Impacts of Different Types of Vegetation Restoration on the Physicochemical Properties of Sandy Soil
Abstract
1. Introduction
2. Materials and Methods
2.1. Study Area
2.2. Experimental Design and Soil Sampling
2.3. Determination of Soil Physical and Chemical Properties
2.4. Statistical Analysis
- (1)
- Soil indicators with a large contribution in each principal component were selected through principal component analysis (PCA). If a principal component contained multiple indicators with substantial contributions, the indicators with a weak correlation were identified using correlation analysis [27];
- (2)
- The chosen indicators were standardized according to Equations (1) and (2) [28];
- (3)
- The SQI was then calculated in line with Equation (3) [29].
3. Results
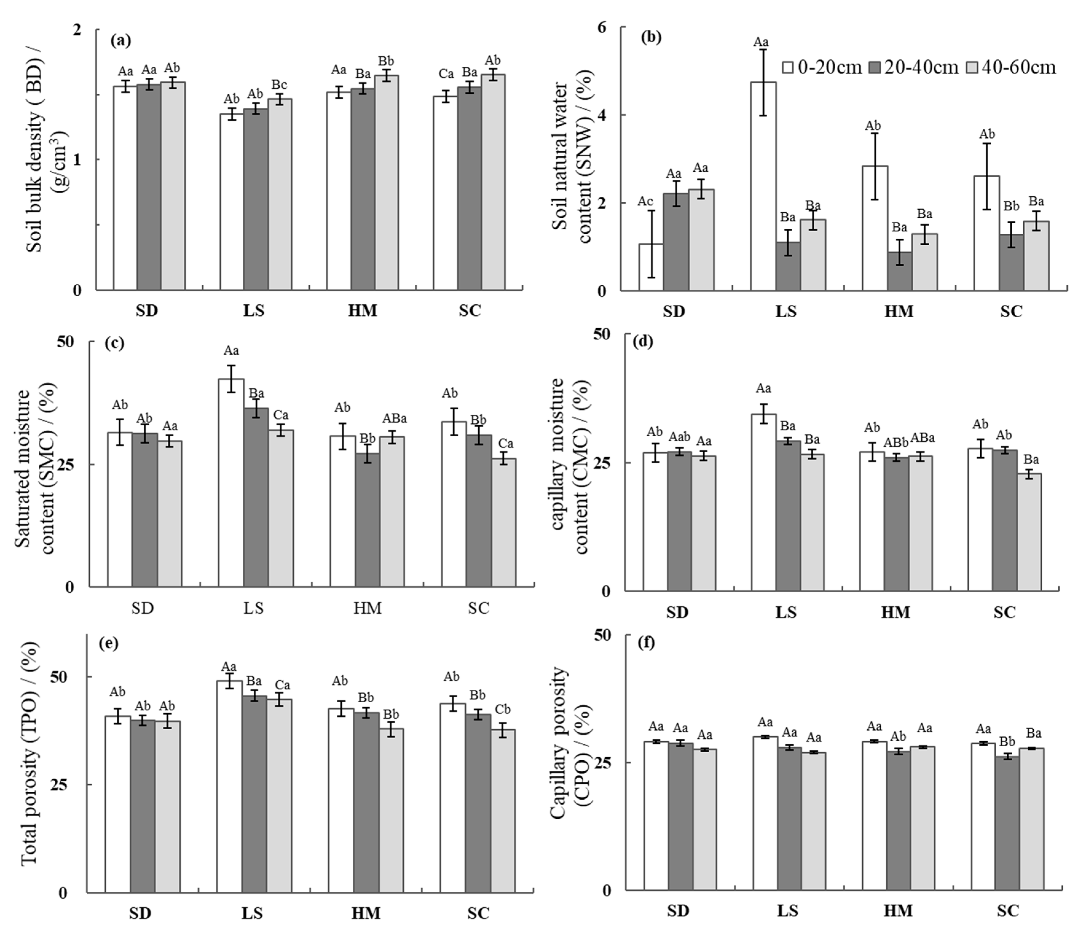
3.1. Soil Physical Properties under Different Vegetation Types
3.2. Soil Chemical Properties udder Different Vegetation Types
3.3. Comprehensive Evaluation of Soil Quality
4. Discussion
5. Conclusions
- (1)
- This study unveils a progressive increase in bulk density and pH with the depth of the soil layer, whereas the soil physical properties such as porosity, water-holding capacity, and natural water content, as well as nutrient content, exhibit a decreasing trend.
