Effects of Zn Exposure on Populus simonii Seedling Growth and Its Resistance to Leaf Rust
Abstract
1. Introduction
2. Materials and Methods
2.1. Experimental Design
2.2. Experimental Materials and Treatment
2.3. Determination of Heavy Metal Content in P. simonii
2.4. Determination of Growth Indexes
2.5. Determination of Antioxidant Enzyme Activity
2.6. Effects of Zn Stress on the Chemical Defense of P. simonii
2.7. Sensitivity Analysis of P. simonii to Leaf Rust
2.8. Statistical Analysis
3. Results
3.1. Enrichment and Transport Ability of Zn in P. simonii
3.2. Effects of Zn Stress on the Growth of P. simonii
3.3. Response of Antioxidant Defense in P. simonii to Zn Stress
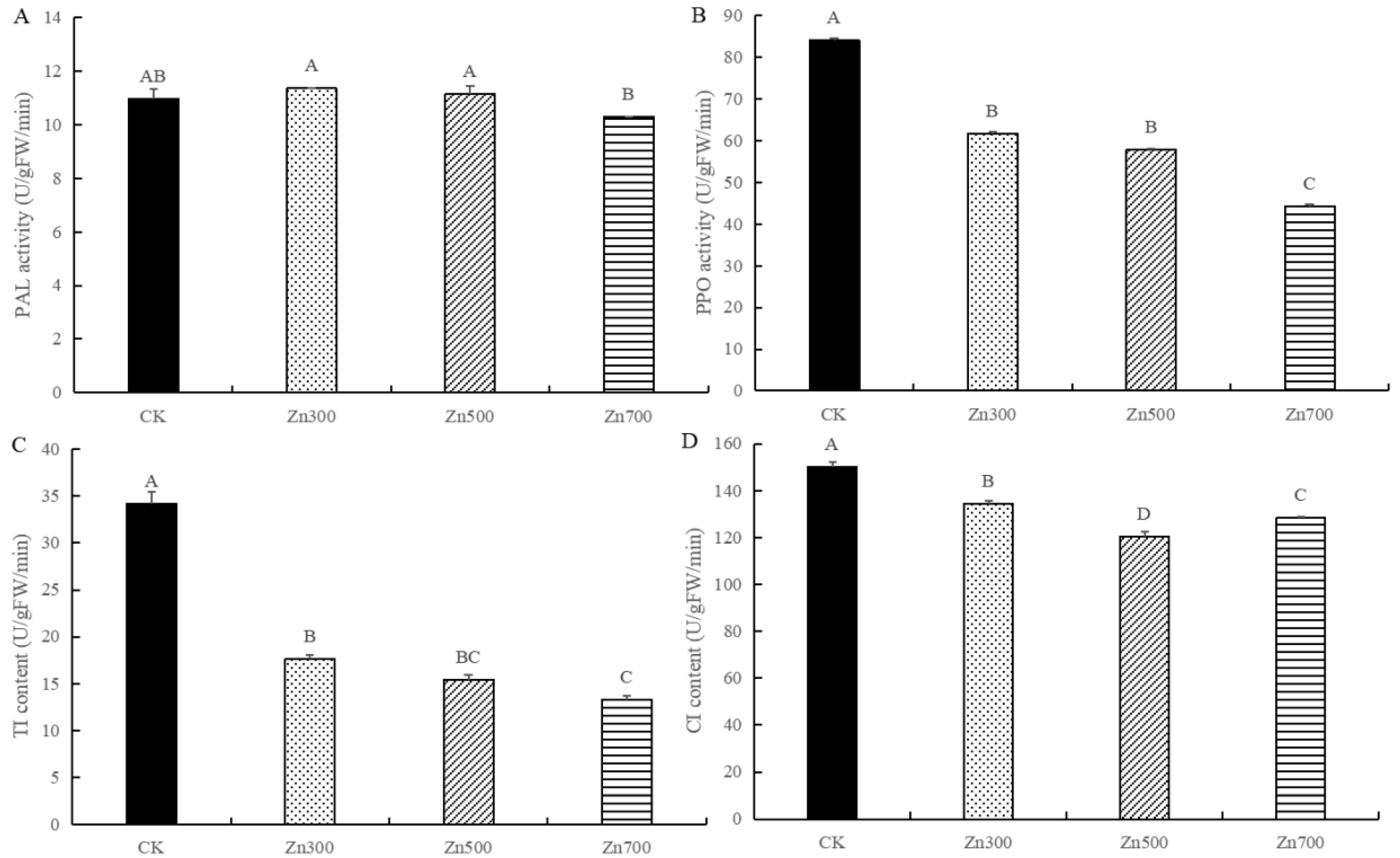
3.4. Effects of Zn Stress on Chemical Defense of P. simonii
3.5. Effects of Zn Stress on Resistance of P. simonii to Leaf Rust
3.6. Correlation Analysis between Defense Level and Incidence of P. simonii
4. Discussion
5. Conclusions
Supplementary Materials
Author Contributions
Funding
Institutional Review Board Statement
Informed Consent Statement
Data Availability Statement
Conflicts of Interest
References
- Skuza, L.; Szucko-kociuba, I.; Filip, E.; Bozek, I. Natural molecular mechanisms of plant hyperaccumulation and hypertolerance towards heavy metals. Int. J. Mol. Sci. 2022, 23, 9335. [Google Scholar] [CrossRef] [PubMed]
- Liu, J.; Kang, H.; Tao, W.; Li, H.; He, D.; Ma, L.; Tang, H.; Wu, S.; Yang, K.; Li, X. A spatial distribution-Principal component analysis (SD-PCA) model to assess pollution of heavy metals in soil. Sci. Total. Environ. 2023, 859, 160112. [Google Scholar] [CrossRef] [PubMed]
- Yu, J.; Yang, R. Study on the predictive algorithm of plant restoration under heavy metals. Sci. Program. 2021, 2021, 6193182. [Google Scholar] [CrossRef]
- Bhanse, P.; Kumar, M.; Singh, L.; Awasthi, M.K.; Qureshi, A. Role of plant growth-promoting rhizobacteria in boosting the phytoremediation of stressed soils: Opportunities, challenges, and prospects. Chemosphere 2022, 303, 134954. [Google Scholar] [CrossRef]
- Wang, S.; Xu, X.; Sun, Y.; Liu, J.; Li, H. Heavy metal pollution in coastal areas of South China: A review. Mar. Pollut. Bull. 2013, 76, 7–15. [Google Scholar] [CrossRef]
- Shi, J.; Zhao, D.; Ren, F.; Huang, L. Spatiotemporal variation of soil heavy metals in China: The pollution status and risk assessment. Sci. Total. Environ. 2023, 871, 161768. [Google Scholar] [CrossRef]
- Mahar, A.; Wang, P.; Ali, A.; Awasthi, M.K.; Lahori, A.H.; Wang, Q.; Li, R.H.; Zhang, Z.Q. Challenges and opportunities in the phytoremediation of heavy metals contaminated soils: A review. Ecotoxicol. Environ. Saf. 2016, 126, 111–121. [Google Scholar] [CrossRef]
- Huberty, M.; Steinauer, K.; Heinen, R.; Jongen, R.; Hannula, S.E.; Choi, Y.H.; Bezemer, T.M. Temporal changes in plant-soil feedback effects on microbial networks, leaf metabolomics and plant-insect interactions. J. Ecol. 2022, 110, 1328–1343. [Google Scholar] [CrossRef]
