. Topography, drainage capability, and legacy of drought differentiate tropical ecosystem response to and recovery from major hurricanes. Environ. Res. Lett. 2020, 15, 104046. [Google Scholar] [CrossRef]
- Pasch, R.J.; Penny, A.B.; Berg, R. National Hurricane Center Tropical Cyclone Report—Hurricane Maria (AL152017) 16–30 September 2017; National Hurricane Center: Miami, FL, USA, 2019; pp. 1–48. [Google Scholar]
- Pasch, R.J.; Reinhart, B.J.; Alaka, L. National Hurricane Center Tropical Cyclone Report Hurricane Fiona (AL072022) 14–23 September 2022; National Hurricane Center: Miami, FL, USA, 2023; p. 60. [Google Scholar]
- Gutiérrez-Fonseca, P.E.; Ramírez, A.; Pringle, C.M.; Torres, P.J.; McDowell, W.H.; Covich, A.; Crowl, T.; Pérez-Reyes, O. When the rainforest dries: Drought effects on a montane tropical stream ecosystem in Puerto Rico. Freshw. Sci. 2020, 39, 197–212. [Google Scholar] [CrossRef]
- Méndez-Lázaro, P.; Nieves-Santiango, A.; Miranda-Bermúdez, J. Trends in total rainfall, heavy rain events, and number of dry days in San Juan, Puerto Rico, 1955–2009. Ecol. Soc. 2014, 19, 50. [Google Scholar] [CrossRef][Green Version]
- Malmgren, B.A.; Winter, A.; Chen, D. El Niño–Southern Oscillation and North Atlantic Oscillation Control of Climate in Puerto Rico. J. Clim. 1998, 11, 2713–2717. [Google Scholar] [CrossRef]
- Torres-Valcárcel, A.R. Teleconnections between ENSO and rainfall and drought in Puerto Rico. Int. J. Climatol. 2018, 38, e1190–e1204. [Google Scholar] [CrossRef]
- Yu, M.; Gao, Q. Prolonged coastal inundation detected with synthetic aperture radar significantly retarded functional recovery of mangroves after major hurricanes. Landsc. Ecol. 2023, 38, 169–183. [Google Scholar] [CrossRef]
- Grau, H.R.; Aide, M.; Zimmerman, J.K.; Thomlinson, J.R.; Helmer, E.; Zou, X.M. The ecological consequences of socioeconomic and land-use Changes in postagriculture Puerto Rico. BioScience 2003, 53, 1159–1168. [Google Scholar] [CrossRef]
- Office for Coastal Management. C-CAP Land Cover, Puerto Rico, 2010; Office for Coastal Management: North Charleston, SC, USA, 2020. [Google Scholar]
- Kennaway, T.; Helmer, E.H. The forest types and ages cleared for land development in Puerto Rico. Giscience Remote Sens. 2007, 44, 356–382. [Google Scholar] [CrossRef]
- Gao, Q.; Yu, M. Reforestation-induced changes of landscape composition and configuration modulate freshwater supply and flooding risk of tropical watersheds. PLoS ONE 2017, 12, e0181315. [Google Scholar] [CrossRef]
- Angulo, J.; Ashley, J.; Lebedev, A.; McNeff, N. Assessing the Lifespans of Reservoirs in Region 2 of Puerto Rico; Worcester Polytechnic Institute: Worcester, MA, USA, 2011. [Google Scholar]
- Arnold, J.G.; Srinivasan, R.; Muttiah, R.S.; Williams, J.R. Large area hydrologic modeling and assessment part I: Model development1. JAWRA J. Am. Water Resour. Assoc. 1998, 34, 73–89. [Google Scholar] [CrossRef]
- Gassman, P.; Reyes, M.; Green, C.; Arnold, J. The Soil and Water Assessment Tool: Historical Development, Applications, and Future Research Directions. Trans. ASABE 2007, 50, 1211–1250. [Google Scholar] [CrossRef]
- Helmer, E.; Ramos, O.; Lopez, T.D.M.; Quinones, M.; Diaz, W. Mapping the forest type and land cover of Puerto Rico, a component of the Caribbean biodiversity hotspot. Caribb. J. Sci. 2002, 38, 165–183. [Google Scholar]