- (2)
- The influence of vegetation on soil physicochemical properties is predominantly noticeable within the 0–20 cm soil layer, and this effect varies with the type of vegetation restoration. Compared to Hedysarum mongolicum Turcz. (HM) and Salix cheilophila Schneid. (SC), Leymus secalinus Tzvel. demonstrates the most significant enhancement of comprehensive soil quality.
- (3)
- These conclusions still require further validation through additional research, particularly within more stages of succession and vegetation types. It is also imperative to gather information regarding root systems to enhance our understanding of the mechanisms by which the types influence soil properties. This would subsequently steer ecological restoration and reconstruction in this region.
Author Contributions
Funding
Data Availability Statement
Conflicts of Interest
References
- Li, S.; He, S.; Xu, Z.; Liu, Y.; von Bloh, W. Desertification process and its effects on vegetation carbon sources and sinks vary under different aridity stress in Central Asia during 1990–2020. Catena 2023, 221, 106767. [Google Scholar] [CrossRef]
- Boulmane, M.; Oubrahim, H.; Halim, M.; Bakker, M.R.; Augusto, L. The potential of Eucalyptus plantations to restore degraded soils in semi–arid Morocco (NW Africa). Ann. For. Sci. 2017, 74, 57. [Google Scholar] [CrossRef]
- Hume, A.M.; Chen, H.Y.; Taylor, A.R. Intensive forest harvesting increases susceptibility of northern forest soils to carbon, nitrogen and phosphorus loss. J. Appl. Ecol. 2018, 55, 246–255. [Google Scholar] [CrossRef]
- Deng, L.; Peng, C.; Huang, C.; Wang, K.; Liu, Q.; Liu, Y.; Hai, X.; Shangguan, Z. Drivers of soil microbial metabolic limitation changes along a vegetation restoration gradient on the Loess Plateau, China. Geoderma 2019, 353, 188–200. [Google Scholar] [CrossRef]
- Lyu, D.; Yang, Y.; Zhao, W.; Xu, X.; He, L.; Guo, J.; Lei, S.; Liu, B.; Zhang, X.; Bini, C. Effects of different vegetation restoration types on soil hydro–physical properties in the hilly region of the Loess Plateau, China. Soil Res. 2022, 61, 94–105. [Google Scholar] [CrossRef]
- Li, R.; Kan, S.; Zhu, M.; Chen, J.; Ai, X. Effect of different vegetation restoration types on fundamental parameters, structural characteristics and the soil quality index of artificial soil. Soil Till. Res. 2018, 184, 11–23. [Google Scholar] [CrossRef]
- Liu, W.M.; Peng, T.; Liu, L.K.; Zhao, G.J.; Mu, X.M. Evaluation of Grassland Soil Quality in Typical Desertified Areas of Qinghai–Tibet Plateau. Res. Soil Water Con. 2022, 29, 118–124. [Google Scholar] [CrossRef]
- Li, Q.; Jia, Z.; Liu, T.; Feng, L.; He, L. Effects of different plantation types on soil properties after vegetation restoration in an alpine sandy land on the Tibetan Plateau, China. J. Arid. Land 2017, 9, 200–209. [Google Scholar] [CrossRef][Green Version]
