Abstract
The timing of flowering and fruiting plays a critical role in the reproduction, population size, and range of fruit-eating animals. The Hainan Tropical Rainforest National Park, China, hosts one of the world’s most endangered primate species, the Hainan gibbon (Nomascus hainanus). Understanding the phenological patterns of the principal food sources of the Hainan gibbon is crucial for the effective management of their habitats and the conservation of this threatened population. To that end, we conducted a regression analysis to better understand how climate may impact the timing and availability of fruits known to support the Hainan gibbon. We observed significant seasonal and inter-annual variations in the reproductive phenology of these fruiting species, with most species flowering from March to June and fruiting from August to December. Importantly, we found that Hainan gibbons face severe food scarcity between January and April. We show that sunshine exerts a significant effect on the flowering time, while fruiting phenology is most sensitive to temperature. We suggest that the restoration of the Hainan gibbon habitat should include planting more tree species which that produce fruit in the time of low food availability between January-April, including the species Memecylon ligustrifolium, Wrightia pubescens, Sarcosperma laurinum, Eurya ciliata, and Pouteria annamensis.
1. Introduction
It is now widely accepted that alterations in plant phenology induced by global warming have significantly impacted plant–animal relationships [1,2,3]. There is increasing evidence to suggest that these changes could ultimately alter the composition and structure of entire ecological communities [4,5]. Early flowering or fruiting events might increase the risk of frost or lead to a lack of synchrony within plant–pollinator or plant–disperser systems [4,5,6]. For example, slight changes in flowering and fruiting times can affect plant pollination, seed dispersal, and the survival of fruit-eating animals [7,8], all of which may significantly impact the functioning of ecosystems over time. Furthermore, research on the seasonality of plant phenology is crucial for understanding the impact of climate change on forest dynamics, biodiversity, and the global carbon and water cycle [9].
Previous studies have revealed that the inter-annual variation in the reproductive phenology of woody plants in Southeast Asian tropical rainforests is highly variable due to mast flowering and fruiting events [10]. Mast flowering and fruiting events occur at irregular intervals of two years or more, involving the mass reproduction of individuals in an area at the same time [11,12]. As a consequence, a masting effect changes the pattern of food availability over the course of a season. Given the unpredictable nature of food abundance events in tropical rainforests, the survival of fruit-eating animals is intrinsically linked to the seasonal distribution and inter-annual variability of fruit production, making the mast reproductive phenology of plants an essential consideration for effective wildlife conservation efforts [13].
The phenological patterns of tropical plants are thought to be influenced by numerous environmental and climatic factors. These include, but are not limited to, the photoperiod, solar radiation, precipitation, and temperature [14,15]. In Southeast Asia, mast flowering and fruiting events occur irregularly at multi-year intervals, and these events are often attributed to factors such as drought [16,17,18], cloudless conditions, or fluctuations in mean temperatures [19]. For example, a 13-year study conducted in Pason Forest Reserve, Peninsular Malaysia, demonstrated that the synergistic effects of low temperature and drought are responsible for mast flowering events occurring at irregular multi-year intervals [16].
However, little research has been conducted on the influence of the climate on plant phenology in lower, near-tropical latitudes, such as the Hainan rainforest. Furthermore, few have considered the indirect influence of seasonal and inter-annual climate variation on the Hainan gibbon. The primate population size tends to fluctuate significantly with food availability, and the size range is influenced by plant phenological patterns [20,21]. In the rainforests of Hainan, China, mast flowering and fruiting events likely have significant impacts on primate populations, especially for the critically endangered Hainan gibbon, Nomascus hainanus Thomas (Primates: Hylobatidae). These changes may be even more pronounced in their critically threatened state; the population was estimated to be over 2000 in the 1950s, but has dropped to fewer than 40 animals restricted to a 16 km2 forest fragment [22].
As the population is so small and so spatially restricted, the incidence of a mast flowering event or the occurrence of a major disturbance to the flowering and fruiting times of major food plants present a real conservation risk. Nonetheless, very few studies have explored the reproductive phenology of the main food species of the Hainan gibbon. For the development of effective conservation management strategies, it is necessary to conduct in situ field research to fully understand the phenology of the ape-feeding tree species foraged by the Hainan gibbon. Therefore, understanding the seasonal and inter-annual variation in plant phenology is indispensable for the conservation management of primates in the region.
Here, we address three principal questions by monitoring the flowering and fruiting phenology of ape-feeding tree species in the Hainan Tropical Rainforest National Park:
- (1)
- What are the seasonal and inter-annual patterns of the reproductive phenology of gibbon food species in the Hainan Tropical Rainforest National Park?
- (2)
- Are there differences in the reproductive phenology of plants of different functional groups?
- (3)
- What are the main environmental drivers of flowering and fruiting phenology in gibbon food species?
2. Materials and Methods
2.1. Study Site
Research was conducted in the Bawangling National Nature Reserve (BNNR) (18°57′–19°11′ N, 109°03′–109°17′ E; 50–1654 m.a.s.l), within the Hainan Tropical Rainforest National Park. The terrain of BNNR is predominantly mountainous with a complex topography. The region experiences a tropical monsoon climate, characterized by distinct alternating wet and dry seasons. The area has an average annual temperature of 24.2 °C and an average annual precipitation of 1759 mm. However, precipitation is unevenly distributed throughout the year, with a rainy season occurring between May and October, and the dry season occuring between November and April. The main vegetation types in the study area include lowland rainforest, montane evergreen forest, montane rainforest, and hilltop dwarf forest [23].
