Environmental Drivers of Landscape Fragmentation Influence Intraspecific Leaf Traits in Forest Ecosystem
Abstract
:1. Introduction
2. Materials and Methods
2.1. Establishment of Sample Plots and Buffer Zones
2.2. Measurement of Variables
2.2.1. Measurement of Environmental Factors
2.2.2. Measurement of Plant Development and Leaf Functional Traits
2.3. Statistical Analysis
3. Results
3.1. Differences in Leaf Traits of Plant Development and Environmental Factors
3.2. Selection of the Linear Mixed-Effects Models
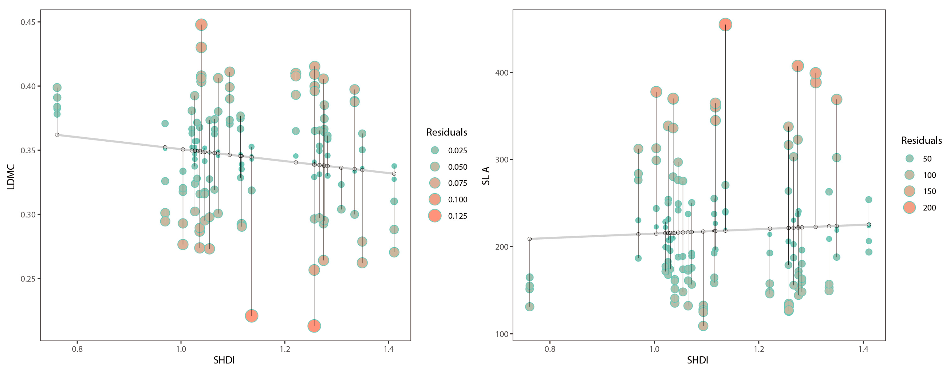
3.3. Response of Leaf Traits to Environmental Drivers under the Influence of Fragmentation
4. Discussion
4.1. Relative Importance of Plant Development and Environmental Factors
4.2. Changes in Leaf Traits Mediated by Landscape Structure in Landscape Fragmentation
4.2.1. Changes Mediated by Landscape Composition
4.2.2. Changes Mediated by Landscape Configuration
4.3. Changes in Leaf Traits Mediated by Landscape Heterogeneity in Landscape Fragmentation
4.4. Strategies of Landscape Management
4.4.1. Plant Development and Environmental Factors
4.4.2. Landscape Structure and Heterogeneity
4.4.3. Sustainability in Forest Management
5. Conclusions
Supplementary Materials
Author Contributions
Funding
Data Availability Statement
Conflicts of Interest
References
- Haddad, N.M.; Brudvig, L.A.; Clobert, J.; Davies, K.F.; Gonzalez, A.; Holt, R.D.; Lovejoy, T.E.; Sexton, J.O.; Austin, M.P.; Collins, C.D.; et al. Habitat fragmentation and its lasting impact on Earth’s ecosystems. Sci. Adv. 2015, 1, 9. [Google Scholar] [CrossRef] [PubMed]
- Zambrano, J.; Garzon-Lopez, C.X.; Yeager, L.; Fortunel, C.; Cordeiro, N.J.; Beckman, N.G. The effects of habitat loss and fragmentation on plant functional traits and functional diversity: What do we know so far? Oecologia 2019, 191, 505–518. [Google Scholar] [CrossRef] [PubMed]
- Weemstra, M.; Freschet, G.T.; Stokes, A.; Roumet, C. Patterns in intraspecific variation in root traits are species-specific along an elevation gradient. Funct. Ecol. 2021, 35, 342–356. [Google Scholar] [CrossRef]
- Hurtado, P.; Prieto, M.; Aragon, G.; de Bello, F.; Martinez, I. Intraspecific variability drives functional changes in lichen epiphytic communities across Europe. Ecology 2020, 101, 10. [Google Scholar] [CrossRef]
- Jung, V.; Albert, C.H.; Violle, C.; Kunstler, G.; Loucougaray, G.; Spiegelberger, T. Intraspecific trait variability mediates the response of subalpine grassland communities to extreme drought events. J. Ecol. 2014, 102, 45–53. [Google Scholar] [CrossRef]
- He, D.; Biswas, S.R.; Xu, M.S.; Yang, T.H.; You, W.H.; Yan, E.R. The importance of intraspecific trait variability in promoting functional niche dimensionality. Ecography 2021, 44, 380–390. [Google Scholar] [CrossRef]
- Gu, L.; Gong, Z.W.; Du, Y.X. Evolution characteristics and simulation prediction of forest and grass landscape fragmentation based on the “Grain for Green” projects on the Loess Plateau, P.R. China. Ecol. Indic. 2021, 131, 13. [Google Scholar] [CrossRef]