- Reichert, J.M.; Amado, T.J.C.; Reinert, D.J.; Rodrigues, M.F.; Suzuki, L.E.A.S. Land use effects on subtropical, sandy soil under sandyzation/desertification processes. Agric. Ecosyst. Environ. 2016, 233, 370–380. [Google Scholar] [CrossRef]
- Li, Y.Y.; Shao, M.A. Change of soil physical properties under long–term natural vegetation restoration in the Loess Plateau of China. J. Arid. Environ. 2006, 64, 77–96. [Google Scholar] [CrossRef]
- Niu, L.L.; Zhang, T.Y.; Ding, G.D. Actuality and Countermeasure of Ecological Rehabilitation in Maowusu Sandy Land. Res. Soil Water Con. 2006, 13, 239–246. [Google Scholar] [CrossRef]
- Wang, L.L. Dynamic of Ecological Environment of Fenced Grassland and its Management in Yanchi County. Ph.D. Thesis, Beijing Forestry University, Beijing, China, 2016. [Google Scholar]
- Li, H.Y.; Yang, X.H.; Huang, X.R.; Zhang, K.B. Soil seedbank features and its relation to vegetation in exclosed rangeland, Yanchi county. Ecol. Environ. 2007, 16, 533–537. [Google Scholar]
- Shan, G.L.; Chu, X.H.; Tian, Q.S.; Ma, Y.B.; Li, L.H.; Cheng, G. Research on the dynamic changes of soil properties of typical steppe in the restoring process. Acta Pratac. Sin. 2012, 21, 1–9. [Google Scholar] [CrossRef]
- Chen, L.J.; Xie, Y.Z.; Xu, D.M. Study on Soil Nutrient Content and Enzyme Activities of Desertificated Grassland in Yanchi County. J. Anhui Agri. Sci. 2015, 43, 109–111. [Google Scholar] [CrossRef]
- Chang, H.T.; Zhao, J.; Liu, J.N.; Liu, R.T.; Luo, Y.X.; Zhang, J. Changes in soil physico–chemical properties and related fractal features during conversion of cropland into agroforestry and grassland. Acta Prataculturae Sin. 2019, 28, 14–25. [Google Scholar] [CrossRef]
- Wijitkosum, S. Reducing Vulnerability to Desertification by Using the Spatial Measures in a Degraded Area in Thailand. Land 2020, 9, 49. [Google Scholar] [CrossRef]
- Sarparast, M.; Ownegh, M.; Sepehr, A. Evaluating the impacts of combating–action programs on desertification hazard trends: A case study of Taybad–Bakharz region, northeastern Iran. Environ. Sustain. Indic. 2020, 7, 100043. [Google Scholar] [CrossRef]
- Luo, Q.; Zhen, L.; Xiao, Y.; Wang, H. The effects of different types of vegetation restoration on wind erosion prevention: A case study in Yanchi. Environ. Res. Lett. 2020, 15, 115001. [Google Scholar] [CrossRef]
- Wang, T.; Zhao, H.L. Advances in Desertification Research of China. J. Desert Res. 1999, 19, 299–311. [Google Scholar]
- Qi, H.L.; Zhang, W.J. A study of plant transpiration rules in Mu Us Desert. J. Agri. Sci. 2008, 29, 61–65. [Google Scholar]
- Zhao, P.; Sun, X.; Huang, L.; Wang, H.; Zhang, G. The relationship between transpiration regularity of Psammophytes in growth season and environmental factors in Maowusu sandy land. For. Res. 2004, 17, 67–71. [Google Scholar] [CrossRef]