2.2. Phenology Data
Within the 18 km2 patch known to host the remaining gibbon population, we established two sampling transects. A total of 89 species of gibbon food plants were selected for the study, with 3 parent trees of each species selected as replicates along the trail. These plant species belonged to 37 families and 56 genera. The transects were principally dominated by Lauraceae Juss. (Laurales), Moraceae Gaudich. (Rosales) and Euphorbiaceae Juss. (Malpighiales) (Table S1). The hhenology was monitored fortnightly with binoculars, and we recorded the first flowering, peak flowering, first fruiting and peak fruiting stages of the sampled trees. The first flowering was documented as the date of the first visible mature flower appearance. Using the BBCH (Biologische Bundesanstalt, Bundessortenamt and Chemical industry) reference, this first visible mature flower was BBCH code 61. The date of 50% flowering was considered peak flowering (BBCH code: 65), first fruiting was the date of the first ripe fruit (BBCH code: 81), and peak fruiting was the date on which fruit ripening was observed to occupy 50% of the tree crown (BBCH code: 89). We dated the first flowering period in 84 species, the peak flowering period in 83 species, the first fruiting period in 87 species, and the peak fruiting period data for 86 species. The data collected for this study spanned from July 2019 to December 2022.
The diet of the Hainan gibbon is mainly composed of leaves, flowers, and fruits from more than 130 food plant species [24,25,26]. Of these species, most are targeted by the gibbons for fruit. Only 4 species of plants are targeted for their flowers. An additional 17 species are targeted when they produce young nutrient-rich leaves [27]. Given the complex terrain and the heterogeneous distribution of diet species, we ended up collecting data for 89 of the more than 130 species known to support the gibbon.
2.3. Meteorological Data
Climate data were obtained from the nearest meteorological station (about 10 km from the field site) (Figure 1A). Basic meteorological data for the period of 2019–2022 (Figure 1B,C) include the monthly precipitation (mm), monthly maximum temperature (°C), monthly minimum temperature (°C), monthly average temperature (°C), and sunshine hours (h).

Figure 1.
(A) Map of study sites, BMS refers to Bawangling Meteorological Station. (B) Mean, minimum, and maximum temperature at the study site. (C) Patterns of precipitation and hours of sunshine at the site.
2.4. Data Analysis
Flowering and fruiting dates were converted to the number of days from January 1st of the year using the Julian date conversion method, and the average flowering and fruiting dates for each species were compiled. The number of flowering/fruiting species per month was plotted by month to analyze the seasonal phenology of the sampled tree species. We used the coefficient of variation (CV) to calculate the inter-annual variation in the number of species (CVyears). In this fashion, CVyears was equal to the standard deviation of the number of species in the monthly distribution divided by the mean species number for each year [28].