- R Core Term. R: A Language and Environmenta for Statistical Computing; R Foundation for Statistical Computing: Vienna, Austria, 2015. [Google Scholar]
- Chapin, F.S.I.; Matson, P.A.; Vitousek, P.M. Principles of Terrestrial Ecosystem Ecology, 2nd ed.; Springer: New York, NY, USA, 2011. [Google Scholar]
- Francis, J.R.; Wuddivira, M.N.; Farrick, K.K. Exotic tropical pine forest impacts on rainfall interception: Canopy, understory, and litter. J. Hydrol. 2022, 609, 127765. [Google Scholar] [CrossRef]
- Tague, C.L.; Moritz, M.A. Plant Accessible Water Storage Capacity and Tree-Scale Root Interactions Determine How Forest Density Reductions Alter Forest Water Use and Productivity. Front. For. Glob. Chang. 2019, 2, 36. [Google Scholar] [CrossRef]
- Marin-Spiotta, E.; Ostertag, R.; Silver, W.L. Long-term patterns in tropical reforestation: Plant community composition and aboveground biomass accumulation. Ecol. Appl. 2007, 17, 828–839. [Google Scholar] [CrossRef]
- Yuan, F.; Lopez, J.J.; Arnold, S.; Brand, A.; Klein, J.; Schmidt, M.; Moseman, E.; Michels-Boyce, M. Forestation in Puerto Rico, 1970 to present. J. Geogr. Geol. 2017, 9, 30–41. [Google Scholar] [CrossRef][Green Version]
- Rodriguez-Martinez, J.; Santiago, M. The Effects of Forest Cover on Base Flowof Streams in the Mountainous Interior of Puerto Rico, 2010; Puerto Rico Department of Natural and Environmental Resources: Virginia, WV, USA, 2017. [Google Scholar] [CrossRef]
- Khomsiati, N.; Suryoputro, N.; Yulistyorini, A.; Idfi, G.; Alias, N. The effect of forest area change in tropical islands towards baseflow and streamflow. IOP Conf. Ser. Earth Environ. Sci. 2021, 847, 012032. [Google Scholar] [CrossRef]
- Ramahaimandimby, Z.; Randriamaherisoa, A.; Vanclooster, M.; Bielders, C.L. Driving Factors of the Hydrological Response of a Tropical Watershed: The Ankavia River Basin in Madagascar. Water 2023, 15, 2237. [Google Scholar] [CrossRef]
- Bonnesoeur, V.; Locatelli, B.; Guariguata, M.R.; Ochoa-Tocachi, B.F.; Vanacker, V.; Mao, Z.; Stokes, A.; Mathez-Stiefel, S.-L. Impacts of forests and forestation on hydrological services in the Andes: A systematic review. For. Ecol. Manag. 2019, 433, 569–584. [Google Scholar] [CrossRef]
- Bathurst, J.C.; Amezaga, J.; Cisneros, F.; Gaviño Novillo, M.; Iroumé, A.; Lenzi, M.A.; Mintegui Aguirre, J.; Miranda, M.; Urciuolo, A. Forests and floods in Latin America: Science, management, policy and the EPIC FORCE project. Water Int. 2010, 35, 114–131. [Google Scholar] [CrossRef]
- Cooper, M.M.D.; Patil, S.D.; Nisbet, T.R.; Thomas, H.; Smith, A.R.; McDonald, M.A. Role of forested land for natural flood management in the UK: A review. WIREs Water 2021, 8, e1541. [Google Scholar] [CrossRef]
- Tamura, T. Improvement of the Flood-Reduction Function of Forests Based on Their Interception Evaporation and Surface Storage Capacities. In Green Infrastructure and Climate Change Adaptation: Function, Implementation and Governance; Nakamura, F., Ed.; Springer Nature Singapore: Singapore, 2022; pp. 93–104. [Google Scholar]
- Brooks, K.N.; Ffolliott, P.F.; Magner, J.A. Hydrology and the Management of Watersheds, 4th ed.; Wiley-Blackwell: Danvers, MA, USA, 2013; p. 545. [Google Scholar]
- Schwyter, A.R.; Vaughan, K.L. Introduction to Soil Science Laboratory Manual; University of Wyoming Libraries: Laramie, WY, USA, 2020. [Google Scholar]
