Next Article in Journal
Effects of Soil Properties and Nutrients on the Fruit Economic Parameters and Oil Nutrient Contents of Camellia oleifera
Next Article in Special Issue
Combining Multisource Data and Machine Learning Approaches for Multiscale Estimation of Forest Biomass
Previous Article in Journal
Responses of Physiological, Morphological and Anatomical Traits to Abiotic Stress in Woody Plants
Previous Article in Special Issue
CH4 and N2O Emissions of Undrained and Drained Nutrient-Rich Organic Forest Soil
 
 
Font Type:
Arial Georgia Verdana
Font Size:
Aa Aa Aa
Line Spacing:
Column Width:
Background:
Article

Optimizing Carbon Sequestration in Forest Management Plans Using Advanced Algorithms: A Case Study of Greater Khingan Mountains

1
School of Management, Nanjing University of Posts and Telecommunications, Nanjing 210003, China
2
Jiangsu Key Laboratory of Wireless Communications, Nanjing University of Posts and Telecommunications, Nanjing 210003, China
3
Engineering Research Center of Health Service System Based on Ubiquitous Wireless Networks, Nanjing University of Posts and Telecommunications, Ministry of Education, Nanjing 210003, China
4
School of Computer Science, Nanjing University of Posts and Telecommunications, Nanjing 210003, China
5
School of Science, Nanjing University of Posts and Telecommunications, Nanjing 210003, China
*
Author to whom correspondence should be addressed.
Forests 2023, 14(9), 1785; https://doi.org/10.3390/f14091785
Submission received: 10 July 2023 / Revised: 22 August 2023 / Accepted: 30 August 2023 / Published: 1 September 2023

Abstract

:
The Paris Agreement aims to combat climate change by reducing greenhouse gas emissions, with bioenergy identified as a potential solution. However, concerns remain about its impact on carbon stocks and the optimal timing for implementation. To address these challenges, we propose a comprehensive multi-objective optimization model for forest management that maximizes carbon sequestration and economic benefits. Our model integrates three key components: (1) a sophisticated carbon-sequestration model encompassing living plants, wood forest products, and soil and microbial carbon uptake, (2) dynamic factors such as forest fires and extreme weather events, and (3) an economic benefits model focused on wood-processing products. We optimized the forest-management strategy over ten years by leveraging the simulated annealing and Karush–Kuhn–Tucker (KKT) algorithms. Through simulations using data from China’s Greater Khingan Mountains region, we explored the optimal logging plans for maximizing carbon sequestration without external factors. Our results revealed that the optimized logging plans significantly enhance carbon sequestration compared to proportionally averaged logging plans. Next, we investigated the impact of external factors on forest management, specifically wildfires and extreme weather events. Our findings demonstrate that wildfires have a more-substantial detrimental effect on the absolute value of carbon sequestration and the extent of improvement achieved through model optimization. At the same time, extreme cold primarily affects the growth rate of carbon sequestration. We employed a linear-weighting approach and the Analytic Hierarchy Process (AHP) to address the trade-offs between carbon sequestration and economic benefits to transform the multi-objective optimization function into a single objective. The results showed that the optimized harvesting schedule can lead to improved economic benefits compared to uniformly harvesting trees. Moreover, the joint optimization approach enabled us to identify optimal solutions that balance carbon sequestration and economic benefits, offering sustainable forest management strategies. Our study provides valuable quantitative insights into forest management strategies that balance carbon sequestration and economic benefits, making it highly relevant for real-world applications.

1. Introduction

The Paris Agreement proposed by the United Nations Framework Convention on Climate Change (UNFCCC) outlines long-term goals to restrict the global average temperature rise to below 2 C compared to the pre-industrial era, intending to limit the temperature increase to 1.5 C [1]. Climate change poses a significant challenge for the future of both nature and human beings, necessitating substantial reductions in net Greenhouse Gas (GHG) emissions to achieve sustainable development. Meeting these emission reduction targets will require transformative changes in the energy supply systems [2]. Consequently, all countries have committed to reporting their plans for reducing GHG emissions, with a shared vision of achieving net-zero carbon dioxide (CO 2 ) emissions [1]. In this context, the role of bioenergy and carbon sequestration has garnered considerable attention. Bioenergy derived from forest biomass has the potential to play a significant role in mitigating climate change. However, there are varying perspectives on the timing of the benefits of bioenergy. Some studies [3,4] have raised concerns that bioenergy derived from existing forest harvesting may deplete carbon stocks in the forest, leading to a temporary release of carbon until the forest is replenished. On the other hand, utilizing biomass from newly converted forest land allows for initial carbon sequestration before any subsequent release. Carbon sequestration involves the extraction of CO 2 from the atmosphere, while interim storage refers to retaining sequestered carbon in non-atmospheric reservoirs for a limited duration. These methods of temporarily avoiding radiative forcing caused by greenhouse gas emissions are considered vital for mitigating climate change [2]. However, standards and protocols need to be established for estimating temporary carbon storage, release, or delayed emissions in the carbon footprint of products and climate change impact assessments. Hence, thoroughly evaluating CO 2 sequestration is crucial to formulating effective forest management strategies and contributing to global GHG reduction efforts. Regarding forest-management plans, numerous choices are available, and various factors are considered during decision-making. Imbeau et al. (2015) offered guidance on sustainable northern forest management based on three indicators that met specific requirements for northern caribou and were related to the proportion and fragmentation of high-density forest habitats [5]. In their work, Spittlehouse et al. (2003) argued that adaptation in sustainable forest management includes a climate change focus [6]. Additionally, Siira-Pietikinen et al. (2001) studied the impact of different forest harvesting methods on changes in soil decomposition communities [7]. Although these forest-management practices are highly significant regarding ecological preservation and climatic conditions, the evaluation of carbon sequestration is less comprehensive.
Currently, there are rarely uniform methods for calculating carbon sequestration in forests. Concerning tree carbon sequestration, Attri et al. (2018) estimated the vegetation carbon pools within the Barkot forest range in Uttarakhand, where an inventory-based biomass assessment technique was employed to determine each sample plot’s standing stock, biomass, and carbon [8]. This study emphasized the significance of geospatial technologies in evaluating standing stock, biomass, and carbon. Moreover, Bai et al. (2007) estimated the changes in carbon storage of wood forest products in China from 1961 to 2000 through the stock method of change, production, and atmospheric flow, respectively [9]. However, these methods have their limitations. For instance, the storage change method is prone to double-counting, while the production method can only compute the instantaneous value at a specific time [10]. For the forest areas and geographical information, satellite imagery and Geographic Information System (GIS) technology can be usually used to accurately delineate and measure the forested regions. Moreover, with the advancement of technology, Unmanned Aerial Vehicles (UAVs) equipped with high-precision communication channels can be effectively utilized to gather required information from forests across different altitudes and regions [11,12]. These UAVs offer a versatile and efficient means of data collection, enabling researchers to access remote and challenging terrains, thus providing valuable insights into forest characteristics and dynamics. These approaches allowed us to obtain comprehensive data on the forest coverage and spatial distribution.
In addition, carbon sequestration in forests is vulnerable to disruptions from external factors and extreme weather events, such as rainstorms, wildfires, and locust plagues. The authors Zituni et al. (2019) analyzed and monitored the impact of forest management on soil erosion in the Carmel Forest after wildfires [13]. In the study conducted by Xiaorui et al. (2003), the carbon released by forest fire was estimated based on statistics and biomass research results from 1991 to 2000 in China [14].
While forest-management practices play a critical role in preserving ecological systems and addressing climate change, the comprehensive evaluation of carbon sequestration remains relatively limited. Some studies have focused on soil carbon sequestration under various forest-management practices [15], while others have explored opportunities to enhance carbon sequestration in under-managed forests [16]. However, these models often overlook the effects of wood products following tree felling on carbon sequestration. The implications of our research are twofold. Firstly, the proposed comprehensive carbon-sequestration model, which considers living plants, wood products, soil components, and external factors, provides a valuable tool for policy-makers and forest managers to make informed decisions. By understanding the interplay of these components and external influences, stakeholders can devise effective strategies to maximize carbon sequestration in forests while considering economic benefits and sustainability. Such policy-driven forest-management plans can significantly contribute to achieving national and international climate change goals, including those outlined in the Paris Agreement.
Secondly, our research introduces forest-management plans with different objectives, including carbon sequestration maximization, economic benefits’ maximization, and joint optimization. By offering diverse management options, forest managers can tailor their strategies to specific regional or global contexts. For instance, focusing on carbon sequestration maximization in regions with high environmental sensitivity may be the preferred approach. Conversely, a joint optimization approach can balance carbon sequestration goals with economic benefits in areas emphasizing economic development.
This paper proposes a new model for carbon sequestration that takes into account living plants, wood products, and soil components, as well as external factors such as forest fires, extreme weather conditions, and human activities, in order to address the gaps identified above. Furthermore, we introduce forest-management plans with different objectives, including carbon sequestration maximization, economic benefits’ maximization, and joint optimization, using the harvesting ratio in each forest area as the decision variable. We employed single-objective and multi-objective optimization methods based on the simulated annealing and Karush–Kuhn–Tucker (KKT) algorithms to obtain optimized forest-management plans. The main contributions of this paper can be summarized as follows:
(1) A new carbon-sequestration model, including the living plants, wood products, and soil, is proposed. Moreover, the effect of external factors, i.e., forest fire, extreme weather, and human activities, are also considered.
(2) Forest management plans with different objectives are introduced, allowing for carbon sequestration maximization, economic benefits’ maximization, and joint optimization. Both single-objective and multi-objective optimization methods were developed, based on the simulated annealing and Karush–Kuhn–Tucker (KKT) algorithms, to obtain the optimized forest-management plans.
(3) Numerical simulations and verification were conducted according to the forest data of the Greater Khingan Mountains in China. The simulated results showed that logging ratios are influenced by total stock volume when maximizing carbon sequestration, while maximizing economic benefits depends on the unit stock volume. Wildfires have a significant impact on optimal plans compared to extreme weather conditions. Joint optimization results in fluctuating logging ratios, and sacrificing some economic benefits can achieve stable carbon sequestration growth.
The rest part of the paper is organized as follows. Section 2 analyzes the current situation of forests in China, outlines the proposed model, and introduces the calculation methods of each component of carbon sequestration in the forest system. In Section 3, the simulation and numerical test are carried out based on data in the Greater Khingan Mountains area. In Section 4, the simulation results are analyzed and discussed, and the feasibility and rationality of the model are explored. Finally, Section 5 provides the conclusions and implications of this research.

