The Lateral Growth of Branches into Small Canopy Gaps: Implications for Competition between Canopy Trees
Abstract
1. Introduction
2. Materials and Methods
2.1. Study Area
2.2. Site and Gap Selection
2.3. Selection of Trees and Branches
2.4. Tree and Branch Measurements
2.5. Measurement of Gap Light Index
2.6. Data Analysis
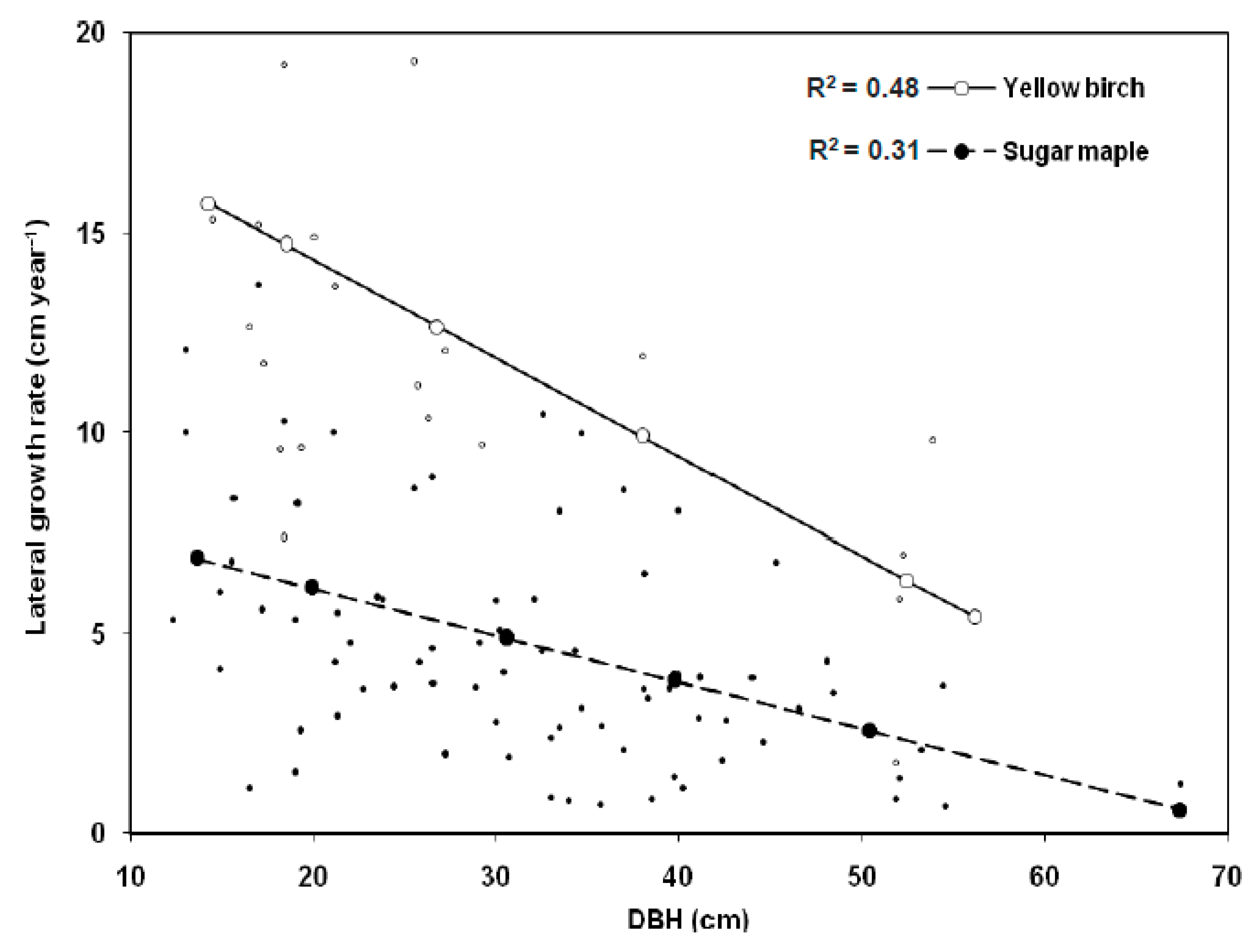
3. Results
4. Discussion
5. Conclusions
Author Contributions
Funding
Data Availability Statement
Acknowledgments
Conflicts of Interest
References
- Runkle, J.R.; Yetter, T.C. Treefalls revisited: Gap dynamics in the southern Appalachians. Ecology 1987, 68, 417–424. [Google Scholar] [CrossRef]
- Canham, C.D.; Finzi, A.C.; Pacala, S.W.; Burbank, D.H. Causes and consequences of resource heterogeneity in forests-interspecific variation in light transmission in canopy trees. Can. J. For. Res. 1994, 24, 337–349. [Google Scholar] [CrossRef]
- Cole, W.G.; Lorimer, C.G. Probabilities of small-gap capture by sugar maple saplings based on height and crown growth data from felled trees. Can. J. For. Res. 2005, 35, 643–655. [Google Scholar] [CrossRef]
- Webster, C.R.; Lorimer, C.G. Minimum Opening Sizes for Canopy Recruitment of Mid-tolerant Tree Species: A retrospective Approach. Ecol. Appl. 2005, 15, 1245–1262. [Google Scholar] [CrossRef]
- Valverde, T.; Silvertown, J. Canopy closure Rate and Forest Structure. Ecology 1997, 75, 1555–1562. [Google Scholar] [CrossRef]
- Domke, G.M.; Caspersen, J.P.; Jones, T. Light attenuation following selection harvesting in northern hardwood forests. For. Ecol. Manag. 2007, 239, 182–190. [Google Scholar] [CrossRef]
- Canham, C.D.; Denslow, J.S.; Platt, W.J.; Runkle, J.R.; Spies, T.A.; White, P.S. Light regimes beneath closed canopies and tree-fall gaps in temperate and tropical forests. Can. J. For. Res. 1990, 20, 620–631. [Google Scholar] [CrossRef]
- Cole, W.G. Prediction of Tree Growth and Gap Closure Rates after Selective Cutting in Second-Growth Northern Hardwood forests. Ph.D. Thesis, University of Wisconsin-Madison, Madison, WI, USA, 1991. [Google Scholar]
- Kirk, C.; Berrill, J.-P. Second-Log Branching in Multiaged Redwood and Douglas-Fir: Influence of Stand, Site, and Silviculture. Forests 2016, 7, 147. [Google Scholar] [CrossRef]
- Jones, T.A.; Thomas, S.C. The Time Course of Diameter Increment Responses to Selection Harvests in Acer saccharum. Can. J. For. Res. 2004, 34, 1125–1533. [Google Scholar] [CrossRef]
- Forget, E.; Nolet, P.; Doyon, F.; Delagrange, S.; Jardon, Y. Ten-year response of northern hardwood stands to commercial selection cutting in southern Quebec, Canada. For. Ecol. Manag. 2007, 242, 764–775. [Google Scholar] [CrossRef]
- Jones, T.A.; Domke, G.M.; Thomas, S.C. Canopy Tree Growth Responses Following Selection Harvest in Seven Species Varying in Shade Tolerance. Can. J. For. Res. 2009, 39, 430–440. [Google Scholar] [CrossRef]