- Liu, C.C.; Li, Y.; Yan, P.; He, N.P. How to Improve the Predictions of Plant Functional Traits on Ecosystem Functioning? Front. Plant Sci. 2021, 12, 5. [Google Scholar] [CrossRef]
- De Smedt, P.; Ottaviani, G.; Wardell-Johnson, G.; Sykora, K.V.; Mucina, L. Habitat heterogeneity promotes intraspecific trait variability of shrub species in Australian granite inselbergs. Folia Geobot. 2018, 53, 133–145. [Google Scholar] [CrossRef]
- Niu, K.C.; Zhang, S.; Lechowicz, M. Harsh environmental regimes increase the functional significance of intraspecific variation in plant communities. Funct. Ecol. 2020, 34, 1666–1677. [Google Scholar] [CrossRef]
- Read, Q.D.; Henning, J.A.; Sanders, N.J. Intraspecific variation in traits reduces ability of trait-based models to predict community structure. J. Veg. Sci. 2017, 28, 1070–1081. [Google Scholar] [CrossRef]
- De Andres, E.G.; Rosas, T.; Camarero, J.J.; Martinez-Vilalta, J. The intraspecific variation of functional traits modulates drought resilience of European beech and pubescent oak. J. Ecol. 2021, 109, 3652–3669. [Google Scholar] [CrossRef]
- Jonsdottir, I.S.; Halbritter, A.H.; Christiansen, C.T.; Althuizen, I.H.J.; Haugum, S.V.; Henn, J.J.; Bjornsdottir, K.; Maitner, B.S.; Malhi, Y.; Michaletz, S.T.; et al. Intraspecific trait variability is a key feature underlying high Arctic plant community resistance to climate warming. Ecol. Monogr. 2023, 93, 21. [Google Scholar] [CrossRef]
- Henn, J.J.; Buzzard, V.; Enquist, B.J.; Halbritter, A.H.; Klanderuds, K.; Maitner, B.S.; Michaletz, S.T.; Potschs, C.; Seltzer, L.; Telford, R.J.; et al. Intraspecific Trait Variation and Phenotypic Plasticity Mediate Alpine Plant Species Response to Climate Change. Front. Plant Sci. 2018, 9, 11. [Google Scholar] [CrossRef] [PubMed]
- Cursach, J.; Rita, J.; Gomez-Martinez, C.; Cardona, C.; Cap, M.; Lazaro, A. The role of landscape composition and heterogeneity on the taxonomical and functional diversity of Mediterranean plant communities in agricultural landscapes. PLoS ONE 2020, 15, 18. [Google Scholar] [CrossRef]
- Zheng, J.; Jiang, Y.; Qian, H.; Mao, Y.J.; Zhang, C.; Tang, X.X.; Jin, Y.; Yi, Y. Size-dependent and environment-mediated shifts in leaf traits of a deciduous tree species in a subtropical forest. Ecol. Evol. 2022, 12, 10. [Google Scholar] [CrossRef]
- Qiu, J.; Han, A.X.; He, C.M.; Dai, X.X.; Jia, S.H.; Luo, Y.; Hao, Z.Q.; Yin, Q.L. Functional Traits of Quercus aliena var. acuteserrata in Qinling Huangguan Forest Dynamics Plot: The Relative Importance of Plant Size and Habitat. Forests 2022, 13, 899. [Google Scholar] [CrossRef]
- Tscharntke, T.; Tylianakis, J.M.; Rand, T.A.; Didham, R.K.; Fahrig, L.; Batary, P.; Bengtsson, J.; Clough, Y.; Crist, T.O.; Dormann, C.F.; et al. Landscape moderation of biodiversity patterns and processes—Eight hypotheses. Biol. Rev. 2012, 87, 661–685. [Google Scholar] [CrossRef]
- Redhead, J.W.; Oliver, T.H.; Woodcock, B.; Pywell, R.F. The influence of landscape composition and configuration on crop yield resilience. J. Appl. Ecol. 2020, 57, 2180–2190. [Google Scholar] [CrossRef]
