Simulating Sustainable Forest Management Practices Using Crown Attributes: Insights for Araucaria angustifolia Trees in Southern Brazil
Abstract
1. Introduction
2. Materials and Methods
2.1. Study Area Description
2.2. Field Inventory
2.3. Crown Diameter Estimation
2.4. Evaluated Scenarios
3. Results
3.1. Forest Inventory Results
3.2. Forest Management Scenarios
3.3. Forest Management Dendrogram
4. Discussion
4.1. Forest Management Simulations
4.2. Thinning Intensity Issues
4.3. Insights of Forest Management Initiatives
4.4. Future Research Perspectives
5. Conclusions
Author Contributions
Funding
Data Availability Statement
Acknowledgments
Conflicts of Interest
Appendix A
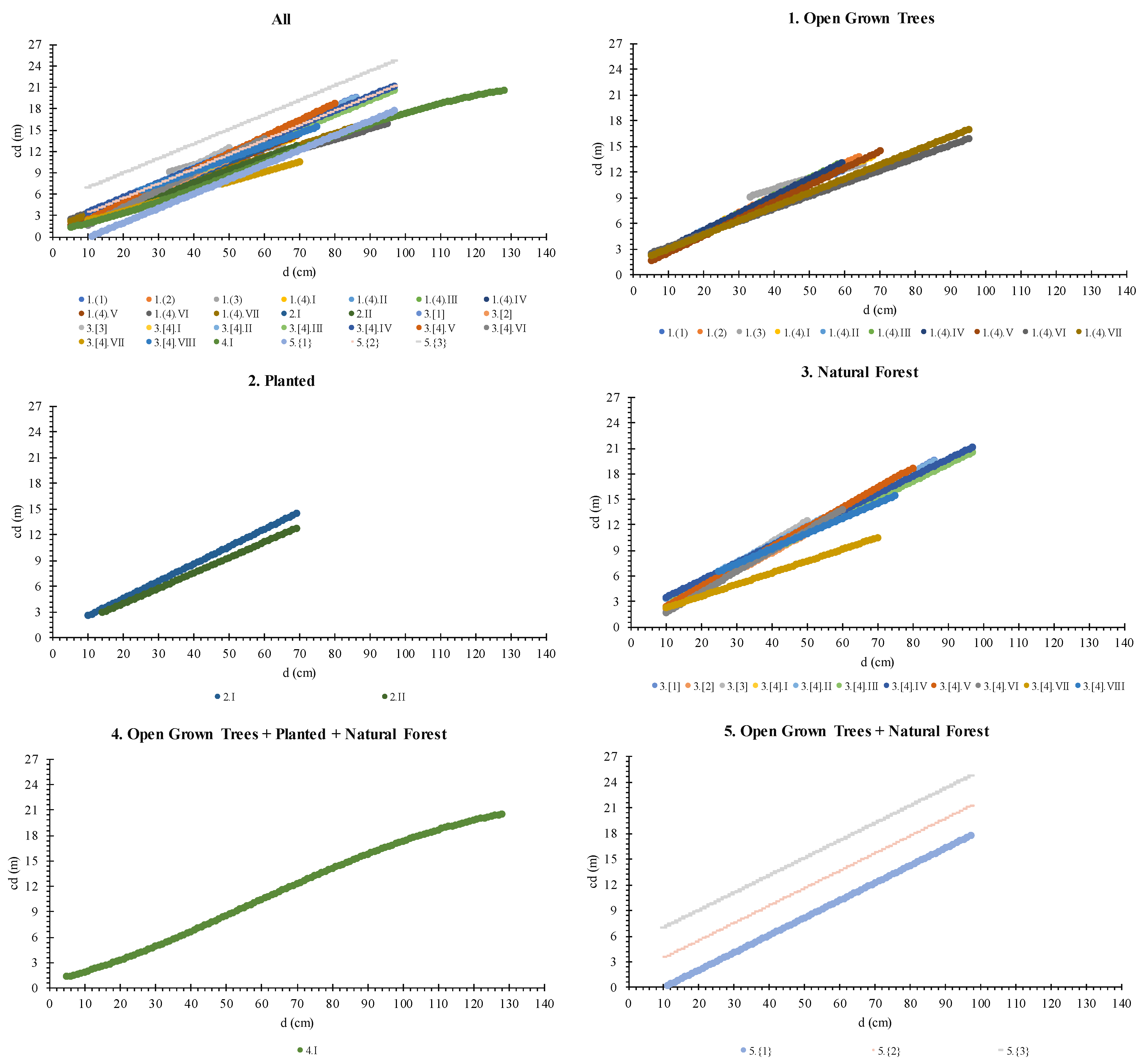
| Id. | Authors | Type | Local | dbh (cm) | Shape of the Crown | Stratum | Definition | Models | β0 | β1 | β2 | R² | R²adj. | RMSE | RMSE% |
|---|---|---|---|---|---|---|---|---|---|---|---|---|---|---|---|
| 1. | |||||||||||||||
| 1.(1) | Costa et al. [13] | 1. Open Grown Trees | LGS (SC) | 25–63 | (1) Conical | cd = β0dbhβ1 | 0.3417 | 0.8762 | 0.60 | 1.5 | |||||
| 1.(2) | 25–64 | (2) Hemispheric | 0.4129 | 0.8442 | 0.82 | 0.9 | |||||||||
| 1.(3) | 33–68 | (3) Umbel | 1.5356 | 0.5102 | 0.39 | 1.5 | |||||||||
| 1.(4).I | 25–68 | (4) WI | 0.4865 | 0.7936 | 0.62 | 1.4 | |||||||||
| 1.(4).II | Costa et al. [12] | 18–59 | cd = β0 + β1 × dbh | 1.2487 | 0.1993 | 0.72 | 12.8 | ||||||||
| 1.(4).III | CNS (SC) | 14–59 | 1.1502 | 0.2030 | 0.78 | 15.3 | |||||||||
| 1.(4).IV | LGS (SC) + CNS (SC) | 14–59 | 1.2086 | 0.2007 | 0.76 | 13.6 | |||||||||
| 1.(4).V | Volkart [32] | EL (PM − Arg.) | ≈5–70 | 0.6590 | 0.1970 | 0.98 | |||||||||
| 1.(4).VI | MB (PM − Arg.) | ≈5–95 | 1.8160 | 0.1482 | 0.89 | ||||||||||
| 1.(4).VII | EL (PM − Arg.) + MB (PM − Arg.) | ≈5–95 | 1.4260 | 0.1636 | 0.92 | ||||||||||
| 2. | |||||||||||||||
| 2.I | Curto [77] | 2. Planted | CL (PR) | ≈10–69 | cd = β0 + β1 × dbh | 0.5848 | 0.2010 | 0.76 | 13.5 | ||||||
| 2.II | Zanon et al. [36] | SFP (RS) | 14–69 | 0.4310 | 0.1786 | 0.70 | 16.4 | ||||||||
| 3. | |||||||||||||||
| 3.[1] | Costa [78] | 3. Natural Forest | LGS (SC) | 14–86 | [1] PS1 | cd = β0 + β1 × dbh | - | 0.2285 | 0.98 | 2.5 | |||||
| 3.[2] | 10–59 | [2] PS2 | - | 0.2196 | 0.97 | 2.3 | |||||||||
| 3.[3] | 10–50 | [3] PS3 | - | 0.2496 | 0.96 | 2.4 | |||||||||
| 3.[4].I | 14–86 | [4] WI | 0.7624 | 0.2138 | 0.84 | 2.5 | |||||||||
| 3.[4].II | Costa et al. [12] | 10–86 | 1.3149 | 0.2112 | 0.84 | 13.7 | |||||||||
| 3.[4].III | SFP (RS) | 12–97 | 0.8947 | 0.2032 | 0.85 | 15.4 | |||||||||
| 3.[4].IV | LGS (SC) + SFP (RS) | 10–97 | 1.4959 | 0.2030 | 0.84 | 14.5 | |||||||||
| 3.[4].V | Longhi [33] | SJT (PR) | ≈10–80 | 0.1276 | 0.2326 | 0.85 | |||||||||
| 3.[4].VI | Seitz [9] | SJT (PR) | ≈10–60 | −0.7060 | 0.2420 | 0.95 | |||||||||
| 3.[4].VII | Wachtel [34] | CBS (SC) | 10–70 + | 0.9239 | 0.1372 | ||||||||||
| 3.[4].VIII | Figueiredo-Filho et al. [79] | FP (PR) + TS (PR) | 25–75 | 2.1194 | 0.1778 | 0.93 | 0.9 | 7.3 | |||||||
| 4. | |||||||||||||||
| 4.I | Nutto [80] | 4. Open Grown Trees + Planted + Natural Forest | SFP (RS) + CP (SC) + QI (PR) | 5–128 | cd0.5 = β0 + β1 × dbh + β2 × dbh² | 0.9389 | 0.0473 | −0.00015 | 0.93 | ||||||
| 5. | |||||||||||||||
| 5.{1} | Costa et al. [12] # | 5. Open Grown Trees + Natural Forest | LGS (SC) + CNS (SC) + SFP (RS) | 10–97 | {1} Minimum | cd = β0 + β1 × dbh | −2.0829 | 0.2038 | - | - | - | - | |||
| 5.{2} | {2} Mean | 1.3886 | 0.2038 | 0.83 | 14.5 | ||||||||||
| 5.{3} | {3} Maximum | 4.8601 | 0.2038 | - | - | - | - | ||||||||
| Mean and SD of parameters: | 0.9661 | 0.2005 | 0.82 ± 0.14 | 1.8 ± 0.7 | 13.7 ± 2.5 | ||||||||||
Appendix B
Appendix B.1. Objectives
- (i)
- Create an artificial neural network (ANN) to group the 27 main crown diameter regressions (cd) (Table A1 in Appendix A), developed over a wide area of A. angustifolia natural distribution;
- (ii)
- Verify the accuracy of the management guidelines presented compared to specific regional equations.