- Gray, A.N.; Spies, T.A.; Pabst, R.J. Canopy gaps affect long-term patterns of tree growth and mortality in mature and old-growth forests in the Pacific Northwest. For. Ecol. Manag. 2012, 281, 111–120. [Google Scholar] [CrossRef]
- Choi, J.; Lorimer, C.G.; Vanderwerker, J.; Cole, W.G.; Martin, G.L. A crown model for simulating long-term stand and gap dynamics in northern hardwood forests. For. Ecol. Manag. 2001, 152, 235–258. [Google Scholar] [CrossRef]
- Muth, C.; Bazzaz, F.A. Tree canopy displacement at forest gap edges. Can. J. For. Res. 2002, 32, 247–254. [Google Scholar] [CrossRef]
- Thomas, S.C. Age-related changes in tree growth and functional biology: The role of reproduction. In Invited Chapter for Size- and Age-Related Changes in Tree Structure and Function; Tree Physiology Series; Meinzer, F.C., Dawson, T., Lachenbruch, B.J., Eds.; Springer: Berlin/Heidelberg, Germany, 2011; pp. 33–64. [Google Scholar]
- McCarthy, J. Gap dynamics of forest trees: A review with particular attention to boreal forests. Environ. Rev. 2001, 9, 1–59. [Google Scholar] [CrossRef]
- Pedersen, B.S.; Howard, J.L. The influence of canopy gaps on overstory tree and forest growth rates in a mature mixed-age, mixed-species forest. For. Ecol. Manag. 2004, 196, 351–366. [Google Scholar] [CrossRef]
- York, R.; Battles, J. Growth response of mature trees versus seedlings to gaps associated with group selection management in the Sierra Nevada, California. West. J. Appl. For. 2008, 23, 94–98. [Google Scholar] [CrossRef]
- Bicknell, S.H. Development of canopy stratification during early succession in northern hardwoods. For. Ecol. Manag. 1982, 4, 41–51. [Google Scholar] [CrossRef]
- Beaudet, M.; Messier, C. Growth and Morphological Responses of Yellow birch, Sugar maple, and Beech Seedlings Growing Under a Natural Light Gradient. Can. J. For. Res. 1998, 28, 1007–1015. [Google Scholar] [CrossRef]
- Weiner, J.; Thomas, S.C. The nature of tree growth and the age-related decline in forest productivity. Oikos 2001, 94, 374–376. [Google Scholar] [CrossRef]
- Pacala, S.W.; Canham, C.D.; Silander, J.A., Jr. Forest models defined by field measurements: The design of a northeastern forest simulator. Can. J. For. Res. 1993, 23, 1980–1988. [Google Scholar] [CrossRef]
- Hossain, S.M.Y.; Caspersen, J.P. In-situ measurement of twig dieback and regrowth in mature Acer saccharum trees. For. Ecol. Manag. 2012, 270, 183–188. [Google Scholar] [CrossRef]
- He, Y.; Yang, J.; Caspersen, J.; Jones, T. An Operational Workflow of Deciduous-Dominated Forest Species Classification: Crown Delineation, Gap Elimination, and Object-Based Classification. Remote Sens. 2019, 11, 2078. [Google Scholar] [CrossRef]
- Knapp, S.P.; Webster, C.R.; Kern, C.C. Can group selection with legacy retention change compositional trajectories in conventionally managed hardwoods? For. Ecol. Manag. 2019, 448, 174–186. [Google Scholar] [CrossRef]