To compare the differences in the phenological periods between species with different fruit types (fleshy and non-fleshy fruits) and pollination types (wind and insect vectors), the Wilcoxon rank-sum test was utilized for analysis of variance. The fruit and pollination types of each species were taken from the present literature and the collaborative scientific effort ‘Flora of China’ [24,29]. Non-fleshy fruit types include wingless fruits, capsules, pods, and nuts, which possess little water within the dry flesh. Citrus fruits, berries, drupes, and pears with water-rich flesh are considered fleshy fruit types [24,30]. Fruits with brightly colored perianths were considered insect-pollinated, and a plant was considered wind-pollinated if it possessed little or no perianth, a large number of exposed stigma surfaces, a large amount of pollen, and no obvious attractants such as nectar [30]. Ultimately, there were 72 insect-pollinated and 17 wind-pollinated species, 67 fleshy fruits species, and 22 non-fleshy fruits species among the 89 ape-feeding tree species.
To investigate the relationships between the reproductive phenology and environmental variables, linear regressions of all five climatic variables were run using the number of flowering or fruiting species per month as a response variable. We used three forms of each climatic variable as explanatory variables in the linear regressions, namely current month, the climate of the previous month, and the average climate of two months prior). We used the AIC information criterion to select the models that best explained the relationship between the climate and reproductive phenology. All statistical analyses were carried out using the R statistical software version 4.1.2 [31].
3. Results
3.1. Phenological Patterns and Inter-Annual Variation of Gibbon Food Species
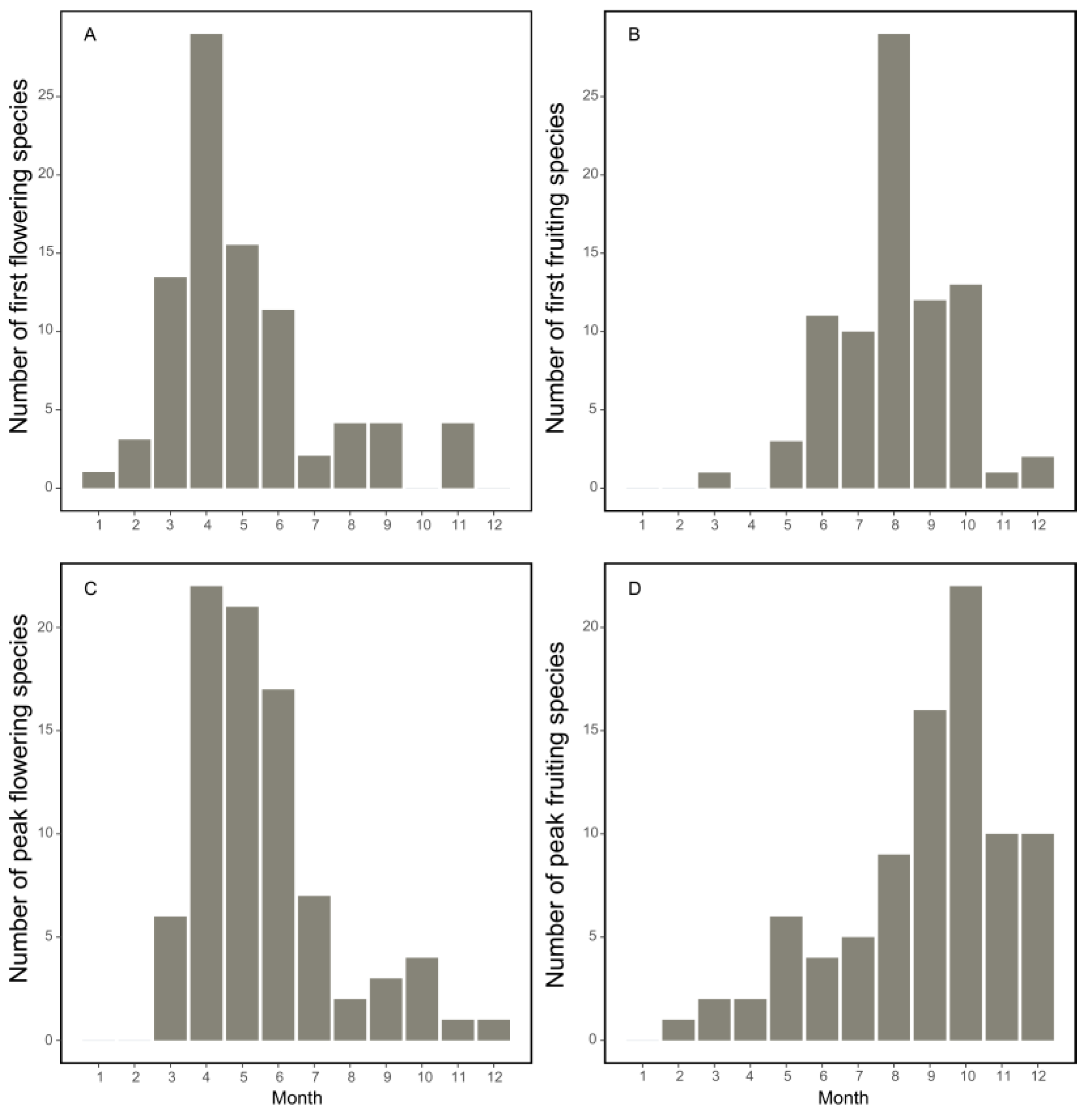
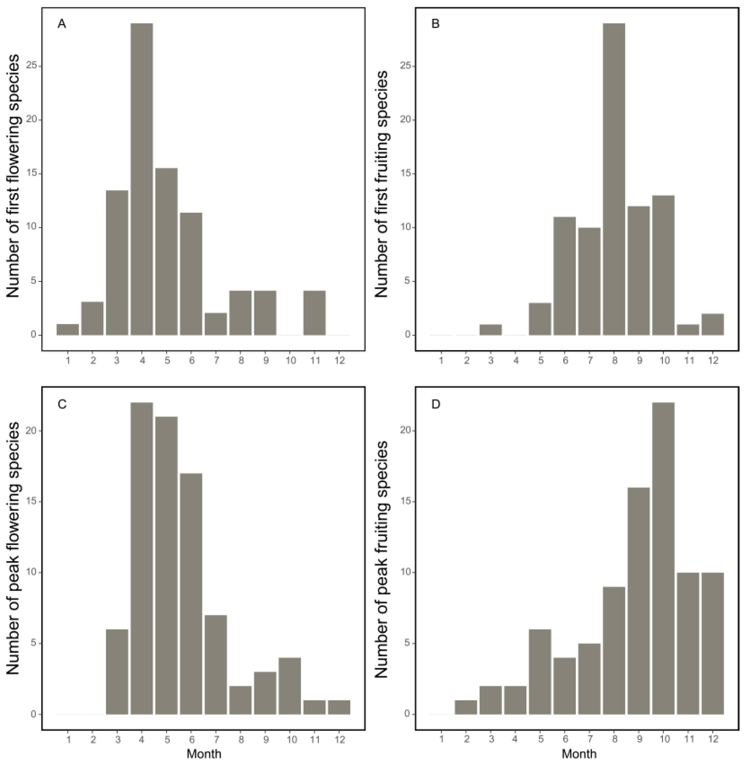
The flowering phenology of the gibbon food species exhibited strong seasonality, with a relatively large variation in the number of flowering species per month (Figure 2A,C). Of the 84 species with first flowering data, the majority of species concentrated their flowering between March and June (79.76%), with few species flowering between October and February. Of the 83 species with peak flowering data, the majority of species reached their peak flowering between March and July (89%). The lowest number of flowering species was in the months between November and February, particularly from January to February, when no species flowered.
Figure 2.
Phenological patterns of flowering and fruiting in tree species utilized as food by the Hainan Gibbon. Number of species in their first flowering period per month (A). Number of species in their first fruiting period per month (B). Number of species in their peak flowering period per month (C). Number of species in their peak fruiting period per month (D).
The fruiting time was also temporally constrained in most species (Figure 2B,D). Of the 87 species with first fruiting data, the majority of species fruited between June and October (86.21%). Of the 86 species with peak fruiting data, the majority of species reached peak fruiting between August and December (76.74%). No fruits ripened in January, although several species had their fruit ripen in February–April, including Memecylon ligustrifolium Champ. (Myrtales: Melastomataceae), Wrightia pubescens R. Br. (Gentianales: Apocynaceae), Sarcosperma laurinum (Benth.) Hook.f. (Ericales: Sapotaceae), Eurya ciliata Merr. (Ericales: Pentaphylacaceae), and Pouteria annamensis (Pierre) Basehni (Ericales: Sapotaceae). Overall, 37 families and 56 genera of tree species had ripe fruits between August and December, with Lauraceae, Euphorbiaceae, Rubiaceae Juss. (Gentianales), Myrtaceae Juss. (Myrtales), and Fagaceae Dumort. (Fagales) being the most prevalent.