- Dhalaria, R.; Kumar, D.; Kumar, H.; Nepovimova, E.; Kuca, K.; Islam, M.T.; Verma, R. Arbuscular mycorrhizal fungi as potential agents in ameliorating heavy metal stress in plants. Agronomy 2020, 10, 815. [Google Scholar] [CrossRef]
- Nazil, F.; Mustafa, A.; Ahmad, M.; Hussain, A.; Jamil, M.; Wang, X.K.; Shakeel, Q.; Imtiaz, M.; El-Esawi, M.A. A Review on practical application and potentials of phytohormone-producing plant growth-promoting rhizobacteria for inducing heavy metal tolerance in crops. Sustainability 2020, 12, 9056. [Google Scholar] [CrossRef]
- Jiang, D.; Tan, M.T.; Guo, Q.X.; Yan, S.C. Transfer of heavy metal along food chain: A mini-review on insect susceptibility to entomopathogenic microorganisms under heavy metal stress. Pest Manag. Sci. 2021, 77, 1115–1120. [Google Scholar] [CrossRef]
- Parmar, P.; Kumari, N.; Sharma, V. Structural and function alterations in photosynthetic apparatus of plants under cadmium stress. Bot. Stud. 2013, 54, 45. [Google Scholar] [CrossRef]
- Milone, M.T.; Sgherri, C.; Clijsters, H.; Navari-Izzo, F. Antioxidative response of wheat treated with realistic concentration of cadmium. Environ. Exp. Bot. 2003, 50, 265–276. [Google Scholar] [CrossRef]
- Yaashikaa, P.R.; Kumar, P.R.; Jeevanantham, S.; Saravnan, R. A review on bioremediation approach for heavy metal detoxification and accumulation in plants. Environ. Pollut. 2022, 301, 119035. [Google Scholar] [CrossRef]
- Dalvi, A.A.; Bhalerao, S.A. Response of plants towards heavy metal toxicity: An overview pf avoidance, tolerance and uptake mechanism. Ann. Plant Sci. 2013, 2, 362–368. [Google Scholar]
- Zhou, X.Y.; Qiu, R.L.; Ying, R.R.; Zou, X.J.; Hu, P.J.; Li, Q.F.; Yu, F.M.; Zhao, X. Effects of Zn on subcellular distribution and chemical forms of Cd in Potentilla griffithii var. Velutina. J. Agric.-Environ. Sci. 2008, 27, 1066–1071. [Google Scholar]
- Fu, X.P.; Dou, C.M.; Chen, Y.X.; Chen, X.C.; Shi, Y.J.; Yu, M.G.; Xu, J. Subcellular distribution and chemical forms of cadmium in Phytolacca americana L. J. Hazard. Mater. 2011, 186, 103–107. [Google Scholar] [CrossRef]
- Saleem, M.H.; Kamran, M.; Zhou, Y.Y.; Parveen, A.; Rehman, M.; Ahmar, S.; Malik, Z.; Mustafa, A.; Anjum, R.M.A.; Wang, B.; et al. Appraising growth, oxidative stress and copper phytoextraction potential of flax (Linum usitatissimum L) grown in soil differentially spiked with copper. J. Environ. Manag. 2020, 257, 109994. [Google Scholar] [CrossRef]
- Jiang, D.; Wang, G.R.; Yan, S.C. The improved resistance against gypsy moth in Larix olgensis seedlings exposed to Cd stress association with elemental and chemical defenses. Pest Manag. Sci. 2020, 76, 1713–1721. [Google Scholar] [CrossRef]
- Iwaniuk, P.; Borusiewicz, A.; Lozowicka, B. Fluazinam and its mixtures induce diversified changes of crucial biochemical and antioxidant profile in leafy vegetable. Sci. Hortic. 2022, 298, 110988. [Google Scholar] [CrossRef]