2. Materials and Models

2.1. Study Forests

China’s forest area is relatively modest; its resources are limited, and its distribution is uneven. The forest coverage rate of 12.98% in China is notably lower than the global average value of 31%. China’s total forest volume is estimated at 9.78 billion m 3 , accounting for 2.5% [17].
The Great Khingan forest, encompassing a total area of 324,800 km 2 , is China’s largest and best-preserved primary forest. This region comprises approximately 240,000 km 2 within the Inner Mongolia Autonomous Region and 84,800 km 2 in Heilongjiang Province. The Great Khingan forest is located in the northeastern part of the Inner Mongolia Autonomous Region and Heilongjiang Province, spanning across six degrees of longitude (from 121°12 to 127°00 E) and three degrees of latitude (from 50°10 to 53°33 N). It is a watershed between the Inner Mongolia Plateau and the Songzu Plain. It is adjacent to Xiaoxing’an Peak in the east, the Inner Mongolia Autonomous Region in the west, the Songnen Plain in the south, and Russia in the north. As the main mountain system of the Inner Mongolia Autonomous Region, this area’s highest peak, Suoyueerji Mountain, stands between 1100 and 1400 m above sea level. The Great Khingan forest boasts dense virgin forests and serves as one of the crucial forestry bases in China. The geographical boundaries of the Greater Khingan Mountains are illustrated in Figure 1 [18]. The Great Khingan Range, because of its pristine environment and rich forest resources, represents one of China’s most-significant carbon sequestration areas. This area is mainly composed of coniferous and mixed forests, home to various rare species of flora and fauna. The forest accumulation in the region is stable, and recent estimates indicate that the forest resource accumulation is approximately 500 m 3 /km 2 , significantly higher than the national average. Moreover, the Great Khingan Range serves as a crucial ecological protection area, and the government has implemented several measures to protect its ecological environment and forest resources. These measures include restrictions on logging and hunting of wild animals.
In summary, the Great Khingan Range stands out as an ecologically vital system that serves as a prominent carbon sequestration area in China and as a crucial region for preserving forest resources and safeguarding the ecological environment. The Great Khingan Range is dominated by five primary tree species, birch (Betula platyphylla), larch (Larix gmelinii), Korean pine (Pinus koraiensis), oak (Quercus mongolica), and poplar forests (Populus suaveolens) [19]. The detailed information utilized in this paper, such as forest areas, stock volumes, growth rates, and other relevant parameters, is provided in Table 1.
The data on the area, unit volume, and total volume of each forest area were derived from the Forest Resource Inventory [18]. Since the data from China’s eighth forest inventory was not publicly available, we utilized data from the seventh forest inventory, including the forest area and stock volume, as initial conditions for simulation. As for the growth rate of dominant tree species, the data were obtained from the research conducted by Li et al. [19].

2.2. Model Description

Forests and other green plants are critical in mitigating climate change by absorbing CO 2 and releasing oxygen (O 2 ) through photosynthesis. However, forests have a unique characteristic in that their growth cycle is prolonged. As long as they are not intentionally burned, the CO 2 they absorb is sequestered for extended periods rather than returning to the atmosphere. CO 2 exchange between forest ecosystems and the atmosphere is primarily governed by two biochemical processes: photosynthesis and respiration. The deposition of organic matter continuously replenishes soil carbon pools, while CO 2 is released through autotrophic respiration and the decomposition of litter and soil organic matter. Carbon release also occurs due to decay or forest fires, returning CO 2 to the atmosphere. Forest management practices and utilization by human beings directly affect the concentration of atmospheric CO 2 , which thus affects climate change. As the largest ecosystem, forests play a crucial role in the terrestrial ecological carbon pool, dominating the carbon exchange between terrestrial ecosystems and atmospheric carbon pools. Well-managed forests can significantly improve forest carbon pools’ carbon absorption rate and capacity. Moreover, the rational rotation of logging and the judicious utilization of wood resources can extend the carbon-sequestration potential of forests, thereby maximizing their roles as carbon sinks.
Figure 2 depicts the scope and activities of forest systems involved in carbon sequestration. Forest carbon sinks operate through two primary mechanisms: afforestation campaigns and the growth promotion of existing forests. Establishing new forests is crucial in sequestering carbon. The original inner stock of leaves and carbon sinks stabilizing the newly established forest area can only absorb CO 2 with significant growth. Hence, the growth of new stems and roots is paramount in facilitating carbon sequestration. Although the growth of forests should be maximized, it is equally important to carry out sustainable forest management that allows proper harvesting and utilization of forest resources. Excessive deforestation can have adverse impacts on environmental protection. Sustainable logging practices using harvested wood and its products can still function as carbon sinks since they are not burned for an extended period. Selectively harvesting low-growth forests and promoting the growth of high-growth forests can significantly increase carbon sequestration. Moreover, using raw wood materials to replace non-biodegradable materials such as plastics and steel can help reduce CO 2 emissions from energy consumption during production.
As outlined above, the principles of carbon sequestration have been used to develop an overarching model and corresponding solution strategy, as shown in Figure 3. Forest carbon sequestration can be classified into two categories: direct and indirect carbon sequestration. Direct carbon sequestration involves the uptake and storage of CO 2 by trees, plants, and soils within forests. Conversely, indirect forest carbon sequestration refers to the carbon sequestration extended through forest products. CO 2 serves as a critical component in the growth of trees, as it is converted into organic carbon through photosynthesis. This organic carbon is subsequently stored in various parts of the trees while releasing O 2 into the atmosphere. Trees also absorb O 2 and release CO 2 throughout the growth process to facilitate their normal biological functions, known as tree respiration. Note that the photosynthesis rate in trees significantly exceeds respiration, accounting for the substantial biomass production and humus accumulation during their growth. The ultimate carbon deposition in forests is closely associated with tree growth. Firstly, the peak tree growth results in the maximum carbon deposition of forest formation. At forest maturity, carbon deposition is reduced to a minimum while carbon storage reaches its maximum. As forests age, the increment of carbon deposition eventually reaches zero, and their carbon-sequestration capacity declines. Finally, forest health gradually deteriorates, and their roles as carbon sinks diminish, leading to the manifestation of their nature as carbon sources.
However, a well-planned rotation of forests can maximize the rate of forest harvesting and increase their carbon-sequestration capacity. From the perspective of rational forest rotation, properly utilizing forest resources can maximize land productivity and the role of natural forces, thereby expanding the carbon sequestration of forests over a certain period. After deforestation, the land resources can be used for reforestation, providing new areas and spaces for cultivating the new carbon-sequestration capacity of forests.
Forests and soils represent the largest carbon pools in terrestrial ecosystems, with soil containing a vast amount of carbon. Soil carbon sequestration is recognized as one of the primary carbon sinks on Earth. The carbon sequestration effect of forest land is believed to be greater than that of other soils as the amount of carbon sequestered in forest land remains relatively stable. Thus, preserving the natural state of forest land as much as possible is essential to ensure the continuity of its carbon sequestration function. Trees assimilate CO 2 from the atmosphere through photosynthesis and accumulate carbon as tree biomass. However, after forest harvesting, the trees no longer sequester CO 2 . The harvesting residuals are rapidly combusted or decomposed, reintroducing this carbon to the atmosphere and reentering the carbon cycle. Nevertheless, most carbon remains stored in various physical forms, such as wood, perpetuating CO 2 fixation. The vast array of forest products derived from different processing techniques converts the carbon sequestered within forest trees into forest products stored for an extended period.
According to the previous discussion, carbon sequestration mainly occurs in living plants, wood forest products, and soils. Firstly, we will separately model these three perspectives as follows.

