Artificial Weathering Effects on the Physical and Chemical Properties of Paulownia tomentosa and Pinus koraiensis Woods Heat-Treated in Oil and Air
Abstract
1. Introduction
2. Materials and Methods
2.1. Materials
2.2. Heat Treatment
2.3. Artificial Weathering Test
2.4. Color Change
2.5. Volumetric Swelling (VS) Measurement
2.6. Fourier Transform Infrared Spectroscopy (FTIR)
2.7. Statistical Analyses
3. Results and Discussion
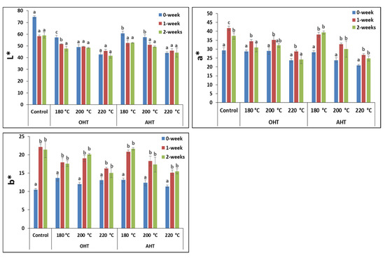
3.1. Color Change after Artificial Weathering
3.2. VS in the Weathered Woods
3.3. Chemical Composition
3.3.1. Chemical Composition of AHT Woods before and after Weathering
3.3.2. Chemical Composition of OHT Woods before and after Weathering
4. Conclusions
Author Contributions
Funding
Data Availability Statement
Conflicts of Interest
References
- Chong, S.H.; Park, B.S. Wood Properties of the Useful Tree Species Grown in Korea; National Institute of Forest Science: Seoul, Republic of Korea. (In Korean)
- Akyildiz, M.H.; Kol, H.S. Some technological and uses of paulownia (Paulownia tomentosa) wood. J. Environ. Biol. 2010, 31, 351–355. [Google Scholar]
- Lopez, F.; Perez, A.; Zamudio, M.A.M.; Alva, H.E.D.; Garcia, J.C. Paulownia as raw material for solid biofuel and cellulose pulp. Biomass Bioenergy 2012, 45, 77–86. [Google Scholar] [CrossRef]
- Qi, Y.; Jang, J.H.; Hidayat, W.; Lee, A.H.; Lee, S.H.; Chae, H.M.; Kim, N.H. Carbonization of reaction wood from Paulownia tomentosa and Pinus densiflora branch woods. Wood Sci. Technol. 2016, 50, 973–987. [Google Scholar] [CrossRef]
- Kang, C.W.; Jang, E.S.; Jang, S.S.; Cho, J.I.; Kim, N.H. Effect of heat treatment on the gas permeability, sound absorption coefficient, and sound transmission loss of Paulownia tomentosa wood. J. Korean Wood Sci. Technol. 2019, 47, 644–654. [Google Scholar] [CrossRef]
- Son, Y.; Noh, N.J.; Kim, R.Y.; Koo, J.W.; Yi, M.J. Biomass and nutrients of planted and naturally occurring Pinus koraiensis in Korea. Eur. J. For. Res. 2007, 10, 41–50. [Google Scholar]
- Hill, C.A.S. Wood Modification: Chemical, Thermal and Other Processes; John Wiley & Sons: Chincester, UK, 2006. [Google Scholar]
- Esteves, B.M.; Pereira, H.M. Wood modification by heat treatment: A review. BioResources 2009, 4, 370–404. [Google Scholar] [CrossRef]
- Tjeerdsma, B.F.; Militz, H. Chemical changes in hydrothermal treated wood: FTIR analysis of combined hydrothermal and dry heat-treated wood. Holz als Roh- und Werkstoff. 2006, 63, 102–111. [Google Scholar] [CrossRef]
- Hakkou, M.; Pétrissans, M.; Zoulalian, A.; Gérardin, P. Investigation of wood wettability changes during heat treatment on the basis of chemical analysis. Polym. Degrad. Stab. 2005, 89, 1–5. [Google Scholar] [CrossRef]
- Boonstra, M.J.; Acker, J.V.; Kegel, E.; Stevens, M. Optimisation of a two-stage heat treatment process: Durability aspects. Wood Sci. Technol. 2007, 41, 31–57. [Google Scholar] [CrossRef]
- Dubey, M.K.; Pang, S.; Walker, J. Changes in chemistry, color, dimensional stability and fungal resistance of Pinus radiata D. Don wood with oil heat-treatment. Holzforschung 2012, 66, 49–57. [Google Scholar] [CrossRef]