Appendix B.2. Methods
| Identification | Authors | dbh | Type | SCr | Stratum | Definition | |
|---|---|---|---|---|---|---|---|
| 1.(1) | → | 1 | [25–63] | 1 | 1 | 0 | 0 |
| 1.(2) | → | 2 | [25–64] | 1 | 2 | 0 | 0 |
| 1.(3) | → | 3 | [33–68] | 1 | 3 | 0 | 0 |
| 1.(4).I | → | 4 | [25–68] | 1 | 4 | 0 | 0 |
| 1.(4).II | → | 5 | [18–59] | 1 | 4 | 0 | 0 |
| 1.(4).III | → | 6 | [14–59] | 1 | 4 | 0 | 0 |
| 1.(4).IV | → | 7 | [14–59] | 1 | 4 | 0 | 0 |
| 1.(4).V | → | 8 | [5–70] | 1 | 4 | 0 | 0 |
| 1.(4).VI | → | 9 | [5–95] | 1 | 4 | 0 | 0 |
| 1.(4).VII | → | 10 | [5–95] | 1 | 4 | 0 | 0 |
| 2.I | → | 11 | [10–69] | 2 | 0 | 0 | 0 |
| 2.II | → | 12 | [14–69] | 2 | 0 | 0 | 0 |
| 3.[1] | → | 13 | [14–86] | 3 | 0 | 1 | 0 |
| 3.[2] | → | 14 | [10–59] | 3 | 0 | 2 | 0 |
| 3.[3] | → | 15 | [10–50] | 3 | 0 | 3 | 0 |
| 3.[4].I | → | 16 | [14–86] | 3 | 0 | 4 | 0 |
| 3.[4].II | → | 17 | [10–86] | 3 | 0 | 4 | 0 |
| 3.[4].III | → | 18 | [12–97] | 3 | 0 | 4 | 0 |
| 3.[4].IV | → | 19 | [10–97] | 3 | 0 | 4 | 0 |
| 3.[4].V | → | 20 | [10–80] | 3 | 0 | 4 | 0 |
| 3.[4].VI | → | 21 | [10–60] | 3 | 0 | 4 | 0 |
| 3.[4].VII | → | 22 | [10–70] | 3 | 0 | 4 | 0 |
| 3.[4].VIII | → | 23 | [25–75] | 3 | 0 | 4 | 0 |
| 4.I | → | 24 | [5–128] | 4 | 0 | 0 | 0 |
| 5.{1} | → | 25 | [10–97] | 5 | 0 | 0 | 1 |
| 5.{2} | → | 26 | [10–97] | 5 | 0 | 0 | 2 |
| 5.{3} | → | 27 | [10–97] | 5 | 0 | 0 | 3 |
Appendix B.3. Results

| Weight Id. | Connections MLP 47-11-1 | Weight Values |
|---|---|---|
| 1 | d → hidden neuron 1 | 0.51132 |
| 2 | Authors(1) → hidden neuron 1 | 0.01277 |
| 3 | Authors(10) → hidden neuron 1 | −0.12741 |
| 4 | Authors(11) → hidden neuron 1 | 0.01719 |
| 5 | Authors(12) → hidden neuron 1 | −0.11927 |
| 6 | Authors(13) → hidden neuron 1 | 0.16582 |
| 7 | Authors(14) → hidden neuron 1 | −0.03469 |
| 8 | Authors(15) → hidden neuron 1 | 0.01865 |
| 9 | Authors(16) → hidden neuron 1 | 0.04022 |
| 10 | Authors(17) → hidden neuron 1 | 0.05523 |
| 11 | Authors(18) → hidden neuron 1 | −0.02059 |
| 12 | Authors(19) → hidden neuron 1 | 0.03728 |
| 13 | Authors(2) → hidden neuron 1 | 0.03469 |
| 14 | Authors(20) → hidden neuron 1 | 0.18168 |
| 15 | Authors(21) → hidden neuron 1 | 0.14936 |
| 16 | Authors(22) → hidden neuron 1 | −0.17653 |
| 17 | Authors(23) → hidden neuron 1 | −0.22716 |
| 18 | Authors(24) → hidden neuron 1 | −0.61896 |
| 19 | Authors(25) → hidden neuron 1 | 0.07079 |
| 20 | Authors(26) → hidden neuron 1 | 0.06884 |
| 21 | Authors(27) → hidden neuron 1 | 0.14846 |
| 22 | Authors(3) → hidden neuron 1 | −0.04745 |
| 23 | Authors(4) → hidden neuron 1 | 0.01025 |
| 24 | Authors(5) → hidden neuron 1 | 0.04912 |
| 25 | Authors(6) → hidden neuron 1 | 0.05043 |
| 26 | Authors(7) → hidden neuron 1 | 0.01111 |
| 27 | Authors(8) → hidden neuron 1 | 0.00934 |
| 28 | Authors(9) → hidden neuron 1 | −0.10374 |
| 29 | Type(1) → hidden neuron 1 | −0.08875 |
| 30 | Type(2) → hidden neuron 1 | −0.11677 |
| 31 | Type(3) → hidden neuron 1 | 0.14817 |
| 32 | Type(4) → hidden neuron 1 | −0.62928 |
| 33 | Type(5) → hidden neuron 1 | 0.26518 |
| 34 | SCr(0) → hidden neuron 1 | −0.32616 |
| 35 | SCr(1) → hidden neuron 1 | 0.01902 |
| 36 | SCr(2) → hidden neuron 1 | 0.03382 |
| 37 | SCr(3) → hidden neuron 1 | −0.05895 |
| 38 | SCr(4) → hidden neuron 1 | −0.10209 |
| 39 | Stratum(0) → hidden neuron 1 | −0.57002 |
| 40 | Stratum(1) → hidden neuron 1 | 0.17707 |
| 41 | Stratum(2) → hidden neuron 1 | −0.01625 |
| 42 | Stratum(3) → hidden neuron 1 | −0.00509 |
| 43 | Stratum(4) → hidden neuron 1 | 0.00013 |
| 44 | Definition(0) → hidden neuron 1 | −0.66388 |
| 45 | Definition(1) → hidden neuron 1 | 0.04358 |
| 46 | Definition(2) → hidden neuron 1 | 0.07140 |
| 47 | Definition(3) → hidden neuron 1 | 0.13997 |
| 48 | d → hidden neuron 2 | −1.16567 |
| 49 | Authors(1) → hidden neuron 2 | 0.03610 |
| 50 | Authors(10) → hidden neuron 2 | −0.10306 |
| 51 | Authors(11) → hidden neuron 2 | 0.12023 |
| 52 | Authors(12) → hidden neuron 2 | 0.04034 |
| 53 | Authors(13) → hidden neuron 2 | 0.08576 |
| 54 | Authors(14) → hidden neuron 2 | 0.03974 |
| 55 | Authors(15) → hidden neuron 2 | 0.04726 |
| 56 | Authors(16) → hidden neuron 2 | 0.03110 |
| 57 | Authors(17) → hidden neuron 2 | −0.00168 |
| 58 | Authors(18) → hidden neuron 2 | −0.03010 |
| 59 | Authors(19) → hidden neuron 2 | −0.04065 |
| 60 | Authors(2) → hidden neuron 2 | 0.07471 |
| 61 | Authors(20) → hidden neuron 2 | 0.19290 |
| 62 | Authors(21) → hidden neuron 2 | 0.18703 |
| 63 | Authors(22) → hidden neuron 2 | −0.25647 |
| 64 | Authors(23) → hidden neuron 2 | −0.23177 |
| 65 | Authors(24) → hidden neuron 2 | −0.90357 |
| 66 | Authors(25) → hidden neuron 2 | 0.21104 |
| 67 | Authors(26) → hidden neuron 2 | 0.14258 |
| 68 | Authors(27) → hidden neuron 2 | 0.07367 |
| 69 | Authors(3) → hidden neuron 2 | 0.02704 |
| 70 | Authors(4) → hidden neuron 2 | 0.08902 |
| 71 | Authors(5) → hidden neuron 2 | 0.05286 |
| 72 | Authors(6) → hidden neuron 2 | 0.06808 |
| 73 | Authors(7) → hidden neuron 2 | 0.07161 |
| 74 | Authors(8) → hidden neuron 2 | 0.06824 |
| 75 | Authors(9) → hidden neuron 2 | −0.16606 |
| 76 | Type(1) → hidden neuron 2 | 0.13760 |
| 77 | Type(2) → hidden neuron 2 | 0.15477 |
| 78 | Type(3) → hidden neuron 2 | 0.04898 |
| 79 | Type(4) → hidden neuron 2 | −0.91892 |
| 80 | Type(5) → hidden neuron 2 | 0.42616 |
| 81 | SCr(0) → hidden neuron 2 | −0.26309 |
| 82 | SCr(1) → hidden neuron 2 | −0.00551 |
| 83 | SCr(2) → hidden neuron 2 | 0.02705 |
| 84 | SCr(3) → hidden neuron 2 | 0.02861 |
| 85 | SCr(4) → hidden neuron 2 | 0.03426 |
| 86 | Stratum(0) → hidden neuron 2 | −0.20187 |
| 87 | Stratum(1) → hidden neuron 2 | 0.06957 |
| 88 | Stratum(2) → hidden neuron 2 | 0.02038 |
| 89 | Stratum(3) → hidden neuron 2 | 0.05849 |
| 90 | Stratum(4) → hidden neuron 2 | −0.11968 |
| 91 | Definition(0) → hidden neuron 2 | −0.55272 |
| 92 | Definition(1) → hidden neuron 2 | 0.23688 |
| 93 | Definition(2) → hidden neuron 2 | 0.15953 |
| 94 | Definition(3) → hidden neuron 2 | 0.05663 |
| 95 | d → hidden neuron 3 | 0.40999 |
| 96 | Authors(1) → hidden neuron 3 | −0.01943 |
| 97 | Authors(10) → hidden neuron 3 | 0.04701 |
| 98 | Authors(11) → hidden neuron 3 | 0.08262 |
| 99 | Authors(12) → hidden neuron 3 | −0.01599 |
| 100 | Authors(13) → hidden neuron 3 | −0.15038 |
| 101 | Authors(14) → hidden neuron 3 | 0.00192 |
| 102 | Authors(15) → hidden neuron 3 | 0.03839 |
| 103 | Authors(16) → hidden neuron 3 | 0.00863 |
| 104 | Authors(17) → hidden neuron 3 | 0.03155 |
| 105 | Authors(18) → hidden neuron 3 | 0.04634 |
| 106 | Authors(19) → hidden neuron 3 | 0.04478 |
| 107 | Authors(2) → hidden neuron 3 | −0.01075 |
| 108 | Authors(20) → hidden neuron 3 | −0.06310 |