2.2.1. Carbon Sequestration Model for Living Plants

Carbon sequestration by living woody plants primarily includes trunks, branches, and understory vegetation carbon fixation. The commonly utilized approaches for determining forest carbon sequestration consist of three categories: sample land inventory methodology, micrometeorology methodology, and model simulation methods utilizing new technologies such as remote sensing.
This paper assessed various methods for measuring carbon sinks, considering the specific characteristics of large-scale forests, diverse tree species, and dense growth in the Great Khingan forest region. Considering the application scope, practicality, and accuracy, the stock volume method is an appropriate solution [21]. Firstly, regarding application scope, the stock volume method is suitable for large-scale forests and can effectively measure the carbon sink of forest systems with diverse tree types and prominent main tree species. Secondly, from an economic standpoint, the stock volume method is simpler and requires less staff, material resources, and financial resources than other methods. Finally, regarding the accuracy and long-term measurement, the stock volume method estimates large-scale forest biomass through sampling and measuring the biomass of main tree species, leading to highly precise results. Thus, this article selected the stock method for this section of the research.
The stock method has become a popular physical measurement technique for determining forest carbon sinks [22]. This method relies on forest stock data to calculate biomass and, subsequently, estimate the carbon sequestered within forest ecosystems. Biomass is derived using conversion coefficients linking forest stock volume with biomass. Other conversion coefficients linking biomass with carbon sequestration are employed to estimate forest carbon sinks.
Due to inherent differences in the data sources, actual data collection bias, and estimation techniques, there are variations in the current estimates of forest carbon sinks. Therefore, forest stock expansion is generally employed to accurately estimate the actual carbon sink of forests.
The forest stock volume expansion method has been widely used for estimating forest carbon sinks. This method is an extension of the stock volume method and utilizes forest volume (trunk volume) as the basis for calculation. The biomass of trees, including branches and roots, is calculated using the volume expansion coefficient (e.g., dry weight coefficient). The dry weight of biomass is then calculated, and the carbon sequestration amount is estimated based on the carbon content rate data to obtain the forest biomass carbon sink, with standing trees as the main part. Additionally, the carbon-sequestration capacity of all forest plants can be further estimated by considering the proportional relationship between the carbon-sequestration capacity of tree biomass and understory plants. It can provide an accurate and efficient way to estimate carbon-sequestration capacity while considering the biomass of diverse tree types and other forest plants [23].
Forest carbon sequestration is related to forest carbon density; the forest carbon density of forest type j in type i can be obtained as
C i j = V i j × δ × ρ × γ ,
where C i j represents the biomass carbon sequestration amount of the j forest forest in the i-type area, V i j represents the stock volume per unit area of the j-type forest in the i-type area, δ is the stock expansion coefficient, ρ is the volume coefficient, and  γ is the tree content carbon rate.
The sum of the forest carbon density product and the corresponding forest type area is the carbon sink of forest standing trees. On this basis, the total carbon sequestration of forest plants can be calculated through the conversion coefficient of forest plant mass and understory plant carbon mass as
C f = ( S i j × C i j ) + α ( S i j × C i j ) = 1 + α ( S i j × C i j ) ,
where C f represents the amount of carbon sequestration of all forest plants, S i j represents the area of forest type j in the type i area, C i j represents the carbon sequestration amount of forest tree biomass in the type j forest in the type i area, and  α represents the carbon of understory vegetation conversion factor.
The above various conversion factors take the default values of the Intergovernmental Panel on Climate Change (IPCC): α is 0.195; δ is 1.9; ρ is 0.5; r is 0.5. Thus, the amount of carbon sequestered can be calculated as
C f = 0 . 567625 × S i j × V i j ,
When determining the model parameters, the average values are taken, and the corresponding results can meet the needs of this paper statistically. However, there may be some errors in a specific forest scenario.
The forest has natural growth, and the average annual growth rate of the same tree species remains unchanged. Therefore, the stock volume of each tree species and forest in year t can be calculated as
V i j ( t ) = V i j × ( 1 + q i j ) t ,
In addition, for the felled volume, the corresponding felled stock volume can be obtained by the corresponding felling ratios of different tree species forest areas. We set the felling ratio corresponding to different regions and tree species as x i j . The total amount of forest plant carbon sequestration that changes with the year can be obtained as
C f ( t ) = 0 . 567625 × S i j × ( 1 + q i j ) t × V i j × ( 1 x i j ) .

2.2.2. Carbon Sequestration Model for Wood Forest Products

The following section considers the CO 2 fixation potential of wood forest products. It is well known that forest products have a certain capacity to sequester CO 2 . Moreover, the service life of these products can be altered by various processing techniques, which can lead to significant changes in their carbon-sequestration potential. In this paper, we classified wood forest products into four main categories based on their usage: sawn timber, wood-based panels, paper/cardboard, and other industrial log products. Table 2 presents various factors and parameters of four different wood forest products that will be utilized in the subsequent model calculations.
All harvested trees were assumed to be used to manufacture the four types of wood forest products mentioned earlier. The total volume of manufactured tree products can be obtained by summing the volumes of the four product types. The corresponding felled stock volume can be obtained by applying the felling ratio to the forest area of different tree species. The felling ratio corresponding to different regions and tree species is denoted as x i j . The total felled volume can be expressed as the summation of the cutting stock of each tree species, which is written as
T P V s u m = n = 1 4 T P V n = x i j × V i j ,
where T P V s u m is the total volume used to make tree products.
When manufacturing wood forest products, the density of the products may vary due to processing techniques. Thus, the density of wood forest products is considered an important factor. Additionally, the lifespan of the products will be impacted by various factors, such as the environment and treatment methods. This paper considered the average lifespan of wood forest products, and a fixed decomposition rate was assumed with a linear relationship between the decomposition of products and time. Thus, a model was established to represent the change in forest product biomass over time as
B I O P i ( 0 ) = T P V n × ρ i B I O P i ( t + 1 ) = α i 1 × B I O P i ( t )
where B I O P i ( 0 ) is the initial biomass of forest products of category i , ρ i is the density of tree products of category i , B I O P i ( t ) is the biomass of tree products of category i in year t, and  α i is the life span of tree products of category i .
Firstly, it is known that the main organic components of trees and their products are lignin, cellulose, and hemicellulose, which account for more than 90% of trees. For simplicity, we only considered these three categories. Lignin is a complex organic polymer, and its complete molecular formula is difficult to express. However, it is known that the proportion of carbon in lignin is approximately 82.2%. The chemical formula of cellulose is C 6 H 10 O 5 n , while that of hemicellulose is C 4 H 8 O 4 n . Based on their chemical equations, we can calculate the specific gravity of carbon as
C C = i = 1 3 ( B i × b i ) ,
where C C represents the carbon content of the tree products, B 1 , B 2 , and  B 3 correspond to the proportions of lignin, cellulose, and hemicellulose in the tree, respectively. b 1 , b 2 , and  b 3 correspond to the proportions of carbon in lignin, cellulose, and hemicellulose, respectively.
Based on the molecular weight of carbon dioxide 44 and the molecular weight of carbon element 12, we can obtain the amount of CO 2 fixed by tree products as
C s ( t ) = t = 1 , i = 1 t = T , i = 4 B I O P ( t ) × C C .

2.2.3. Carbon Sequestration Model for Soil and Microbial Carbon Uptake

Forest land is a fundamental component of the forest ecosystem that contributes to carbon sequestration. Soil carbon sequestration is when plants, animals, and microorganisms in the soil environment convert atmospheric CO 2 into organic forms and fix it in the soil. This process is an important component of the carbon inflow and sustainable cycle in the Earth’s atmosphere. However, the strength and type of organic matter fixed through soil carbon sequestration are heavily affected by the composition and changes in soil materials. The formation of the soil environment is subject to physical, chemical, and biological effects, and material movement and transformation can directly impact this process. Therefore, the study of the carbon sequestration effect of soil is essential for clarifying the mechanism of soil carbon sequestration and understanding the forest carbon sink.
To calculate soil carbon sequestration, we employed the stock expansion method described in Section 2.2.1. The forest land carbon sequestration calculation is proportional to the carbon sequestration of forest biomass. Therefore, the corresponding results can be obtained by establishing a proportional relationship between them as
C l = β ( S i j × C i j ) ,
where C l is the soil carbon-sequestration capacity of the forest land and  β represents the carbon conversion coefficient of the forest land. For the conversion factor, we took the default value of the IPCC: β = 1.244 . Finally, we can obtain the calculation formula for soil carbon sequestration:
C l ( t ) = 0.5909 × ( S i j × V i j × ( 1 + q ) t × ( 1 x i j ) ) .