- Ontario Ministry of Natural Resources (OMNR). A Silviculture Guide to Managing Southern Ontario Forests; Ontario Ministry of Natural Resources, Queens Printer for Ontario: Toronto, ON, USA, 2000; p. 619. [Google Scholar]
- Pinheiro, J.C.; Bates, D.M. Mixed-Effects Models in S and S-PLUS; Springer: New York, NY, USA, 2000. [Google Scholar]
- Burnham, K.P.; Anderson, D.R. Model Selection and Inference: A Practical Information-Theoretic Approach; Springer: New York, NY, USA, 1998. [Google Scholar]
- Shabaga, J.A.; Jones, T.A.; Elliott, K.A. Group-selection silviculture conditionally enhances recruitment of yellow birch in a shade tolerant hardwood forest. For. Ecol. Manag. 2019, 444, 244–255. [Google Scholar] [CrossRef]
- Weiner, J.; Thomas, S.C. Size variability and competition in plant monocultures. Oikos 1986, 47, 211–222. [Google Scholar] [CrossRef]
- Thomas, S.C.; Weiner, J. Including competitive asymmetry in measures of local interference in plant populations. Oecologia 1989, 80, 349–355. [Google Scholar] [CrossRef]
- Weiner, J. Asymmetric competition in plant populations. Trends Ecol. Evol. 1990, 5, 360–364. [Google Scholar] [CrossRef]
- Metsaranta, J.M.; Lieffers, V.J. Patterns of inter-annual variation in the size asymmetry of growth in Pinus banksiana. Oecologia 2010, 163, 737–745. [Google Scholar] [CrossRef]
- Hara, T. Effects of the mode of competition on stationary size distribution in plant populations. Ann. Bot. 1992, 69, 509–513. [Google Scholar] [CrossRef]
- Kohyama, T. Size-structured multi-species model of rain forest trees. Funct. Ecol. 1992, 6, 206–212. [Google Scholar] [CrossRef]
- Umeki, K. Effect of crown asymmetry on size-structure dynamics of plant populations. Ann. Bot. 1997, 79, 631–641. [Google Scholar] [CrossRef]
- Canham, C.D.; LePage, P.T.; Coates, K.D. A neighborhood analysis of canopy tree competition: Effects of shading versus crowding. Can. J. For. Res. 2004, 34, 778–787. [Google Scholar] [CrossRef]
- Sprugel, D.G.; Hinckley, T.M.; Schaap, W. The theory and practice of branch autonomy. Annu. Rev. Ecol. Syst. 1991, 22, 309–334. [Google Scholar] [CrossRef]
- Sorrensen-Cothern, K.A.; Ford, E.D.; Sprugel, D.G. A model of competition incorporating plasticity through modular foliage and crown development. Ecol. Monogr. 1993, 6, 277–304. [Google Scholar] [CrossRef]
- Muth, C.C.; Bazzaz, F.A. Tree Canopy Displacement and Neighborhood Interactions. Can. J. For. Res. 2003, 33, 1323–1330. [Google Scholar] [CrossRef]
- Dodson, E.K.; Ares, A.; Puettmann, K.J. Early responses to thinning treatments designed to accelerate late successional forest structure in young coniferous stands of western Oregon, USA. Can. J. For. Res. 2012, 42, 345–355. [Google Scholar] [CrossRef]
- Niklas, K.J. Plant Biomechanics: An Engineering Approach to Plant Form and Function; The University of Chicago Press: Chicago, IL, USA, 1992; p. 607. [Google Scholar]