- Dorrough, J.; Moll, J.; Crosthwaite, J. Can intensification of temperate Australian livestock production systems save land for native biodiversity? Agric. Ecosyst. Environ. 2007, 121, 222–232. [Google Scholar] [CrossRef]
- Shi, P.J.; Quinn, B.K.; Chen, L.; Gao, J.; Schrader, J. Quantifying & alpha;-diversity as a continuous function of location-a case study of a temperate forest. J. For. Res. 2023, 9, 1–9. [Google Scholar] [CrossRef]
- He, D.; Yan, E.R. Size-dependent variations in individual traits and trait scaling relationships within a shade-tolerant evergreen treespecies. Am. J. Bot. 2018, 105, 1165–1174. [Google Scholar] [CrossRef] [PubMed]
- Grime, J.P. Plant Strategies, Vegetation Processes, and Ecosystem Properties. Biol. Conserv. 2001, 107, 260–261. [Google Scholar] [CrossRef]
- Simova, I.; Violle, C.; Svenning, J.C.; Kattge, J.; Engemann, K.; Sandel, B.; Peet, R.K.; Wiser, S.K.; Blonder, B.; McGill, B.J.; et al. Spatial patterns and climate relationships of major plant traits in the New World differ between woody and herbaceous species. J. Biogeogr. 2018, 45, 895–916. [Google Scholar] [CrossRef]
- Maes, S.L.; Perring, M.P.; Depauw, L.; Bernhardt-Romermann, M.; Blondeel, H.; Brumelis, G.; Brunet, J.; Decocq, G.; den Ouden, J.; Govaert, S.; et al. Plant functional trait response to environmental drivers across European temperate forest understorey communities. Plant Biol. 2020, 22, 410–424. [Google Scholar] [CrossRef]
- Huang, L.; Ratkowsky, D.A.; Hui, C.; Gielis, J.; Lian, M.; Yao, W.; Li, Q.; Zhang, L.; Shi, P. Inequality Measure of Leaf Area Distribution for a Drought-Tolerant Landscape Plant. Plants 2023, 12, 3143. [Google Scholar] [CrossRef]
- Lian, M.; Shi, P.; Zhang, L.; Yao, W.; Gielis, J.; Niklas, K.J. A generalized performance equation and its application in measuring the Gini index of leaf size inequality. Trees 2023, 37, 1555–1565. [Google Scholar] [CrossRef]
- Laliberte, E.; Legendre, P. A distance-based framework for measuring functional diversity from multiple traits. Ecology 2010, 91, 299–305. [Google Scholar] [CrossRef]
- Li, Y.; Krober, W.; Bruelheide, H.; Hardtle, W.; von Oheimb, G. Crown and leaf traits as predictors of subtropical tree sapling growth rates. J. Plant Ecol. 2017, 10, 136–145. [Google Scholar] [CrossRef]
- Guo, X.C.; Shi, P.J.; Niinemets, U.; Holscher, D.; Wang, R.; Liu, M.D.; Li, Y.R.; Dong, L.N.; Niklas, K.J. “Diminishing returns” for leaves of five age-groups of Phyllostachys edulis culms. Am. J. Bot. 2021, 108, 1662–1672. [Google Scholar] [CrossRef]
- Jiao, Y.B.; Niklas, K.J.; Wang, L.; Yu, K.X.; Li, Y.R.; Shi, P.J. Influence of Leaf Age on the Scaling Relationships of Lamina Mass vs. Area. Front. Plant Sci. 2022, 13, 10. [Google Scholar] [CrossRef] [PubMed]
- Huang, W.W.; Reddy, G.V.P.; Li, Y.Y.; Larsen, J.B.; Shi, P.J. Increase in Absolute Leaf Water Content Tends to Keep Pace with That of Leaf Dry Mass-Evidence from Bamboo Plants. Symmetry 2020, 12, 10. [Google Scholar] [CrossRef]
