Improvement Cuttings in the Conversion of Pyrenean Oak (Quercus pyrenaica Willd.) Coppice
Abstract
1. Introduction
2. Material and Methods
2.1. Study Site
2.2. Experimental Design and Data Analysis
3. Results
3.1. Tree Growth
3.2. Structural Dynamics
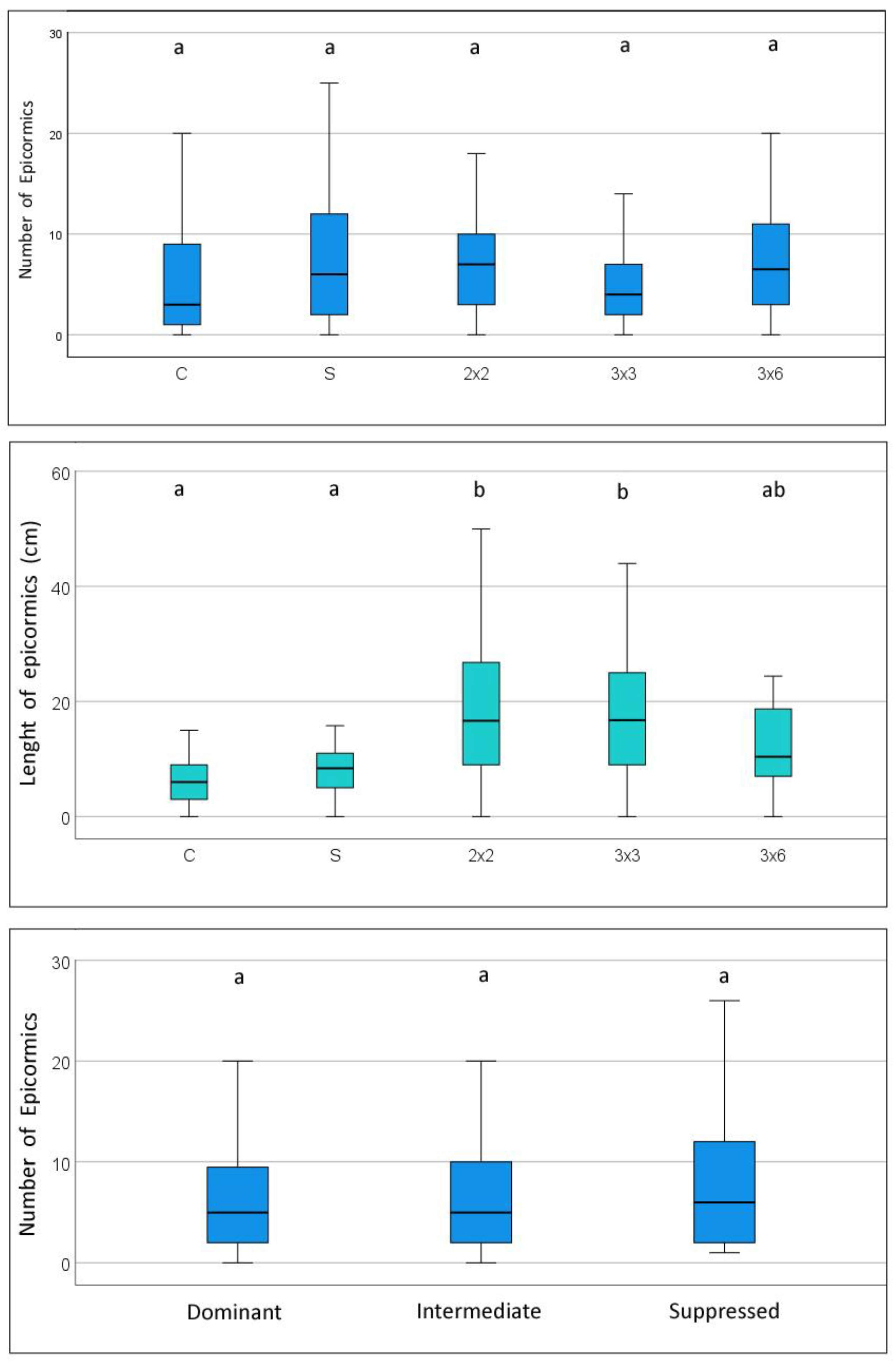
3.3. Epicormic Branching
4. Discussion
5. Conclusions
Funding
Institutional Review Board Statement
Informed Consent Statement
Data Availability Statement
Acknowledgments
Conflicts of Interest
References
- NFI National Forest Inventory; ICNF: Lisbon, Portugal, 2015; p. 284.