- Surini, T.; Charrier, F.; Malvestio, J.; Charrier, B.; Moubarik, A.; Castera, P.; Grelier, S. Physical properties and termite durability of maritime pine Pinus pinaster Ait., heat-treated under vacuum pressure. Wood Sci. Technol. 2012, 46, 487–501. [Google Scholar] [CrossRef]
- Hidayat, W.; Jang, J.H.; Park, S.H.; Qi, Y.; Febrianto, F.; Lee, S.H.; Kim, N.H. Effect of temperature and clamping during heat treatment on physical and mechanical properties of Okan (Cylicodiscus gabunensis [Taub.] Harms) wood. BioResources. 2015, 10, 6961–6974. [Google Scholar] [CrossRef]
- Esteves, B.; Ferreira, H.; Viana, H.; Ferreira, J.; Domingos, I.; Cruz-Lopes, L.; Jones, D.; Nunes, L. Termite Resistance, Chemical and Mechanical Characterization of Paulownia tomentosa Wood before and after Heat Treatment. Forests 2021, 12, 1114. [Google Scholar] [CrossRef]
- Deka, M.; Humar, M.; Rep, G.; Kricej, B.; Sentjurc, M.; Petric, M. Effects of UV light irradiation on colour stability of thermally modified, copper ethanolamine treated and non-modified wood: EPR and DRIFT spectroscopic studies. Wood Sci. Technol. 2008, 42, 5–20. [Google Scholar] [CrossRef]
- Hidayat, W.; Qi, Y.; Jang, J.H.; Febrianto, F.; Kim, N.H. Effect of mechanical restraint on the properties of heat-treated Pinus koraiensis and Paulownia tomentosa woods. BioResources 2017, 12, 7539–7551. [Google Scholar] [CrossRef]
- Hidayat, W.; Qi, Y.; Jang, J.H.; Park, B.H.; Banuwa, I.S.B.; Febrianto, F.; Kim, N.H. Color change and consumer preferences towards color of heat-treated Korean white pine and royal paulownia woods. J. Korean Wood Sci. 2017, 45, 213–222. [Google Scholar] [CrossRef]
- Kim, Y.K.; Kwon, G.J.; Kim, A.R.; Lee, H.S.; Purusatama, B.; Lee, S.H.; Kang, C.W.; Kim, N.H. Effects of Heat Treatment on the Characteristics of Royal Paulownia (Paulownia tomentosa (Thunb.) Steud.) Wood Grown in Korea. J. Korean Wood Sci. Technol. 2018, 46, 511–526. [Google Scholar] [CrossRef]
- Suri, I.F.; Kim, J.H.; Purusatama, B.D.; Yang, G.U.; Prasetia, D.; Lee, S.H.; Hidayat, W.; Febrianto, F.; Park, B.H.; Kim, N.H. Comparison of the color and weight changes in heat-treated Paulownia tomentosa and Pinus koraiensis wood with hot oil and hot air. BioResources 2021, 16, 5574–5585. [Google Scholar] [CrossRef]
- Suri, I.F.; Purusatama, B.D.; Lee, S.; Kim, N.; Hidayat, W.; Ma'ruf, S.D.; Febrianto, F. Characteristic features of the oil-heat-treated woods from tropical fast growing wood species. Wood Res. 2021, 66, 365–378. [Google Scholar] [CrossRef]
- Suri, I.F.; Purusatama, B.D.; Kim, J.H.; Yang, G.U.; Prasetia, D.; Kwon, G.J.; Hidayat, W.; Lee, S.H.; Febrianto, F.; Kim, N.H. Comparison of physical and mechanical properties of Paulownia tomentosa and Pinus koraiensis wood heat-treated in oil and air. Eur. J. Wood Prod. 2022, 80, 1389–1399. [Google Scholar] [CrossRef]
- Esteves, B.; Domingos, I.; Pereira, H. Pine wood modification by heat treatment in air. BioResources 2008, 3, 142–154. [Google Scholar] [CrossRef]
- Quirino, R.L.; Richa, L.; Petrissans, A.; Teixeira, P.R.; Durrell, G.; Hulette, A.; Colin, B.; Petrissans, M. Comparative Study of Atmosphere Effect on Wood Torrefaction. Fibers 2023, 11, 27. [Google Scholar] [CrossRef]
- Tang, T.; Chen, X.; Zhang, B.; Liu, X.; Fei, B. Research on the physico-mechanical properties of moso bamboo with thermal treatment in tung oil and its influencing factors. Materials 2019, 12, 599. [Google Scholar] [CrossRef] [PubMed]