- Perez-Harguindeguy, N.; Diaz, S.; Garnier, E.; Lavorel, S.; Poorter, H.; Jaureguiberry, P.; Bret-Harte, M.S.; Cornwell, W.K.; Craine, J.M.; Gurvich, D.E.; et al. New handbook for standardised measurement of plant functional traits worldwide. Aust. J. Bot. 2013, 61, 167–234. [Google Scholar] [CrossRef]
- Zeng, S.; Gan, J.; Xiao, H.; Liu, F.; Xiao, B.; Peng, Q.; Wu, J. Changes in soil properties in regenerating Schima superba secondary forests. Acta Ecol. Sin. 2014, 34, 4242–4250. [Google Scholar] [CrossRef]
- Thakur, D.; Singh, L.; Chawla, A. Reliability of leaf functional traits after delayed measurements. Aust. J. Bot. 2020, 68, 100–107. [Google Scholar] [CrossRef]
- Huang, W.J.; Li, Z.J.; Yang, Z.P.; Liang, J.Y.; Bai, G.Z. Heteromorphic leaf structural characteristics and their correlations with diameter at breast height of Populus euphratica. Chin. J. Ecol. 2010, 29, 2347–2352. [Google Scholar]
- Griffith, D.M.; Quigley, K.M.; Anderson, T.M. Leaf thickness controls variation in leaf mass per area (LMA) among grazing-adapted grasses in Serengeti. Oecologia 2016, 181, 1035–1040. [Google Scholar] [CrossRef]
- Spasojevic, M.J.; Turner, B.L.; Myers, J.A.; Jones, R. When does intraspecific trait variation contribute to functional beta-diversity? J. Ecol. 2016, 104, 487–496. [Google Scholar] [CrossRef]
- Kuznetsova, A.; Brockhoff, P.B.; Christensen, R.H.B. lmerTest Package: Tests in Linear Mixed Effects Models. J. Stat. Softw. 2017, 82, 1–26. [Google Scholar] [CrossRef]
- Fox, J.; Weisberg, S. An R Companion to Applied Regression, Third Edition. 2019. Available online: https://socialsciences.mcmaster.ca/jfox/Books/Companion/ (accessed on 1 May 2023).
- Dormann, C.F.; Elith, J.; Bacher, S.; Buchmann, C.; Carl, G.; Carre, G.; Marquez, J.R.G.; Gruber, B.; Lafourcade, B.; Leitao, P.J.; et al. Collinearity: A review of methods to deal with it and a simulation study evaluating their performance. Ecography 2013, 36, 27–46. [Google Scholar] [CrossRef]
- Lai, J.S.; Zou, Y.; Zhang, S.; Zhang, X.G.; Mao, L.F. glmm.hp: An R package for computing individual effect of predictors in generalized linear mixed models. J. Plant Ecol. 2022, 15, 1302–1307. [Google Scholar] [CrossRef]
- Schielzeth, H.; Nakagawa, S. Nested by design: Model fitting and interpretation in a mixed model era. Methods Ecol. Evol. 2013, 4, 14–24. [Google Scholar] [CrossRef]
- Li, S.P.; Jia, P.; Fan, S.Y.; Wu, Y.T.; Liu, X.; Meng, Y.N.; Li, Y.; Shu, W.S.; Li, J.T.; Jiang, L. Functional traits explain the consistent resistance of biodiversity to plant invasion under nitrogen enrichment. Ecol. Lett. 2022, 25, 778–789. [Google Scholar] [CrossRef]
- Bartoń, K. MuMIn: Multi-Model Inference. R Package Version 1.47.5. 2023. Available online: https://CRAN.R-project.org/package=MuMIn (accessed on 1 May 2023).
- R Core Team. R: A Language and Environment for Statistical Computing; R Foundation for Statistical Computing: Vienna, Austria, 2021; Available online: https://www.R-project.org/ (accessed on 1 May 2023).