We observed significant inter-annual variation in the flowering and fruiting phenology (Figure 3). Our analysis captured a mast flowering and fruiting event that occurred in 2022. For reference, in 2021, only 20 species fruited, and only 13 species flowered at all. During 2022, a total of 84 species flowered and 88 species fruited (Figure 3). Additionally, our analysis found that the flowering phenology varied more than the fruiting phenology, particularly with regard to the first flowering period (Table 1). Conversely, the inter-annual coefficient of variation in first fruiting was the lowest (Table 1).
Figure 3.
Phenological inter-annual variation in the flowering and fruiting of tree species utilized as food by the Hainan Gibbon. The number of species in their peak flowering and fruiting period is represented on the y-axis. The x-axis is time, and each interval is one month, beginning in July 2019 and ending in December 2022. The number of plants in their peak flowering period is represented in red, and the number of plants in their peak fruiting period is represented in blue.
Table 1.
Estimates of inter-annual variation in flowering and fruiting of gibbon food species in Bawangling Nature Reserve, Hainan Tropical Rainforest National Park, 2019–2022. CVyears is equal to the standard deviation of the number of species in the monthly distribution divided by the mean species number.
3.2. Effect of Functional Groups on Reproductive Phenology of Gibbon Food Plants
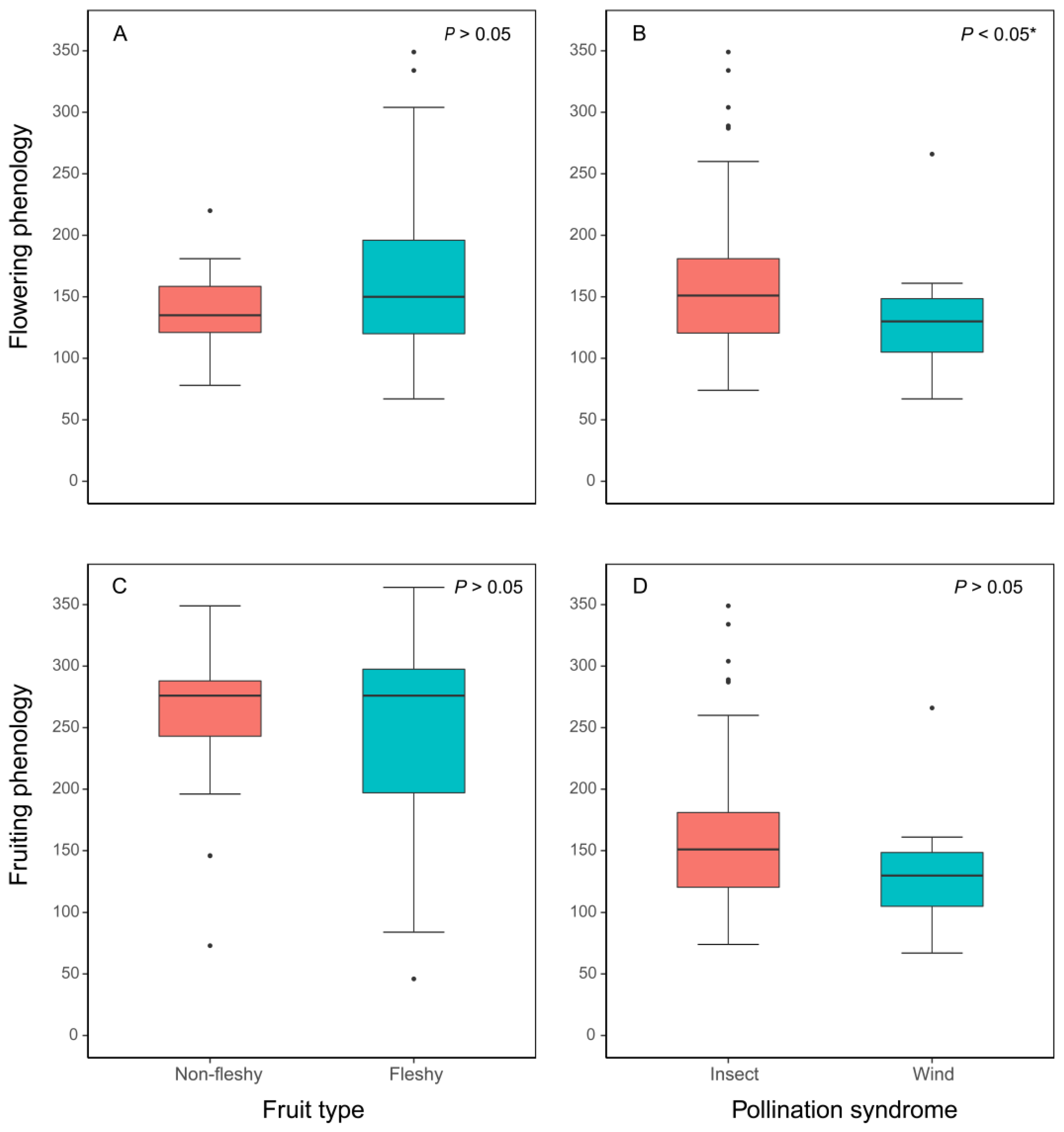
Wind-pollinated species flowered significantly earlier than insect-pollinated species (Figure 4B). However, there was no significant difference in the flowering times between fleshy-fruited species and non-fleshy-fruited species. Neither the fruit type nor pollination method had a significant effect on the fruiting phenology (Figure 4C,D).
Figure 4.
Flowering and fruiting phenological differences of species with different functional groups. Differences in flowering phenology between (A) non-fleshy and fleshy fruits, and (B) insect and wind pollination. Differences in fruiting phenology between (C) non-fleshy and fleshy fruits, and (D) insect and wind pollination. * 0.01 < p < 0.05.