- Nelson, D.W. Total carbon, organic carbon and organic matter. Methods Soil Anal. 1982, 9, 961–1010. [Google Scholar] [CrossRef]
- ISSCAS. Physical and Chemical Analysis Methods of Soils; Shanghai Science Technology Press: Shanghai, China, 1978. [Google Scholar]
- Zhou, L.K. Soil Enzymology; Science Press: Beijing, China, 1989. [Google Scholar]
- Masto, R.E.; Chhonkar, P.K.; Singh, D.; Patra, A.K. Alternative soil quality indices for evaluating the effect of intensive cropping, fertilisation and manuring for 31years in the semi–arid soils of India. Environ. Monitor. Assess. 2008, 136, 419–435. [Google Scholar] [CrossRef]
- Andrews, S.S.; Karlen, D.L.; Mitchell, J.P. A comparison of soil quality indexing methods for vegetable production systems in Northern California. Agric. Ecosyst. Environ. 2002, 90, 25–45. [Google Scholar] [CrossRef]
- Bastida, F.; Moreno, J.L.; Hernández, T.; García, C. Microbiological degradation index of soils in a semiarid climate. Soil Biol. Biochem. 2006, 38, 3463–3473. [Google Scholar] [CrossRef]
- Sinha, S.; Masto, R.E.; Ram, L.C.; Selvi, V.A.; Srivastava, N.K.; Tripathi, R.C.; George, J. Rhizosphere soil microbial index of tree species in a coal mining ecosystem. Soil Bio. Biochem. 2009, 41, 1824–1832. [Google Scholar] [CrossRef]
- Antunes, S.C.; Pereira, R.; Sousa, J.P.; Santos, M.C.; Goncalves, F. Spatial and temporal distribution of litter arthropods in different vegetation covers of Porto Santo Island (Madeira Archipelago, Portugal). Eur. J. Soil Biol. 2008, 44, 45–56. [Google Scholar] [CrossRef]
- Isselin–Nondedeu, F.; Bédécarrats, A. Influence of alpine plants growing on steep slopes on sediment trapping and transport by runoff. Catena 2007, 71, 330–339. [Google Scholar] [CrossRef]
- She, L. Study of Biomass and Biomass Models of Main Shrub in the Mu Us Sandland. Master’s Thesis, Inner Mongolia University, Hohhot, China, 2014. [Google Scholar]
- Xu, H.F.; Guo, W.X.; Yang, G.Z. Preliminary determination of Root system of Leymus secalinus Qing Hai Prataculture. Grass Ind. Qinghai 1994, 3, 25–27. [Google Scholar]
- Zhang, J.W. Response of Soil Respiration and Components to Vegetation Restoration in Mu Us Sandy Land. Master’s Thesis, Inner Mongolia University, Hohhot, China, 2022. [Google Scholar]
- Oba, G.; Vetaas, O.; Stenseth, N.C. Relationship between biomass and plant species richness in arid–zone grazing lands. J. Appl. Ecol. 2001, 38, 836–845. [Google Scholar] [CrossRef]
- Jiang, L.N.; Ma, J.; Liu, J.K.; Wang, S.J.; Zhao, J.Y.; Bai, J.H. Spatial Distribution of Soil Physicochemical Properties Under Different Vegetation Restoration Measures in Mu Us Sand Land. Bull. Soil Water Conserv. 2022, 42, 1–7. [Google Scholar] [CrossRef]
- Yao, H.Y.; Xiao, Z.W.; Zhang, P.Z.; Li, P.; Liang, X.L.; He, W.X. Influencing Factors of Planting and Root Development of Leymus secalinus in Sandy Grassland. J. Univ. Jinan (Sci. Technol.) 2019, 33, 366+371–376. [Google Scholar]
