Synonymous Codon Usage Bias in the Chloroplast Genomes of 13 Oil-Tea Camellia Samples from South China
Abstract
1. Introduction
2. Materials and Methods
2.1. Experimental Materials
2.2. Calculations of the GC Content and ENC Value
2.3. Analysis of Relative Synonymous Codon Usage (RSCU)
2.4. Neutrality Plot Construction
2.5. ENC Plot Construction
2.6. PR2 Plot Construction
2.7. Optimal Codon Analysis
2.8. Construction of a cpDNA Phylogenetic Map
3. Results and Analysis
3.1. Base Composition of Oil-Tea Camellia cpDNAs
3.2. Analysis of the RSCU of Oil-Tea Camellia cpDNAs
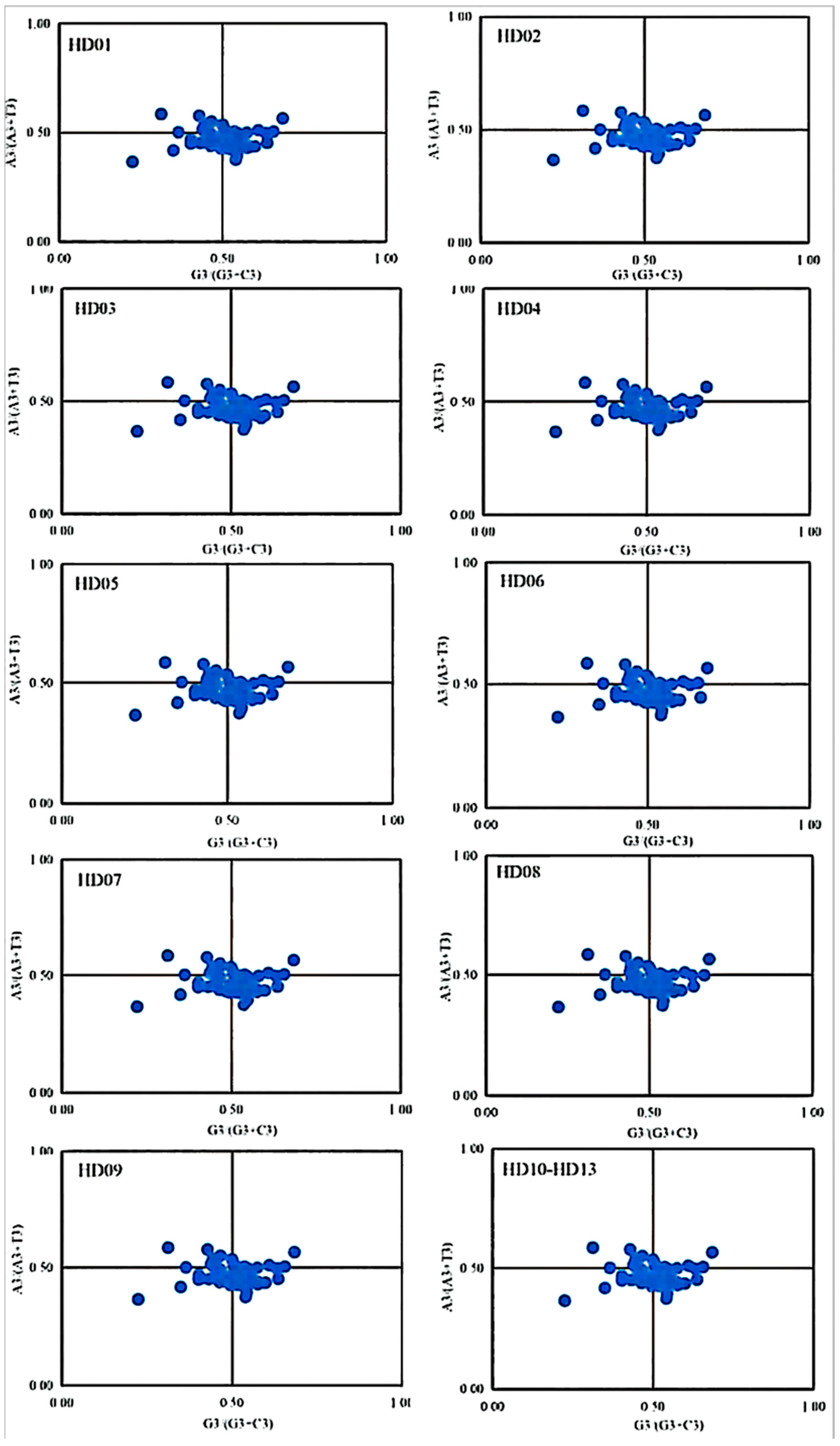
3.3. Neutrality Plot Analysis of Oil-Tea Camellia cpDNAs
3.4. ENP Plot Analysis of Oil-Tea Camellia cpDNA
3.5. PR2 Plot Analysis of Oil-Tea Camellia cpDNA
3.6. Analysis of Optimal Codons in Oil-Tea Camellia cpDNAs
3.7. Phylogenetic Analysis
4. Discussion
4.1. The Important Findings of This Paper
4.2. Comparison with Previous Similar Reports
4.3. The Value of the SCU Analysis in This Paper
5. Conclusions
Author Contributions
Funding
Institutional Review Board Statement
Informed Consent Statement
Data Availability Statement
Conflicts of Interest
References
- Liu, H.M.; Wuyun, T.N.; Du, H.Y. Analysis of characteristic of codon usage in Ref gene of Eucommia ulmoides. J. Cent. South Univ. For. Technol. 2016, 36, 8–12. (In Chinese) [Google Scholar]
- Hu, S.S.; Luo, H.; Wu, Q.; Yao, H.P. Analysis of codon bias of chloroplast genome of tartary buckwheat. Mol. Plant Breed. 2016, 14, 309–317. (In Chinese) [Google Scholar]
- Botzman, M.; Margalit, H. Variation in global Codon usage bias among prokaryotic organisms is associated with their lifestyles. Genome Biol. 2011, 12, R109. [Google Scholar] [CrossRef] [PubMed]
- Tang, X.F.; Chen, L.; Ma, Y.T. Review and Prospect of the Principle and Methods Quantifying Codon Usage Bias. Genom. Appl. Biol. 2013, 32, 660–666. (In Chinese) [Google Scholar]
- Wu, Z.J.; Zhong, J.C. Synonymous codons usage bias and its application. Biol. Bull. 2012, 47, 9–11. (In Chinese) [Google Scholar]
- Quax, T.; Claassens, N.; Söll, D.; John, V. Codon bias as a means to fine-tune gene expression. Mol. Cell 2015, 59, 149–161. [Google Scholar] [CrossRef]
- Danell, H.; Chase, C. Molecular Biology and Biotechnology of Plant Organelles; Springer: Dordrecht, The Netherlands, 2004. [Google Scholar]
- Azim, M.K.; Khan, I.A.; Zhang, Y. Characterization of mango (Mangifera indica L.) transcriptome and chloroplast genome. Plant Mol. Biol. 2014, 85, 193–208. [Google Scholar] [CrossRef]
- Suparman, S.; Pancoro, A.; Hidayat, T. Phylogenetic analysis of Mangifera based on rbcL sequences, chloroplast DNA. Sci. Pap. Ser. B Hortic. 2013, 57, 235–240. [Google Scholar]
- Xu, C.; Ben, A.L.; Cai, X.N. Analysis of synonymous codon usage in chloroplast genome of Phalaenopsis aphrodite sub sp. formosana. Mol. Plant Breed. 2010, 8, 945–950. (In Chinese) [Google Scholar]
- Shang, M.Z.; Liu, F.; Hua, J.P.; Wang, K.B. Analysis on codon usage of chloroplast genome of Gossypium hirsutum. Sci. Agric. Sin. 2011, 44, 245–253. (In Chinese) [Google Scholar]