- Sailer, M.; Rapp, A.O.; Leithoff, H.; Peek, R.D. Upgrading of wood by application of an oil heat treatment. Holz. Roh. Werkst. 2000, 58, 15–22. [Google Scholar] [CrossRef]
- Cheng, D.; Chen, L.; Jiang, S.; Zhang, Q. Oil uptake percentage in oil-heat-treated wood, its determination by soxhlet extraction, and its effects on wood compression strength parallel to grain. BioResources 2014, 9, 120–131. [Google Scholar] [CrossRef]
- Okon, K.E.; Lin, F.; Lin, X.; Chen, C.; Chen, Y.; Huang, B. Modification of Chinese fir (Cunninghamia lanceolata L.) wood by silicone oil heat treatment with micro-wave pretreatment. Eur. J. Wood Prod. 2018, 76, 221–228. [Google Scholar] [CrossRef]
- Dubey, M.K.; Pang, S.; Walker, J. Color and dimensional stability of oil heat-treated radiata pine wood after accelerated UV weathering. For. Prod. J. 2010, 60, 453–459. [Google Scholar]
- Yildiz, S.; Tomak, E.D.; Yildiz, U.C.; Ustaomer, D. Effect of artificial weathering on the properties of heat-treated wood. Polym. Degrad. Stab. 2013, 98, 1419–1427. [Google Scholar] [CrossRef]
- Nemeth, R.; Tolvaj, L.; Bak, M.; Alpar, T. Colour stability of oil-heat treated black locust and poplar wood during short-term UV radiation. J. Photochem. Photobiol. A Chem. 2016, 329, 287–292. [Google Scholar] [CrossRef]
- Huang, X.; Kocaefe, D.; Kocaefe, Y.; Boluk, Y.; Pichette, A. Study of the degradation behavior of heat-treated jack pine (Pinus banksiana) under artificial sunlight irradiation. Polym. Degrad. Stab. 2012, 97, 1197–1214. [Google Scholar] [CrossRef]
- Ahajji, A.; Diouf, P.N.; Aloui, F.; Elbakali, I.; Perrin, D.; Merlin, A.; George, B. Influence of heat treatment on antioxidant properties and colour stability of beech and spruce wood and their extractives. Wood Sci. Technol. 2009, 43, 69–83. [Google Scholar] [CrossRef]
- Bal, B.C. Physical properties of beech wood thermally modified in hot oil and in hot air at various temperatures. Cienc. Tecnol. 2015, 17, 789–798. [Google Scholar] [CrossRef]
- Yang, T.H.; Lee, C.H.; Lee, C.J.; Cheng, Y.W. Effects of different thermal modification media on physical and mechanical properties of moso bamboo. Constr. Build. Mater. 2016, 119, 251–259. [Google Scholar] [CrossRef]
- Huang, X.; Kocaefe, D.; Kocaefe, Y.; Boluk, Y.; Pichette, A. Changes in wettability of heat-treated wood due to artificial weathering. Wood Sci. Technol. 2012, 46, 1215–1237. [Google Scholar] [CrossRef]
- Gunstone, F.D. Vegetable Oils in Food Technology: Composition, Properties, and Uses; Blackwell: Oxford, UK, 2002. [Google Scholar]
- Lin, B.J.; Colin, B.; Chen, W.S.; Petrissans, A.; Rousset, P.; Petrissans, M. Thermal degradation and compositional changes of wood treated in a semi-industrial scale reactor in vacuum. J. Anal. Appl. Pyrolysis 2018, 130, 8–18. [Google Scholar] [CrossRef]
- Vlachos, N.; Skopelitis, Y.; Psaroudaki, M.; Konstantinidou, V.; Chatzilazarou, A.; Tegou, E. Applications of Fourier transform-infrared spectroscopy to edible oils. Anal. Chim. Acta 2006, 573–574, 459–465. [Google Scholar] [CrossRef] [PubMed]
- Rohman, A.; Che Man, Y.B.; Ismail, A.; Hashim, P. Application of FTIR spectroscopy for the determination of virgin coconut oil in binary mixtures with olive oil and palm oil. J. Am. Oil Chem. Soc. 2010, 87, 601–606. [Google Scholar] [CrossRef]