- Llugany, M.; Martin, S.R.; Barcelo, J.; Poschenrieder, C. Endogenous jasmonic and salicylic acids levels in the Cd-hyperaccumulator Noccaea (Thlaspi) praecox exposed to fungal infection and/or mechanical stress. Plant Cell Rep. 2013, 32, 1243–1249. [Google Scholar] [CrossRef] [PubMed]
- Wang, S.; Wang, Z.; Zhang, L.; Mao, T.; Li, X.; Liu, Y.; Zhao, Y.; Ni, S.; Zhong, S.; Zhang, Z. Research progress of plant defense response. Jiangsu Agric. Sci. 2021, 49, 39–45. [Google Scholar]
- Stolpe, C.; Kramer, U.; Muller, C. Heavy metal (hyper)accumulation in leaves of Arabidopsis halleri is accompanied by a reduced performance of herbivores and shifts in leaf glucosinolate and element concentrations. Environ. Exp. Bot. 2017, 133, 78–86. [Google Scholar] [CrossRef]
- Martos, S.; Gallego, B.; Cabot, C.; Llugany, M.; Barcelo, J.; Poschenrieder, C. Zinc triggers signaling mechanisms and defense responses promoting resistance to Alternaria brassicicola in Arabidopsis thaliana. Plant Sci. 2016, 249, 13–24. [Google Scholar] [CrossRef] [PubMed]
- Dai, Z.C.; Cai, H.H.; Qi, S.S.; Li, J.; Zhai, D.L.; Wan, J.S.H.; Du, D.L. Cadmium hyperaccumulation as an inexpensive metal armor against disease in Crofton weed. Environ. Pollut. 2020, 267, 115649. [Google Scholar] [CrossRef]
- Li, X.Y.; Zhang, L.; Ren, H.Y.; Wang, X.Y.; Mi, F.G. Zinc toxicity response in Ceratoides arborescens and identification of CaMTP, a novel zinc transporter. Front. Plant Sci. 2022, 13, 976311. [Google Scholar] [CrossRef]
- Wang, Y.Q.; Kang, Y.; Yu, W.C.; Lyi, S.M.; Choi, H.W.; Xiao, E.Z.; Li, L.F.; Klessig, D.F.; Liu, J.L. AtTIP2;2 facilitates resistance to zinc toxicity via promoting zinc immobilization in the root and limiting root-to-shoot zinc translocation in Arabidopsis thaliana. Ecotox. Environ. Safe. 2022, 233, 113333. [Google Scholar] [CrossRef]
- De Oliveira, N.T.; Namorato, F.A.; Rao, S.; de Souza Cardoso, A.A.; de Rezende, P.M.; Guilherme, L.R.G.; Liu, J.; Li, L. Iron counteracts zinc-induced toxicity in soybeans. Plant Physiol. Bioch. 2023, 194, 335–344. [Google Scholar] [CrossRef]
- Bi, C.W.; Qu, Y.S.; Hou, J.; Wu, K.; Ye, N.; Yin, T.M. Deciphering the Multi-Chromosomal Mitochondrial Genome of Populus simoni. Front. Plant Sci. 2022, 13, 914635. [Google Scholar] [CrossRef]
- Jiang, D.; Wang, Y.Y.; Yan, S.C. Effects of Zn stress on growth development and chemical defense of Populus alba ‘berolinensis’ seedings. J. Beijing For. Univ. 2018, 40, 42–48. [Google Scholar]
- Jiang, Y.; Jiang, S.; Yan, X.; Qin, Z.; Jia, C.; Li, Z.; Zhang, J.; Huang, R. The mobility of cadmium and lead in the soil-mulberry-silkworm system. Chemosphere 2020, 242, 125179. [Google Scholar] [CrossRef]
- Zhu, X. Effects of different extracted conditions on SOD, POD, and CAT enzyme activities in plant tissues. Food Sci. Technol. 2018, 5, 48. [Google Scholar]