- Wang, P.L.; Yang, L.P.; Wu, H.Y.; Long, Y.L.; Wu, S.C.; Xiao, Y.F.; Qin, Z.H.; Wang, H.Y.; Liu, H.L. Condon preference of chloroplast genome in Camellia oleifera. Guihaia 2018, 38, 135–144. (In Chinese) [Google Scholar]
- Li, J.P.; Qin, Z.; Guo, C.C.; Yang, G.Y.; Zhang, W.G. Codon bias in the chloroplast genome of Gelidocalamus tessellatus. J. Bamboo Res. 2019, 38, 79–87. (In Chinese) [Google Scholar]
- Lei, H.; Li, G.; Wang, N.Y. Analysis of codon usage bias in the chloroplast genome of Trollius chinensis Bunge. J. Shanxi Agric. Sci. 2019, 47, 1300–1305. (In Chinese) [Google Scholar]
- Chen, Y.Z. Excellent Germplasm Resources of Oil-Tea Camellia; Forestry Press: Beijing, China, 2008; p. 159. (In Chinese) [Google Scholar]
- Yao, X.H. Chinese Oil-Tea Camellia Cultivars; Forestry Press: Beijing, China, 2016; pp. 31–32. (In Chinese) [Google Scholar]
- Long, S.Y.; Yao, H.P.; Wu, Q.; Li, G.L. Analysis of compositional bias and codon usage pattern of the coding sequence in Banna virus genome. Virus Res. 2018, 258, 68–72. (In Chinese) [Google Scholar] [CrossRef] [PubMed]
- Zelasko, S.; Palaria, A.; Das, A. Optimizations to achieve high-level expression of cytochrome P450 proteins using Escherichia coli expression systems. Protein Expr. Purif. 2013, 92, 77–87. [Google Scholar] [CrossRef] [PubMed]
- Chen, J.; Guo, Y.J.; Hu, X.W.; Zhou, K.B. Comparison of the Chloroplast Genome Sequences of 13 Oil-Tea Camellia Samples and Identification of an Undetermined Oil-Tea Camellia Species From Hainan Province. Front. Plant Sci. 2022, 12, 798581. [Google Scholar] [CrossRef]
- Wright, F. The ‘effective number of codons’ used in a gene. Gene 1990, 87, 23–29. [Google Scholar] [CrossRef]
- Liu, H.; Wang, M.X.; Yue, W.J.; Xing, G.W.; Ge, Q.L.; Nie, X.J.; Song, W.N. Analysis of codon usage in the chloroplast genome of Broomcorn millet (Panicum miliaceum L.). Plant Sci. J. 2017, 35, 362–371. (In Chinese) [Google Scholar]
- Liu, Y.J.; Tian, X.P.; Li, Q. Analysis of aynonymous codon usage bias of Fraxinus pennsylvanica cpDNA. Jiangsu Agric. Sci. 2020, 48, 83–88. (In Chinese) [Google Scholar]
- Liang, H.H.; Fu, H.Y.; Li, Z.P.; Li, Y.C. Analysis on codon usage bias of chloroplast genome from chlorella. Mol. Plant Breed. 2020, 18, 5665–5673. (In Chinese) [Google Scholar]
- Yuan, X.L.; Li, Y.Q.; Zhang, J.F.; Wang, Y. Analysis of codon usage bias in the chloroplast genome of Dalbergia odorifera. Guihaia 2021, 41, 622–630. (In Chinese) [Google Scholar]
- Shen, Z.N.; Gan, Z.M.; Zhang, F.; Yi, X.Y.; Zhang, J.Z.; Wan, X.H. Analysis of codon usage patterns in citrus based on coding sequence data. BMC Genom. 2020, 21, 234. [Google Scholar] [CrossRef] [PubMed]
- Zhao, Y.; Liu, Z.; Yang, P.D.; Chen, Y.; Yang, Y. Codon bias analysis method and research progress on codon bias in Camellia sinensis. J. Tea Commun. 2016, 43, 3–7. (In Chinese) [Google Scholar]
- Sueoka, N. Translation-coupled violation of Parity Rule 2 in human genes is not the cause of heterogeneity of the DNA G + C content of third codon position. Gene 1999, 238, 53–58. [Google Scholar] [CrossRef] [PubMed]