3.3. Climate Factors and the Phenology of Gibbon Food Species
The number of first-flowering species per month was negatively correlated with the mean monthly precipitation (mean of current month and 2 months prior) and positively correlated with the mean monthly sunshine hours (current month) (p < 0.05), but no significant correlation was observed with temperature (Table 2). Similarly, the number of peak flowering species per month was negatively correlated with the mean monthly precipitation (mean of current month and 2 months prior) and positively correlated with the mean monthly sunshine hours (mean of current month and 1 months prior) (p < 0.05), but there was no relationship with temperature. The first fruiting date was significantly positively related to the mean, maximum, and minimum temperature variables at the P2 period (mean of current month and 2nd month prior). In contrast, peak fruiting was not correlated with any climatic variable tested here (Table 2).
Table 2.
Results of linear regression models analyzing the relationship between the monthly number of flowering and fruiting ape-feeding tree species with climate factors. Climate factors: mean monthly temperature (Tmean), mean maximum monthly temperature (Tmax), mean minimum monthly temperature (Tmin), mean monthly precipitation (Precipitation), and mean monthly sunshine hours (Sunshine). Current refers to the climate factors of the current month; P1 refers to the mean of the current month and one month prior; P2 refers to the mean of the current month and two months prior.
4. Discussion
4.1. Seasonal Patterns of Reproductive Phenology of Gibbon Food Species
There are differences in the seasonal patterns of flowering and fruiting phenology in ape-feeding species, with a significant variation in flowering and fruiting both within and between years. Flowering phenology was concentrated at the end of the dry season and the beginning of the rainy season, consistent with other studies in seasonally dry tropical forests [29,32]. These studies and our own efforts support the idea that species in tropical forests utilize the available water and nutrients to optimize vegetative development during the dry season.
In the tropics, peak fruiting typically occurs during the wet season. Here, we found that the period of the first fruiting of ape-feeding species was concentrated in June–October, with peak fruiting in August–December. Differences in fruiting times may provide benefits to trees by avoiding competition for services such as fruit dispersers. Extended fruiting windows may also ensure the availability of fruit resources for foraging animals over the year. Hainan gibbons are frugivorous and mainly feed on ripe fruits, especially small juicy fruits. Importantly, gibbons, along with many other animals, adjust their feeding behavior based on temporal variations in the available food resources [33]. Indeed, 75.3% of the monitored ape-feeding tree species had fleshy fruit types. Gibbons may adjust their time spent feeding and traveling, as well as change their home range size when food is scarce [34]. We observed the reduced fruiting of ape-feeding tree species between January and April, consistent with previous studies focusing on local flora data on Hainan Island [24].
In the interest of habitat and population conservation, it is important to consider the fruiting times of the tree species to be planted or prioritized. Trees that fruit primarily in August-December will not overly benefit Hainan gibbons due to the overall abundance of food during this period. Instead, management should prioritize species that fruit when resources are otherwise scarce (fruiting ripened in January–April). Examples of such species include M. ligustrifolium, W. pubescens, S. laurinum, E. ciliata, and P. annamensis. Our findings provide valuable guidance for the habitat expansion and habitat restoration of Hainan gibbons and corridor construction efforts.
4.2. Mast Flowering and Fruiting of Gibbon Food Species
Our study revealed significant inter-annual variation in the reproductive phenology of gibbon food species in the Hainan tropical rainforest. Specifically, there was a significant increase in the number of flowering and fruit-bearing species in 2022, evidencing a mast year. However, our monitoring was only carried out across three and half years, so it was not possible to accurately determine the intervals between mast years that occur at wider intervals. In the future, long-term monitoring data will be important for understanding the influence of masting events on gibbon food availability.
Previous studies in Southeast Asian tropical rainforests have found that woody plants do not flower and fruit every year, with some species only flowering and fruiting once every 2–7 years [16]. For example, Lobeliaceae Juss. (Campanulales) in Malaysian seasonal lowland rainforests is known to exhibit synchronous mast flowering and fruiting at irregular multi-year intervals from 1–11 years [18]. Similarly, concentrated fruiting occurs in the rainforests of Borneo, Indonesia, with three large annual fruiting events occurring within a 10-year period [35]. The Xishuangbanna tropical rainforest also has a distinctive large annual fruiting phenomenon that is part of the Indo-Malaysian tropical rainforest complex [36]. The Hainan tropical rainforest represents a transition from South China flora to Asian tropical rainforest. Thus, there are likely differences in the reproductive phenology of the two forests due to differences in the climate and forest composition that are not captured in our analysis and warrant further exploration.
The causes of mast annual flowering and fruiting in tree species have not been conclusively established, but the most commonly accepted hypotheses are the predator satiation hypothesis and the pollination efficiency hypothesis [12,35]. Inter-annual variation in reproductive phenology was considered an adaptive strategy to regulate predator populations, increase the probability of survival after being taken, enhance plant pollination efficiency, and facilitate seed dispersal [11,37]. However, the variation in food availability caused by a prevalence of mast-reproducing food species likely places greater pressure on the Hainan gibbon because periods of over-abundance cannot be fully utilized and periods of under-abundance follow.
4.3. Effect of Functional Group on the Reproductive Phenology of Gibbon Food Species
There were few differences in reproductive phenology across pollination and fruit types, although we found that the flowering time of gibbon food species was correlated with the pollination mode, with wind-pollinated species flowering earlier than insect-pollinated species. Evidence from a variety of forest ecosystems has shown pollination type to have a mixed relationship with phenological timing. For example, wind-pollinated plants flower earlier than insect-pollinated plants in some temperate and subtropical regions [38], something that authors believe to have evolved in order to avoid insect competition and leaf disturbance during pollination [39]. However, insect-borne plants may flower earlier than wind-borne plants in other forest systems [24], with authors suggesting that pollen release before the forest canopy closes is crucial in order to avoid leaf blockage for pollen dispersal. The staggered pattern of flowering in various functional groups within plant species might be regarded as a sort of diffuse facilitation in the sense that consistent flower output may encourage the maintenance of a population of pollinators throughout the year [40].