- Feng, L.Z.; Chen, Q.Z.; Guo, W.S.; Su, L.Y.; Zhu, J.H. Relationship between eucalyptus resistance to dieback and secondary metabolism. Chin. J. Eco-Agric. 2008, 2, 426–430. [Google Scholar] [CrossRef]
- Kumar, R.; Lvy, N.; Bhattacharya, S.; Dey, A.; Sharma, P. Coupled effects of microplastics and heavy metals on plants: Uptake, bioaccumulation, and environmental health perspectives. Sci. Total Environ. 2022, 836, 155619. [Google Scholar] [CrossRef]
- Alam, I.; Alam, M.; Khan, A.; Saeed-ul, H.; Ayaz, A.; Jalal, A.; Bhat, J.A. Biochar supplementation regulates growth and heavy metal accumulation in tomato grown in contaminated soils. Physiol. Plant. 2021, 173, 340–351. [Google Scholar] [CrossRef]
- Molina, L.; Segura, A. Biochemical and metabolic plant responses toward polycyclic aromatic hydrocarbons and heavy metals present in atmospheric pollution. Plants 2021, 10, 2305. [Google Scholar] [CrossRef]
- Khan, Z.; Fan, X.; Khan, M.N.; Khan, M.A.; Zhang, K.; Fu, Y.; Shen, H. The toxicity of heavy metals and plant signaling facilitated by biochar application: Implications for stress mitigation and crop production. Chemosphere 2022, 308, 136466. [Google Scholar] [CrossRef]
- Xu, W.; Wang, H.; Li, W.; Liu, J.; Li, Y.; Xiong, Z. Growth and uptake response of hyperaccumulator ryegrass to Zn stress. J. Soil Water Conserv. 2006, 3, 43–46. [Google Scholar]
- Heredia, J.B.; Cisneros-Zevallos, L. The effect of exogenous ethylene and methyl jasmonate on PAL activity, phenolic profiles and antioxidant capacity of carrots (Daucus carota) under different wounding intensities. Postharvest Biol. Technol. 2009, 51, 242–249. [Google Scholar] [CrossRef]
- Jiang, D.; Yan, S. MeJA is more effective than JA in inducing defense responses in Larix olgensis. Arthropod-Plant Interact. 2018, 12, 49–56. [Google Scholar] [CrossRef]
- Madadkhah, E.; Lotfi, M.; Nabipour, A.; Rahmanpour, S.; Banihashemi, Z.; Shoorooei, M. Enzymatic activities in roots of melon genotypes infected with Fusarium oxysporum f. sp melonis race 1. Sci. Hortic. 2012, 135, 171–176. [Google Scholar] [CrossRef]
- Kim, E.; Kim, Y.; Yeam, I. Transgenic expression of a viral cystatin gene cpBV-CST1 in tobacco confers insect resistance. Environ. Entomol. 2016, 5, 5. [Google Scholar]
- Lin, T.; Lu, Q.; Zheng, Z.; Li, S.; Li, S.; Liu, Y.; Zhu, T.; Chen, L.; Yang, C.; Han, S. Soil cadmium stress affects the phyllosphere microbiome and associated pathogen resistance differently in male and female poplars. J. Exp. Bot. 2023, 74, 2188–2202. [Google Scholar] [CrossRef] [PubMed]
- Morkunas, I.; Wozniak, A.; Mai, V.C.; Rucinska-Sobkowiak, R.; Jeandet, P. The role of heavy metals in plant response to biotic stress. Molecules 2018, 23, 2320. [Google Scholar] [CrossRef]
- Gallego, B.; Martos, S.; Cabot, C.; Barcelo, J.; Poschenrieder, C. Zinc hyperaccumulation substitutes for defense failures beyond salicylate and jasmonate signaling pathways of Alternaria brassicicola attack in Noccaea caerulescens. Physiol. Plantrum 2017, 159, 401–415. [Google Scholar] [CrossRef]