- Zhao, S.; Deng, L.H.; Chen, F. Codon usage bias of chloroplast genome in Kandelia obovata. J. For. Environ. 2020, 40, 534–541. (In Chinese) [Google Scholar]
- Wu, X.M.; Wu, S.F.; Ren, D.M.; Zhu, Y.P.; He, F.C. The analysis method and progress in the study of codon bias. Hereditas 2007, 29, 420–426. (In Chinese) [Google Scholar] [CrossRef]
- Zhou, M.; Long, W.; Li, X. Analysis of synonymous codon usage in chloroplast genome of Populus alba. J. For. Res. 2008, 19, 293–297. [Google Scholar] [CrossRef]
- Morton, B.R. Selection on the codon bias of chloroplast and cyanelle genes in different plant and algal lineages. J. Mol. Evol. 1998, 46, 449–459. [Google Scholar] [CrossRef]
- Novembre, J.A. Accounting for background nucleotide composition when measuring codon usage bias. Mol. Biol. Evol. 2002, 19, 1390–1394. [Google Scholar] [CrossRef]
- Hu, X.Y.; Xu, Y.Q.; Han, Y.Z.; Du, S.H. Codon usage bias analysis of the chloroplast genome of Ziziphus jujuba var spinosa. J. For. Environ. 2019, 39, 621–628. (In Chinese) [Google Scholar]
- Zhao, C.L.; Peng, L.Y.; Wang, X.; Chen, J.L.; Wang, L.; Chen, H.; Lai, Z.X.; Liu, S.C. Codon bias and evolution analysis of AtGAI in Amaranthus tricolor L. J. China Agric. Univ. 2019, 24, 10–22. (In Chinese) [Google Scholar]
- Zhou, Z.; Dang, Y.; Zhou, M.; Li, L.; Yu, C.H.; Fu, J.J.; Chen, S.; Liu, Y. Codon usage is an important determinant of gene expression levels largely through its effects on transcription. Proc. Natl Acad. Sci. USA 2016, 113, E6117–E6125. [Google Scholar] [CrossRef]
- Wu, Y.Q.; Zhao, D.Q.; Tao, J. Analysis of codon usage patterns in herbaceous peony (Paeonia lactiflora Pall.) based on transcriptome data. Genes 2015, 6, 1125–1139. [Google Scholar] [CrossRef] [PubMed]
- Gu, W.J.; Zhou, T.; Ma, J.M.; Sun, X.; Lu, Z.H. Analysis of synonymous codon usage in SARS Coronavirus and other viruses in nidovirales. Virus Res. 2004, 101, 155–161. [Google Scholar] [CrossRef] [PubMed]
- Kwak, S.Y.; Lew, T.T.S.; Sweeney, C.J.; Koman, V.B.; Wong, M.H.; Bohmert-Tatarev, K.; Snell, K.D.; Seo, J.S.; Chua, N.H.; Strano, M.S. Chloroplast-selective gene delivery andexpression in planta using chitosan-complexed single-walled carbon nanotubecarriers. Nat. Nanotechnol. 2019, 14, 447–455. [Google Scholar] [CrossRef]
- Duan, H.R.; Zhang, Q.; Wang, C.M.; Li, F.; Tian, F.P.; Lu, Y.; Hu, Y.; Yang, H.S.; Cui, G.X. Analysis of codon usage patterns of the chloroplast genome in Delphinium grandiflorum L. reveals a preference for AT-ending codons as a result of major selection constraints. PeerJ 2021, 9, e10787. [Google Scholar] [CrossRef]
- Liu, H.; Lu, Y.; Lan, B.; Xu, J. Codon usage by chloroplast gene is bias in Hemiptelea davidii. J. Genet. 2020, 99, 8. [Google Scholar] [CrossRef]
- Tang, D.F.; Wei, F.; Cai, Z.Q.; Wei, Y.Y.; Khan, A.; Miao, J.H.; Wei, K.H. Analysis of codon usage bias and evolution in the chloroplast genome of Mesona chinensis Benth. Dev. Genes Evol. 2021, 231, 1–9. [Google Scholar] [CrossRef]