2.2.4. Carbon Sequestration Model for External Factors

In addition to the aforementioned static carbon-sequestration models, external dynamic factors need to be considered in the analysis of forest systems. These factors can be divided into two parts: natural activities and human economic activities. Natural activities refer to changes caused by natural phenomena such as extreme weather events, wildfires, and insect infestations. Human economic activities can affect forest systems through various channels, such as wood sales. It is important to analyze the impacts of these external factors to develop effective forest management strategies for sustainable carbon sequestration. Natural factors significantly impact the forest system, affecting various indicators such as the number of trees and soil area. For example, extreme weather events and locust plagues can cause trees to lose their vitality, and wildfires can destroy the carbon-sequestration capacity of the land. We uniformly used the variable to represent the external influence of natural factors. In this study, we focused on two common natural phenomena, wildfires and extreme weather, and then calculated their corresponding carbon sequestration changes:
(a)
Forest fire:
Forest fires are major natural disasters that threaten life, property, and ecological security. In addition to causing significant carbon emissions, forest fires can eliminate the carbon-sequestration capacity of trees and land. Therefore, it is important to estimate the carbon sequestration lost due to forest fires to accurately assess the overall carbon-sequestration capacity of the forest system.
In contrast to other natural factors, forest fires have a more-severe impact on the carbon-sequestration capacity of forests. Trees burnt by the fire will lose their carbon-sequestration capacity. Therefore, to calculate the carbon sequestration lost due to forest fires, we must first estimate the lost carbon-sequestration capacity of the burnt trees. Moreover, the carbon-sequestration capacity of the land affected by the fire must also be considered. We assumed that severe fires will significantly impair the carbon-sequestration capacity of the land, resulting in discarding the original carbon-sequestration capacity of the affected land. Thus, the overall impact of forest fires on carbon sequestration can be expressed as
θ 1 = Δ C f + Δ C l = 1.158525 × ( Δ S i j × Δ V i j × ( 1 + q ) t ) .
(b)
Extreme weather:
Extreme weather events can also have a significant impact on forest carbon sequestration. However, unlike wildfires, the trees affected by extreme weather can still be used as wood products, which can be considered a form of carbon sequestration. Therefore, we can estimate the amount of carbon sequestration by equating the carbon content of dead trees to the amount of carbon sequestered in wood products. As the density of ordinary trees and industrial logs is similar, we assumed that the dead trees can be converted to industrial logs for carbon sequestration. In contrast to wildfires, the impact of extreme weather on forest land is relatively small and can be ignored. The model can be expressed as
θ 2 = Δ C f Δ C s = t = 1 , i = 1 t = T , i = 4 Δ B I O P ( t ) × C C = 0.567625 × ( S i j × Δ V i j × ( 1 + q ) t ) C s .
(c)
Human activity:
Human activities play a crucial role in shaping the carbon sequestration process. Logging involves the removal of trees for commercial purposes, which results in a decrease in the carbon stored in living plants and wood products. While this reduction may temporarily release carbon into the atmosphere, afforestation efforts involve planting new trees, contributing to carbon sequestration in living plants as they grow and mature. Deforestation, conversely, refers to the clearing of forests, often for land conversion or development purposes. Deforestation immediately releases carbon stored in trees and wood products, significantly impacting the area’s carbon-sequestration potential. Such activities can offset the carbon-sequestration efforts in other regions and contribute to overall greenhouse gas emissions. In addition to direct forest-management practices, the influence of human economic activities is also considered in the model. For instance, the sales volume and distribution of different types of wood products vary across regions with different economic conditions. These variations have a dynamic impact on the carbon sink of woody forest products. To account for this effect, we introduce a discount factor ( λ ) on the carbon sequestration of woody forest products. This factor reflects the changes in wood product demand and sales across different economic scenarios, influencing the overall carbon-sequestration potential. By considering the effects of human activities, our carbon-sequestration model offers policymakers and forest managers valuable insights into the trade-offs between economic development and environmental conservation. It enables stakeholders to decide on sustainable forest management and climate goals.

2.3. Optimization Solution

Combining the above models, we can model the carbon sequestration of the entire forest system and its products within a certain period. Then, we formulated the forest-management plan and obtain the model’s maximum CO 2 fixation.
We chose a time T when the forest is most efficient at absorbing CO 2 . We used the target programming model to formulate forest-management plans and combined forest system carbon sequestration, economic benefits, and other factors to optimize the calculation of felling plans.

2.3.1. Carbon Sequestration Maximization

We conducted the optimization procedure to maximize forest carbon sequestration. Firstly, we set an initial planned total felling ratio. Then, we propose an objective function aiming at maximizing carbon sequestration as
max z = C f ( t ) + λ C s ( t ) + C l ( t ) s . t . x i j × S i j × V i j × ( 1 + q i j ) t x 0 S i j × V i j × ( 1 + q i j ) t S i j ( t ) S i j ( t + 1 ) x i j q i j
In (15), the first constraint condition means that the total cutting ratio of wood stock meets the set initial value x 0 . The second constraint means that the forest area is assumed to be unchanged before and after logging. The third constraint is that the rate of deforestation cannot exceed the natural growth rate of the forest stock.
A simulated annealing algorithm was utilized in this paper, a random search algorithm that can be used to find optimal solutions in multivariate nonlinear optimization problems. The algorithm’s objective function is to maximize the total amount of carbon sequestration. We took five variables as an example, namely x 1 , x 2 , x 3 , x 4 , x 5 , and then substituted the constraints of each variable into the optimization model.
The algorithm first initializes the current state as [ x 1 , x 2 , x 3 , x 4 , x 5 ] and the initial temperature as K. When the temperature K is greater than the termination temperature, the following steps are repeated: (1) generate the random neighborhood state next_state of the current state; (2) if next_state satisfies the constraints and the objective function value is greater than the objective function value of the current state, the current state is updated to next_stat; the probability determines whether to update the current state; (3) the temperature is continuously reduced according to the cooling strategy until the temperature is lower than the termination temperature. The final algorithm returns the current state as the solution with the largest total carbon sequestration. The details of this algorithm are shown in Algorithm 1.
In Algorithm 1, initial_temperature and stopping_temperature represent the initial temperature and stopping temperature, respectively; the generate_random_neighbor (current_state) function is used to generate the random neighborhood state of the current state; the constraints_satisfied (state) function is used to judge whether the state satisfies the constraints; the objective_value (state) function is used to calculate the value of the objective function of the state, namely the total amount of carbon sequestered; the cool_down (T) function is used to control the cooling of the temperature.
Algorithm 1 Simulated annealing algorithm.
1:
current_state: = [x1, x2, x3, x4, x5]
2:
K: = initial_temperature
3:
whileK > stopping_temperature
4:
   next_state: = generate_random_neighbor (current_state)
5:
   if constraints_satisfied (next_state) and
 
  objective_value (next_state) > objective_value(current_state)
6:
      current_state: = next_state
7:
   else
8:
      probability: = e⌃{(objective_value (next_state) - objective_value(current_state))/K}
9:
      if random_number < probability
10:
         current_state: = next_state
11:
   K: = cool_down (K)
12:
return current_state

2.3.2. Economic Benefits’ Maximization

For the economic benefits, we assumed that the proportion of the four woody forest products is ε 1 ε 4 , and their corresponding economic value per unit volume is γ 1 γ 4 RMB. Since the economic benefits represent that the cutting behavior is certain to occur, there is no need to give the initial value of the cutting ratio. We finally put forward an optimization function intending to maximize economic benefits as
max ω = [ ( x i j × V i j ) × ε n × γ n ] s . t . x i j × S i j × V i j × ( 1 + q i j ) t x 0 S i j × V i j × ( 1 + q i j ) t S i j ( t ) S i j ( t + 1 ) x i j q i j
Similar to the constraints in (15), the first constraint condition means that the total cutting ratio of wood stock meets the set initial value x 0 . The second constraint means that the forest area is assumed to be unchanged before and after logging. The third constraint is that the rate of deforestation cannot exceed the natural growth rate of forest stock. The optimization problem is similar to (14) and (15). Therefore, we can also use the simulated annealing algorithm to solve it.