| 109 | Authors(21) → hidden neuron 3 | 0.05509 |
| 110 | Authors(22) → hidden neuron 3 | −0.02231 |
| 111 | Authors(23) → hidden neuron 3 | 0.02388 |
| 112 | Authors(24) → hidden neuron 3 | 0.16507 |
| 113 | Authors(25) → hidden neuron 3 | 0.00132 |
| 114 | Authors(26) → hidden neuron 3 | −0.01221 |
| 115 | Authors(27) → hidden neuron 3 | −0.07746 |
| 116 | Authors(3) → hidden neuron 3 | −0.08534 |
| 117 | Authors(4) → hidden neuron 3 | −0.03845 |
| 118 | Authors(5) → hidden neuron 3 | −0.01357 |
| 119 | Authors(6) → hidden neuron 3 | −0.06015 |
| 120 | Authors(7) → hidden neuron 3 | −0.04377 |
| 121 | Authors(8) → hidden neuron 3 | 0.00243 |
| 122 | Authors(9) → hidden neuron 3 | 0.05136 |
| 123 | Type(1) → hidden neuron 3 | −0.17565 |
| 124 | Type(2) → hidden neuron 3 | 0.03641 |
| 125 | Type(3) → hidden neuron 3 | −0.06387 |
| 126 | Type(4) → hidden neuron 3 | 0.18114 |
| 127 | Type(5) → hidden neuron 3 | −0.09713 |
| 128 | SCr(0) → hidden neuron 3 | 0.11670 |
| 129 | SCr(1) → hidden neuron 3 | 0.00680 |
| 130 | SCr(2) → hidden neuron 3 | 0.02217 |
| 131 | SCr(3) → hidden neuron 3 | −0.06807 |
| 132 | SCr(4) → hidden neuron 3 | −0.09239 |
| 133 | Stratum(0) → hidden neuron 3 | −0.06087 |
| 134 | Stratum(1) → hidden neuron 3 | −0.17018 |
| 135 | Stratum(2) → hidden neuron 3 | 0.00155 |
| 136 | Stratum(3) → hidden neuron 3 | 0.04873 |
| 137 | Stratum(4) → hidden neuron 3 | 0.07337 |
| 138 | Definition(0) → hidden neuron 3 | −0.00625 |
| 139 | Definition(1) → hidden neuron 3 | 0.01492 |
| 140 | Definition(2) → hidden neuron 3 | −0.03615 |
| 141 | Definition(3) → hidden neuron 3 | −0.09094 |
| 142 | d → hidden neuron 4 | −1.75690 |
| 143 | Authors(1) → hidden neuron 4 | −0.00841 |
| 144 | Authors(10) → hidden neuron 4 | 0.07753 |
| 145 | Authors(11) → hidden neuron 4 | −0.09759 |
| 146 | Authors(12) → hidden neuron 4 | −0.08361 |
| 147 | Authors(13) → hidden neuron 4 | 0.05468 |
| 148 | Authors(14) → hidden neuron 4 | 0.01995 |
| 149 | Authors(15) → hidden neuron 4 | −0.02732 |
| 150 | Authors(16) → hidden neuron 4 | −0.03177 |
| 151 | Authors(17) → hidden neuron 4 | −0.06456 |
| 152 | Authors(18) → hidden neuron 4 | −0.03011 |
| 153 | Authors(19) → hidden neuron 4 | −0.04243 |
| 154 | Authors(2) → hidden neuron 4 | −0.08937 |
| 155 | Authors(20) → hidden neuron 4 | 0.08377 |
| 156 | Authors(21) → hidden neuron 4 | 0.01946 |
| 157 | Authors(22) → hidden neuron 4 | 0.08409 |
| 158 | Authors(23) → hidden neuron 4 | −0.02335 |
| 159 | Authors(24) → hidden neuron 4 | −0.05298 |
| 160 | Authors(25) → hidden neuron 4 | 0.29306 |
| 161 | Authors(26) → hidden neuron 4 | 0.12181 |
| 162 | Authors(27) → hidden neuron 4 | 0.07515 |
| 163 | Authors(3) → hidden neuron 4 | −0.24504 |
| 164 | Authors(4) → hidden neuron 4 | −0.18935 |
| 165 | Authors(5) → hidden neuron 4 | 0.08906 |
| 166 | Authors(6) → hidden neuron 4 | 0.06356 |
| 167 | Authors(7) → hidden neuron 4 | 0.08162 |
| 168 | Authors(8) → hidden neuron 4 | 0.11728 |
| 169 | Authors(9) → hidden neuron 4 | 0.08503 |
| 170 | Type(1) → hidden neuron 4 | −0.02893 |
| 171 | Type(2) → hidden neuron 4 | −0.18017 |
| 172 | Type(3) → hidden neuron 4 | −0.03396 |
| 173 | Type(4) → hidden neuron 4 | −0.08216 |
| 174 | Type(5) → hidden neuron 4 | 0.51131 |
| 175 | SCr(0) → hidden neuron 4 | 0.25251 |
| 176 | SCr(1) → hidden neuron 4 | 0.00925 |
| 177 | SCr(2) → hidden neuron 4 | −0.07145 |
| 178 | SCr(3) → hidden neuron 4 | −0.24344 |
| 179 | SCr(4) → hidden neuron 4 | 0.36023 |
| 180 | Stratum(0) → hidden neuron 4 | 0.28447 |
| 181 | Stratum(1) → hidden neuron 4 | 0.03795 |
| 182 | Stratum(2) → hidden neuron 4 | 0.00713 |
| 183 | Stratum(3) → hidden neuron 4 | −0.01108 |
| 184 | Stratum(4) → hidden neuron 4 | −0.07327 |
| 185 | Definition(0) → hidden neuron 4 | −0.27326 |
| 186 | Definition(1) → hidden neuron 4 | 0.31440 |
| 187 | Definition(2) → hidden neuron 4 | 0.13080 |
| 188 | Definition(3) → hidden neuron 4 | 0.09735 |
| 189 | d → hidden neuron 5 | −0.72094 |
| 190 | Authors(1) → hidden neuron 5 | −0.02680 |
| 191 | Authors(10) → hidden neuron 5 | 0.02307 |
| 192 | Authors(11) → hidden neuron 5 | 0.27604 |
| 193 | Authors(12) → hidden neuron 5 | −0.01611 |
| 194 | Authors(13) → hidden neuron 5 | −0.19424 |
| 195 | Authors(14) → hidden neuron 5 | 0.20841 |
| 196 | Authors(15) → hidden neuron 5 | 0.12261 |
| 197 | Authors(16) → hidden neuron 5 | −0.04241 |
| 198 | Authors(17) → hidden neuron 5 | −0.08402 |
| 199 | Authors(18) → hidden neuron 5 | −0.04908 |
| 200 | Authors(19) → hidden neuron 5 | −0.11600 |
| 201 | Authors(2) → hidden neuron 5 | −0.05345 |
| 202 | Authors(20) → hidden neuron 5 | 0.09312 |
| 203 | Authors(21) → hidden neuron 5 | 0.23919 |
| 204 | Authors(22) → hidden neuron 5 | 0.11016 |
| 205 | Authors(23) → hidden neuron 5 | −0.11443 |
| 206 | Authors(24) → hidden neuron 5 | −0.12138 |
| 207 | Authors(25) → hidden neuron 5 | −0.03287 |
| 208 | Authors(26) → hidden neuron 5 | −0.08213 |
| 209 | Authors(27) → hidden neuron 5 | −0.27911 |
| 210 | Authors(3) → hidden neuron 5 | −0.09518 |
| 211 | Authors(4) → hidden neuron 5 | −0.02749 |
| 212 | Authors(5) → hidden neuron 5 | 0.12003 |
| 213 | Authors(6) → hidden neuron 5 | 0.11790 |
| 214 | Authors(7) → hidden neuron 5 | 0.10588 |
| 215 | Authors(8) → hidden neuron 5 | 0.19866 |
| 216 | Authors(9) → hidden neuron 5 | 0.05432 |
| 217 | Type(1) → hidden neuron 5 | 0.37638 |
| 218 | Type(2) → hidden neuron 5 | 0.29383 |
| 219 | Type(3) → hidden neuron 5 | 0.16284 |
| 220 | Type(4) → hidden neuron 5 | −0.12789 |
| 221 | Type(5) → hidden neuron 5 | −0.38163 |
| 222 | SCr(0) → hidden neuron 5 | −0.07829 |
| 223 | SCr(1) → hidden neuron 5 | −0.00391 |
| 224 | SCr(2) → hidden neuron 5 | −0.02495 |
| 225 | SCr(3) → hidden neuron 5 | −0.07982 |
| 226 | SCr(4) → hidden neuron 5 | 0.54052 |
| 227 | Stratum(0) → hidden neuron 5 | 0.16422 |
| 228 | Stratum(1) → hidden neuron 5 | −0.21503 |
| 229 | Stratum(2) → hidden neuron 5 | 0.17085 |
| 230 | Stratum(3) → hidden neuron 5 | 0.15421 |
| 231 | Stratum(4) → hidden neuron 5 | 0.00827 |
| 232 | Definition(0) → hidden neuron 5 | 0.70307 |
| 233 | Definition(1) → hidden neuron 5 | −0.02521 |
| 234 | Definition(2) → hidden neuron 5 | −0.06231 |
| 235 | Definition(3) → hidden neuron 5 | −0.27576 |
| 236 | d → hidden neuron 6 | 1.17965 |
| 237 | Authors(1) → hidden neuron 6 | −0.02307 |
| 238 | Authors(10) → hidden neuron 6 | −0.06951 |
| 239 | Authors(11) → hidden neuron 6 | −0.08265 |
| 240 | Authors(12) → hidden neuron 6 | −0.10153 |
| 241 | Authors(13) → hidden neuron 6 | −0.07026 |
| 242 | Authors(14) → hidden neuron 6 | −0.07741 |
| 243 | Authors(15) → hidden neuron 6 | 0.01514 |