- Mo, R.; Ton, B.R. Strand asymmetry and codon usage bias in the chloroplast genome of Euglena gracilis. Proc. Nat. Acad. Sci. USA 1999, 96, 5123–5128. [Google Scholar]
- Liu, Q.; Xue, Q. Comparative studies on codon usage pattern of chloroplasts and their host nuclear genes in four plant species. J. Gene 2005, 84, 55–62. [Google Scholar] [CrossRef]







| Forestland | Plant’s Site | Species | Tree Age/a | Sample Symbol | |
|---|---|---|---|---|---|
| Common Name | Latin Name | ||||
| Wangsha village, Changpo town, Gaozhou city, Guangdong province | 22°0′40.87″ N 111°6′25.49″ E | Gaozhou population of Gaozhou oil-tea camellia | Camellia gauchowensis Chang | >40 | HD01 |
| Guanshan village, Shahu town, Luchuan county, Guangxi Zhuang Autonomous Region | 22°21′48.27″ N 110°12′20.55″ E | Luchuan population of Gaozhou oil-tea camellia | Camellia gauchowensis Chang | >40 | HD02 |
| Youbang village, Nalin town, Bobai city, Guangxi Zhuang Autonomous Region | 22°14′7.45″ N 109°43′53.85″ E | Bobai large fruit oil-tea camellia | Camellia gigantocarpa Hu et T. C. Huang | >40 | HD03 |
| Guangxi Research Institute of Forestry | 22°55′13.45″ N 108°21′3.85″ E | Wantian red flower oil-tea camellia | Camellia polyodonta How ex Hu | 13 | HD04 |
| Guangxi Research Institute of Forestry | 22°55′13.45″ N 108°21′3.85″ E | Small fruit oil-tea camellia | Camellia meiocarpa Hu | >40 | HD05 |
| Guangxi Research Institute of Forestry | 22°55′13.45″ N 108°21′3.85″ E | Guangning red flower oil-tea camellia | Camellia semiserrata Chi. | 16 | HD06 |
| Guangxi Research Institute of Forestry | 22°55′13.45″ N 108°21′3.85″ E | Common oil-tea camellia | Camellia oleifera Abel. | >40 | HD07 |
| Guangxi Research Institute of Forestry | 22°55′13.45″ N 108°21′3.85″ E | Xianghua oil-tea camellia | Camellia osmantha Ye CX, Ma JL et Ye H | 13 | HD08 |
| Guangxi Research Institute of Forestry | 22°55′13.45″ N 108°21′3.85″ E | Vietnam oil-tea camellia | Camellia vietnamensis T. C. Huang ex Hu | HD09 | |
| Zhongjiu village, Huishan town, Qionghai city, Hainan province | 19°5′18.30″ N 110°18′18.29″ E | Hainan oil-tea camellia | Undetermined species | >600 | HD10 |
| Xingwen village, Wangwu town, Danzhou city, Hainan province | 19°40′22.66″ N 109°20′48.84″ E | Hainan oil-tea camellia | Undetermined species | >195 | HD11 |
| Zaha village, Changhao region, Wuzhishan city, Hainan province | 18°40′31″ N 109°27′56″ E | Hainan oil-tea camellia | Undetermined species | >40 | HD12 |
| Andong village, Longtang town, Xuwen county, Guangdong province | 20°18′32.66″ N 110°20′44.86″ E | Xuwen population of Gaozhou oil-tea camellia | Camellia gauchowensis Chang | >40 | HD13 |
| Gene Category | Gene Group | Gene | GC1 | GC2 | GC3 | GCall | ENC | Plants |
|---|---|---|---|---|---|---|---|---|
| Genes for photosynthesis | ATP synthase | atpA | 55.51 | 40.16 | 23.82 | 39.83 | 42.89 | |
| atpB | 56.71 | 41.48 | 28.06–28.26 | 42.08–42.15 | 44.79–44.99 | HD04, HD05, HD07 (28.06), others (28.26) | ||
| atpE | 50.75 | 38.06 | 27.61 | 38.81 | 47.78 | |||
| atpF | 45.95 | 34.05 | 35.68–36.22 | HD03 (36.22), others (35.68) | ||||