- Stevens, G.C.; Perkins, A.L. The Branching Habits and Life History of Woody Plants. Am. Nat. 1992, 139, 267–275. [Google Scholar] [CrossRef]
- Ryan, M.G.; Yoder, B.J. Hydraulic limits to tree height and tree growth. Bioscience 1997, 47, 235–242. [Google Scholar] [CrossRef]
- Ryan, M.G.; Phillips, N.; Bond, B.J. The hydraulic limitation hypothesis revisited. Plant Cell Environ. 2006, 29, 367–381. [Google Scholar] [CrossRef]
- Hossain, S.M.Y.; Caspersen, J.P.; Thomas, S.C. Reproductive costs in Acer saccharum: Exploring size-dependent relations between seed production and branch extension. Trees 2017, 31, 1179–1188. [Google Scholar] [CrossRef]
- Jenkins, M.A.; Parker, G.R. Composition and diversity of woody vegetation in silvicultural openings in southern Indiana forests. For. Ecol. Manag. 1998, 109, 57–74. [Google Scholar] [CrossRef]
- Crow, T.R.; Buckley, D.S.; Naurertz, E.A.; Zasada, J.C. Effects of management on the composition and structure of northern hardwood forests in upper Michigan. For. Sci. 2002, 48, 129–145. [Google Scholar]
- Keyser, T.L.; Loftis, D.L. Long-term effects of single-tree selection cutting on structure and composition in upland mixed-hardwood forests of the southern Appalachian Mountains. Forestry 2013, 86, 255–265. [Google Scholar] [CrossRef]
- Leadbitter, P.; Euler, D.; Naylor, B. A comparison of historical and current forest cover in selected areas of Great Lakes, St. Lawrence Forest of central Ontario. For. Chron. 2002, 78, 522–529. [Google Scholar] [CrossRef]
- Leak, W.B.; Sendak, P.E. Changes in species, grade, and structure over 48 years in a managed New England Northern Hardwood stand. North. J. Appl. For. 2002, 19, 25–27. [Google Scholar] [CrossRef]
- Neuendorff, J.K.; Nagel, L.M.; Webster, C.R.; Janowiak, M.K. Stand structure and composition in a northern hardwood forest after 40 years of single-tree selection. North. J. Appl. For. 2007, 24, 197–202. [Google Scholar] [CrossRef]
- Angers, V.A.; Messier, C.; Beaudet, M.; Leduc, A. Comparing composition and structure in old-growth and harvested (selection and diameter-limit cuts) northern hardwood stands in Quebec. For. Ecol. Manag. 2005, 217, 275–293. [Google Scholar] [CrossRef]
- OMNR. A Silvicultural Guide for the Tolerant Hardwood Forest in Ontario; Ontario Ministry of Natural Resources, Queens Printer for Ontario: Toronto, ON, USA, 1998; p. 500. [Google Scholar]
- Rogers, N.S.; D’Amato, A.W.; Leak, W.B. Long-term evolution of composition and structure after repeated group selection over eight decades. Can. J. For. Res. 2021, 51, 1080–1091. [Google Scholar] [CrossRef]
- Knapp, S.P.; Kern, C.C.; Webster, C.R. Harvested opening size affects cohort development and failures in a second-growth northern hardwood forest. For. Ecol. Manag. 2021, 482, 118804. [Google Scholar] [CrossRef]