- Carvalho, J.; Alves, A.; Grosso-Silva, J.; Santos, T. Biology and ecology of Pyrenean-oak forests. In Arvores e Florestas de Portugal Vol 2—Os Carvalhais; Silva, J., Ed.; LPN, FLAD: Lisbon, Portugal, 2007; pp. 99–120. (In Portuguese) [Google Scholar]
- Salas, F. Donde ardera el bosque? Previsión de incendios forestales mediante un SIG. In Los Sistemas de Información Geográfica en la Gestión Territorial; AESIGYT: Madrid, Spain, 1992; pp. 430–446. [Google Scholar]
- González, J.; Palahi, M.; Trasobares, A.; Pukalla, T. A fire probability model for forest stands in Catalonia (north-east Spain). Ann. For. Sci. 2006, 63, 169–176. [Google Scholar] [CrossRef]
- Carvalho, J. Oak Forest Management. In Oaks: Ecology, Types and Management; Chuteira, A., Bispo, A., Eds.; Science Publishers: New York, NY, USA, 2012; pp. 1–58. [Google Scholar]
- Santos, J.; Carvalho, J.; Santos, J. Oak wood. In Oaks: Ecology, Types and Management; Chuteira, A., Bispo, A., Eds.; Science Publishers: New York, NY, USA, 2012; pp. 119–150. [Google Scholar]
- Montoya, J. Selvicultura, Ordenacion y Economia de los Rebollares de Quercus pyrenaica Willd. INIC 1982, 11, 3–13. [Google Scholar]
- Carvalho, J.; Loureiro, A. Stool and root resprouting according to different cutting seasons in a Quercus pyrenaica Willd. Coppice. Ann. Ist. Sper. Selvic. Arezzo 1996, 27, 83–88. [Google Scholar]
- Ozanne, C.; Hambler, C.; Foggo, A. The significance of edge effects in the management of forests for invertebrate biodiversity. In Canopy Arthropods; Stork, N.E., Adis, J., Didham, R.K., Eds.; Chapman & Hall: London, UK, 1997; pp. 534–550. [Google Scholar]
- Ausden, M. Habitat Management for Conservation; Oxford University Press: New York, NY, USA, 2007; p. 411. [Google Scholar]
- Sebek, P.; Bartos, M.; Benes, J.; Chlumska, Z.; Dolezal, J.; Kovar, J.; Mikatova, B.; Platek, M.; Polakova, S.; Skorpik, M.; et al. Effect of active conservation management on biodiversity: Multi-taxa survey in oak woodlands of Podyji National Park, Czech Republic. In Proceedings of the 5th Symposium for Research in Protected Areas, Mittersill, Austria, 10–12 June 2013; pp. 717–720. [Google Scholar]
- Bengtsson, J.; Nilsson, S.G.; Franc, A.; Menozzi, P. Biodiversity, disturbances, ecosystem function and management of European forests. For. Ecol. Manag. 2000, 132, 39–50. [Google Scholar] [CrossRef]
- Padula, M.; D’Amico, C.; Ricci, S. Gioffredi R Esperienze di conversione all’alto fusto di boschi cedui invecchiati di faggio nell’Appennino settentrionale (Italia). Ann. Acc. It. Sc. For. 1988, 37, 23–64. [Google Scholar]
- Amorini, E.; Bruschini, S.; Cutini, A.; Di Lorenzo, M.; Fabbio, G. Treatment of Turkey oak (Quercus cerris L.) coppices. Structure, biomass and silvicultural options. Ann. Ist. Sper. Selvicultura Arezzo 1996, 27, 105–111. [Google Scholar]
- Gubka, K. Development dynamics of young stands of sessile oak after clear cutting during the conversion of coppice forests in south Slovakia. Sumar. List 2000, 124, 495–502. [Google Scholar]
- Nocentini, S. Structure and management of beech (Fagus sylvatica L.) forests in Italy. Iforest—Biogeosciences For. 2009, 2, 105–113. [Google Scholar] [CrossRef]