| atpI | 49.19 | 37.90 | 26.61 | 37.90 | 44.59 | |||
| Cytochrome b/f complex | petA | 52.34 | 37.07 | 28.04 | 39.15 | 48.56 | ||
| petB | 48.61 | 41.67 | 30.56 | 40.28 | 42.69 | |||
| petD | 50.93 | 39.13 | 26.09 | 38.72 | 43.64 | |||
| NADH dehydrogenase | ndhA | 42.03 | 39.01 | 20.33–20.60 | 33.79–33.88 | 41.10–41.23 | HD01, HD09 (20.33), others (20.60) | |
| ndhB | 41.68 | 38.36 | 30.92–31.12 | 36.99–37.05 | 46.46–46.73 | HD01, HD02, HD08, HD09, HD10 (30.92), others (31.12) | ||
| ndhC | 46.28 | 33.88 | 24.79 | 34.99 | 45.99 | |||
| ndhD | 40.12 | 37.18 | 26.61–26.42 | 34.57–34.64 | 45.88–46.31 | HD08, others (26.61) | ||
| ndhE | 39.22 | 32.35–33.33 | 24.51 | 32.03–32.35 | 40.93–41.09 | HD07 (32.35), others (33.33); | ||
| ndhF | 36.58–36.85 | 35.65–35.78 | 22.70–22.83 | 31.69–31.78 | 41.66–41.73 | HD04, HD05 (36.58), 08 (36.85), others (36.72); HD03~HD07 (35.78), others (35.65); HD03~HD05 (22.83), others (22.70) | ||
| ndhG | 41.81–42.37 | 32.77 | 22.03 | 32.20–32.39 | 42.76–42.88 | HD03, HD04, HD05, HD07 (42.37), others (41.81) | ||
| ndhH | 50.76 | 36.04–36.29 | 24.37–24.62 | 37.06–37.23 | 46.64–46.69 | HD03, HD04, HD05, HD07 (36.04, 24.37), others (36.29, 24.62) | ||
| ndhI | 42.26 | 36.29–37.50 | 27.98 | 35.71–35.91 | 48.87–49.81 | HD01, HD08, HD10 (36.29), others (27.50) | ||
| ndhJ | 50.31 | 37.74 | 30.82–31.45 | 39.62–39.83 | 50.00–51.41 | HD03 (30.82), others (31.45) | ||
| ndhK | 42.98–44.84 | 41.32–43.05 | 22.87–23.55 | 35.95–36.92 | 47.22–47.24 | HD01 (42.98, 41.32, 23.55), HD03 (44.35, 42.61, 23.48), others (44.84, 43.05, 23.87) | ||
| Photosystem I | psaA | 52.20 | 43.54 | 31.56–31.69 | 42.43–42.48 | 49.13 | HD01, HD02, HD08, HD09, HD10 (31.56), others (31.69) | |
| psaB | 48.84 | 42.99 | 30.75 | 40.86 | 47.80 | |||
| Photosystem II | psbA | 49.72 | 43.50 | 32.20–32.49 | 41.90 | 40.60 | HD01, HD09 (32.20), others (32.49) | |
| psbB | 55.01 | 46.17 | 30.84–31.24 | 44.01–44.07 | 47.14–47.29 | HD01, HD09, HD10 (30.84), HD03, HD04, HD05, HD06 (31.24), others (31.04) | ||
| psbC | 53.16 | 46.41 | 31.43 | 43.67 | 43.75 | |||
| psbD | 51.69 | 43.22 | 31.36 | 42.09 | 43.19 | |||
| Rubisco large subunit | rbcL | 58.61 | 43.70 | 30.04 | 44.12 | 48.16 | ||
| ATP-dependent protease subunit p gene | clpP | 58.67 | 37.76 | 25.51 | 40.65 | 49.00 | ||
| Self-replication | Ribosomal proteins (LSU) | rpl14 | 56.10 | 36.59 | 26.02 | 39.57 | 44.21 | |
| rpl16 | 51.47 | 52.21–52.94 | 19.12 | 40.93–41.18 | 35.05–35.23 | HD06 (52.94), others (52.21) | ||
| rpl2 | 50.18 | 47.64 | 32.36 | 43.39 | 54.12 | |||
| rpl20 | 38.98 | 43.22 | 25.42–26.27 | HD08 (26.27), others (25.42) | ||||
| rpl22 | 41.03 | 37.18 | 25.00 | 34.40 | 43.00 | |||
| RNA polymerase | rpoA | 44.64 | 32.14–32.44 | 24.70–25.00 | 33.83–34.03 | 48.56–48.80 | HD04 (32.44), others (32.14); HD02~HD05, HD07 (25.00), others (24.70) | |
| rpoB | 50.14–50.33 | 38.00–38.75 | 27.73–27.82 | 38.66–38.75 | 48.31–48.37 | HD04 (50.23), HD07 (50.14), others (50.33); HD01 (38.75), HD08~HD10 (38.10), others (38.00); HD04, D05 (27.73), others (27.82) | ||