- Liu, H.; Yang, D.L. Evaluation for Soil Quality of Forest Land in Different Forest Types. J. Shandong Agri. Univ. (Nat. Sci. Ed.) 2021, 52, 607–614. [Google Scholar] [CrossRef]
- Liu, Y.; Song, T.Q.; Cai, D.S.; Zeng, F.P.; Peng, W.X.; Du, H. Soil fertility characteristics under different land use patterns in depressions between karst hills. Chin. J. Appl. Ecol. 2014, 25, 1561–1568. [Google Scholar] [CrossRef]
- Angst, Š.; Mueller, C.W.; Cajthaml, T.; Angst, G.; Lhotáková, Z. Stabilization of soil organic matter by earthworms is connected with physical protection rather than with chemical changes of organic matter. Geoderma 2017, 289, 29–35. [Google Scholar] [CrossRef]
- Rawls, W.J.; Nemes, A.; Pachepsky, Y. Effect of soil organic carbon on soil hydraulic properties. Dev. Soil Sci. 2004, 30, 95–114. [Google Scholar] [CrossRef]
- Yang, Y.; Ha, S.; Sun, B.P.; Du, H.S.; Zhao, Y.; Zhong, X.J. Effects of Different Vegetation Restoration Types on Soil Nutrients in Southern Edge of Mu Us Sandy Land. Chin. Agri. Sci. Bull. 2012, 28, 37–42. [Google Scholar] [CrossRef]
- Wang, G.L.; Liu, G.B.; Xu, M.X. Effect of vegetation restoration on soil nutrient changes in Zhifanggou watershed of loess hilly region. Bull. Soil Water Conserv. 2002, 1, 1–5. [Google Scholar]
- Gong, J.; Chen, L.D.; Fu, B.J.; Hu, C.X.; Wei, W. Effects of Vegetation Restoration on Soil Nutrient in a Small Catchment in Hilly Loess Area. J. Soil Water Conserv. 2005, 19, 93–96. [Google Scholar] [CrossRef]
- Gill, R.A.; Jackson, R.B. Global patterns of root turnover for terrestrial ecosystems. N. Phytol. 2000, 147, 13–31. [Google Scholar] [CrossRef]
- Jiang, Y.M.; Yao, T.; Li, J.H.; Chen, L.; Liu, H.; Liu, T.; Tian, Y.L.; Zhang, B.; Gao, Y.M. Effects of different management measures on soil microbial biomass in an alpine meadow. Acta Prataculturae Sin. 2016, 25, 35–42. [Google Scholar] [CrossRef]


| Stand | Canopy Density (%) | Underground Coverage (%) | Spacing (m) | Breast-Height Diameter (cm) | Main Plant Species of the Vegetation Composition |
|---|---|---|---|---|---|
| SD | NA | NA | NA | NA | NA |
| LS | NA | 60 | NA | NA | Artemisia desertorum Spreng., Agriophum pungens (Pall.) Moq. |
| HM | 60 | 30 | 2 × 2 | 7 | Cynanchum mongolicum Maxim.; Artemisia desertorum Spreng. |
| SC | 60 | 35 | 2 × 2 | 7 | Calamagrostis epigeios (L.) Roth; Cynanchum mongolicum Maxim. |
| Properties | Component 1 | Component 2 | Common Factor Variance | Weights |
|---|---|---|---|---|
| SNW | 0.795 | 0.435 | 0.853 | 0.107 |
| BD | 0.888 | −0.376 | 0.956 | 0.081 |
| SMC | 0.937 | −0.079 | 0.895 | 0.100 |
| CMC | 0.950 | −0.068 | 0.910 | 0.102 |
| TPO | 0.915 | −0.313 | 0.956 | 0.087 |
| CPO | 0.625 | 0.539 | 0.710 | 0.093 |
| pH | 0.686 | −0.465 | 0.727 | 0.055 |