- Ciancio, O.; Corona, P.; Lamonaca, A.; Portoghesi, L.; Travaglini, D. Conversion of clearcut beech coppices into high forests with continuous cover: A case study in central Italy. For. Ecol. Manag. 2006, 224, 235–240. [Google Scholar] [CrossRef]
- Mullerova, J.; Hedl, R.; Szabo, P. Coppice abandonment and its implications for species diversity in forest vegetation. For. Ecol. Manag. 2015, 343, 88–100. [Google Scholar] [CrossRef]
- von Teuffel, K. Consequences of increased tree growth on forest management planning and silviculture. In Causes and Consequences of Accelerating Tree Growth in Europe, Proceedings of the International Seminar held in Nancy, France, 14–16 May 1998; Karjalainen, T., Spiecker, H., Laroussinie, O., Eds.; European Forest Institute: Joensuu, Finland, 1999; pp. 229–236. [Google Scholar]
- Spiecker, H.; Hein, S.; Makkonen-Spiecker, K.; Thies, M. Valuable Broadleaved Forests in Europe; EFI Research Report 22; European Forest Institute, Brill: Leiden, The Netherlands, 2009; p. 276. [Google Scholar]
- Bourgenot, L. Conversion and Transformation Methods—General conclusion. Rev. For. Fr. 1969, 3, 199–204. [Google Scholar]
- Wolfslehner, B.; Krajter, S.; Jovic, D.; Nestorovski, L.; Velichkov, I. Framing stakeholder and policy issues for coppice forestry in selected central and south-eastern European Countries. Silva Balc. 2009, 10, 21–34. [Google Scholar]
- Nicolescu, V.; Carvalho, J.; Hochbichler, E.; Bruckman, V.; Piqué-Nicolau, M.; Hernea, C.; Viana, H.; Stochlová, P.; Ertekin, M.; Tijardovic, M.; et al. Silvicultural Guidelines for European Coppice Forests. In Coppice Forests in Europe; Unrau, A., Ed.; Albert Ludwig University Freiburg: Freiburg, Germany, 2018; pp. 46–63. [Google Scholar]
- Hubert, M. Cultiver les Arbres Feuillus Pour Récolter du Bois de Qualité; IDF: Paris, France, 1981; p. 278. [Google Scholar]
- Groome, H.; Perez, M.; Llorca, A. Quelques arguments économiques pour la valorisation et la conservation des forêts autochtones en Espagne. Forêt Méditerranéenne 1985, 7, 169–172. [Google Scholar]
- Thibaut, B. La valorisation des bois de petit diamètre. Forêt Enterp. 1993, 92, 32–37. [Google Scholar]
- Adger, W.N.; Huq, S.; Brown, K.; Conway, D.; Hulme, M. Adaptation to climate change in the developing world. Prog. Dev. Stud. 2003, 3, 179–195. [Google Scholar] [CrossRef]
- Thornley, J.H.M.; Cannell, M.G.R. Managing forests for wood yield and carbon storage: A theoretical study. Tree Physiol. 2000, 20, 477–484. [Google Scholar] [CrossRef]
- Assmuth, A.; Rämö, J.; Tahvonen, O. Optimal Carbon Storage in Mixed-Species Size-Structured Forests. Env. Resour. Econ. 2021, 79, 249–275. [Google Scholar] [CrossRef]
- Sevrin, E. Différent modes de silviculture pour les chênes rouvre et pédonculé. Fôret Enterp. 1996, 111, 18–20. [Google Scholar]
- Triboulot, P.; Leban, J. Le bois—Nouvelles technologies et nouveaux matériaux. Forêt Enterp. 1998, 119, 17–22. [Google Scholar]
- Harmon, M.; Franklin, J.; Swanson, F.; Sollins, P.; Gregory, S.; Lattin, J.; Anderson, N.; Cline, S.; Aumen, N.; Sedell, J.; et al. Ecology of coarse woody debris in temperate ecosystems. Adv. Ecol. Res. 1986, 15, 59–234. [Google Scholar]
- Healy, W.; Brooks, R.; DeGraaf, R. Cavity trees in sawtimber size oak stands in central Massachusetts. North. J. Appl. For. 1989, 6, 61–65. [Google Scholar] [CrossRef]