| rpoC1 | 49.85–50.00 | 37.72 | 28.22–28.36 | 38.65–38.69 | 50.08–50.15 | HD03 (49.85), others (50.00);HD04 (28.22), others (28.36) | ||
| rpoC2 | 45.60–45.81 | 37.82–37.87 | 28.44–28.58 | 37.28–37.41 | 49.18–49.29 | HD04, HD07 (45.75), HD05, HD06 (45.67), others (45.60);HD03 (37.87), others (37.82); HD01, HD09, HD10 (28.58), HD02, HD06 (28.51), HD03, HD05 (28.55), HD04, HD07, HD08 (28.44) | ||
| Ribosomal proteins (SSU) | rps11 | 52.52 | 57.55 | 20.86–21.58 | 43.65–43.88 | 47.80–48.58 | HD06 (21.58), others (20.86) | |
| rps12 | 52.10 | 50.42 | 29.41 | 43.98 | 50.23 | |||
| rps14 | 43.56 | 47.52 | 31.68 | 40.92 | 37.46 | |||
| rps18 | 35.29 | 43.14 | 26.47–25.49 | 34.64–34.97 | 34.68–35.64 | HD06 (25.49), others (26.47) | ||
| rps2 | 43.46 | 42.19 | 28.27–27.85 | 37.83–37.97 | 47.62–47.85 | HD04, HD07 (27.85), others (28.27) | ||
| rps3 | 47.03 | 31.51 | 22.83 | 33.79 | 47.33 | |||
| rps4 | 50.00 | 37.13 | 25.74 | 37.62 | 47.88 | |||
| rps7 | 51.92 | 45.51 | 23.08 | 40.17 | 45.81 | |||
| rps8 | 40.44–42.65 | 41.18 | 27.21 | 36.27–37.01 | 40.57–41.79 | HD01, HD06, HD08, HD09, HD10 (41.18), HD02 (40.44), HD03, HD05 (41.91), HD04, HD07 (42.65) | ||
| Other genes | Subunit of acetyl-CoA -carboxylase | accD | 40.44–40.64 | 35.81–36.02 | 29.38–29.58 | 35.21–35.35 | 47.84–48.28 | HD01, HD09 (40.64), others (40.44);HD04~HD07 (36.02), others (35.81);HD01, HD08~HD10 (29.58), others (29.38) |
| c-type cytochrome synthesis ccsA gene | ccsA | 33.54 | 36.96 | 24.22–24.84 | 31.57–31.78 | 47.01–47.46 | HD08 (24.84), others (24.53) | |
| Maturase | matK | 38.60–38.80 | 32.00 | 27.60–27.80 | 32.73–32.87 | 46.71–47.22 | HD03 (38.60), others (38.80); HD02, HD06, HD08 (27.80), others (27.60) | |
| Envelop membrane protein | cemA | 38.36 | 26.72 | 31.47 | 32.18 | 49.65 | ||
| Proteins of unknown function | Hypothetical chloroplast reading frames | ycf1 | 34.94–35.17 | 28.98–29.14 | 24.76–25.05 | 29.58–29.70 | 45.95–46.33 | HD01, HD03, HD09, HD10 (35.06), HD02, HD06, HD08 (35.01), HD04 (35.17), HD05 (34.94), HD07 (35.11); HD01, HD06, HD08~HD10 (29.14), HD02, HD04 (28.98), HD03 (29.08), HD05 (29.06), HD07 (28.92);HD01, HD08~HD10 (24.81), HD02, HD06 (24.76), HD03 (24.92), HD04 (24.97), HD05 (25.05), HD07 (24.87) |
| ycf2 | 41.60–41.63 | 34.34–34.38 | 37.09–37.11 | 37.69–37.70 | 53.31–53.35 | HD03, HD04, HD06 (41.60), HD01, HD02, HD05, HD07~HD10 (41.63);HD01, HD05, HD07~HD10 (34.38, 37.09), HD02 (34.34, 37.09), HD03, HD04, HD06 (34.37, 37.11) | ||
| ycf3 | 47.93 | 38.46 | 28.99 | 38.46 | 56.67 | |||
| ycf4 | 43.78 | 41.08 | 28.65–29.19 | 37.84–38.02 | 46.61–46.79 | HD01, HD07, HD09, HD10 (28.65), others (29.19) | ||
| average | 45.72–45.76 | 37.98–38.00 | 28.54–28.59 | 37.42–37.44 | 48.48–48.51 |
| GC1 (%) | GC2 (%) | GC3 (%) | GCall (%) | GC12 (%) | |
|---|---|---|---|---|---|
| GC2 (%) | 0.4430–0.4460 ** | - | - | - | - |
| GC3 (%) | 0.099–0.1230 | −0.0090–−0.0020 | - | - | - |
| GCall (%) | 0.8310–0.8340 ** | 0.7640–0.7670 ** | 0.3900–0.4020 ** | - | - |
| GC12 (%) | 0.8638–0.8667 ** | 0.8326–0.8360 ** | 0.0587–0.0731 | 0.9413–0.9427 ** | - |