- Yu, M.; Gao, Q.; Gao, C.; Wang, C. Extent of Night Warming and Spatially Heterogeneous Cloudiness Differentiate Temporal Trend of Greenness in Mountainous Tropics in the New Century. Sci. Rep. 2017, 7, 41256. [Google Scholar] [CrossRef] [PubMed]








| Watershed | Year | Forest | Pasture | Agriculture | Urban | 
|---|---|---|---|---|---|
| 50055000 | 1991 | 0.46 | 0.37 | 0.00 | 0.16 | 
| 2010 | 0.60 | 0.18 | 0.00 | 0.21 | |
| 50057000 | 1991 | 0.34 | 0.41 | 0.07 | 0.17 | 
| 2010 | 0.46 | 0.30 | 0.01 | 0.25 | |
| 50059050 | 1991 | 0.42 | 0.36 | 0.02 | 0.19 | 
| 2010 | 0.55 | 0.20 | 0.01 | 0.24 | 
| Subbasin | Slope | Intercept | ||
|---|---|---|---|---|
| Value | 95% Confidence Interval | Value | 95% Confidence Interval | |
| Difference between 2010 and 1991 land use | ||||
| 50055000 | −0.349 ± 0.018 | [−0.384, −0.314] | 0.079 ± 0.005 | [0.069, 0.089] | 
| 50057000 | −0.082 ± 0.010 | [−0.1009, −0.063] | 0.017 ± 0.001 | [0.014, 0.020] | 
| 50059050 | −0.323 ± 0.010 | [−0.344, −0.303] | 0.133 ± 0.007 | [0.120, 0.147] | 
| Difference between low forest and high forest | ||||
| 50055000 | −0.943 ± 0.155 | [−1.239, −0.624] | 0.403 ± 0.082 | [0.241, 0.566] | 
| 50057000 | −0.007 ± 0.123 | [−0.235, 0.262] | 0.323 ± 0.053 | [0.214, 0.423] | 
| 50059050 | −0.265 ± 0.048 | [−0.361, −0.168] | 0.387 ± 0.039 | [0.307, 0.460] | 
| Month | k | λ | P (mm/month) | ||
|---|---|---|---|---|---|
| January | 1.191 | 4.741 | 0.936 | 0.378 | 106.8 | 
| February | 0.986 | 5.643 | 0.909 | 0.408 | 120.0 | 
| March | 0.901 | 5.372 | 0.894 | 0.277 | 117.7 | 
| April | 0.885 | 5.632 | 0.899 | 0.306 | 126.0 | 
| May | 0.855 | 10.423 | 0.935 | 0.362 | 275.3 | 
| June | 0.917 | 8.667 | 0.925 | 0.413 | 210.2 | 
| July | 0.967 | 9.568 | 0.973 | 0.467 | 260.5 | 
| August | 0.864 | 7.774 | 0.939 | 0.533 | 216.5 | 
| September | 0.831 | 9.438 | 0.921 | 0.351 | 235.0 | 
| October | 0.877 | 9.403 | 0.935 | 0.383 | 243.3 | 
| November | 0.724 | 8.085 | 0.915 | 0.537 | 252.8 | 
| December | 0.851 | 7.042 | 0.961 | 0.423 | 204.3 | 
| Disclaimer/Publisher’s Note: The statements, opinions and data contained in all publications are solely those of the individual author(s) and contributor(s) and not of MDPI and/or the editor(s). MDPI and/or the editor(s) disclaim responsibility for any injury to people or property resulting from any ideas, methods, instructions or products referred to in the content. | 
© 2024 by the authors. Licensee MDPI, Basel, Switzerland. This article is an open access article distributed under the terms and conditions of the Creative Commons Attribution (CC BY) license (https://creativecommons.org/licenses/by/4.0/).
Share and Cite
Gao, Q.; Yu, M. Forest Cover and Locality Regulate Response of Watershed Discharge to Rainfall Variability in Caribbean Region. Forests 2024, 15, 154. https://doi.org/10.3390/f15010154
Gao Q, Yu M. Forest Cover and Locality Regulate Response of Watershed Discharge to Rainfall Variability in Caribbean Region. Forests. 2024; 15(1):154. https://doi.org/10.3390/f15010154
Chicago/Turabian StyleGao, Qiong, and Mei Yu. 2024. "Forest Cover and Locality Regulate Response of Watershed Discharge to Rainfall Variability in Caribbean Region" Forests 15, no. 1: 154. https://doi.org/10.3390/f15010154
APA StyleGao, Q., & Yu, M. (2024). Forest Cover and Locality Regulate Response of Watershed Discharge to Rainfall Variability in Caribbean Region. Forests, 15(1), 154. https://doi.org/10.3390/f15010154
 
        

 
       