Psychological Effects of Forest Healing Camps on Atopic Dermatitis and Their Families
Abstract
1. Introduction
2. Materials and Methods
2.1. Research Method
2.2. Study Subjects
2.3. Study Site
2.4. Forest Healing Program
2.5. Measuring Tool
2.6. Result Analysis Method
3. Results
3.1. Characteristics of the Subject
3.2. Revised Children’s Manifest Anxiety Scale: RCMASS
3.3. Korean Version of the Parenting Stress Index: K-PSI-SF
3.4. Comparison of the Effects between the One-Night and Two-Day Program and the Two-Night and Three-Day Program
3.5. A Comparison of the Effects of Forest Healing Program on the Site
3.6. Hedges’ g Effect Size
3.6.1. Effect Size According to Subdomain
3.6.2. Comparison of the Effects of One-Night and Two-Day Program and Two-Night and Three-Day Program
3.6.3. A Comparison of the Effects of Forest Healing Program on the Site
4. Discussion
5. Conclusions
Author Contributions
Funding
Data Availability Statement
Acknowledgments
Conflicts of Interest
References
- Draelos, Z.D.; Feldman, S.R.; Berman, B.; Olivadoti, M.; Sierka, D.; Tallman, A.M.; Zielinski, M.A.; Ports, W.C.; Baldwin, S. Tolerability of Topical Treatments for Atopic Dermatitis. Dermatol. Ther. 2019, 9, 71–102. [Google Scholar] [CrossRef] [PubMed]
- Eichenfield, L.F.; Tom, W.L.; Chamlin, S.L.; Feldman, S.R.; Hanifin, J.M.; Simpson, E.L.; Berger, T.G.; Bergman, J.N.; Cohen, D.E.; Cooper, K.D. Guidelines of care for the management of atopic dermatitis: Section Diagnosis and assessment of atopic dermatitis. J. Am. Acad. Dermatol. 2014, 70, 338–351. [Google Scholar] [CrossRef] [PubMed]
- Kay, J.; Gawkrodger, D.J.; Mortimer, M.J.; Jaron, A.G. The prevalence of childhood atopic eczema in a general population. J. Am. Acad. Dermatol. 1994, 30, 35–39. [Google Scholar] [CrossRef] [PubMed]
- Wojnarowska, F.; Eady, R.; Burge, S.; Champion, R.; Burton, J.; Burns, D.; Breathnach, S. Dermatitis herpetiformis. In Textbook of Dermatology; Champion, R.H., Burton, J.L., Burns, D.A., Breathnach, S.M., Eds.; Blackwell Science: Oxford, UK, 1998; Volume 3, pp. 1888–1892. [Google Scholar]
- Schmied, C.; Saurat, J.-H. Epidemiology of atopic eczema. In Handbook of Atopic Eczema; Ruzicka, T., Ring, J., Przybilla, B., Eds.; Springer: Berlin/Heidelberg, Germany, 1991; pp. 9–14. [Google Scholar]
- Larsen, F.S.; Diepgen, T.; Svensson, Å. The occurrence of atopic dermatitis in North Europe: An international questionnaire study. J. Am. Acad. Dermatol. 1996, 34, 760–764. [Google Scholar] [CrossRef]
- Hay, R.J.; Johns, N.E.; Williams, H.C.; Bolliger, I.; Dellavalle, R.P.; Margolis, D.J.; Marks, R.; Naldi, L.; Weinstock, M.A.; Wulf, S.K.; et al. The Global Burden of Skin Disease in 2010: An Analysis of the Prevalence and Impact of Skin Conditions. J. Investig. Dermatol. 2014, 134, 1527–1534. [Google Scholar] [CrossRef]
- Reuveni, H.; Chapnick, G.; Tal, A.; Tarasiuk, A. Sleep fragmentation in children with atopic dermatitis. Arch. Pediatr. Adolesc. Med. 1999, 153, 249–253. [Google Scholar] [CrossRef]