| 244 | Authors(16) → hidden neuron 6 | 0.06756 |
| 245 | Authors(17) → hidden neuron 6 | 0.08993 |
| 246 | Authors(18) → hidden neuron 6 | 0.03712 |
| 247 | Authors(19) → hidden neuron 6 | 0.04384 |
| 248 | Authors(2) → hidden neuron 6 | 0.00508 |
| 249 | Authors(20) → hidden neuron 6 | −0.03437 |
| 250 | Authors(21) → hidden neuron 6 | 0.02614 |
| 251 | Authors(22) → hidden neuron 6 | −0.32616 |
| 252 | Authors(23) → hidden neuron 6 | 0.01901 |
| 253 | Authors(24) → hidden neuron 6 | 0.00303 |
| 254 | Authors(25) → hidden neuron 6 | 0.08092 |
| 255 | Authors(26) → hidden neuron 6 | 0.17462 |
| 256 | Authors(27) → hidden neuron 6 | 0.33237 |
| 257 | Authors(3) → hidden neuron 6 | −0.15870 |
| 258 | Authors(4) → hidden neuron 6 | −0.15137 |
| 259 | Authors(5) → hidden neuron 6 | 0.04295 |
| 260 | Authors(6) → hidden neuron 6 | 0.06572 |
| 261 | Authors(7) → hidden neuron 6 | 0.05104 |
| 262 | Authors(8) → hidden neuron 6 | 0.00749 |
| 263 | Authors(9) → hidden neuron 6 | −0.17158 |
| 264 | Type(1) → hidden neuron 6 | −0.44336 |
| 265 | Type(2) → hidden neuron 6 | −0.22912 |
| 266 | Type(3) → hidden neuron 6 | −0.17982 |
| 267 | Type(4) → hidden neuron 6 | 0.01925 |
| 268 | Type(5) → hidden neuron 6 | 0.58439 |
| 269 | SCr(0) → hidden neuron 6 | 0.19628 |
| 270 | SCr(1) → hidden neuron 6 | −0.02804 |
| 271 | SCr(2) → hidden neuron 6 | 0.00267 |
| 272 | SCr(3) → hidden neuron 6 | −0.15375 |
| 273 | SCr(4) → hidden neuron 6 | −0.22055 |
| 274 | Stratum(0) → hidden neuron 6 | 0.01216 |
| 275 | Stratum(1) → hidden neuron 6 | −0.03498 |
| 276 | Stratum(2) → hidden neuron 6 | −0.07766 |
| 277 | Stratum(3) → hidden neuron 6 | 0.00120 |
| 278 | Stratum(4) → hidden neuron 6 | −0.07375 |
| 279 | Definition(0) → hidden neuron 6 | −0.79776 |
| 280 | Definition(1) → hidden neuron 6 | 0.07465 |
| 281 | Definition(2) → hidden neuron 6 | 0.17080 |
| 282 | Definition(3) → hidden neuron 6 | 0.31619 |
| 283 | d → hidden neuron 7 | −1.21283 |
| 284 | Authors(1) → hidden neuron 7 | −0.02012 |
| 285 | Authors(10) → hidden neuron 7 | 0.10521 |
| 286 | Authors(11) → hidden neuron 7 | −0.02208 |
| 287 | Authors(12) → hidden neuron 7 | 0.16743 |
| 288 | Authors(13) → hidden neuron 7 | −0.03954 |
| 289 | Authors(14) → hidden neuron 7 | 0.09455 |
| 290 | Authors(15) → hidden neuron 7 | 0.00817 |
| 291 | Authors(16) → hidden neuron 7 | −0.04299 |
| 292 | Authors(17) → hidden neuron 7 | −0.02239 |
| 293 | Authors(18) → hidden neuron 7 | −0.13151 |
| 294 | Authors(19) → hidden neuron 7 | −0.18126 |
| 295 | Authors(2) → hidden neuron 7 | 0.00417 |
| 296 | Authors(20) → hidden neuron 7 | −0.00693 |
| 297 | Authors(21) → hidden neuron 7 | 0.06529 |
| 298 | Authors(22) → hidden neuron 7 | 0.23475 |
| 299 | Authors(23) → hidden neuron 7 | −0.06852 |
| 300 | Authors(24) → hidden neuron 7 | −0.43199 |
| 301 | Authors(25) → hidden neuron 7 | 0.07066 |
| 302 | Authors(26) → hidden neuron 7 | 0.07965 |
| 303 | Authors(27) → hidden neuron 7 | 0.14278 |
| 304 | Authors(3) → hidden neuron 7 | 0.04770 |
| 305 | Authors(4) → hidden neuron 7 | 0.11096 |
| 306 | Authors(5) → hidden neuron 7 | 0.03600 |
| 307 | Authors(6) → hidden neuron 7 | 0.07149 |
| 308 | Authors(7) → hidden neuron 7 | 0.02804 |
| 309 | Authors(8) → hidden neuron 7 | 0.08971 |
| 310 | Authors(9) → hidden neuron 7 | 0.13956 |
| 311 | Type(1) → hidden neuron 7 | 0.59378 |
| 312 | Type(2) → hidden neuron 7 | 0.16514 |
| 313 | Type(3) → hidden neuron 7 | −0.02861 |
| 314 | Type(4) → hidden neuron 7 | −0.46059 |
| 315 | Type(5) → hidden neuron 7 | 0.31111 |
| 316 | SCr(0) → hidden neuron 7 | −0.03241 |
| 317 | SCr(1) → hidden neuron 7 | 0.00704 |
| 318 | SCr(2) → hidden neuron 7 | 0.03362 |
| 319 | SCr(3) → hidden neuron 7 | 0.04891 |
| 320 | SCr(4) → hidden neuron 7 | 0.52730 |
| 321 | Stratum(0) → hidden neuron 7 | 0.56065 |
| 322 | Stratum(1) → hidden neuron 7 | −0.05629 |
| 323 | Stratum(2) → hidden neuron 7 | 0.08887 |
| 324 | Stratum(3) → hidden neuron 7 | 0.00511 |
| 325 | Stratum(4) → hidden neuron 7 | −0.06902 |
| 326 | Definition(0) → hidden neuron 7 | 0.28404 |
| 327 | Definition(1) → hidden neuron 7 | 0.07264 |
| 328 | Definition(2) → hidden neuron 7 | 0.10452 |
| 329 | Definition(3) → hidden neuron 7 | 0.09895 |
| 330 | d → hidden neuron 8 | 0.52485 |
| 331 | Authors(1) → hidden neuron 8 | 0.00765 |
| 332 | Authors(10) → hidden neuron 8 | −0.02774 |
| 333 | Authors(11) → hidden neuron 8 | −0.04142 |
| 334 | Authors(12) → hidden neuron 8 | −0.06226 |
| 335 | Authors(13) → hidden neuron 8 | 0.15064 |
| 336 | Authors(14) → hidden neuron 8 | −0.05063 |
| 337 | Authors(15) → hidden neuron 8 | −0.07849 |
| 338 | Authors(16) → hidden neuron 8 | −0.01675 |
| 339 | Authors(17) → hidden neuron 8 | −0.03756 |
| 340 | Authors(18) → hidden neuron 8 | 0.02326 |
| 341 | Authors(19) → hidden neuron 8 | 0.00337 |
| 342 | Authors(2) → hidden neuron 8 | 0.01009 |
| 343 | Authors(20) → hidden neuron 8 | 0.05654 |
| 344 | Authors(21) → hidden neuron 8 | −0.01817 |
| 345 | Authors(22) → hidden neuron 8 | 0.06327 |
| 346 | Authors(23) → hidden neuron 8 | 0.05447 |
| 347 | Authors(24) → hidden neuron 8 | −0.35092 |
| 348 | Authors(25) → hidden neuron 8 | −0.21034 |
| 349 | Authors(26) → hidden neuron 8 | −0.09928 |
| 350 | Authors(27) → hidden neuron 8 | −0.00470 |
| 351 | Authors(3) → hidden neuron 8 | 0.02602 |
| 352 | Authors(4) → hidden neuron 8 | 0.08241 |
| 353 | Authors(5) → hidden neuron 8 | 0.03913 |
| 354 | Authors(6) → hidden neuron 8 | 0.00838 |
| 355 | Authors(7) → hidden neuron 8 | 0.09789 |
| 356 | Authors(8) → hidden neuron 8 | 0.03110 |
| 357 | Authors(9) → hidden neuron 8 | −0.02992 |
| 358 | Type(1) → hidden neuron 8 | 0.23566 |
| 359 | Type(2) → hidden neuron 8 | −0.09086 |
| 360 | Type(3) → hidden neuron 8 | 0.20743 |
| 361 | Type(4) → hidden neuron 8 | −0.35709 |
| 362 | Type(5) → hidden neuron 8 | −0.27982 |
| 363 | SCr(0) → hidden neuron 8 | −0.48799 |
| 364 | SCr(1) → hidden neuron 8 | −0.00193 |
| 365 | SCr(2) → hidden neuron 8 | −0.00053 |
| 366 | SCr(3) → hidden neuron 8 | 0.02087 |
| 367 | SCr(4) → hidden neuron 8 | 0.22134 |
| 368 | Stratum(0) → hidden neuron 8 | −0.44896 |
| 369 | Stratum(1) → hidden neuron 8 | 0.14958 |
| 370 | Stratum(2) → hidden neuron 8 | −0.04615 |
| 371 | Stratum(3) → hidden neuron 8 | −0.05574 |
| 372 | Stratum(4) → hidden neuron 8 | 0.16572 |
| 373 | Definition(0) → hidden neuron 8 | 0.01933 |
| 374 | Definition(1) → hidden neuron 8 | −0.18280 |
| 375 | Definition(2) → hidden neuron 8 | −0.09170 |
| 376 | Definition(3) → hidden neuron 8 | −0.01910 |
| 377 | d → hidden neuron 9 | −1.62912 |
| 378 | Authors(1) → hidden neuron 9 | −0.00423 |