- Barraclough, S. Toward Integrated and Sustainable Development? United Nations Research Institute for Social Development: Geneva, Switzerland, 2001; p. 45. [Google Scholar]
- Burger, J. Management effects on growth, production and sustainability of managed forest ecosystems: Past trends and future directions. For. Ecol. Manag. 2009, 258, 2335–2346. [Google Scholar] [CrossRef]
- Hubert, M. Les Terrains Boisés, Leur Mise en Valeur; IDF: Paris, France, 1999; p. 254. [Google Scholar]
- Amorini, E.; Gambi, G. Il método dell’invecchiamento nella conversione dei cedui di faggio. Ann. Ist. Sper. Selvic. Arezzo 1977, 8, 22–40. [Google Scholar]
- Harmer, R. The thinning of canopy and epicormics shoot growth in Quercus robur L. Forestry 1990, 63, 279–283. [Google Scholar] [CrossRef]
- Matthews, J. Silvicultural Systems; Clarendon Press: Oxford, UK, 1996; p. 283. [Google Scholar]
- Smith, D.; Larson, B.; Kelty, M.; Ashton, P. The Practice of Silviculture; John Wiley and Sons: New York, NY, USA, 1996; p. 560. [Google Scholar]
- Hubert, M. L’Amélioration des Taillis par Balivage Intensif; IDF: Paris, France, 1983; p. 117. [Google Scholar]
- Giannini, R.; Piussi, P. La conversion de taillis en futaie. L’expérience italienne. (The conversion of coppice into high forest. The Italian experience.). In Proceedings of the XVI IUFRO World Congress, Oslo, Norway, 20 June–2 July 1976; pp. 388–396. [Google Scholar]
- Hansen, J.; Spiecker, H.; Teuffel, K. The question of conversion of coniferous forests. In Proceedings of the International Conference Freiburger Forstliche Forschung, Freiburg im Breisgau, Germany, 27 September–2 October 2003; Berichte 47. p. 85. [Google Scholar]
- Notarangelo, M.; La Marca, O.; Moretti, N. Long-term effects of experimental cutting to convert an abandoned oak coppice into transitional high forest in a protected area of the Italian Mediterranean region. For. Ecol. Manag. 2018, 430, 241–249. [Google Scholar] [CrossRef]
- Tulbure, C.; Duduman, G. A conversion method of young hornbeam coppices and its possible impact on future stand structural attributes. Ann. Res. 2012, 55, 281–296. [Google Scholar]
- Ribeiro, A. Contribution à l’Étude Tectonique Tras-os-Montes Oriental; Serviços Geológicos de Portugal: Lisbon, Portugal, 1974; Volume 4, 168p. [Google Scholar]
- Teixeira, C. Geology of Portugal; Calouste Gulbenkian Foundation: Lisbon, Portugal, 1984; p. 630. [Google Scholar]
- Carvalho, J.; Parresol, B. Additivity in tree biomass components of Pyrenean oak (Quercus pyrenaica Willd.). For. Ecol. Manag. 2003, 179, 269–276. [Google Scholar] [CrossRef]
- Carvalho, J.; Parresol, B. A site model for Pyrenean oak (Quercus pyrenaica Willd.) stands using a dynamic algebraic difference equation. Can. J. For. Res. 2004, 35, 93–99. [Google Scholar] [CrossRef]
- Shannon, C.; Weaver, W. The Mathematical Theory of Communication; University of Illinois Press: Urbana, IL, USA, 1963; p. 131. [Google Scholar]
- Pretzsch, H. Forest Dynamics, Growth and Yield: From Measurement to Model; Springer: Heidelberg, Germany, 2009; p. 664. [Google Scholar]