- Linnet, J.; Jemec, G. An assessment of anxiety and dermatology life quality in patients with atopic dermatitis. Br. J. Dermatol. 1999, 140, 268–272. [Google Scholar] [CrossRef]
- Jowett, S.; Ryan, T. Skin disease and handicap: An analysis of the impact of skin conditions. Soc. Sci. Med. 1985, 20, 425–429. [Google Scholar] [CrossRef]
- Long, C.C.; Funnell, C.; Collard, R.; Finlay, A. What do members of the National Eczema Society really want? Clin. Exp. Dermatol. 1993, 18, 516–522. [Google Scholar] [CrossRef]
- Kurwa, H.; Finlay, A.Y. Dermatology in-patient management greatly improves life quality. Br. J. Dermatol. 1995, 133, 575–578. [Google Scholar] [CrossRef]
- Eun, H.C.; Finlay, A. Measurement of Atopic Dermatitis Disability. Ann. Dermatol. 1990, 2, 9–12. [Google Scholar] [CrossRef]
- Salek, M.; Finlay, A.Y.; Luscombe, D.K.; Allen, B.; Berth-Jones, J.; Camp, R.; Graham-Brown, R.; Khan, G.; Marks, R.; Motleyj, R. Cyclosporin greatly improves the quality of life of adults with severe atopic dermatitis. A randomized, double-blind, placebo-controlled trial. Br. J. Dermatol. 1993, 129, 422–430. [Google Scholar] [CrossRef] [PubMed]
- Guyatt, G.H.; Feeny, D.H.; Patrick, D.L. Measuring health-related quality of life. Ann. Intern. Med. 1993, 118, 622–629. [Google Scholar] [CrossRef] [PubMed]
- Anderson, R.T.; Rajagopalan, R. Development and validation of a quality of life instrument for cutaneous diseases. J. Am. Acad. Dermatol. 1997, 37, 41–50. [Google Scholar] [CrossRef]
- Williams, H.C. A 10-year-old girl with atopic dermatitis reports itching that has recently become relentless, resulting in sleep loss. Her mother has been reluctant to treat the girl with topical corticosteroids, because she was told that they damage the skin, but she is exhausted and wants relief for her child. How should the problem be managed? N. Engl. J. Med. 2005, 352, 2314–2324. [Google Scholar]
- Chamlin, S.L.; Mattson, C.L.; Frieden, I.J.; Williams, M.L.; Mancini, A.J.; Cella, D.; Chren, M.-M. The price of pruritus: Sleep disturbance and cosleeping in atopic dermatitis. Arch. Pediatr. Adolesc. Med. 2005, 159, 745–750. [Google Scholar] [CrossRef]
- Daud, L.R.; Garralda, M.E.; David, T.J. Psychosocial adjustment in preschool children with atopic eczema. Arch. Dis. Child. 1993, 69, 670–676. [Google Scholar] [CrossRef]
- Yaghmaie, P.; Koudelka, C.W.; Simpson, E.L. Mental health comorbidity in patients with atopic dermatitis. J. Allergy Clin. Immunol. 2012, 131, 428–433. [Google Scholar] [CrossRef]
- Paradisi, M.; Pedicelli, C.; Paradisi, A.; El Hachem, M.; Rota, C.; Burroni, A.G.; Andreoli, E. Dermatitis due to self-aggressive behaviors in pediatric age. Eur. J. Pediatr. Dermatol. 2013, 23, 203–213. [Google Scholar]
- Lewis-Jones, M.S.; Finlay, A.Y.; Dykes, P.J. The infants’ dermatitis quality of life index. Br. J. Dermatol. 2001, 144, 104–110. [Google Scholar] [CrossRef]