- Poschenrieder, C.; Tolrà, R.; Barceló, J. Can metals defend plants against biotic stress? Trends Plant Sci. 2006, 11, 288–295. [Google Scholar] [CrossRef]




| Severity Index | Incidence Degree |
|---|---|
| 0 | Disease-free leaves |
| 1 | Infected leaves with less than 1/4 of the leaf area |
| 2 | Infected leaves with 1/4–1/2 of the leaf area |
| 3 | Infected leaves with 1/2–3/4 of the leaf area |
| 4 | Infected leaves with more than 3/4 of the leaf area |
| Groups | Plant Height (cm) | Root Fresh Weight (g) | Root Dry Weight (g) | Stem Fresh Weight (g) | Stem Dry Weight (g) | Leaf Fresh Weight (g) | Leaf Dry Weight (g) |
|---|---|---|---|---|---|---|---|
| CK | 134.5 ± 5.54A | 10.18 ± 0.55A | 7.12 ± 0.24A | 23.79 ± 4.3A | 14.45 ± 2.76A | 30.77 ± 6.05A | 14.45 ± 2.76A |
| Zn300 | 95.9 ± 4.54B | 7.19 ± 0.12C | 4.9 ± 0.23B | 20.25 ± 3.66AB | 10.9 ± 1.42AB | 25.78 ± 4.06AB | 10.9 ± 1.42AB |
| Zn500 | 125.4 ± 7.14A | 8.8 ± 0.57B | 5.47 ± 0.47B | 19.35 ± 2.65AB | 11.19 ± 1.47AB | 25.44 ± 2.89AB | 11.19 ± 1.47AB |
| Zn700 | 83.9 ± 1.15B | 6.09 ± 0.27C | 5.32 ± 0.43B | 12.27 ± 0.5B | 5.96 ± 0.21B | 14.59 ± 0.59B | 5.96 ± 0.21B |
| CAT | SOD | PAL | PPO | TI | CI | Zn Content | |
|---|---|---|---|---|---|---|---|
| Disease incidence | −0.01 | −0.05 | −0.32 | −0.19 | −0.18 | −0.31 | 0.26 |
| Disease index | −0.54 | −0.52 | −0.27 | −0.95 * | −0.90 * | −0.75 * | 0.91* |
Disclaimer/Publisher’s Note: The statements, opinions and data contained in all publications are solely those of the individual author(s) and contributor(s) and not of MDPI and/or the editor(s). MDPI and/or the editor(s) disclaim responsibility for any injury to people or property resulting from any ideas, methods, instructions or products referred to in the content. |
© 2023 by the authors. Licensee MDPI, Basel, Switzerland. This article is an open access article distributed under the terms and conditions of the Creative Commons Attribution (CC BY) license (https://creativecommons.org/licenses/by/4.0/).
Share and Cite
Gao, L.; Zhang, A.; Yan, S. Effects of Zn Exposure on Populus simonii Seedling Growth and Its Resistance to Leaf Rust. Forests 2023, 14, 783. https://doi.org/10.3390/f14040783
Gao L, Zhang A, Yan S. Effects of Zn Exposure on Populus simonii Seedling Growth and Its Resistance to Leaf Rust. Forests. 2023; 14(4):783. https://doi.org/10.3390/f14040783
Chicago/Turabian StyleGao, Lulu, Aoying Zhang, and Shanchun Yan. 2023. "Effects of Zn Exposure on Populus simonii Seedling Growth and Its Resistance to Leaf Rust" Forests 14, no. 4: 783. https://doi.org/10.3390/f14040783
APA StyleGao, L., Zhang, A., & Yan, S. (2023). Effects of Zn Exposure on Populus simonii Seedling Growth and Its Resistance to Leaf Rust. Forests, 14(4), 783. https://doi.org/10.3390/f14040783