| ENC | 0.1420–0.1590 | –0.1720 | 0.3290–0.3420 * | 0.1020–0.1100 | −0.00074–0.0036 |
| Gene | ENCexp. | ENCratio | Gene | ENCexp. | ENCratio | Gene | ENCexp. | ENCratio |
|---|---|---|---|---|---|---|---|---|
| accD | 51.86–52.00 | 0.14–0.15 | ndhI | 54.79 | 0.09 | rpoA | 54.88–54.20 | 0.10 |
| atpA | 50.68 | 0.15 | ndhJ | 56.36–56.79 | 0.09–0.10 | rpoB | 54.72–54.82 | 0.12 |
| atpB | 53.50–53.67 | 0.16 | ndhK | 49.12–50.00 | 0.04–0.06 | rpoC1 | 55.17 | 0.09 |
| atpE | 54.09 | 0.12 | petA | 55.45 | 0.12 | rpoC2 | 55.66–55.74 | 0.12 |
| atpF | 59.75–59.97 | 0.26–0.27 | petB | 52.26 | 0.18 | rps11 | 45.73–46.54 | −0.05–−0.04 |
| atpI | 51.86 | 0.14 | petD | 50.64 | 0.14 | rps12 | 54.75 | 0.08 |
| ccsA | 49.28–49.99 | 0.05 | psaA | 55.00–55.09 | 0.11 | rps14 | 56.71 | 0.34 |
| cemA | 56.90 | 0.13 | psaB | 54.40–54.50 | 0.12 | rps18 | 52.12–52.98 | 0.33 |
| clpP | 49.85 | 0.02 | psbA | 53.82–54.04 | 0.25 | rps2 | 53.06–53.51 | 0.10–0.11 |
| matK | 55.19–55.34 | 0.15 | psbB | 54.80 | 0.13 | rps3 | 50.76 | 0.07 |
| ndhA | 45.96–46.21 | 0.11 | psbC | 54.37 | 0.20 | rps4 | 53.18 | 0.10 |
| ndhB | 54.28–54.43 | 0.14 | psbD | 53.86 | 0.20 | rps7 | 48.81 | 0.06 |
| ndhC | 47.52 | 0.03 | rbcL | 55.09 | 0.13 | rps8 | 53.28 | 0.22 |
| ndhD | 50.43 | 0.08 | rpl14 | 52.76 | 0.16 | ycf1 | 53.16–53.39 | 0.13–0.14 |
| ndhE | 50.22 | 0.18 | rpl16 | 42.20 | 0.17 | ycf2 | 60.29–60.31 | 0.12 |
| ndhF | 47.99–48.10 | 0.13–0.14 | rpl2 | 57.36 | 0.06 | ycf3 | 56.27 | −0.01 |
| ndhG | 48.54 | 0.12 | rpl20 | 53.45–54.30 | 0.09 | ycf4 | 54.19–54.73 | 0.14–0.15 |
| ndhH | 48.75–49.26 | 0.05 | rpl22 | 49.71 | 0.14 |
| Class | Lower Limit | Upper Limit | Frequency | Probability (%) | Genes |
|---|---|---|---|---|---|
| 1 | −0.051 | 0.051 | 7 | 13.21 | ccsA, clpP, ndhC, ndhH, ndhK, rps11, ycf3 |
| 2 | 0.051 | 0.153 | 34 | 64.15 | accD, atpA, atpE, atpI, cemA, rps2, matK, ndhA, ndhB, ndhD, ndhF, ndhG, ndhI, ndhJ, petA, petD, psaA, psaB, psbB, rbcL, rpl2, rpl20, rpoA, rpoB, rpoC1, rpoC2, rps12, rps3, rps4, rps7, ycf1, ycf2, ycf4, rpl22 |
| 3 | 0.153 | 0.255 | 9 | 16.98 | atpB, ndhE, petB, psbA, psbC, psbD, rpl14, rpl16, rps8 |
| 4 | 0.255 | 0.357 | 3 | 5.66 | atpF, rps14, rps18 |
| Total | 53 | 100.00 | |||
| AA | Codon | High_RSCU | Low_RSCU | ΔRSCU | AA | Codon | High_RSCU | Low_RSCU | ΔRSCU |
|---|---|---|---|---|---|---|---|---|---|
| Phe | UUU | 1 | 1.03–1.04 | −0.04–−0.03 | Tyr | UAU | 1.48–1.5 | 1.59 | −0.11–−0.09 |
| UUC | 1 | 0.96–0.97 | 0.03–0.04 | UAC * | 0.5–0.52 | 0.41 | 0.09–0.11 | ||
| Leu | UUA * | 1.59 | 1.21 | 0.38 | TER | UAA * | 2.4 | 0.6 | 1.8 |
| UUG * | 1.59 | 1.45–1.47 | 0.12–0.14 | UAG | 0.6 | 1.8 | −1.2 | ||
| CUU * | 1.59 | 1.41 | 0.18 | His | CAU | 1.47 | 1.57 | −0.1 | |
| CUC | 0 | 0.54–0.55 | −0.55–−0.54 | CAC * | 0.53 | 0.43 | 0.1 | ||
| CUA * | 1.15 | 0.91 | 0.24 | Gln | CAA * | 1.73 | 1.37 | 0.36 | |
| CUG | 0.09 | 0.46 | −0.37 | CAG | 0.27 | 0.63 | −0.36 | ||
| Ile | AUU * | 1.32 | 1.24 | 0.08 | Asn | AAU | 1.1 | 1.51 | −0.41 |