- Tomak, E.D.; Hughes, M.; Yildiz, U.C.; Viitanen, H. The combined effects of boron and oil heat treatment on beech and Scots pine wood properties. Part 1: Boron leaching, thermogravimetric analysis, and chemical composition. J. Mater Sci. 2011, 46, 598–607. [Google Scholar] [CrossRef]
- Lim, S.Y.; Abdul Mutalib, M.S.; Khaza’ai, H.; Chang, S.K. Detection of fresh palm oil adulteration with recycled cooking oil using fatty acid composition and FTIR spectral analysis. Int. J. Food Prop. 2018, 1, 2428–2451. [Google Scholar] [CrossRef]











| Common Name | Scientific Name | Age (Years) | D.B.H. (mm) | Air-Dried Density (g/cm3) | Location |
|---|---|---|---|---|---|
| Royal paulownia | Paulownia tomentosa (Thunb.) Steud. | 15–20 | 280–330 | 0.30 (0.05) * | Chuncheon, Korea (37°77′ N, 127°81′ E) |
| Korean white pine | Pinus koraiensis Siebold & Zucc. | 30–35 | 280–320 | 0.42 (0.05) * |
| Sample Dimension | Species | Heating Media | Temperature and Duration | Sample Number 1 | Total |
|---|---|---|---|---|---|
| 50 (L) × 50 (R) × 20 (T) mm3 | Paulownia tomentosa (Thunb.) Steud. | Oil and air | Control 180 °C for 2 h 200 °C for 2 h 220 °C for 2 h | 3 × 2 3 × 2 × 2 3 × 2 × 2 3 × 2 × 2 | 42 |
| Pinus koraiensis Siebold & Zucc. |
Disclaimer/Publisher’s Note: The statements, opinions and data contained in all publications are solely those of the individual author(s) and contributor(s) and not of MDPI and/or the editor(s). MDPI and/or the editor(s) disclaim responsibility for any injury to people or property resulting from any ideas, methods, instructions or products referred to in the content. |
© 2023 by the authors. Licensee MDPI, Basel, Switzerland. This article is an open access article distributed under the terms and conditions of the Creative Commons Attribution (CC BY) license (https://creativecommons.org/licenses/by/4.0/).
Share and Cite
Suri, I.F.; Purusatama, B.D.; Kim, J.-H.; Hidayat, W.; Iswanto, A.H.; Park, S.-Y.; Lee, S.-H.; Kim, N.-H. Artificial Weathering Effects on the Physical and Chemical Properties of Paulownia tomentosa and Pinus koraiensis Woods Heat-Treated in Oil and Air. Forests 2023, 14, 1546. https://doi.org/10.3390/f14081546
Suri IF, Purusatama BD, Kim J-H, Hidayat W, Iswanto AH, Park S-Y, Lee S-H, Kim N-H. Artificial Weathering Effects on the Physical and Chemical Properties of Paulownia tomentosa and Pinus koraiensis Woods Heat-Treated in Oil and Air. Forests. 2023; 14(8):1546. https://doi.org/10.3390/f14081546
Chicago/Turabian StyleSuri, Intan Fajar, Byantara Darsan Purusatama, Jong-Ho Kim, Wahyu Hidayat, Apri Heri Iswanto, Se-Yeong Park, Seung-Hwan Lee, and Nam-Hun Kim. 2023. "Artificial Weathering Effects on the Physical and Chemical Properties of Paulownia tomentosa and Pinus koraiensis Woods Heat-Treated in Oil and Air" Forests 14, no. 8: 1546. https://doi.org/10.3390/f14081546
APA StyleSuri, I. F., Purusatama, B. D., Kim, J.-H., Hidayat, W., Iswanto, A. H., Park, S.-Y., Lee, S.-H., & Kim, N.-H. (2023). Artificial Weathering Effects on the Physical and Chemical Properties of Paulownia tomentosa and Pinus koraiensis Woods Heat-Treated in Oil and Air. Forests, 14(8), 1546. https://doi.org/10.3390/f14081546