2.3.3. Joint Optimization

To adequately consider both carbon sequestration in forests and economic benefits, we employed a linear weighting approach to transform the multi-objective optimization function into a single objective. Given the significant disparity in the magnitudes between carbon sequestration and economic benefits, we applied min–max normalization to render both objective values dimensionless, mapping them onto the interval of 0 to 1. This normalization enables straightforward weighted summation, considering that the weightings are obtained through the Analytic Hierarchy Process (AHP) and expert scoring. In this simulation, we utilized weights of 0.8 and 0.2, respectively. The final equation is expressed as
max H = w 1 × z min z max z min z ( 1 0 ) + w 2 × ω min ω max ω min ω ( 1 0 ) s . t . z = C f ( t ) + λ C s ( t ) + C l ( t ) ω = ( x i j × V i j ) × ε i × γ i S i j ( t ) S i j ( t + 1 ) x i j q i j
The constraints of the above formula are the same as in Section 2.3.2, and constraints are also given in terms of area and felling ratio. In my research paper, we employed the simulated annealing algorithm for the single-objective optimization problems presented in the first two questions. However, for the multi-objective optimization problem discussed in the third question, the objective functions involved complex non-convexity, and the constraints were strict inequalities. To overcome the challenge of converging to local optima, the KKT algorithm is more suitable for further computations. The paper recognizes that the simulated annealing algorithm was suitable for exploring the solution space and finding good solutions for the single-objective optimization problems. However, due to the non-convex nature of the multi-objective optimization problem and the need for strict satisfaction of the inequality constraints, the KKT algorithm was deemed more appropriate. By leveraging the KKT conditions and the Lagrange multipliers, the KKT algorithm provided a systematic approach to solving the multi-objective optimization problem with strict inequality constraints. It offered a way to handle the complexity of the objective functions and constraints while aiming to identify optimal solutions that satisfied the problem requirements [24].
By incorporating the KKT algorithm into the research methodology, we aimed to improve the robustness and quality of the results obtained for the multi-objective optimization problem. The KKT algorithm’s ability to handle non-convex problems and consider both the objective functions and the constraints simultaneously made it a suitable choice for addressing the challenges posed by the problem formulation [25]. The details of this algorithm are shown in Algorithm 2.
Algorithm 2 Algorithm for solving the joint optimization part.
1:
For each time step t from 1 to 10:
2:
   Initialize optimization variable x 0 = [ 0.1 , 0.1 , 0.1 , 0.1 , 0.1 ]
3:
   Initialize Lagrange multipliers λ = 0 , 0 , 0 , 0 , 0
4:
   Initialize tolerance = 1 × 10 6
5:
   For each iteration iter from 1 to maximum iterations:
6:
      Compute objective function value H = o b j e c t i v e ( x 0 , t , S , V , q )
7:
      Compute gradient G = o b j e c t i v e ( x 0 , t , S , V , q )
8:
      Construct inequality constraint matrix A and right-hand side vector b
9:
      Construct KKT matrix K
10:
     Solve KKT equation K × Δ x = G A × λ
11:
     Update optimization variable x
12:
     Update Lagrange multipliers λ
13:
     Check termination condition
14:
     Update iteration counter i t e r = i t e r + 1
15:
   Output results:
16:
   Output current time step t
17:
   Output x 0
18:
   Output H
19:
   Update x 0 = x

3. Analysis of Numerical Results

3.1. Carbon Sequestration Maximization

In the forest investigation of Section 2.1, we provide relevant data such as area, stock volume, and growth rate for five major forest areas in the Greater Khingan Mountains. Based on these data, we can simulate the proposed carbon-sequestration model. According to “2021 Panorama of China’s Wood Processing Industry”, we can obtain the usage proportions of four types of wood processing products, i.e., sawn timber, artificial board, paperboard, and industrial logs [26]. Artificial board and paperboard have the highest and second-highest usage proportions, respectively.
Firstly, the simulated annealing algorithm obtains the maximum carbon sequestration and corresponding logging proportion distribution over ten years without considering external factors. Figure 4 presents the trend of the logging proportion and the optimal carbon-sequestration value. Figure 4a shows the annual logging plan for the five forest areas as shown in Table 1. It is observed from Figure 4a that the five curves are relatively smooth and barely intersect. Combining the forest area parameters and model principles, it is noted that the initial logging proportion values are related to the total stock volume of each forest area rather than the unit stock volume. Furthermore, forest areas with high carbon-sequestration capacity often do not have an advantage in the logging ratio, owing to their significant contribution to carbon storage. Each curve’s trend is related to each forest area’s growth rate. The forest area corresponding to x3 has the highest growth rate, resulting in the curve with the most decline, while the forest area corresponding to x4 has the smallest growth rate of 0.071, resulting in the steepest, positive slope.
The main reason for this is that the growth rate affects the change in the total stock volume. It is clarified that the total stock volume of Polar forest increases gradually to the maximum point with time, where x3 intersects with x1. Figure 4b compares carbon-sequestration values in an optimized and proportionally averaged logging plan. We can find that the increasing slope of the optimal carbon-sequestration value becomes larger over time. The carbon-sequestration predictions presented in z2 demonstrate the amount of carbon storage expected without optimized logging plans. It is evident from the data that the optimized logging strategy significantly enhances carbon sequestration, with the degree of improvement increasing over time.
Secondly, we present a simulation of carbon sequestration changes under forest fire conditions. According to global statistics on forest fires, the ratio of burned trees and damaged land typically ranges between 10% and 30%. In this simulation case, we converted the land and stocking volume based on a 20% ratio. The impact of forest fires on tree growth rates varies depending on factors such as fire intensity, topography, and climate. Therefore, it is challenging to provide an accurate average value. However, in general, tree growth rates are somewhat affected after a fire, and they usually grow slower than those not affected by the fire. It is suggested that the impact of typical forest fires on the growth rates may only be around 10% to 20% [27]. Considering the forest fire, the simulations regarding forest harvesting plans and optimized carbon-sequestration results are analyzed as shown in Figure 5. Figure 5a shows the comparison of carbon storage optimization logging plans after experiencing forest fires over a decade, where the dashed line represents the logging plan after the forest fires. Research has revealed that, for forest areas with the lowest stock volumes, such as Birch and Poplar, the impact of wildfires is relatively minor, and changes in the logging ratios are not significant. However, for forest areas with larger stock volumes such as larch, wildfires have a significant impact, which is necessary to consider reducing logging activities in these areas from around the third year onwards to mitigate the negative effects of wildfires. A comparison of the carbon-sequestration-optimization values between forest fires and normal conditions is depicted in Figure 5b. It can be observed that wildfires have a detrimental effect on both the absolute value of carbon sequestration and the extent of improvement achieved through model optimization.
Next, we considered optimizing forest management in response to extreme weather events. Taking extreme cold weather as an example, its impact on forest trees varies depending on several factors, including tree species and the severity and duration of the cold weather. Therefore, providing a specific average proportion of trees that die due to extreme cold weather is difficult. This proportion majorly varies depending on the region and the specific circumstances. However, in general, if the extreme cold weather is severe, it may lead to the death of a portion of the trees. Our simulation model assumes that an extreme cold weather in the Greater Kinghan Mountains region lasting for half a year is expected to cause about 20% of the trees to die. Cold weather can also impact the tree growth rate, with the exact proportion depending on multiple factors. According to some studies, extremely cold weather can lead to a 10% to 50% reduction in the tree growth rate. Based on this information, the simulation model was developed and investigated.
Figure 6a displays the cutting ratios, with the dashed line representing the optimized results under extreme weather conditions. It can be observed that, compared to the impact of wildfires, the influence of cold weather on the logging ratios is almost negligible. On the other hand, examining the carbon-sequestration predictions in Figure 6b, it can be noticed that extreme cold primarily affects the growth rate of carbon sequestration. In contrast, wildfires primarily affect the absolute value of carbon sequestration.

3.2. Economic Benefits’ Maximization

This subsection includes the optimization process for maximizing economic benefits. According to the “2021 Annual Report of China’s Forest Products Industry”, the average price of sawn timber in China is around CNY 4–6 per kilogram [28]. In another report, the “2021 Market Research Report on China’s Wood-based Panel Industry”, the average price of artificial boards in China is between CNY 2 and 10 per kilogram [29]. The third report, the “2021 Market Research Report on China’s Paper Industry”, presents that the average price of paper and paperboard in China is between CNY 3 and 10 per kilogram [30]. “The 2021 Annual Report of China’s Forest Products Industry” report explains that the average price of industrial logs in China is around CNY 1–3 per kilogram [28]. Our simulation model was organized based on the above information.
In Figure 7a, the optimal harvesting schedule for five forest areas (x1 to x5) is presented, focusing on maximizing economic benefits over ten years. The dashed line represents the logging plan based on a uniform harvesting strategy, while the solid line represents the optimized plan for maximizing economic benefits. It can be seen that, when optimizing for economic benefits, the influence of the tree growth rate on the changing trend of logging ratios is nearly identical to the optimization results aimed at maximizing carbon sequestration. The difference between the two optimization results lies primarily in the initial values of the logging ratios, which are affected by the variations in unit stock volume. Forest areas with higher unit stock volumes may occupy higher initial positions regarding logging ratios. In Figure 7b, the economic benefits for normal conditions (solid line) and under uniform harvesting (dashed line) are compared over ten years. The simulation results showed that the optimized economic benefits significantly outperformed the uniform harvesting strategy, indicating the effectiveness of the proposed economic benefits’ maximization model.