| 379 | Authors(10) → hidden neuron 9 | 0.05716 |
| 380 | Authors(11) → hidden neuron 9 | 0.17051 |
| 381 | Authors(12) → hidden neuron 9 | 0.14542 |
| 382 | Authors(13) → hidden neuron 9 | −0.02887 |
| 383 | Authors(14) → hidden neuron 9 | 0.10309 |
| 384 | Authors(15) → hidden neuron 9 | 0.07743 |
| 385 | Authors(16) → hidden neuron 9 | −0.06782 |
| 386 | Authors(17) → hidden neuron 9 | −0.05748 |
| 387 | Authors(18) → hidden neuron 9 | −0.05489 |
| 388 | Authors(19) → hidden neuron 9 | −0.10244 |
| 389 | Authors(2) → hidden neuron 9 | −0.00143 |
| 390 | Authors(20) → hidden neuron 9 | −0.04288 |
| 391 | Authors(21) → hidden neuron 9 | 0.04907 |
| 392 | Authors(22) → hidden neuron 9 | 0.21488 |
| 393 | Authors(23) → hidden neuron 9 | 0.09071 |
| 394 | Authors(24) → hidden neuron 9 | −0.38450 |
| 395 | Authors(25) → hidden neuron 9 | 0.13045 |
| 396 | Authors(26) → hidden neuron 9 | −0.13627 |
| 397 | Authors(27) → hidden neuron 9 | −0.34136 |
| 398 | Authors(3) → hidden neuron 9 | 0.10893 |
| 399 | Authors(4) → hidden neuron 9 | −0.16294 |
| 400 | Authors(5) → hidden neuron 9 | 0.07913 |
| 401 | Authors(6) → hidden neuron 9 | 0.04250 |
| 402 | Authors(7) → hidden neuron 9 | 0.05183 |
| 403 | Authors(8) → hidden neuron 9 | 0.12151 |
| 404 | Authors(9) → hidden neuron 9 | −0.01166 |
| 405 | Type(1) → hidden neuron 9 | 0.26982 |
| 406 | Type(2) → hidden neuron 9 | 0.30527 |
| 407 | Type(3) → hidden neuron 9 | 0.27699 |
| 408 | Type(4) → hidden neuron 9 | −0.39181 |
| 409 | Type(5) → hidden neuron 9 | −0.34973 |
| 410 | SCr(0) → hidden neuron 9 | −0.16429 |
| 411 | SCr(1) → hidden neuron 9 | 0.01025 |
| 412 | SCr(2) → hidden neuron 9 | −0.00603 |
| 413 | SCr(3) → hidden neuron 9 | 0.09224 |
| 414 | SCr(4) → hidden neuron 9 | 0.15885 |
| 415 | Stratum(0) → hidden neuron 9 | −0.18260 |
| 416 | Stratum(1) → hidden neuron 9 | −0.03402 |
| 417 | Stratum(2) → hidden neuron 9 | 0.11045 |
| 418 | Stratum(3) → hidden neuron 9 | 0.09343 |
| 419 | Stratum(4) → hidden neuron 9 | 0.08856 |
| 420 | Definition(0) → hidden neuron 9 | 0.45866 |
| 421 | Definition(1) → hidden neuron 9 | 0.12594 |
| 422 | Definition(2) → hidden neuron 9 | −0.12189 |
| 423 | Definition(3) → hidden neuron 9 | −0.32034 |
| 424 | d → hidden neuron 10 | 0.51091 |
| 425 | Authors(1) → hidden neuron 10 | 0.08353 |
| 426 | Authors(10) → hidden neuron 10 | 0.02617 |
| 427 | Authors(11) → hidden neuron 10 | −0.06044 |
| 428 | Authors(12) → hidden neuron 10 | 0.00989 |
| 429 | Authors(13) → hidden neuron 10 | −0.03744 |
| 430 | Authors(14) → hidden neuron 10 | −0.01596 |
| 431 | Authors(15) → hidden neuron 10 | −0.02433 |
| 432 | Authors(16) → hidden neuron 10 | 0.01701 |
| 433 | Authors(17) → hidden neuron 10 | 0.00592 |
| 434 | Authors(18) → hidden neuron 10 | 0.04067 |
| 435 | Authors(19) → hidden neuron 10 | 0.03595 |
| 436 | Authors(2) → hidden neuron 10 | 0.06453 |
| 437 | Authors(20) → hidden neuron 10 | −0.02280 |
| 438 | Authors(21) → hidden neuron 10 | 0.05933 |
| 439 | Authors(22) → hidden neuron 10 | −0.07463 |
| 440 | Authors(23) → hidden neuron 10 | −0.01303 |
| 441 | Authors(24) → hidden neuron 10 | −0.05313 |
| 442 | Authors(25) → hidden neuron 10 | 0.05221 |
| 443 | Authors(26) → hidden neuron 10 | 0.03245 |
| 444 | Authors(27) → hidden neuron 10 | −0.01032 |
| 445 | Authors(3) → hidden neuron 10 | −0.02373 |
| 446 | Authors(4) → hidden neuron 10 | −0.03036 |
| 447 | Authors(5) → hidden neuron 10 | −0.02774 |
| 448 | Authors(6) → hidden neuron 10 | −0.04940 |
| 449 | Authors(7) → hidden neuron 10 | −0.00644 |
| 450 | Authors(8) → hidden neuron 10 | −0.01434 |
| 451 | Authors(9) → hidden neuron 10 | 0.02095 |
| 452 | Type(1) → hidden neuron 10 | 0.06057 |
| 453 | Type(2) → hidden neuron 10 | −0.04110 |
| 454 | Type(3) → hidden neuron 10 | 0.03607 |
| 455 | Type(4) → hidden neuron 10 | −0.07256 |
| 456 | Type(5) → hidden neuron 10 | 0.06368 |
| 457 | SCr(0) → hidden neuron 10 | −0.03788 |
| 458 | SCr(1) → hidden neuron 10 | 0.03294 |
| 459 | SCr(2) → hidden neuron 10 | 0.06816 |
| 460 | SCr(3) → hidden neuron 10 | −0.01826 |
| 461 | SCr(4) → hidden neuron 10 | −0.08968 |
| 462 | Stratum(0) → hidden neuron 10 | 0.00374 |
| 463 | Stratum(1) → hidden neuron 10 | −0.03919 |
| 464 | Stratum(2) → hidden neuron 10 | −0.03119 |
| 465 | Stratum(3) → hidden neuron 10 | −0.00038 |
| 466 | Stratum(4) → hidden neuron 10 | 0.09242 |
| 467 | Definition(0) → hidden neuron 10 | −0.05324 |
| 468 | Definition(1) → hidden neuron 10 | 0.04786 |
| 469 | Definition(2) → hidden neuron 10 | 0.03944 |
| 470 | Definition(3) → hidden neuron 10 | −0.02195 |
| 471 | d → hidden neuron 11 | 0.47580 |
| 472 | Authors(1) → hidden neuron 11 | −0.07502 |
| 473 | Authors(10) → hidden neuron 11 | 0.06993 |
| 474 | Authors(11) → hidden neuron 11 | −0.00950 |
| 475 | Authors(12) → hidden neuron 11 | −0.09304 |
| 476 | Authors(13) → hidden neuron 11 | 0.03657 |
| 477 | Authors(14) → hidden neuron 11 | −0.04690 |
| 478 | Authors(15) → hidden neuron 11 | 0.00824 |
| 479 | Authors(16) → hidden neuron 11 | 0.03037 |
| 480 | Authors(17) → hidden neuron 11 | 0.02358 |
| 481 | Authors(18) → hidden neuron 11 | 0.02748 |
| 482 | Authors(19) → hidden neuron 11 | −0.00072 |
| 483 | Authors(2) → hidden neuron 11 | −0.09600 |
| 484 | Authors(20) → hidden neuron 11 | 0.01607 |
| 485 | Authors(21) → hidden neuron 11 | 0.07045 |
| 486 | Authors(22) → hidden neuron 11 | −0.05775 |
| 487 | Authors(23) → hidden neuron 11 | −0.03587 |
| 488 | Authors(24) → hidden neuron 11 | 0.19201 |
| 489 | Authors(25) → hidden neuron 11 | −0.08240 |
| 490 | Authors(26) → hidden neuron 11 | −0.03167 |
| 491 | Authors(27) → hidden neuron 11 | −0.03530 |
| 492 | Authors(3) → hidden neuron 11 | −0.07228 |
| 493 | Authors(4) → hidden neuron 11 | −0.06232 |
| 494 | Authors(5) → hidden neuron 11 | −0.10172 |
| 495 | Authors(6) → hidden neuron 11 | −0.06359 |
| 496 | Authors(7) → hidden neuron 11 | −0.04212 |
| 497 | Authors(8) → hidden neuron 11 | −0.09233 |
| 498 | Authors(9) → hidden neuron 11 | 0.08107 |
| 499 | Type(1) → hidden neuron 11 | −0.47048 |
| 500 | Type(2) → hidden neuron 11 | −0.13923 |
| 501 | Type(3) → hidden neuron 11 | 0.11382 |
| 502 | Type(4) → hidden neuron 11 | 0.16168 |
| 503 | Type(5) → hidden neuron 11 | −0.09722 |
| 504 | SCr(0) → hidden neuron 11 | 0.08966 |
| 505 | SCr(1) → hidden neuron 11 | −0.10438 |
| 506 | SCr(2) → hidden neuron 11 | −0.10693 |
| 507 | SCr(3) → hidden neuron 11 | −0.08289 |
| 508 | SCr(4) → hidden neuron 11 | −0.17880 |
| 509 | Stratum(0) → hidden neuron 11 | −0.50554 |
| 510 | Stratum(1) → hidden neuron 11 | 0.03159 |
| 511 | Stratum(2) → hidden neuron 11 | −0.04112 |