| AUC | 0.84 | 0.76–0.77 | 0.07–0.08 | AAC * | 0.9 | 0.49 | 0.41 | ||
| AUA | 0.84 | 0.99–1.00 | −0.16–−0.15 | Lys | AAA * | 1.73–1.78 | 1.27–1.28 | 0.45–0.50 | |
| Met | AUG | 1 | 1 | 0 | AAG | 0.22–0.27 | 0.72–0.73 | −0.50–−0.45 | |
| Val | GUU * | 1.95–2 | 1.22 | 0.73–0.78 | Asp | GAU | 1.11–1.16 | 1.65 | −0.54–−0.49 |
| GUC | 0 | 0.73 | −0.73 | GAC * | 0.84–0.89 | 0.35 | 0.49–0.54 | ||
| GUA * | 1.85–1.89 | 1.19 | 0.65–0.7 | Glu | GAA * | 1.52–1.57 | 1.30–1.31 | 0.21–0.23 | |
| GUG | 0.11–0.21 | 0.86 | −0.75–−0.65 | GAG | 0.47–0.48 | 0.69–0.70 | −0.23–−0.21 | ||
| Ser | UCU * | 1.97 | 1.64 | 0.33 | Cys | UGU * | 2 | 1.35 | 0.65 |
| UCC | 0.99 | 1.22 | −0.23 | UGC | 0 | 0.65 | −0.65 | ||
| UCA | 0.63 | 1.14 | −0.51 | TER | UGA | 0 | 0.6 | −0.6 | |
| UCG | 0.45 | 0.69 | −0.24 | Trp | UGG | 1 | 1 | 0 | |
| Pro | CCU * | 1.76 | 1.32 | 0.44 | Arg | CGU * | 1.41 | 0.98 | 0.43 |
| CCC | 0.47 | 0.83–0.86 | −0.39–−0.36 | CGC | 0.21 | 0.34 | −0.13 | ||
| CCA | 1.06 | 1.14 | −0.08 | CGA * | 1.84 | 1.25–1.26 | 0.58–0.59 | ||
| CCG | 0.71 | 0.68 | 0.03 | CGG | 0.21 | 0.57 | −0.36 | ||
| Thr | ACU * | 1.95 | 1.3 | 0.65 | Ser | AGU * | 1.52 | 1.05 | 0.47 |
| ACC * | 1.07 | 0.79 | 0.28 | AGC * | 0.45 | 0.25 | 0.2 | ||
| ACA | 0.98 | 1.21 | −0.23 | Arg | AGA | 1.62 | 1.95–1.96 | −0.34–−0.33 | |
| ACG | 0 | 0.7 | −0.7 | AGG | 0.71 | 0.89–0.91 | −0.20–−0.14 | ||
| Ala | GCU * | 2.51 | 1.69 | 0.82 | Gly | GGU * | 1.91 | 0.99 | 0.92 |
| GCC | 0.2 | 0.98 | −0.78 | GGC * | 0.55 | 0.33 | 0.22 | ||
| GCA * | 1.22 | 0.9 | 0.32 | GGA | 1.17 | 1.71 | −0.54 | ||
| GCG | 0.07 | 0.43 | −0.36 | GGG | 0.37 | 0.97 | −0.6 |
Disclaimer/Publisher’s Note: The statements, opinions and data contained in all publications are solely those of the individual author(s) and contributor(s) and not of MDPI and/or the editor(s). MDPI and/or the editor(s) disclaim responsibility for any injury to people or property resulting from any ideas, methods, instructions or products referred to in the content. |
© 2023 by the authors. Licensee MDPI, Basel, Switzerland. This article is an open access article distributed under the terms and conditions of the Creative Commons Attribution (CC BY) license (https://creativecommons.org/licenses/by/4.0/).
Share and Cite
Chen, J.; Ma, W.; Hu, X.; Zhou, K. Synonymous Codon Usage Bias in the Chloroplast Genomes of 13 Oil-Tea Camellia Samples from South China. Forests 2023, 14, 794. https://doi.org/10.3390/f14040794
Chen J, Ma W, Hu X, Zhou K. Synonymous Codon Usage Bias in the Chloroplast Genomes of 13 Oil-Tea Camellia Samples from South China. Forests. 2023; 14(4):794. https://doi.org/10.3390/f14040794
Chicago/Turabian StyleChen, Jing, Wuqiang Ma, Xinwen Hu, and Kaibing Zhou. 2023. "Synonymous Codon Usage Bias in the Chloroplast Genomes of 13 Oil-Tea Camellia Samples from South China" Forests 14, no. 4: 794. https://doi.org/10.3390/f14040794
APA StyleChen, J., Ma, W., Hu, X., & Zhou, K. (2023). Synonymous Codon Usage Bias in the Chloroplast Genomes of 13 Oil-Tea Camellia Samples from South China. Forests, 14(4), 794. https://doi.org/10.3390/f14040794