3.3. Joint Optimization

Finally, we conducted the joint optimization of forest management, considering both the maximization of carbon sequestration and economic benefits within a comprehensive framework. We employed a linear weighted approach for optimization, where the weights were determined using the Analytic Hierarchy Process (AHP), yielding the optimal harvest ratios, as shown in Figure 8 and Figure 9.
From Figure 8a,b, it can be seen that the optimization results for the decision variable, i.e., the harvest ratios, exhibit a more-irregular pattern. However, the overall size relationships are closer to the single-objective optimization results focused solely on carbon sequestration, as the carbon sequestration was assigned significantly higher weight during linear aggregation. The variation in the harvest ratio for the deciduous larch stands is relatively higher than the carbon sequestration optimization results, particularly due to their high biomass accumulation and considerable advantage in terms of economic benefits. Compared to the results of pure carbon sequestration optimization, the increase in the harvest ratio for deciduous larch shows the impact of integrating economic benefits into the model.
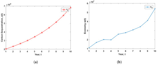
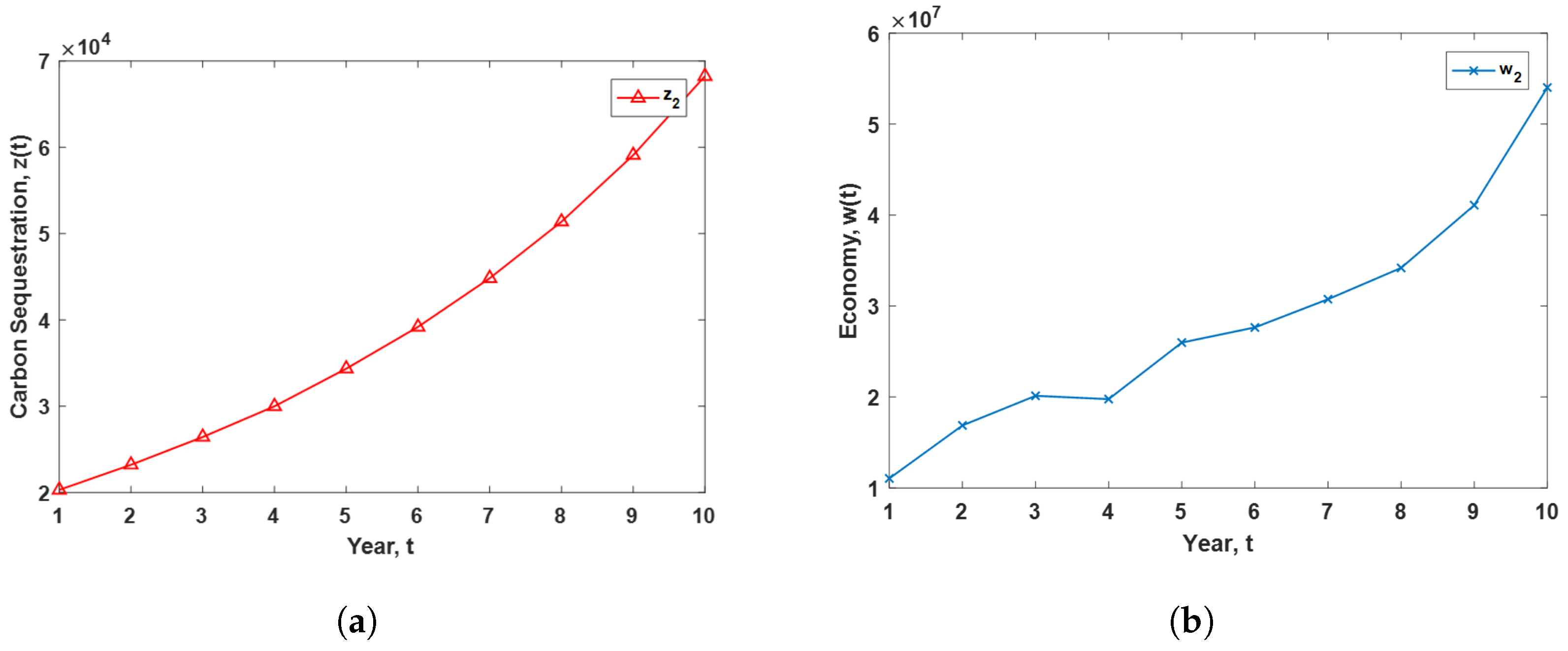
Figure 9a,b display the predicted values of carbon sequestration and economic benefits based on the harvest plan from Figure 8. It is evident that carbon sequestration steadily increases year by year, with its growth rate also rising over ten years. In contrast, the economic benefits exhibit more-pronounced fluctuations, with varying growth rates and a declining trend observed in the 3rd and 4th years. This observation indicates that the proposed joint optimization model can sacrifice economic benefits when necessary to increase carbon sequestration.
The KKT algorithm was utilized in this study to solve the joint optimization problem. The KKT algorithm is a powerful method for handling constrained optimization problems such as the one presented in our forest management model. By incorporating constraints into the optimization process, KKT ensures that the solution satisfies the objective functions (carbon sequestration and economic benefits) and any specified constraints, such as limitations on harvest ratios or ecological requirements. The KKT algorithm optimizes the decision variables iteratively, and through each iteration, it updates the Lagrange multipliers associated with the constraints. These multipliers help identify the trade-offs between maximizing carbon sequestration and economic benefits while adhering to the set constraints. The iterative nature of the KKT algorithm allows it to find the best balance between the two objectives, thereby producing the optimal harvest ratios and corresponding values for carbon sequestration and economic benefits.
Furthermore, the joint optimization approach employing the KKT algorithm enables us to balance carbon sequestration and economic benefits. It provides valuable insights into sustainable forest management, where we can enhance carbon sequestration while considering the economic viability of different harvesting strategies over time. This integrated approach presents a promising method for ensuring our forests’ long-term health and productivity while contributing to climate change mitigation efforts.

4. Discussion

This study delved into the optimization of carbon sequestration, economic benefits, and their joint aspects in five dominant tree species forests in the Greater Khingan Range. The research uncovered complex interactions within forest carbon dynamics, contributing insights to balance both environmental and economic factors.

4.1. Significance of Comprehensive Carbon Sequestration Model

We developed a model that accurately estimates carbon-sequestration capacity by integrating various elements, such as living trees, woody forest products, and soil. Its incorporation of dynamic factors such as wildfires and human activities provides deeper insights into forest carbon dynamics. The innovative approach to factor in time variables emphasizes the model’s ability to predict changes in carbon-sequestration values more realistically.

4.2. Interpretation of Optimization Objectives and Algorithms

Our research explored different forest management scenarios, evaluating the trade-offs between maximizing carbon sequestration and economic benefits. The study’s use of simulated annealing and the KKT algorithm highlights the model’s adaptability. This section elucidates how our method allows for flexible prioritization, aiding decision-makers in forest management.

4.3. Validation and Comparison

In this study, we observed a carbon-sequestration value of x units (exact data value) in the Greater Khingan Range forests. When compared with measured data from the same region, our model achieved a high agreement, validating its accuracy. Previous modeling studies, such as [31] with a result of y units and [32] reporting z units, have shown some discrepancies with our findings. The difference can be attributed to our model’s ability to incorporate dynamic factors such as wildfires and extreme cold, which were not considered in previous approaches. We also critically compared our results with existing literature, highlighting similarities in certain conditions and deviations in others. For instance, our prediction of carbon sequestration under specific weather conditions aligns with [7], whereas it varies from [15] due to different assumptions on human economic activities. These comparisons emphasize the robust foundation of our model, and the inclusion of varying factors sets it apart from previous models, contributing to a more-comprehensive understanding of forest carbon dynamics.

4.4. Practical Implications

The model’s real-world applicability promises effective strategy design for forest management, considering both carbon storage and economic needs. The section will delve into how our findings could influence long-term decision-making and the development of adaptive strategies.

4.5. Limitations and Future Research

While our model offers significant insights into carbon sequestration and economic benefits, it does not fully encompass the broader ecological value of forests, such as biodiversity and ecosystem services. Research has shown that forests play a vital role in maintaining ecological balance by providing habitats for diverse species [8], regulating climate [9], and supporting water cycles [10]. Our model’s limitation in this area underlines the need for future research to expand its scope. By integrating aspects such as biodiversity, which has been linked to increased stability and resilience in ecosystems [8], we can enhance the model’s applicability and relevance. This broader perspective could enable forest managers to design more-holistic strategies that align not only with carbon sequestration and economic objectives, but also with overarching ecological goals.