- He, D.; Deane, D.C. The relationship between trunk- and twigwood density shifts with tree size and species stature. For. Ecol. Manag. 2016, 372, 137–142. [Google Scholar] [CrossRef]
- Xu, R.; Wang, L.Y.; Zhang, J.; Zhou, J.; Cheng, S.D.; Tigabu, M.; Ma, X.Q.; Wu, P.F.; Li, M. Growth Rate and Leaf Functional Traits of Four Broad-Leaved Species Underplanted in Chinese Fir Plantations with Different Tree Density Levels. Forests 2022, 13, 308. [Google Scholar] [CrossRef]
- Manson, D.G.; Hanan, J.; Hunt, M.; Bristow, M.; Erskine, P.D.; Lamb, D.; Schmidt, S. Modelling predicts positive and negative interactions between three Australian tropical tree species in monoculture and binary mixture. For. Ecol. Manag. 2006, 233, 315–323. [Google Scholar] [CrossRef]
- Wang, J.F.; Wang, X.X.; Ji, Y.H.; Gao, J. Climate factors determine the utilization strategy of forest plant resources at large scales. Front. Plant Sci. 2022, 13, 990441. [Google Scholar] [CrossRef]
- Reich, P.B.; Wright, I.J.; Cavender-Bares, J.; Craine, J.M.; Oleksyn, J.; Westoby, M.; Walters, M.B. The evolution of plant functional variation: Traits, spectra, and strategies. Int. J. Plant Sci. 2003, 164, S143–S164. [Google Scholar] [CrossRef]
- Poorter, H.; Niinemets, U.; Poorter, L.; Wright, I.J.; Villar, R. Causes and consequences of variation in leaf mass per area (LMA): A meta-analysis. New Phytol. 2009, 182, 565–588. [Google Scholar] [CrossRef]
- IPCC. Climate change 2014: Synthesis report. In Contribution of Working Groups I, II and II to the Fifth Assessment Report of the Intergovernmental Panel on Climate Change; Pachauri, R.K., Meyer, L.A., Eds.; IPCC: Geneva, Switzerland, 2014; p. 151. [Google Scholar]
- Forner, A.; Moran-Lopez, T.; Flores-Renteria, D.; Aranda, I.; Valladares, F. Fragmentation reduces severe drought impacts on tree functioning in holm oak forests. Environ. Exp. Bot. 2020, 173, 10. [Google Scholar] [CrossRef]
- Chang, Y.N.; Xu, C.B.; Yang, H.; Zhou, J.X.; Hua, W.P.; Zhang, S.H.; Zhong, Q.L.; Li, B.Y. Leaf Structural Traits Vary With Plant Size in Even-Aged Stands of Sapindus mukorossi. Front. Plant Sci. 2021, 12, 11. [Google Scholar] [CrossRef]
- Fahrig, L.; Nuttle, W.K. Population ecology in spatially heterogeneous environments. In Ecosystem Function in Heterogeneous Landscapes; Lovett, G.M., Turner, M.G., Jones, C.G., Weathers, K.C., Eds.; Springer: New York, NY, USA, 2005. [Google Scholar]
- Fahrig, L. Effects of Habitat Fragmentation on Biodiversity. Annu. Rev. Ecol. Evol. Syst. 2003, 34, 487–515. [Google Scholar] [CrossRef]
- Aviron, S.; Kindlmann, P.; Burel, F. Conservation of butterfly populations in dynamic landscapes: The role of farming practices and landscape mosaic. Ecol. Model. 2007, 205, 135–145. [Google Scholar] [CrossRef]
- Pope, S.E.; Fahrig, L.; Merriam, H.G. Landscape complementation and metapopulation effects on leopard frog populations. Ecology 2000, 81, 2498–2508. [Google Scholar] [CrossRef]
- Tscharntke, T.; Steffan-Dewenter, I.; Kruess, A.; Thies, C. Contribution of small habitat fragments to conservation of insect communities of grassland-cropland landscapes. Ecol. Appl. 2002, 12, 354–363. [Google Scholar] [CrossRef]
- do Amaral, T.S.; dos Santos, J.S.; Rosa, F.F.; Pessoa, M.B.; Chaves, L.J.; Ribeiro, M.C.; Collevatti, R.G. Agricultural Landscape Heterogeneity Matter: Responses of Neutral Genetic Diversity and Adaptive Traits in a Neotropical Savanna Tree. Front. Genet. 2021, 11, 15. [Google Scholar] [CrossRef] [PubMed]
- Pretzsch, H.; Schütze, G. Tree species mixing can increase stand productivity, density, and growth efficiency and attenuate the tradeoff between density and growth throughout the whole rotation. Ann Bot. 2021, 128, 767–786. [Google Scholar] [CrossRef] [PubMed]