| 512 | Stratum(3) → hidden neuron 11 | 0.00725 |
| 513 | Stratum(4) → hidden neuron 11 | 0.09582 |
| 514 | Definition(0) → hidden neuron 11 | −0.30385 |
| 515 | Definition(1) → hidden neuron 11 | −0.06813 |
| 516 | Definition(2) → hidden neuron 11 | −0.03404 |
| 517 | Definition(3) → hidden neuron 11 | −0.00816 |
| 518 | input bias → hidden neuron 1 | −0.39243 |
| 519 | input bias → hidden neuron 2 | −0.12203 |
| 520 | input bias → hidden neuron 3 | −0.08975 |
| 521 | input bias → hidden neuron 4 | 0.24613 |
| 522 | input bias → hidden neuron 5 | 0.34593 |
| 523 | input bias → hidden neuron 6 | −0.19805 |
| 524 | input bias → hidden neuron 7 | 0.56858 |
| 525 | input bias → hidden neuron 8 | −0.26715 |
| 526 | input bias → hidden neuron 9 | 0.09001 |
| 527 | input bias → hidden neuron 10 | 0.00154 |
| 528 | input bias → hidden neuron 11 | −0.39815 |
| 529 | hidden neuron 1 → cd | 0.88693 |
| 530 | hidden neuron 2 → cd | −0.79060 |
| 531 | hidden neuron 3 → cd | −0.11064 |
| 532 | hidden neuron 4 → cd | −0.25423 |
| 533 | hidden neuron 5 → cd | 0.52482 |
| 534 | hidden neuron 6 → cd | 0.93412 |
| 535 | hidden neuron 7 → cd | −0.15989 |
| 536 | hidden neuron 8 → cd | 0.28240 |
| 537 | hidden neuron 9 → cd | 0.10351 |
| 538 | hidden neuron 10 → cd | −0.23069 |
| 539 | hidden neuron 11 → cd | −0.60563 |
| 540 | hidden bias → cd | 0.46311 |
References
- Machado, S.A.; Figura, M.A.; Silva, L.C.R.; Nascimento, R.G.M.; Quirino, S.M.S.; Téo, S.J. Dinâmica de crescimento de plantios jovens de Araucaria angustifolia e Pinus Taeda. Pesqui. Florest. Bras. 2010, 30, 165. [Google Scholar] [CrossRef]
- Eisfeld, R.L.; Arce, J.E.; Sanquetta, C.; Braz, E.M.B. É economicamente viável o plantio de araucária? Uma análise entre a espécie e seu principal substituto, o pinus. Sci. For. 2020, 48, e3408. [Google Scholar] [CrossRef]
- Metzger, J.P.; Bustamante, M.M.C.; Ferreira, J.; Fernandes, G.W.; Librán-Embid, F.; Pillar, V.D.; Prist, P.R.; Rodrigues, R.R.; Vieira, I.C.G.; Overbeck, G.E. Why Brazil needs its Legal Reserves. Perspect. Ecol. Conserv. 2019, 17, 91–103. [Google Scholar] [CrossRef]
- Demétrio, L.; Hess, A.F.; de Sousa, A.N.; Costa, E.A.; Liesenberg, V.; Freisleben, M.J.; Schimalski, M.B.; Finger, C.A.G.; Hofiço, N.d.S.A.; Bispo, P.d.C. Can We Predict Male Strobili Production in Araucaria angustifolia Trees with Dendrometric and Morphometric Attributes? Forests 2022, 13, 2074. [Google Scholar] [CrossRef]
- Costa, J.S.; Sousa, R.V.; Liesenberg, V. Environmental Violation Fines Growth in the Northern Region of Santa Catarina State, Brazil. Floresta Ambiente 2020, 27, e20190073. [Google Scholar] [CrossRef]
- Nogueira, A.C. Reação do Crescimento Radial da Araucaria angustifolia (Bert.) Kuntze em Florestas Naturais que Sofreram Corte Seletivo. Doctoral Dissertation, Federal University of Paraná, Curitiba, Brazil, 1989. [Google Scholar]
- Costa, E.A. Modelagem Biométrica de Árvores com Crescimento Livre e sob Competição em Floresta de Araucária. Doctoral Dissertation, Federal University of Santa Maria, Santa Maria, Brazil, 2015. [Google Scholar]
- Hess, A.F.; Atanazio, K.A.; Borsoi, G.A.; Schorr, L.P.B.; Souza, I.A.; Costa, E.A.; Klein, D.R.; Krefta, S.M.; Stepka, T.F.; Abatti, R.; et al. Crown efficiency and pine cones production for Brazilian pine (Araucaria angustifolia (Bertol.) Kuntze) in south Brazil. J. Agric. Sci. 2019, 11, 247–259. [Google Scholar] [CrossRef]
- Seitz, R.A. Erste Hinweise für die waldbauliche Behandlung von Araukarienwäldern. Ann. Des Sci. For. 1986, 43, 327–338. [Google Scholar] [CrossRef]
- Durlo, M.A.; Sutili, F.J.; Denardi, L. Modelagem da copa de Cedrela fissilis Vellozo. Ciência Florest. 2004, 14, 79–89. [Google Scholar] [CrossRef]
- Durlo, M.A.; Marchiori, J.N.C.; Spathelf, P. Perspectivas do manejo florestal por árvores singulares. Ciência Ambiente 2000, 20, 71–82. [Google Scholar]
- Costa, E.A.; Finger, C.A.G.; Hess, A.F. Competition Indices and Their Relationship with Basal Area Increment of Araucaria. J. Agric. Sci. 2018, 10, 198–210. [Google Scholar] [CrossRef]
- Costa, E.A.; Hess, A.; Finger, C.A.G. Estructura y crecimiento de los bosques de Araucaria angustifolia en el sur de Brasil. Rev. Bosque 2017, 38, 229–236. [Google Scholar] [CrossRef]
- Barbosa, L.O.; Finger, C.A.G.; Costa, E.A.; Campoe, O.C.; Schons, C.T. Using crown characterization variables as indicator of the vigor, competition and growth of Brazilian pine. South. For. J. For. Sci. 2021, 83, 240–253. [Google Scholar] [CrossRef]
- Lockhart, B.R.; Weih, R.C., Jr.; Smith, K.M. Crown Radius and Diameter at Breast Height Relationships for Six Bottomland Hardwood Species. Ark. Acad. Sci. 2005, 59, 110–115. [Google Scholar]
- Li, Y.; Kröber, W.; Bruelheide, H.; Härdtle, W.; von Oheimb, G. Crown and leaf traits as predictors of subtropical tree sapling growth rates. J. Plant Ecol. 2017, 10, 136–145. [Google Scholar] [CrossRef]
- Hess, A.F.; da Silveira, A.C.; Krefta, S.M.; dos Santos, D.V.; Filho, M.D.H.V.; Atanazio, K.A.; Schorr, L.P.B.; Santos, I.A.; Borsoi, G.A.; Stepka, T.F.; et al. Crown dynamics of Brazilian pine (Araucaria angustifolia) in Santa Catarina region of Brazil. Aust. J. Crop. Sci. 2018, 12, 449–457. [Google Scholar] [CrossRef]
- Hess, A.F.; Loiola, T.; Souza, I.A.; Nascimento, B. Morphometry of the crown of Araucaria angustifolia in natural sites in southern Brazil. Bosque 2016, 37, 603–611. [Google Scholar] [CrossRef]
- Hasenauer, H. Dimensional relationships of open-grown trees in Austria. For. Ecol. Manag. 1997, 96, 197–206. [Google Scholar] [CrossRef]
- Grote, R. Estimation of crown radii and crown projection area from stem size and tree position. Ann. For. Sci. 2003, 60, 393–402. [Google Scholar] [CrossRef]
- Hailemariam, T.; Le May, V.; Mitchell, S. Tree crown ratio models for multi-species and multi-layered stands of southeastern British Columbia. For. Chron. 2005, 81, 133–141. [Google Scholar] [CrossRef]
- Nutto, L.; Spathelf, P.; Rogers, R. Managing diameter growth and natural pruning of Paraná pine, Araucaria angustifolia (Bert.) O Ktze., to produce high value timber. Ann. For. Sci. 2005, 62, 163–173. [Google Scholar] [CrossRef]
- Getzin, S.; Wiegand, K.; Schumacher, J.; Gougeon, F. Scale-dependent competition at the stand level assessed from crown areas. For. Ecol. Manag. 2008, 255, 2478–2485. [Google Scholar] [CrossRef]
- Sharma, R.P.; Vacek, Z.; Vacek, S. Modelling tree crown-to-bole diameter ratio for Norway spruce and European beech. Silva Fennica 2017, 51, 1740. [Google Scholar] [CrossRef]
- IBGE (Instituto Brasileiro de Geografia e Estatística). Manual Técnico da Vegetação Brasileira, 2nd ed.; IBGE: Rio de Janeiro, Brazil, 2012.