4.6. Comparison with Current Approaches

Our model offers significant advantages over various current approaches in forest management. By integrating multiple components of carbon storage and considering dynamic factors, we provide a more-realistic representation of carbon sequestration dynamics. Existing models, such as those developed by [13,14], often focus on specific aspects of carbon storage without fully considering temporal variations and external influences. These limitations may hinder their accuracy in predicting carbon storage capacity. Our model’s adaptability to different optimization objectives and constraints makes it a versatile tool for decision-making. Furthermore, when compared with the approach presented by [18], which primarily emphasizes economic benefits, our model’s ability to balance between carbon sequestration and economic interests sets it apart. This holistic approach ensures a more-nuanced understanding of sustainable forest management and aligns with the current emphasis on environmental preservation. In contrast to [21], which overlooks certain extreme weather conditions, our model takes into account various factors such as wildfires and extreme cold. This contributes to a comprehensive depiction of forest carbon dynamics, positioning our approach as a robust and flexible tool for forest managers.

5. Conclusions

Our research employed mathematical modeling and simulation to revolutionize forest management and advance carbon sequestration efforts. By considering living trees, wood forest products, and soil as potential carbon sequestration sources, our model offers a comprehensive approach to understanding forest dynamics, while also accounting for fire, weather, and human activities. Optimization models, focusing on the joint optimization of carbon sequestration and economic benefits, provide a pathway to sustainable forest management. Analyzing data from five major tree species in the Greater Khingan Range has revealed critical insights into optimal logging plans, whether prioritizing carbon sequestration or economic gains. The impact of fire on optimal logging plans underscores the need for immediate wildfire management to ensure long-term forest health. Our proposed algorithms, including the simulated annealing algorithm and the KKT algorithm, effectively identify optimal logging plans that balance carbon sequestration and economic objectives, ensuring the sustainability of forest ecosystems. The practical applications of our research findings hold immense promise for real-world forest management. Leveraging our model’s optimization capabilities, forest managers can make evidence-based decisions that optimize carbon storage and economic benefits. Policymakers can utilize these insights to formulate effective climate change mitigation strategies, recognizing the pivotal role of forests in global carbon sequestration efforts. While our model captures crucial factors influencing carbon sequestration, we recognize the potential for further advancements. Future research could expand the model to incorporate the influence of biodiversity on carbon dynamics, enhancing its comprehensiveness. Diverse ecosystems, rich in biodiversity, often possess higher carbon sequestration capacities, making biodiversity an essential factor to include.

Author Contributions

Conceptualization, W.Z. (Weitian Zhang) and H.S.; methodology, W.Z. (Weitian Zhang); software, W.Z. (Wei Zhang); validation, W.Z. (Weitian Zhang), H.S. and W.Z. (Weitian Zhang); formal analysis, W.Z. (Weitian Zhang); investigation, W.Z. (Weitian Zhang); resources, W.Z. (Weitian Zhang); data curation, W.Z. (Wei Zhang); writing—original draft preparation, W.Z. (Weitian Zhang); writing—review and editing, H.S. and Q.Y. All authors have read and agreed to the published version of the manuscript.

Funding

This research was funded bythe Jiangsu Provincial Key Research and Development Program (Grant No.BE2020084-1) in part by the NUPTSF(Grants No.NY215031, NY217032).

Data Availability Statement

No new data were created or analyzed in this study. Data sharing is not applicable to this article.

Conflicts of Interest

The authors declare no conflict of interest.