- Duflot, R.; Ernoult, A.; Aviron, S.; Fahrig, L.; Burel, F. Relative effects of landscape composition and configuration on multi-habitat gamma diversity in agricultural landscapes. Agric. Ecosyst. Environ. 2017, 241, 62–69. [Google Scholar] [CrossRef]
- Wang, C.X.; Liu, X.; Wu, J.C.; Qiao, W.G.; Liu, Y.X. Planning a water-constrained ecological restoration pattern to enhance sustainable landscape management in drylands. J. Environ. Manag. 2023, 335, 11. [Google Scholar] [CrossRef]
- Vizzarri, M.; Sallustio, L.; Travaglini, D.; Bottalico, F.; Chirici, G.; Garfi, V.; Lafortezza, R.; La Mela Veca, D.S.; Lombardi, F.; Maetzke, F.; et al. The MIMOSE Approach to Support Sustainable Forest Management Planning at Regional Scale in Mediterranean Contexts. Sustainability 2017, 9, 16. [Google Scholar] [CrossRef]




| Abbreviation | Description | |
|---|---|---|
| Predictor variables | ||
| Plant development | DBH | Measured diameter at breast height of R. pseudoacacia individuals |
| Height | The plant height of R. pseudoacacia individuals | |
| Environmental factors | PLAND | Percentage of woodland area in the landscape area of the entire buffer zone |
| Forest type | Divided into fragmented forest and continuous forest based on different landscape configurations | |
| SHDI | Characterising landscape heterogeneity using Shannon’s diversity index | |
| Functional traits | ||
| SLA | Specific leaf area | |
| LA | Leaf area | |
| LDMC | Leaf dry matter content | |
| Lth | Leaf thickness | |
| Individual R2 | SLA | LA | LDMC | Lth |
|---|---|---|---|---|
| Plant development | 0.0035 | 0.0080 | 0.0169 | 0.0175 |
| Landscape structure | 0.3876 *** | 0.0540 * | 0.2862 *** | 0.3205 *** |
| Landscape heterogeneity | 0.0322 | 0.0089 | 0.0478 | 0.0004 |
| Fixed Effects | SLA | LA | LDMC | Lth | |
|---|---|---|---|---|---|
| Plant size | DBH | ||||
| Height | −0.04 | −0.09 | |||
| Landscape heterogeneity | SHDI | 0.20 * | 0.13 | ||
| Landscape structure | PLAND | ||||
| Forest type | −1.39 *** | −0.58 * | 1.10 *** | 1.20 *** | |
Disclaimer/Publisher’s Note: The statements, opinions and data contained in all publications are solely those of the individual author(s) and contributor(s) and not of MDPI and/or the editor(s). MDPI and/or the editor(s) disclaim responsibility for any injury to people or property resulting from any ideas, methods, instructions or products referred to in the content. |
© 2023 by the authors. Licensee MDPI, Basel, Switzerland. This article is an open access article distributed under the terms and conditions of the Creative Commons Attribution (CC BY) license (https://creativecommons.org/licenses/by/4.0/).
Share and Cite
Guo, H.; Duan, D.; Lei, H.; Chen, Y.; Li, J.; Albasher, G.; Li, X. Environmental Drivers of Landscape Fragmentation Influence Intraspecific Leaf Traits in Forest Ecosystem. Forests 2023, 14, 1875. https://doi.org/10.3390/f14091875
Guo H, Duan D, Lei H, Chen Y, Li J, Albasher G, Li X. Environmental Drivers of Landscape Fragmentation Influence Intraspecific Leaf Traits in Forest Ecosystem. Forests. 2023; 14(9):1875. https://doi.org/10.3390/f14091875
Chicago/Turabian StyleGuo, Huifeng, Dantong Duan, Hangyu Lei, Yi Chen, Jiangtao Li, Gadah Albasher, and Xiang Li. 2023. "Environmental Drivers of Landscape Fragmentation Influence Intraspecific Leaf Traits in Forest Ecosystem" Forests 14, no. 9: 1875. https://doi.org/10.3390/f14091875
APA StyleGuo, H., Duan, D., Lei, H., Chen, Y., Li, J., Albasher, G., & Li, X. (2023). Environmental Drivers of Landscape Fragmentation Influence Intraspecific Leaf Traits in Forest Ecosystem. Forests, 14(9), 1875. https://doi.org/10.3390/f14091875