- Moreno, J.A. Clima do Rio Grande do Sul; Secretaria da Agricultura: Porto Alegre, Brazil, 1961; 31p.
- De Souza, I.A.; Hess, A.F.; Costa, E.A.; da Silveira, A.C.; Schorr, L.P.B.; Atanazio, K.A. Development of models to a id decision making in the management of Araucaria angustifolia (Bertol.) Kuntze. Floresta 2020, 50, 1854–1863. [Google Scholar] [CrossRef]
- Shima, K.; Yamada, T.; Okuda, T.; Fletcher, C.; Kassim, A.R. Dynamics of Tree Species Diversity in Unlogged and Selectively Logged Malaysian Forests. Sci. Rep. 2018, 8, 1024. [Google Scholar] [CrossRef] [PubMed]
- Zeller, L.; Pretzsch, H. Effect of forest structure on stand productivity in Central European forests depends on developmental stage and tree species diversity. For. Ecol. Manag. 2019, 434, 193–204. [Google Scholar] [CrossRef]
- Forrester, D.I.; Ammer, C.; Annighöfer, P.J.; Barbeito, I.; Bielak, K.; Bravo-Oviedo, A.; Coll, L.; del Río, M.; Drössler, L.; Heym, M.; et al. Effects of crown architecture and stand structure on light absorption in mixed and monospecific Fagus sylvatica and Pinus sylvestris forests along a productivity and climate gradient through Europe. J. Ecol. 2018, 106, 746–760. [Google Scholar] [CrossRef]
- Costa, E.A.; Finger, C.A.G.; Fleig, F.D. Modelagem do espaço de crescimento para araucária. Ciência Florest. 2018, 28, 725–734. [Google Scholar] [CrossRef]
- Volkart, C.M. Determinacion de la relacion dimetro copa: Diametro tronco en Araucaria angustifolia y Pinus elliottii en la Provincia de Misiones. In Congreso Forestal Argentino, Actas; Servicio Nacional Forestal: Buenos Aires, Argentina, 1969. [Google Scholar]
- Longhi, S.J. A Estrutura de Uma Floresta Natural de Araucaria angustifolia (Bert.) O. Ktze, no Sul do Brasil. Master’s Thesis, Federal University of Paraná, Curitiba, Brazil, 1980. [Google Scholar]
- Wachtel, G. Untersuchungen zu Struktur und Dynamik Eines Araukarien-Naturwaldes in Südbrasilien. Master’s Thesis, Universität Freiburg, Freiburg, Germany, 1990. [Google Scholar]
- Chassot, T.; Fleig, F.D.; Finger, C.A.G.; Longhi, S.J. Individual tree diameter growth model for Araucaria angustifolia (Bertol.) Kuntze in mixed ombrophylous forest. Ciência Florest. 2011, 21, 303–314. [Google Scholar] [CrossRef]
- Zanon, M.L.B.; Finger, C.A.G.; Schneider, P.R. Proporção da dióicia e distribuição diamétrica de árvores masculinas e femininas de Araucaria angustifolia (Bertol.) Kuntze, em povoamentos implantandos. Ciência Florestal. 2009, 19, 425–431. [Google Scholar] [CrossRef]
- Pretzsch, H. Canopy space filling and tree crown morphology in mixed species stands compared with monocultures. For. Ecol. Manag. 2014, 357, 251–264. [Google Scholar] [CrossRef]
- Pretzsch, H.; Biber, P.; Uhl, E.; Dahlhausen, J.; Rötzer, T.; Caldentey, J.; Koike, T.; van Con, T.; Chavanne, A.; Seifert, T.; et al. Crown size and growing space requirement of common tree species in urban centres, parks, and forests. Urban For. Urban Green. 2015, 14, 466–479. [Google Scholar] [CrossRef]
- Hess, A.F.; Loiola, T.; Souza, I.A.; Minatti, M.; Ricken, P.; Borsoi, G.A. Forest management for the conservation of Araucaria angustifolia in Southern Brazil. Floresta 2018, 48, 373–382. [Google Scholar] [CrossRef]
- Costa, E.A.; Finger, C.A.G.; Schneider, P.R.; Hess, A.F. The crown efficiency of Parana Pine. Aust. J. Basic Appl. Sci. 2017, 11, 86–92. [Google Scholar]
- Ishii, H.R.; Sillett, S.C.; Carroll, A.L. Crown dynamics and wood production of Douglas-fir trees in an old-growth forest. For. Ecol. Manag. 2017, 384, 157–168. [Google Scholar] [CrossRef]
- Cattaneo, N.; Schneider, R.; Bravo, F.; Bravo-Oviedo, A. Inter-specific competition of tree congeners induces changes in crown architecture in Mediterranean pine mixtures. For. Ecol. Manag. 2020, 476, 118471. [Google Scholar] [CrossRef]
- Saarinen, N.; Kankare, V.; Huuskonen, S.; Hynynen, J.; Bianchi, S.; Yrttimaa, T.; Luoma, V.; Junttila, S.; Holopainen, M.; Hyyppä, J.; et al. Effects of Stem Density on Crown Architecture of Scots Pine Trees. Front. Plant Sci. 2022, 13, 817792. [Google Scholar] [CrossRef] [PubMed]
- Raptis, D.; Kazana, V.; Kazaklis, A.; Stamatiou, C. A Crown Width-Diameter Model for Natural Even-Aged Black Pine Forest Management. Forests 2018, 9, 610. [Google Scholar] [CrossRef]
- Zhu, Z.; Kleinn, C.; Nölke, N. Assessing tree crown volume—A review. For. Int. J. For. Res. 2021, 94, 18–35. [Google Scholar] [CrossRef]
- Cubas, R.; Watzlawick, L.F.; Figueiredo Filho, A. Incremento, ingresso, mortalidade em um remanescente de floresta ombrófila mista em Três Barras—SC. Ciência Florest. 2016, 26, 889–900. [Google Scholar] [CrossRef]
- Costa, E.A.; Liesenberg, V.; Felipe Hess, A.; Finger, C.A.G.; Renato Schneider, P.; Villanova Longhi, R.; Schons, C.T.; Adriano Borsoi, G. Simulating Araucaria angustifolia (Bertol.) Kuntze Timber Stocks with Liocourt’s Law in a Natural Forest in Southern Brazil. Forests 2020, 11, 339. [Google Scholar] [CrossRef]
- Sterck, F.J.; Bongers, F. Crown development in tropical rain forest trees: Patterns with tree height and light availability. J. Ecol. 2011, 89, 1–13. [Google Scholar] [CrossRef]
- Lang, A.C.; Hardtle, W.; Bruelheide, H.; Geissler, C.; Nadrowski, K.; Schuldt, A.; Yu, M.J.; von OHEIMB, G. Tree morphology responds to neighborhood competition and slope in species-rich forests of subtropical China. For. Ecol. Manag. 2010, 260, 1708–1715. [Google Scholar] [CrossRef]
- Simard, S.W.; Zimonick, B.J. Neighborhood size effects on mortality, growth, and crown morphology of paper birch. For. Ecol. Manag. 2005, 214, 251–265. [Google Scholar] [CrossRef]
- Mäkelä, A. A carbon balance model of growth and self-pruning in trees based on structural relationships. For. Sci. 1997, 43, 7–24. [Google Scholar]
- Pretzsch, H. Forest Dynamics, Growth and Yield. From Measurement to Model; Springer: Berlin, Germany, 2009. [Google Scholar] [CrossRef]
- Wright, I.J.; Reich, P.B.; Westoby, M.; Ackerly, D.D.; Baruch, Z.; Bongers, F.; Cavender-Bares, J.; Chapin, T.; Cornelissen, J.H.C.; Diemer, M.; et al. The worldwide leaf economics spectrum. Nature 2004, 428, 821–827. [Google Scholar] [CrossRef]
- Tomlinson, P.B. Crown Structure in Araucariacea. Harvard Forest, Petersham MA and National Tropical Botanical Garden, Kalaheo, HI, USA. Available online: https://harvardforest1.fas.harvard.edu/sites/harvardforest.fas.harvard.edu/files/publications/pdfs/Tomlinson_unpublished_2008.pdf (accessed on 1 September 2022).