- Su, J.C.; Kemp, A.S.; Varigos, G.A.; Nolan, T.M. Atopic eczema: Its impact on the family and financial cost. Arch. Dis. Child. 1997, 76, 159–162. [Google Scholar] [CrossRef] [PubMed]
- Jordan, J.M.; Whitlock, F.A. Emotions and the Skin: The Conditioning of Scratch Responses in Cases of Atopic Dermatitis. Br. J. Dermatol. 1972, 86, 574–585. [Google Scholar] [CrossRef] [PubMed]
- Ginsburg, I.H.; Prystowsky, J.H.; Kornfeld, D.S.; Wolland, H. Role of Emotional Factors in Adults with Atopic Dermatitis. Int. J. Dermatol. 1993, 32, 656–660. [Google Scholar] [CrossRef] [PubMed]
- Hashiro, M.; Okumura, M. Anxiety, depression and psychosomatic symptoms in patients with atopic dermatitis: Comparison with normal controls and among groups of different degrees of severity. J. Dermatol. Sci. 1997, 14, 63–67. [Google Scholar] [CrossRef]
- King, R.M.; Wilson, G.V. Use of a diary technique to investigate psychosomatic relations in atopic dermatitis. J. Psychosom. Res. 1991, 35, 697–706. [Google Scholar] [CrossRef]
- Garrie, E.V.; Garrie, S.A.; Mote, T. Anxiety and atopic dermatitis. J. Consult. Clin. Psychol. 1974, 42, 742. [Google Scholar] [CrossRef]
- KFS (Korea Forest Service). 2023. Available online: https://www.forest.go.kr (accessed on 15 January 2023). (In Korean)
- Park, B.-J.; Tsunetsugu, Y.; Kasetani, T.; Hirano, H.; Kagawa, T.; Sato, M.; Miyazaki, Y. Physiological effects of shinrin-yoku (taking in the atmosphere of theforest)—Using salivary cortisol and cerebral activity as indicators. J. Physiol. Anthropol. 2007, 26, 123–128. [Google Scholar] [CrossRef]
- Sonntag-Öström, E.; Stenlund, T.; Nordin, M.; Lundell, Y.; Ahlgren, C.; Fjellman-Wiklund, A.; Järvholm, L.S.; Dolling, A. “Nature’s effect on my mind”—Patients’ qualitative experiences of a forest-based rehabilitation programme. Urban For. Urban Green. 2015, 14, 607–614. [Google Scholar] [CrossRef]
- Mao, G.X.; Lan, X.G.; Cao, Y.B.; Chen, Z.M.; He, Z.H.; Lv, Y.D.; Wang, Y.Z.; Hu, X.L.; Wang, G.F.; Yan, J. Effects of short-term forest bathing on human health in a broad-leaved evergreen forest in Zhejiang Province, China. Biomed. Environ. Sci. 2012, 25, 317–324. [Google Scholar]
- Berman, M.G.; Jonides, J.; Kaplan, S. The Cognitive Benefits of Interacting with Nature. Psychol. Sci. 2008, 19, 1207–1212. [Google Scholar] [CrossRef]
- Peen, J.; Schoevers, R.A.; Beekman, A.T.; Dekker, J. The current status of urban-rural differences in psychiatric disorders. Acta Psychiatr. Scand. 2010, 121, 84–93. [Google Scholar] [CrossRef] [PubMed]
- Van Den Berg, A.E.; Maas, J.; Verheij, R.A.; Groenewegen, P.P. Green space as a buffer between stressful life events and health. Soc. Sci. Med. 2010, 70, 1203–1210. [Google Scholar] [CrossRef] [PubMed]
- Shin, W.S.; Shin, C.S.; Yeoun, P.S.; Kim, J.J. The influence of interaction with forest on cognitive function. Scand. J. For. Res. 2011, 26, 595–598. [Google Scholar] [CrossRef]