References

  1. United Nations Framework Convention on Climate Change. Adoption of the Paris Agreement. In Proceedings of the 21st Conference of the Parties, Paris, France, 30 November–11 December 2015; United Nations: Paris, France, 2015. [Google Scholar]
  2. Brandão, M.; Levasseur, A.; Kirschbaum, M.U.F. Key issues and options in accounting for carbon sequestration and temporary storage in life cycle assessment and carbon footprinting. Int. J. Life Cycle Ass. 2013, 18, 230–240. [Google Scholar]
  3. Searchinger, T.D.; Hamburg, S.P.; Melillo, J.; Chameides, W.; Havlik, P.; Kammen, D.M.; Likens, G.E.; Lubowski, R.N.; Obersteiner, M.; Oppenheimer, M.; et al. Fixing a critical climate accounting error. Science 2009, 326, 527–528. [Google Scholar]
  4. Zanchi, G.; Pena, N.; Bird, N. The Upfront Carbon Debt of Bioenergy; Joanneaum Research: Graz, Austria, 2010. [Google Scholar]
  5. Imbeau, L.; St-Laurent, M.H.; Marzell, L.; Brodeur, V. Current capacity to conduct ecologically sustainable forest management. Can. J. For. Res. 2015, 45, 567–578. [Google Scholar]
  6. Spittlehouse, D.L.; Stewart, R.B. Adaptation to climate change in forest management. J. Ecosyst. Manag. 2003, 4. [Google Scholar] [CrossRef]
  7. Siira-Pietikinen, A.; Pietikinen, J.; Fritze, H.; Haimi, J. Short-term responses of soil decomposer communities to forest management: Clear felling versus alternative forest harvesting methods. Can. J. For. Res. 2001, 31, 88–99. [Google Scholar]
  8. Attri, P.; Kushwaha, S. Estimation of biomass and carbon pool in Barkot Forest Range, UK using geospatial tools. ISPRS Ann. Photogramm. Remote Sens. Spat. Inf. Sci. 2018, IV-5, 121–128. [Google Scholar]
  9. Bai, Y. Research on the change of carbon storage in wood forest products in China. J. Zhejiang A F Univ. 2007, 24, 587–592. [Google Scholar]
  10. Wang, Y.; Ren, H.; Beijing International Bamboo and Rattan Network Center. Research Progress on Carbon Storage in Wood Forest Products; Chinese Forestry Society: Beijing, China, 2011. [Google Scholar]
  11. Hua, B.; Ni, H.; Zhu, Q.; Wang, C.X.; Zhou, T.; Mao, K.; Bao, J.; Zhang, X. Channel modeling for UAV-to-ground communications with posture variation and fuselage scattering effect. IEEE Trans. Commun. 2023, 71, 3103–3116. [Google Scholar]
  12. Mao, K.; Zhu, Q.; Qiu, Y.; Liu, X.; Song, M.; Fan, W.; Kokkeler, A.B.; Miao, Y. A UAV-Aided Real-Time Channel Sounder for Highly Dynamic Non-Stationary A2G Scenarios. IEEE Trans. Instrum. Meas. 2023, 72, 1–15. [Google Scholar]
  13. Zituni, R.; Wittenberg, L.; Malkinson, D. The effects of post-fire forest management on soil erosion rates 3 and 4 years after a wildfire, demonstrated on the 2010 Mount Carmel fire. Int. J. Wildland Fire 2019, 28, 377–385. [Google Scholar]
  14. Tian, X.; Su, L.; Wang, M. Estimation of direct carbon release from forest fires in China from 1991 to 2000. Fire Sci. 2003, 12, 6–10. [Google Scholar]
  15. Jandl, R.; Lindner, M.; Vesterdal, L.; Bauwens, B.; Baritz, R.; Hagedorn, F.; Johnson, D.W.; Minkkinen, K.; Byrne, K.A. How strongly can forest management influence soil carbon sequestration? Geoderma 2007, 137, 253–268. [Google Scholar]
  16. Shvidenko, A.; Nilsson, S.; Roshkov, V. Possibilities for increased carbon sequestration through the implementation of rational forest management in Russia. Water Air Soil Pollut. 1997, 94, 137–162. [Google Scholar]
  17. Wang, H.; Wu, J.; Lin, W.; Luan, Z. Carbon Footprint Accounting and Influencing Factors Analysis for Forestry Enterprises in the Key State-Owned Forest Region of the Greater Khingan Range, Northeast China. Sustainability 2023, 5, 8898. [Google Scholar]
  18. Xu, Q. Research on the Measurement and Development Potential Evaluation of Forest Carbon ink in Greater Khingan Range State-owned Forest Areas of Heilongjiang Province. Master’s Thesis, Northeast Forestry University, Harbin, China, 2015. [Google Scholar]
  19. Li, Y.; Luo, T.; Li, S.; Liu, B. Modeling Optimal Forest Rotation Age for Carbon Sequestration in the Great Khingan Mountains of Northeast China. Forests 2022, 13, 838. [Google Scholar]
  20. Sumitomo Forestry. Sustainable Forest Management. Happiness Grows from Trees. Available online: https://sfc.jp/english/sustainability/environment/forest/ (accessed on 10 August 2023).
  21. Chen, K.; Cai, Q.; Zheng, N.; Li, Y.; Lin, C.; Li, Y. Forest carbon sink evaluation–An important contribution for carbon neutrality. In Proceedings of the 2021 5th Asian Conference on Environmental, Industrial and Energy Engineering (EI2E 2021), Chongqing, China, 20–22 May 2021. [Google Scholar]
  22. Zhu, K.; Song, Y.; Qin, C. Forest age improves understanding of the global carbon sink. Proc. Natl. Acad. Sci. USA 2019, 116, 3962–3964. [Google Scholar]
  23. Chen, Z.; Long, F.; Qi, H. Research on Forest Carbon Sink Potential and Economic Value in Zhejiang Province. J. Heilongjiang Bayi Agric. Univ. 2022, 34, 126–133. [Google Scholar]
  24. Haeser, G.; Ramos, A. Constraint qualifications for Karush–Kuhn–Tucker conditions in multiobjective optimization. J. Optim. Theory Appl. 2020, 187, 469–487. [Google Scholar]
  25. Zhao, J.; Bin, M. Karush–Kuhn–Tucker optimality conditions for a class of robust optimization problems with an interval-valued objective function. Open Math. 2020, 18, 781–793. [Google Scholar]
  26. Forest Trends Association. A Brief Overview of China’s Timber Market. Forest Trends. Available online: https://www.forest-trends.org/publications/a-brief-overview-of-chinas-timber-market/ (accessed on 10 August 2023).
  27. Trumbore, S.; Brando, P.; Hartmann, H. Forest health and global change. Science 2015, 349, 814–818. [Google Scholar]
  28. China Forestry Research Institute. 2021 Annual Report of China’s Forest Products Industry; Forestry Research Institute: Beijing, China, 2021. [Google Scholar]
  29. China Forestry Research Institute. China Artificial Board Industry Report 2021; Forestry Research Institute: Beijing, China, 2021. [Google Scholar]
  30. China Forestry Research Institute. 2021 Market Research Report on China’s Paper Industry; Forestry Research Institute: Beijing, China, 2021. [Google Scholar]
  31. Haight, R.G.; Bluffstone, R.; Kline, J.D.; Coulston, J.W.; Wear, D.N.; Zook, K. Estimating the Present Value of Carbon Sequestration in U.S. Forests, 2015–2050, for Evaluating Federal Climate Change Mitigation Policies. Agric. Resour. Econ. Rev. 2020, 49, 150–177. [Google Scholar] [CrossRef]
  32. Ontl, T.A.; Janowiak, M.K.; Swanston, C.W.; Daley, J.; Handler, S.; Cornett, M.; Hagenbuch, S.; Handrick, C.; McCarthy, L.; Patch, N. Forest Management for Carbon Sequestration and Climate Adaptation. J. For. 2019, 118, 86–101. [Google Scholar] [CrossRef]
Figure 1. Schematic diagram of the Great Khingan forest area. (a) The location of the Greater Khingan Mountains region in China. (b) Land cover in the Greater Khingan Mountains region.
Figure 1. Schematic diagram of the Great Khingan forest area. (a) The location of the Greater Khingan Mountains region in China. (b) Land cover in the Greater Khingan Mountains region.
Forests 14 01785 g001
Figure 2. Activities related to carbon sequestration in forest systems [20].
Figure 2. Activities related to carbon sequestration in forest systems [20].
Forests 14 01785 g002
Figure 3. An overview of the proposed model and optimization methods.
Figure 3. An overview of the proposed model and optimization methods.
Forests 14 01785 g003
Figure 4. The trend of (a) the logging proportion for five forest areas (x1 to x5) and (b) the optimal carbon-sequestration value (z1) over a 10-year period without external influences.
Figure 4. The trend of (a) the logging proportion for five forest areas (x1 to x5) and (b) the optimal carbon-sequestration value (z1) over a 10-year period without external influences.
Forests 14 01785 g004
Figure 5. Forest harvesting plans and optimized carbon-sequestration results (a) Felling ratio for five forest areas under normal (x1 to x5) and forest fires (x1f to x5f). (b) Carbon sequestration for normal conditions (z1,z2) and under forest fires (z1f,z2f) are compared over ten years.
Figure 5. Forest harvesting plans and optimized carbon-sequestration results (a) Felling ratio for five forest areas under normal (x1 to x5) and forest fires (x1f to x5f). (b) Carbon sequestration for normal conditions (z1,z2) and under forest fires (z1f,z2f) are compared over ten years.
Forests 14 01785 g005
Figure 6. Forest harvesting plans and optimized carbon-sequestration results. (a) Felling ratio for five forest areas under normal (x1 to x5) and extreme cold weather conditions (x1c to x5c). (b) Carbon sequestration for normal conditions (z1,z2) and under extreme cold weather conditions (z1c,z2c) are compared over ten years.
Figure 6. Forest harvesting plans and optimized carbon-sequestration results. (a) Felling ratio for five forest areas under normal (x1 to x5) and extreme cold weather conditions (x1c to x5c). (b) Carbon sequestration for normal conditions (z1,z2) and under extreme cold weather conditions (z1c,z2c) are compared over ten years.
Forests 14 01785 g006
Figure 7. Forest harvesting plans and optimized carbon-sequestration result. (a) The optimal harvesting schedule for maximizing economic benefits over ten years for five forest areas (x1 to x5). (b) The economic benefits for normal conditions (solid line) and under uniform harvesting (dashed line) are compared over ten years.
Figure 7. Forest harvesting plans and optimized carbon-sequestration result. (a) The optimal harvesting schedule for maximizing economic benefits over ten years for five forest areas (x1 to x5). (b) The economic benefits for normal conditions (solid line) and under uniform harvesting (dashed line) are compared over ten years.
Forests 14 01785 g007
Figure 8. Forest harvesting plans and optimized carbon-sequestration result. (a) The optimal harvesting schedule for five forest areas (x1 to x5) is presented, focusing on maximizing economic benefits over ten years. (b) The economic benefits for normal conditions (solid line) and under uniform harvesting (dashed line) are compared over ten years.
Figure 8. Forest harvesting plans and optimized carbon-sequestration result. (a) The optimal harvesting schedule for five forest areas (x1 to x5) is presented, focusing on maximizing economic benefits over ten years. (b) The economic benefits for normal conditions (solid line) and under uniform harvesting (dashed line) are compared over ten years.
Forests 14 01785 g008
Figure 9. Optimized carbon sequestration and economic benefits result. (a) The carbon-sequestration values for normal conditions (solid line) and under uniform harvesting (dashed line) are compared over ten years. (b) The economic benefits for normal conditions (solid line) and under uniform harvesting (dashed line) are compared over ten years.
Figure 9. Optimized carbon sequestration and economic benefits result. (a) The carbon-sequestration values for normal conditions (solid line) and under uniform harvesting (dashed line) are compared over ten years. (b) The economic benefits for normal conditions (solid line) and under uniform harvesting (dashed line) are compared over ten years.
Forests 14 01785 g009
Table 1. Survey and statistical table of the basic data of the five forest types in the Great Khingan region (324,800 km 2 ) [18,19].
Table 1. Survey and statistical table of the basic data of the five forest types in the Great Khingan region (324,800 km 2 ) [18,19].
Forest TypeArea ( 10 4   hm 2 )Unit Accumulation ( m 3 / hm 2 )Accumulate ( 10 4   m 3 )Cumulative Growth Rate (Initial Value (%))
Birch37.841863.962420.42150.093
Larch81.014580.576527.49210.151
Red Pine37.311887.183252.84270.205
Oak51.333372.73731.85060.071
Poplar8.5228103.81884.72140.107
Table 2. Convention factors of different wood forest products.
Table 2. Convention factors of different wood forest products.
Wood Forest ProductBasic Density/( t · m 3 )Carbon Content RateService Life
Sawn timber0.650.5250
Artificial boards0.750.5030
Paper and cardboard1.000.4720
Industrial log0.450.5125
Disclaimer/Publisher’s Note: The statements, opinions and data contained in all publications are solely those of the individual author(s) and contributor(s) and not of MDPI and/or the editor(s). MDPI and/or the editor(s) disclaim responsibility for any injury to people or property resulting from any ideas, methods, instructions or products referred to in the content.

Share and Cite

MDPI and ACS Style

Zhang, W.; Shao, H.; Sun, H.; Zhang, W.; Yan, Q. Optimizing Carbon Sequestration in Forest Management Plans Using Advanced Algorithms: A Case Study of Greater Khingan Mountains. Forests 2023, 14, 1785. https://doi.org/10.3390/f14091785

AMA Style

Zhang W, Shao H, Sun H, Zhang W, Yan Q. Optimizing Carbon Sequestration in Forest Management Plans Using Advanced Algorithms: A Case Study of Greater Khingan Mountains. Forests. 2023; 14(9):1785. https://doi.org/10.3390/f14091785

Chicago/Turabian Style

Zhang, Weitian, Hanqin Shao, Haitao Sun, Wei Zhang, and Qinglun Yan. 2023. "Optimizing Carbon Sequestration in Forest Management Plans Using Advanced Algorithms: A Case Study of Greater Khingan Mountains" Forests 14, no. 9: 1785. https://doi.org/10.3390/f14091785

APA Style

Zhang, W., Shao, H., Sun, H., Zhang, W., & Yan, Q. (2023). Optimizing Carbon Sequestration in Forest Management Plans Using Advanced Algorithms: A Case Study of Greater Khingan Mountains. Forests, 14(9), 1785. https://doi.org/10.3390/f14091785

Note that from the first issue of 2016, this journal uses article numbers instead of page numbers. See further details here.

Article Metrics

Back to TopTop