Here, we found no significant differences in the flowering or fruiting time between fleshy and non-fleshy fruiting species. This contrasts with previous studies in temperate regions, which have found that succulent (fleshy) fruit plants tend to flower earlier [41]. In summary, although differences in reproductive phenology may occur among species of different pollination and fruiting groups, the results presented here do not give a clear indication that these factors have any major impact on the flowering or fruiting timing of gibbon food species, therefore indicating that they are of lower importance for the ecology and conservation of the Hainan gibbon.
4.4. Effects of Climate on the Reproductive Phenology of Gibbon Food Species
We found a significant relationship between the timing of first flowering and peak flowering and the mean monthly sunshine hours, which has been shown to control germination and flowering in tropical trees [12,42]. In addition, we found that flowering was significantly correlated with precipitation, with drier preceding conditions correlating with greater flowering. This may also correlate with sunshine, as more sunshine will likely correlate with lower rainfall through a lack of cloud cover.
There was also a weak correlation between peak flowering and temperature, and other research has shown that changes in temperature in the tropics can significantly affect plant flowering [43]. It has been suggested that the monthly maximum temperature is one of the most critical climate factors affecting flowering in the Hainan tropical rainforest because flowers may be damaged by excessive heat [8,24]. Here, we did not see a strong relationship between temperature and flowering; however, there were strong correlations between the mean, maximum, and minimum temperatures in the two months prior and fruiting.
We did not observe a significant relationship between fruiting and precipitation. However, a study conducted in a tropical rainforest in southeastern Madagascar showed that fruiting phenology is associated with seasonal variations in precipitation, with a higher monthly rainfall being positively correlated with greater fruiting [15]. Thus, ecosystems may show a wide variety of responses to climatic variables, depending on the climate of the region and the composition of the community. Furthermore, although our analysis was constrained to a 3-year period, we note that there was greater precipitation in the region in the year before the mast event (2021), and lower precipitation in the year of the mast event (2022). However, further long-term field monitoring data are required to confirm this inter-annual variation pattern. Indeed, masting may be triggered by environmental factors across longer timescales of seasons, years, or greater. For example, it has been suggested that seasonal drought is one of the factors leading to extensive annual flowering and fruiting [17,44]. As our observations only span three years, it is unlikely that we have fully captured the spatial and temporal variation in the phenology of these food resources. Future efforts should focus on long-term data collection to better understand the influence of inter-annual variability, particularly considering the potential influence of masting events.
5. Conclusions
In conclusion, our study indicates that the phenology of gibbon food species exhibits significant seasonal and inter-annual variability. The flowering season is concentrated between March and June, and fruiting occurs predominantly from August to December. Our observations indicate that the gibbons face a period of severe food scarcity from January to April. Our study further reveals that the mean monthly sunshine hours significantly impact the flowering period, and that temperature is a key factor influencing the timing of fruit production.
Our results provide the information necessary for optimizing future conservation efforts targeted at the critically endangered Hainan gibbon. Specifically, we recommend planting tree species that produce ripe fruits between January and April when food is very scant, such as M. ligustrifolium, W. pubescens, S. laurinum, E. ciliata, and P. annamensis.
Supplementary Materials
The following are available online at https://www.mdpi.com/article/10.3390/f14091732/s1. Table S1: The list of 89 food plants for the Hainan gibbon based on monitoring data in Bawangling Nature Reserve, Hainan Tropical Rainforest National Park.
Author Contributions
Y.D. and W.L. conceived and designed the experiments; Q.X. and X.Z. conducted the field work and performed the data compilation; Q.X. analyzed the data and contributed to the writing of the paper. All authors have read and agreed to the published version of the manuscript.
Funding
This research was funded by the Natural Science Foundation of Hainan Province, (320RC504), Institute of Hainan National Park (HD-KYH-2021001), and National Natural Science Foundation of China (42261004).
Data Availability Statement
The data that supports the findings of this study are available in the Supplementary Material of this article.
Acknowledgments
We thank Qing Chen and Guang Wei for collecting the data. Moreover, we appreciate the Changjiang County Meteorological Bureau, Hannan Province, for providing meteorological data, and give special thanks to Bawangling Bureau of Hainan tropical rainforest national park. We would like to thank Daniel Petticord at the University of Cornell for his assistance with the English language and grammatical editing of the manuscript.
Conflicts of Interest
The authors declare no conflict of interest.