- Morita, E.; Fukuda, S.; Nagano, J.; Hamajima, N.; Yamamoto, H.; Iwai, Y.; Nakashima, T.; Ohira, H.; Shirakawa, T. Psychological effects of forest environments on healthy adults: Shinrin-yoku (forest-air bathing, walking) as a possible method of stress reduction. Public Health 2007, 121, 54–63. [Google Scholar] [CrossRef] [PubMed]
- Shin, W.S.; Shin, C.S.; Yeoun, P.S. The influence of forest therapy camp on depression in alcoholics. Environ. Health Prev. Med. 2011, 17, 73–76. [Google Scholar] [CrossRef]
- Kim, I.-D.; Koo, C.-D. A Study of Walking, Viewing and Fragrance-based Forest Therapy Programs Effect on Living Alone Adults’ Dementia Prevention. Korean J. Environ. Ecol. 2019, 33, 107–115. [Google Scholar] [CrossRef]
- Lee, I.; Bang, K.; Kim, S.; Choi, H.; Lee, B.; Song, M. Effect of Forest Program on Atopic Dermatitis in Children—A Systematic Review. J. Korean Inst. For. Recreat. 2016, 20, 1–13. [Google Scholar] [CrossRef]
- Yoo, Y.; Lee, S.M.; Seo, S.C.; Choung, J.T.; Lee, S.J.; Park, S.J.; Park, C.W. The clinical and immunological effects of forest camp on childhood environmental diseases. J. Korean Inst. For. Recreat. 2011, 15, 85–93. [Google Scholar]
- Shin, W.S.; Kim, S.K.; Yeon, P.S.; Lee, J.H. Effects of Phytoncides on Psychophysical Responses. J. Korean Inst. For. Recreat. 2010, 14, 85–91. [Google Scholar] [CrossRef]
- Cho, Y.; Kim, D.; Lee, K.; Lee, H.; Lee, Y. A study on effect of forest related programs based on the meta-analysis. J. Korean Inst. For. Recreat. 2015, 19, 1–13. [Google Scholar]
- Yoo, R. Study on the Practical Use of the Forest Therapeutic Effect. J. For. Sci. 2007, 70, 45–60. [Google Scholar]
- Shin, W.; Yeoun, P.; Lee, J. The impact that a forest experience influences on a human mental state stability. J. Korean Inst. For. Recreat. 2007, 11, 37–43. [Google Scholar]
- Kim, E.I.; Hwang, S.H.; Shin, W.S.; An, K.W. Physiological effect of forest types: Focused on brain wave and pulsation. J. Kor. Inst. Forest Recreat. 2002, 6, 43–48. [Google Scholar]
- Kim, E.; Song, T.; An, K.; Tada, M. Forest spatial image evaluation for recreation management. J. Rural Tour. 2002, 9, 90–101. [Google Scholar]
- Cho, S. A study on recovery of wellness healing forest. J. Korean Inst. Cult. Prod. Des. 2015, 41, 81–96. [Google Scholar]
- Park, S.; Kim, S.; Kim, G.; Choi, Y.; Kim, E.; Paek, D. Evidence-based status of forest healing program in South Korea. Int. J. Environ. Res. Public Health 2021, 18, 10368. [Google Scholar] [CrossRef]









| One-Night and Two-Day | Two-Night and Three-Day | Total | ||
|---|---|---|---|---|
| Children | Male | 320 (52.29) | 153 (54.45) | 473 (52.97) |
| Female | 292 (47.71) | 128 (45.55) | 420 (47.03) | |
| Total | 612 (100) | 281 (100) | 893 (100) | |
| Caregiver | Male | 243 (51.59) | 168 (56.95) | 411 (53.66) |
| Female | 228 (48.41) | 127 (43.05) | 355 (46.34) | |
| Total | 471 (100) | 295 (100) | 766 (100) |
| S. No. (From Figure 1) | Name | Forest Type |
|---|---|---|
| 1 | Chuncheon SoopCheWon | Korean pine Mixed forest of soft and hardwood |