| Species | Mean DBH (SD) | Mean TH (SD) | Mean BL (SD) |
|---|---|---|---|
| Yellow birch | 28.33 (11.44) | 17.62 (5.22) | 3.03 (1.01) |
| American beech | 27.95 (7.11) | 21.34 (3.90) | 3.43 (0.91) |
| Sugar maple | 32.15 (9.75) | 18.94 (4.14) | 3.34 (1.29) |
| Variable | Model | Parameter | Model Evaluation | |||||
|---|---|---|---|---|---|---|---|---|
| Species | DBH (cm) | TH (m) | BL (m) | GLI | AIC | Δ-AIC | ||
| Change in | Model 1 a | x * | x * | 54.74 | 0.00 | |||
| lateral | Model 2 | x | x | x | 59.63 | 4.89 | ||
| growth | Model 3 | x | x | x | 65.81 | 11.07 | ||
| Model 4 | x | x | x | 68.21 | 13.46 | |||
| Full model | x | x | x | x | x | 75.92 | 21.18 | |
| Lateral | Model 1 a | x * | x * | 69.93 | 0.00 | |||
| growth | Model 2 | x | x | x | 82.19 | 12.26 | ||
| Model 3 | x | x | x | 88.35 | 18.42 | |||
| Model 4 | x | x | x | 91.77 | 21.84 | |||
| Full model | x | x | x | x | x | 96.62 | 26.69 | |
| Species | Size Class | Lateral Growth Rates (cm Year−1) | |
|---|---|---|---|
| Pre-Harvest ± Std. Dev. | Post-Harvest ± Std. Dev. | ||
| Yellow birch | Small Medium Large | (8.1 ± 0.8) a (8.9 ± 0.5) a (9.0 ± 0.6) a | (12.9 ± 1.9) b (8.7 ± 1.3) a (8.8 ± 1.4) a |
| American beech | Small Medium Large | (3.4 ± 0.4) a (6.2 ± 0.2) a (6.1 ± 0.5) a | (8.0 ± 0.6) b (6.6 ± 0.9) a (6.6 ± 0.8) a |
| Sugar maple | Small Medium Large | (2.8 ± 0.3) a (3.6 ± 0.3) a (3.7 ± 0.2) a | (6.4 ± 1.0) b (3.7 ± 0.5) a (3.9 ± 0.4) a |
Disclaimer/Publisher’s Note: The statements, opinions and data contained in all publications are solely those of the individual author(s) and contributor(s) and not of MDPI and/or the editor(s). MDPI and/or the editor(s) disclaim responsibility for any injury to people or property resulting from any ideas, methods, instructions or products referred to in the content. |
© 2023 by the authors. Licensee MDPI, Basel, Switzerland. This article is an open access article distributed under the terms and conditions of the Creative Commons Attribution (CC BY) license (https://creativecommons.org/licenses/by/4.0/).
Share and Cite
Hossain, S.M.; Olson, M.G. The Lateral Growth of Branches into Small Canopy Gaps: Implications for Competition between Canopy Trees. Forests 2023, 14, 1350. https://doi.org/10.3390/f14071350
Hossain SM, Olson MG. The Lateral Growth of Branches into Small Canopy Gaps: Implications for Competition between Canopy Trees. Forests. 2023; 14(7):1350. https://doi.org/10.3390/f14071350
Chicago/Turabian StyleHossain, Shaik M., and Matthew G. Olson. 2023. "The Lateral Growth of Branches into Small Canopy Gaps: Implications for Competition between Canopy Trees" Forests 14, no. 7: 1350. https://doi.org/10.3390/f14071350
APA StyleHossain, S. M., & Olson, M. G. (2023). The Lateral Growth of Branches into Small Canopy Gaps: Implications for Competition between Canopy Trees. Forests, 14(7), 1350. https://doi.org/10.3390/f14071350