References
- Valdés, A.; Ehrlén, J. Plant–animal interactions mediate climatic effects on selection on flowering time. Ecology 2021, 102, e03466. [Google Scholar] [CrossRef]
- Piao, S.; Liu, Q.; Chen, A.; Janssens, I.A.; Fu, Y.; Dai, J.; Liu, L.; Lian, X.U.; Shen, M.; Zhu, X. Plant phenology and global climate change: Current progresses and challenges. Glob. Chang. Biol. 2019, 25, 1922–1940. [Google Scholar] [CrossRef] [PubMed]
- Ge, Q.; Wang, H.; Rutishauser, T.; Dai, J. Phenological response to climate change in China: A meta-analysis. Glob. Chang. Biol. 2015, 21, 265–274. [Google Scholar] [CrossRef] [PubMed]
- Miller-Rushing, A.J.; Høye, T.T.; Inouye, D.W.; Post, E. The effects of phenological mismatches on demography. Philos. T. R. Soc. B 2010, 365, 3177–3186. [Google Scholar] [CrossRef]
- Xu, H.; Detto, M.; Fang, S.; Li, Y.; Zang, R.; Liu, S. Habitat hotspots of common and rare tropical species along climatic and edaphic gradients. J. Ecol. 2015, 103, 1325–1333. [Google Scholar] [CrossRef]
- Fedriani, J.M.; Delibes, M. Seed dispersal in the Iberian pear, Pyrus bourgaeana: A role for infrequent mutualists. Ecoscience 2009, 16, 311–321. [Google Scholar] [CrossRef]
- Elzinga, J.A.; Atlan, A.; Biere, A.; Gigord, L.; Weis, A.E.; Bernasconi, G. Time after time: Flowering phenology and biotic interactions. Trends Ecol. Evol. 2007, 22, 432–439. [Google Scholar] [CrossRef] [PubMed]
- Rafferty, N.E.; Ives, A.R. Effects of experimental shifts in flowering phenology on plant–pollinator interactions. Ecol. Lett. 2011, 14, 69–74. [Google Scholar] [CrossRef]
- Pau, S.; Wolkovich, E.M.; Cook, B.I.; Nytch, C.J.; Regetz, J.; Zimmerman, J.K.; Joseph Wright, S. Clouds and temperature drive dynamic changes in tropical flower production. Nat. Clim. Chang. 2013, 3, 838–842. [Google Scholar] [CrossRef]
- Rapp, J.M.; Mcintire, E.J.B.; Crone, E.E. Sex allocation, pollen limitation and masting in whitebark pine. J. Ecol. 2013, 101, 1345–1352. [Google Scholar] [CrossRef]
- Kelly, D.; Sork, V.L. Mast seeding in perennial plants: Why, how, where? Annu. Rev. Ecol. Evol. Syst. 2002, 33, 427–447. [Google Scholar] [CrossRef]
- Pearse, I.S.; Koenig, W.D.; Kelly, D. Mechanisms of mast seeding: Resources, weather, cues, and selection. New Phytol. 2016, 212, 546–562. [Google Scholar] [CrossRef] [PubMed]
- Morellato, L.P.C.; Alberton, B.; Alvarado, S.T.; Borges, B.; Buisson, E.; Camargo, M.G.G.; Cancian, L.F.; Carstensen, D.W.; Escobar, D.F.; Leite, P.T.; et al. Linking plant phenology to conservation biology. Biol. Conserv. 2016, 195, 60–72. [Google Scholar] [CrossRef]
- Wright, S.J.; Calderon, O. Solar irradiance as the proximate cue for flowering in a tropical moist forest. Biotropica 2018, 50, 374–383. [Google Scholar] [CrossRef]
- Dunham, A.E.; Razafindratsima, O.H.; Rakotonirina, P.; Wright, P.C. Fruiting phenology is linked to rainfall variability in a tropical rain forest. Biotropica 2018, 50, 396–404. [Google Scholar] [CrossRef]
- Chen, X.; Wang, L.; Inouye, D. Delayed response of spring phenology to global warming in subtropics and tropics. Agr. For. Meteorol. 2017, 234, 222–235. [Google Scholar] [CrossRef]
- Azmy, M.M.; Hashim, M.; Numata, S.; Hosaka, T.; Noor, N.S.M.; Fletcher, C. Satellite-based characterization of climatic conditions before large-scale general flowering events in Peninsular Malaysia. Sci. Rep. 2016, 6, 32329. [Google Scholar] [CrossRef]
- Sun, I.F.; Chen, Y.Y.; Hubbell, S.P.; Wright, S.J.; Noor, N.S.M. Seed predation during general flowering events of varying magnitude in a Malaysian rain forest. J. Ecol. 2007, 95, 818–827. [Google Scholar] [CrossRef]
- Appanh, S. General flowering in the climax rain forests of Southeast Asia. J. Trop. Ecol. 1985, 1, 225–240. [Google Scholar] [CrossRef]
- Cannon, C.H.; Curran, L.M.; Marshall, A.J.; Leighton, M. Long-term reproductive behaviour of woody plants across seven bornean forest types in The Gunung Palung National Park (Indonesia): Suprannual synchrony, temporal productivity and fruiting diversity. Ecol. Lett. 2007, 10, 956–969. [Google Scholar] [CrossRef]
- Chen, Y.; Ma, C.; Yang, L.; Guan, Z.; Jiang, X.; Fan, P. Asymmetric competition between sympatric endangered primates affects their population recovery. Biol. Conserv. 2020, 248, 108558. [Google Scholar] [CrossRef]
- Turvey, S.T.; Bryant, J.V.; Duncan, C.; Wong, M.H.; Guan, Z.; Fei, H.; Ma, C.; Hong, X.; Nash, H.C.; Chan, B.P.; et al. How many remnant gibbon populations are left on Hainan? Testing the use of local ecological knowledge to detect cryptic threatened primates. Am. J. Primatol. 2017, 79, e22593. [Google Scholar] [CrossRef]
- Yang, X.B.; Chen, Z.Z.; Li, D.H. Classification and distribution of vegetation in Hainan, China. Sci. Sin. Vitae 2021, 51, 321–333. [Google Scholar] [CrossRef]
- Du, Y.; Li, D.; Yang, X.; Peng, D.; Tang, X.; Liu, H.; Li, D.; Hong, X.; Song, X. Reproductive phenology and its drivers in a tropical rainforest national park in China: Implications for Hainan gibbon (Nomascus hainanus) conservation. Glob. Ecol. Conserv. 2020, 24, e01317. [Google Scholar] [CrossRef]
- Fan, K.; Xu, Y.; Liu, P.; Zang, R. Recovery of logged tropical montane rainforests as potential habitats for Hainan gibbon. Forests 2021, 12, 711. [Google Scholar] [CrossRef]
- Zhang, A.; Li, Z.; Zang, R.; Liu, S.; Long, W.; Chen, Y.; Liu, S.; Liu, H.; Qi, X.; Feng, Y.; et al. Food plant diversity in different-altitude habitats of Hainan gibbons (Nomascus hainanus): Implications for conservation. Glob. Ecol. Conserv. 2022, 38, e02204. [Google Scholar] [CrossRef]
- Tang, W.L.; Bi, Y.; Jin, K. Composition of foraging plants of hainan gibbon in Hainan Rainforest National Park, China. Chin. J. Wildl. 2021, 42, 675–685. [Google Scholar] [CrossRef]
- Kelly, D. The evolutionary ecology of mast seeding. Trends Ecol. Evol. 1994, 9, 465–470. [Google Scholar] [CrossRef]
- Cortés-Flores, J.; Hernández-Esquivel, K.; González-Rodríguez, A.; Ibarra-Manríquez, G. Flowering phenology, growth forms, and pollination syndromes in tropical dry forest species: Influence of phylogeny and abiotic factors. Am. J. Bot. 2017, 104, 39–49. [Google Scholar] [CrossRef] [PubMed]
- Rabinowitz, D.; Rapp, J.K.; Sork, V.L.; Rathcke, B.J.; Reese, G.A.; Weaver, J.C. Phenological properties of wind-and insect-pollinated prairie plants. Ecology 1981, 62, 49–56. [Google Scholar] [CrossRef]
- R CORE TEAM. R: A Language and Environment for Statistical Computing; R Foundation for Statistical Computing: Vienna, Austria, 2021; Available online: https://www.R-project.org/ (accessed on 1 November 2021).