| 2 | Hoengseong SoopCheWon | Larch |
| 3 | Forest Healing Center | Mixed forest of soft and hardwood pine |
| 4 | Chilgok SoopCheWon | Other hardwoods Other oak |
| 5 | Cheongdo SoopCheWon | Other oak |
| 6 | Naju SoopCheWon | Pine |
| 7 | Jangseong SoopCheWon | Other hardwoods |
| 8 | Daejeon SoopCheWon | Pitch pine and pine |
| Time | Chilgok | Hoengseong | Jangseong | Healing Center | Cheongdo | |||||
|---|---|---|---|---|---|---|---|---|---|---|
| Day 1 | Day 2 | Day 1 | Day 2 | Day 1 | Day 2 | Day 1 | Day 2 | Day 1 | Day 2 | |
| AM | B | C | B | B | B | |||||
| PM | A, D | A, B, D | D | C | C, D | |||||
| Time | Chilgok | Hoengseong | Jangseong | Healing Center | ||||||||
|---|---|---|---|---|---|---|---|---|---|---|---|---|
| Day 1 | Day 2 | Day 3 | Day 1 | Day 2 | Day 3 | Day 1 | Day 2 | Day 3 | Day 1 | Day 2 | Day 3 | |
| AM | B | C | B | B | ||||||||
| PM | A, D | A, B, D | D | C | ||||||||
| Cheongdo | Daejeon | Chuncheon | Naju | |||||||||
| AM | B | B | A | C | D | D | D | B | ||||
| PM | A, B, D | D | A, C, D | D | D | B, C | C, D | A, B, D | A, B, D | |||
| Variables | Pre | Post | t | |||
|---|---|---|---|---|---|---|
| Mean | SD | Mean | SD | |||
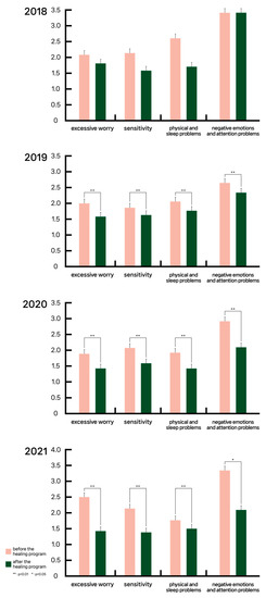
| 2018 | Excessive worry | 2.08 | 1.69 | 1.85 | 2.25 | 0.38 |
| Sensitivity | 2.15 | 1.83 | 1.92 | 1.90 | 0.61 | |
| Physical and sleep problems | 2.62 | 2.06 | 1.69 | 2.05 | 1.37 | |
| Negative emotions and attention problems | 3.38 | 2.34 | 3.38 | 3.79 | 0.00 | |
| 2019 | Excessive worry | 2.00 | 1.96 | 1.62 | 1.93 | 5.61 |
| Sensitivity | 1.84 | 1.57 | 1.65 | 1.67 | 3.29 | |
| Physical and sleep problems | 2.04 | 1.76 | 1.74 | 1.82 | 4.76 | |
| Negative emotions and attention problems | 2.67 | 2.30 | 2.28 | 2.35 | 4.75 | |
| 2020 | Excessive worry | 1.87 | 1.84 | 1.42 | 1.74 | 2.77 |
| Sensitivity | 2.05 | 1.64 | 1.60 | 1.50 | 2.92 | |
| Physical and sleep problems | 1.91 | 1.79 | 1.43 | 1.58 | 3.28 | |
| Negative emotions and attention problems | 2.89 | 2.07 | 2.06 | 2.03 | 4.65 | |
| 2021 | Excessive worry | 2.52 | 1.99 | 1.44 | 1.74 | 9.99 |
| Sensitivity | 2.20 | 1.59 | 1.39 | 1.44 | 9.25 | |
| Physical and sleep problems | 2.23 | 1.75 | 1.53 | 1.58 | 2.12 | |
| Negative emotions and attention problems | 3.31 | 2.44 | 2.05 | 2.00 | 8.50 | |
| Variables | Pre | Post | t | |||
|---|---|---|---|---|---|---|
| Mean | SD | Mean | SD | |||
| 2018 | Parent’s pain | 30.82 | 11.61 | 24.27 | 7.46 | 2.96 |
| Dysfunctional interaction | 24.18 | 6.85 | 19.55 | 5.79 | 2.26 | |
| Difficult children | 24.45 | 10.18 | 13.36 | 7.54 | 0.46 | |
| 2019 | Parent’s pain | 31.29 | 7.89 | 27.55 | 8.05 | 10.08 |
| Dysfunctional interaction | 23.05 | 7.50 | 21.10 | 6.89 | 5.27 | |
| Difficult children | 31.54 | 8.31 | 28.85 | 8.14 | 7.13 | |
| 2020 | Parent’s pain | 32.19 | 8.57 | 27.00 | 7.95 | 6.24 |
| Dysfunctional interaction | 23.99 | 7.78 | 22.07 | 6.25 | 3.06 | |
| Difficult children | 28.53 | 9.42 | 25.26 | 7.38 | 3.96 | |