- Forrester, D.I.; Bauhus, J. A review of processes behind diversity-productivity relationships in forests. Curr. For. Rep. 2016, 2, 45–61. [Google Scholar] [CrossRef]
- Kelty, M.J. Comparative productivity of monocultures and mixed-species stands. In The Ecology and Silviculture of Mixed-Species Forests; Springer: Dordrecht, The Netherlands, 1992; pp. 125–141. [Google Scholar]
- Morin, X.; Fahse, L.; Scherer-Lorenzen, M.; Bugmann, H. Tree species richness promote productivity in temperate forest trough strong complementarity between species. Ecol. Lett. 2011, 14, 1211–1219. [Google Scholar] [CrossRef]
- Forrester, D.I.; Benneter, A.; Bouriaud, O.; Bauhus, J. Diversity and competition influence tree allometry—Developing allometric functions for mixed-species forests. J. Ecol. 2017, 105, 761–774. [Google Scholar] [CrossRef]
- Binkley, D.; Sollins, P.; Bell, R.; Sachs, D.; Myrold, D. Biogeochemistry of adjacent conifer and Alder-Conifer stands. Ecology 1992, 73, 2022–2033. [Google Scholar] [CrossRef]
- Forrester, D.I.; Albrecht, A.T. Light absorption and light-use efficiency in mixtures of Abies alba and Picea abies along a productivity gradient. For. Ecol. Manag. 2014, 328, 94–102. [Google Scholar] [CrossRef]
- Ricken, P.; Mattos, P.P.; Braz, E.M.; Hess, A.F.; Nakajima, N.Y.; Hosokawa, R.T. Growth models for Araucaria angustifolia (Bertol.) Kuntze in different ecological gradients in the state of Santa Catarina. Floresta 2022, 52, 450–457. [Google Scholar] [CrossRef]
- Metz, J.; Seidel, D.; Schall, P.; Scheffer, D.; Schulze, E.; Ammer, C. Crown modeling by terrestrial laser scanning as an approach to assess the effect of aboveground intra- and interspecific competition on tree growth. For. Ecol. Manag. 2013, 310, 275–288. [Google Scholar] [CrossRef]
- Soligo, A.J. Crescimento da Araucaria angustifolia Regenerada sob Pinus elliotti e em Povoamento Homogêneo Interplantado com Pinus spp. Master’s Thesis, Universidade Federal de Santa Maria, Santa Maria, Brazil, 2009. [Google Scholar]
- Kjučukov, P.; Hofmeister, J.; Bače, R.; Vítková, L.; Svoboda, M. The effects of forest management on biodiversity in the Czech Republic: An overview of biologists’ opinions. IForest 2022, 15, 187–196. [Google Scholar] [CrossRef]
- Santos, K.F.; Barbosa, F.T.; Bertol, I.; Werner, R.S.; Wolschick, N.H.; Mota, J.M. Contents and stocks of soil organic carbon in different types of land use in the Southern Plateau of Santa Catarina (Brazil). Rev. De Ciências Agroveterinárias 2019, 18, 222–229. [Google Scholar] [CrossRef]
- Squinzani, L.I.; Piana, P.A.; Brocardo, C.R. Does seed dispersal mode matter? Plant Ecol. 2022, 223, 643–657. [Google Scholar] [CrossRef]
- Assmann, E. The Principles of Forest Yield Study; Pergamon Press: Oxford, UK, 1970; 506p. [Google Scholar]
- Waring, R.H.; Theis, W.G.; Muscato, D. Stem growth per unit of leaf area-a measure of tree vigor. For. Sci 1980, 26, 112–117. [Google Scholar]
- Waring, R.H.; Pitman, G.B. Physiological stress in lodgepole pine as a precursor for mountain pine beetle attack. J. Appl. Entmol. 1983, 96, 265–270. [Google Scholar]
- Waring, R.H.; Schlesinger, W.H. Forest Ecosystems: Concepts and Management; Academic Press: Orlando, FL, USA, 1985. [Google Scholar]
- Reid, D.E.B.; Lieffers, V.J.; Silins, U. Growth and crown efficiency of height repressed lodgepole pine; are suppressed trees more efficiente? Trees 2004, 18, 390–398. [Google Scholar] [CrossRef]
- Weiskittel, A.R.; Garber, S.M.; Johnson, G.P.; Maguire, D.A.; Monserud, R.A. Annualized diameter and height growth equations for Pacific Northwest plantation–grown Douglas–fir, western hemlock, and red alder. Ecol. Manag. 2007, 250, 266–278. [Google Scholar] [CrossRef]
- Lobo Torres, D.; Queiroz Feitosa, R.; Nigri Happ, P.; Elena Cué La Rosa, L.; Marcato Junior, J.; Martins, J.; Olã Bressan, P.; Gonçalves, W.N.; Liesenberg, V. Applying Fully Convolutional Architectures for Semantic Segmentation of a Single Tree Species in Urban Environment on High Resolution UAV Optical Imagery. Sensors 2020, 20, 563. [Google Scholar] [CrossRef]
- Santos, A.A.D.; Marcato Junior, J.; Araújo, M.S.; Di Martini, D.R.; Tetila, E.C.; Siqueira, H.L.; Aoki, C.; Eltner, A.; Matsubara, E.T.; Pistori, H.; et al. Assessment of CNN-Based Methods for Individual Tree Detection on Images Captured by RGB Cameras Attached to UAVs. Sensors 2019, 19, 3595. [Google Scholar] [CrossRef] [PubMed]
- Martins, J.A.C.; Nogueira, K.; Osco, L.P.; Gomes, F.D.G.; Furuya, D.E.G.; Gonçalves, W.N.; Sant’Ana, D.A.; Ramos, A.P.M.; Liesenberg, V.; dos Santos, J.A.; et al. Semantic Segmentation of Tree-Canopy in Urban Environment with Pixel-Wise Deep Learning. Remote Sens. 2021, 13, 3054. [Google Scholar] [CrossRef]
- Sothe, C.; Dalponte, M.; Almeida, C.M.d.; Schimalski, M.B.; Lima, C.L.; Liesenberg, V.; Miyoshi, G.T.; Tommaselli, A.M.G. Tree Species Classification in a Highly Diverse Subtropical Forest Integrating UAV-Based Photogrammetric Point Cloud and Hyperspectral Data. Remote Sens. 2019, 11, 1338. [Google Scholar] [CrossRef]
- Curto, R.A. Avaliação do Crescimento e Potencial de Manejo em Plantio Superestocado de Araucaria angustifolia (Bert.) O. Kuntze. Doctor Thesis, Federal University of Paraná, Curitiba, Brazil, 2015. [Google Scholar]
- Costa, E.A. Influencia de Variáveis Dendrométricas e Morfométricas da Copa no Incremento Periódico de Araucaria angustifolia (Bertol.) Kuntze. Master’s Thesis, Federal University of Santa Maria, Santa Maria, Brazil, 2011. [Google Scholar]
- Figueiredo Filho, A.; Orellana, E.; Nascimento, F.A.F.; Dias, A.N.; Inoue, M.T. Produção de sementes de Araucaria angustifolia em plantio e em floresta natural no centro sul do estado do Paraná. Floresta 2011, 41, 155–162. [Google Scholar] [CrossRef]
- Nutto, L. Management of diameter growth of the individual tree of Araucaria angustifolia (Bert.) O. Ktze. Ciência Florest. 2001, 11, 9–25. [Google Scholar] [CrossRef]




| Type | Trees | N | G | CPA | Dist. |
|---|---|---|---|---|---|
| Total | 288 | 35.6 | |||
| Mean crown diameter (Scenario I) | Remnants | 72 | 3.0 | 38.5 | 13.3 |
| Selective logging | 216 | 32.6 | |||
| Maximum crown diameter (Scenario II) | Remnants | 50 | 4.0 | 102.1 | 16.0 |
| Selective logging | 238 | 31.6 |
Disclaimer/Publisher’s Note: The statements, opinions and data contained in all publications are solely those of the individual author(s) and contributor(s) and not of MDPI and/or the editor(s). MDPI and/or the editor(s) disclaim responsibility for any injury to people or property resulting from any ideas, methods, instructions or products referred to in the content. |
© 2023 by the authors. Licensee MDPI, Basel, Switzerland. This article is an open access article distributed under the terms and conditions of the Creative Commons Attribution (CC BY) license (https://creativecommons.org/licenses/by/4.0/).
Share and Cite
Finger, C.A.G.; Costa, E.A.; Hess, A.F.; Liesenberg, V.; Bispo, P.d.C. Simulating Sustainable Forest Management Practices Using Crown Attributes: Insights for Araucaria angustifolia Trees in Southern Brazil. Forests 2023, 14, 1285. https://doi.org/10.3390/f14071285
Finger CAG, Costa EA, Hess AF, Liesenberg V, Bispo PdC. Simulating Sustainable Forest Management Practices Using Crown Attributes: Insights for Araucaria angustifolia Trees in Southern Brazil. Forests. 2023; 14(7):1285. https://doi.org/10.3390/f14071285
Chicago/Turabian StyleFinger, César Augusto Guimarães, Emanuel Arnoni Costa, André Felipe Hess, Veraldo Liesenberg, and Polyanna da Conceição Bispo. 2023. "Simulating Sustainable Forest Management Practices Using Crown Attributes: Insights for Araucaria angustifolia Trees in Southern Brazil" Forests 14, no. 7: 1285. https://doi.org/10.3390/f14071285
APA StyleFinger, C. A. G., Costa, E. A., Hess, A. F., Liesenberg, V., & Bispo, P. d. C. (2023). Simulating Sustainable Forest Management Practices Using Crown Attributes: Insights for Araucaria angustifolia Trees in Southern Brazil. Forests, 14(7), 1285. https://doi.org/10.3390/f14071285