- Carvalho, F.S.; Sartori, A.L. Reproductive phenology and seed dispersal syndromes of woody species in the Brazilian Chaco. J. Veg. Sci. 2015, 26, 302–311. [Google Scholar] [CrossRef]
- Corlett, R.T. Reproductive phenology of Hong Kong shrubland. J. Trop. Ecol. 1993, 9, 501–510. [Google Scholar] [CrossRef]
- Bach, T.H.; Chen, J.; Hoang, M.D.; Beng, K.C.; Nguyen, V.T. Feeding behavior and activity budget of the southern yellow-cheeked crested gibbons (Nomascus gabriellae) in a lowland tropical forest. Am. J. Primatol. 2017, 79, e22667. [Google Scholar] [CrossRef] [PubMed]
- Brearley, F.Q.; Proctor, J.; Suriantata Nagy, L.; Dalrymple, G.; Voysey, B.C. Reproductive phenology over a 10-year period in a lowland evergreen rain forest of central Borneo. J. Ecol. 2007, 95, 828–839. [Google Scholar] [CrossRef]
- Zhu, H.; Zhou, H.X. A Comparative Study on the Tropical Rain Forests in Xishuangbanna and Hainan. Plant Divers. 2002, 24, 1–3. [Google Scholar] [CrossRef]
- Dou, L.N.; Zhang, W.F.; Deng, X.B.; Cao, M.; Tang, Y. Nine-year seed rain dynamics in Parashorea chinensis forest in Xishuangbanna, Southwest China. Biodivers. Sci. 2018, 26, 919–930. [Google Scholar] [CrossRef]
- Hu, X.L.; Chang, Z.Y.; Du, Y.J. Effects of pollination mode and fruit type on reproductive phenology of woody plants. Guihaia 2017, 37, 315–321. [Google Scholar] [CrossRef]
- Regal, P.J. Pollination by wind and animals, ecology of geographic patterns. Annu. Rev. Ecol. 1982, 13, 497–524. [Google Scholar] [CrossRef]
- Feinsinger, P. Effects of plants species on each other’s pollination: Is community structure influenced? Trends Ecol. Evol. 1987, 2, 123–126. [Google Scholar] [CrossRef]
- Du, Y.J.; Mao, L.F.; Queenborough, S.A.; Freckleton, R.P.; Chen, B.; Ma, K.P. Phylogenetic constraints and trait correlates of flowering phenology in the angiosperm flora of China. Glob. Ecol. Biogeogr. 2015, 24, 928–938. [Google Scholar] [CrossRef]
- Calle, Z.; Schlumpberger, B.O.; Piedrahita, L.; Leftin, A.; Hammer, S.A.; Tye, A.; Borchert, R. Seasonal variation in daily insolation induces synchronous bud break and flowering in the tropics. Trees 2010, 24, 865–877. [Google Scholar] [CrossRef]
- Ashton, P.S.; Givnish, T.J.; Appanah, S. Staggered flowering in the Dipterocarpaceae: New insights into floral induction and the evolution of mast fruiting in the aseasonal tropics. Am. Nat. 1988, 132, 44–66. [Google Scholar] [CrossRef]
- Chen, Y.Y.; Satake, A.; Sun, I.F.; Kosugi, Y.; Tani, M.; Numata, S.; Hubbell, S.P.; Fletcher, C.; Nur Supardi, M.N.; Wright, S.J. Species-specific flowering cues among general flowering Shorea species at the Pasoh Research Forest, Malaysia. J. Ecol. 2018, 106, 586–598. [Google Scholar] [CrossRef]
Disclaimer/Publisher’s Note: The statements, opinions and data contained in all publications are solely those of the individual author(s) and contributor(s) and not of MDPI and/or the editor(s). MDPI and/or the editor(s) disclaim responsibility for any injury to people or property resulting from any ideas, methods, instructions or products referred to in the content. |
© 2023 by the authors. Licensee MDPI, Basel, Switzerland. This article is an open access article distributed under the terms and conditions of the Creative Commons Attribution (CC BY) license (https://creativecommons.org/licenses/by/4.0/).