| 2021 | Parent’s pain | 32.30 | 8.78 | 27.35 | 8.69 | 9.63 |
| Dysfunctional interaction | 25.46 | 8.32 | 22.23 | 6.55 | 7.17 | |
| Difficult children | 28.55 | 8.41 | 24.83 | 7.68 | 8.10 | |
| Variables | Pre | Post | t | ||
|---|---|---|---|---|---|
| Mean | SD | Mean | SD | ||
| One-night and two-day | 8.62 | 6.09 | 7.19 | 6.36 | 7.92 |
| Two-night and three-day | 9.76 | 5.81 | 6.40 | 5.16 | 9.83 |
| Variables | Pre | Post | t | ||
|---|---|---|---|---|---|
| Mean | SD | Mean | SD | ||
| One-night and two-day | 85.47 | 21.03 | 76.55 | 20.11 | 10.70 |
| Two-night and three-day | 86.32 | 22.94 | 74.41 | 20.29 | 9.38 |
| Variables | Site | ||||||||
|---|---|---|---|---|---|---|---|---|---|
| Chuncheon | Hoengseong | Forest Healing Center | Chilgok | Cheongdo | Naju | Jangseong | Daejeon | ||
| Children | Excessive worry | 0.28 | 0.87 | 0.53 | 0.79 | 0.65 | 0.59 | 0.34 | 0.21 |
| Sensitivity | 0.44 | 0.54 | 0.55 | 0.90 | 0.27 | 0.66 | 0.15 | 0.22 | |
| Physical and sleep problems | 0.39 | 0.41 | 0.41 | 0.87 | 0.14 | 0.33 | 0.17 | 0.17 | |
| Negative emotions and attention problems | 0.33 | 0.47 | 0.68 | 0.98 | 0.06 | 0.75 | 0.31 | 0.26 | |
| Total | 0.33 | 0.57 | 0.56 | 0.89 | 0.28 | 0.60 | 0.25 | 0.21 | |
| Caregivers | Parent’s pain | 0.59 | 0.79 | 0.48 | 0.86 | 0.60 | 0.98 | 0.43 | 0.83 |
| Dysfunctional interaction | 0.40 | 0.24 | 0.42 | 0.86 | 0.43 | 0.57 | 0.49 | 0.36 | |
| Difficult children | 0.42 | 0.03 | 0.43 | 0.63 | 0.62 | 0.07 | 0.22 | 0.36 | |
| Total | 0.48 | 0.30 | 0.45 | 0.78 | 0.55 | 0.49 | 0.37 | 0.55 | |
Disclaimer/Publisher’s Note: The statements, opinions and data contained in all publications are solely those of the individual author(s) and contributor(s) and not of MDPI and/or the editor(s). MDPI and/or the editor(s) disclaim responsibility for any injury to people or property resulting from any ideas, methods, instructions or products referred to in the content. |
© 2023 by the authors. Licensee MDPI, Basel, Switzerland. This article is an open access article distributed under the terms and conditions of the Creative Commons Attribution (CC BY) license (https://creativecommons.org/licenses/by/4.0/).
Share and Cite
Kim, S.; Choi, Y.; Kim, G.; Park, S. Psychological Effects of Forest Healing Camps on Atopic Dermatitis and Their Families. Forests 2023, 14, 758. https://doi.org/10.3390/f14040758
Kim S, Choi Y, Kim G, Park S. Psychological Effects of Forest Healing Camps on Atopic Dermatitis and Their Families. Forests. 2023; 14(4):758. https://doi.org/10.3390/f14040758
Chicago/Turabian StyleKim, Soojin, Yeji Choi, Geonwoo Kim, and Sujin Park. 2023. "Psychological Effects of Forest Healing Camps on Atopic Dermatitis and Their Families" Forests 14, no. 4: 758. https://doi.org/10.3390/f14040758
APA StyleKim, S., Choi, Y., Kim, G., & Park, S. (2023). Psychological Effects of Forest Healing Camps on Atopic Dermatitis and Their Families. Forests, 14(4), 758. https://doi.org/10.3390/f14040758