| SOM | 0.877 | −0.072 | 0.794 | 0.093 |
| TN | 0.915 | 0.060 | 0.933 | 0.104 |
| TP | 0.885 | 0.202 | 0.827 | 0.107 |
| TK | 0.457 | 0.492 | 0.974 | 0.072 |
| Eigenvalue | 7.501 | 1.238 | ||
| Variance Contribution | 68.187 | 11.252 |
| Stand | Layer/cm | SD | LS | HM | SC |
|---|---|---|---|---|---|
| pH | 0–20 | 8.07 Ac | 7.85 Aa | 7.86 Aa | 7.96 Ab |
| 20–40 | 8.08 Ab | 7.82 Aa | 7.92 Ba | 8.03 Bb | |
| 40–60 | 8.06 Ab | 8.04 Ba | 8.02 Ca | 8.11 Cc | |
| 0–60 | 8.07 b | 7.92 a | 7.94 a | 8.04 b | |
| SOM/(g/kg) | 0–20 | 1.27 Aa | 5.98 Bc | 2.64 Bb | 2.62 Bb |
| 20–40 | 0.70 Aa | 2.09 Ab | 2.04 Bb | 1.99 Ab | |
| 40–60 | 0.69 Aa | 1.46 Ab | 0.94 Aa | 1.64 Ab | |
| 0–60 | 0.89 a | 3.18 c | 1.87 b | 2.08 b | |
| TN/(g/kg) | 0–20 | 0.12 Aa | 0.38 Bb | 0.09 Aa | 0.17 Ca |
| 20–40 | 0.14 Aa | 0.15 Aa | 0.10 Aa | 0.11 Ba | |
| 40–60 | 0.11 Aa | 0.15 Aa | 0.08 Aa | 0.10 Aa | |
| 0–60 | 0.12 a | 0.22 b | 0.09 a | 0.12 a | |
| TP/(g/kg) | 0–20 | 0.27 Aa | 0.43 Bb | 0.25 Ba | 0.28 Ba |
| 20–40 | 0.28 Ab | 0.27 Ab | 0.19 Aa | 0.19 Aa | |
| 40–60 | 0.29 Ab | 0.30 Ab | 0.17 Aa | 0.13 Aa | |
| 0–60 | 0.28 b | 0.31 b | 0.20 a | 0.21 a | |
| TK/(g/kg) | 0–20 | 19.13 Aa | 18.73 Ba | 19.78 Bb | 18.65 Ba |
| 20–40 | 18.29 Aab | 17.53 Aa | 16.78 Aa | 18.88 Bb | |
| 40–60 | 18.56 Ab | 17.13 Ab | 15.20 Aa | 16.61 Aa | |
| 0–60 | 18.66 a | 17.79 a | 17.26 a | 18.05 a |
Disclaimer/Publisher’s Note: The statements, opinions and data contained in all publications are solely those of the individual author(s) and contributor(s) and not of MDPI and/or the editor(s). MDPI and/or the editor(s) disclaim responsibility for any injury to people or property resulting from any ideas, methods, instructions or products referred to in the content. |
© 2023 by the authors. Licensee MDPI, Basel, Switzerland. This article is an open access article distributed under the terms and conditions of the Creative Commons Attribution (CC BY) license (https://creativecommons.org/licenses/by/4.0/).
Share and Cite
Lyu, D.; Liu, Q.; Xie, T.; Yang, Y. Impacts of Different Types of Vegetation Restoration on the Physicochemical Properties of Sandy Soil. Forests 2023, 14, 1740. https://doi.org/10.3390/f14091740
Lyu D, Liu Q, Xie T, Yang Y. Impacts of Different Types of Vegetation Restoration on the Physicochemical Properties of Sandy Soil. Forests. 2023; 14(9):1740. https://doi.org/10.3390/f14091740
Chicago/Turabian StyleLyu, Du, Qiuman Liu, Tao Xie, and Yahui Yang. 2023. "Impacts of Different Types of Vegetation Restoration on the Physicochemical Properties of Sandy Soil" Forests 14, no. 9: 1740. https://doi.org/10.3390/f14091740
APA StyleLyu, D., Liu, Q., Xie, T., & Yang, Y. (2023). Impacts of Different Types of Vegetation Restoration on the Physicochemical Properties of Sandy Soil. Forests, 14(9), 1740. https://doi.org/10.3390/f14091740