- Swaine, M.; Lieberman, D. Note on the calculation of mortality rates. J. Trop. Ecol. 1987, 3, 289–290. [Google Scholar] [CrossRef]
- Steel, R.; Torrie, J. Principles and Procedures of Statistics—A Biometrical Approach; McGraw-Hill: New York, NY, USA, 1986; p. 622. [Google Scholar]
- Zar, J. Biostatistical Analysis; Prentice Hall: Englewood Cliffs, NJ, USA, 1996; p. 662. [Google Scholar]
- Cantiani, P.; Spinelli, R. Conversion to high forest of Turkey oak coppice: Technical and economical assessment of the first conversion stage. Ann. Ist. Sper. Selvic. Arezzo 1998, 27, 191–200. [Google Scholar]
- Picchio, R.; Maesano, M.; Savelli, S.; Marchi, E. Productivity and energy balance in conversion of a Quercus cerris L. coppice stand into high forest in central Italy. Croat. J. For. Eng. 2009, 30, 15–26. [Google Scholar]
- Amorini, E.; Fabbio, G.; Bertini, G. Dinamica del ceduo oltre turno e avviamento ad alto fusto dei cedui di faggio. Ann. Silvic. Res. 2010, 36, 151–172. [Google Scholar]
- Jensen, J.S. Provenance variation in phenotypic traits in Quercus robur and Quercus petraea in Danish provenance trials. Scand. J. For. Res. 2000, 15, 297–308. [Google Scholar] [CrossRef]
- Lanier, L. Précis de Sylviculture; ENGREF: Nancy, France, 1986; p. 468. [Google Scholar]
- Le Goff, N.; Ottorini, J.M.; Ningre, F. Evaluation and comparison of size-density relationships for pure even-aged stands of ash (Fraxinus excelsior L.), beech (Fagus sylvatica L.), oak (Quercus petraea Liebl.), and sycamore maple (Acer pseudoplatanus L.). Ann. For. Sci. 2011, 68, 461–475. [Google Scholar] [CrossRef]
- Carnwath, G.C.; Peterson, D.W.; Nelson, C.R. Effect of crown class and habitat type on climate-growth relationships of ponderosa pine and Douglas-fir. For. Ecol. Manag. 2012, 285, 44–52. [Google Scholar] [CrossRef]
- Wignall, T.; Browning, G.; MacKenzie, A. The physiology of epicormics bud emergence in pedunculate oak (Quercus robur L.). Forestry 1987, 60, 45–56. [Google Scholar] [CrossRef]
- Colin, F.; Robert, N.; Druelle, J.L. Fontaine F Initial spacing has little influence on transient epicormics shoots in a 20-year-old sessile oak plantation. Ann. For. Sci. 2008, 65, 508–517. [Google Scholar] [CrossRef]







| Age (years) | N (trees.ha−1) | hd (m) | hg (m) | dg (cm) | SI50 (m) | HB Index | G (m2.ha−1) | W (t.ha−1) |
|---|---|---|---|---|---|---|---|---|
| 28 | 8865 | 7.8 | 5.9 | 5.6 | 10.7 | 26 | 20.2 | 35.4 |
| Treatment | id (cm) | ih (m) | idc (m) | ilcl (m) | Mean Relative Proportion, p(%) | |||
|---|---|---|---|---|---|---|---|---|
| id | ih | idc | ilcl | |||||
| C | 6.35 a | 3.79 ab | 2.35 a | −0.65 a | 100 a | 100 ab | 100 a | 100 a |
| S | 6.54 a | 3.47 a | 2.45 a | −0.29 a | 103 a | 91 a | 104 a | 118 a |
| 2 × 2 | 7.82 b | 4.05 b | 3.20 b | 0.65 b | 123 b | 107 b | 137 b | 171 b |
| 3 × 3 | 7.46 b | 3.92 ab | 2.55 a | 0.73 b | 117 b | 104 ab | 108 a | 155 b |
| 3 × 6 | 7.38 b | 3.85 ab | 2.75 ab | 0.41 b | 116 b | 101 ab | 117 ab | 147 b |
| Treatment | Mean Tree Diameter Increment, id (cm) | ||
|---|---|---|---|
| Dominant | Intermediate | Suppressed | |
| C | 7.4 a | 5.5 a | 3.0 a |
| S | 7.9 ab | 6.4 b | 4.1 ab |
| 2 × 2 | 8.7 c | 7.6 c | 4.7 b |
| 3 × 3 | 8.4 bc | 7.3 c | 4.9 b |
| 3 × 6 | 8.5 c | 6.9 bc | 5.1 b |
| Treatment | Mean Changes in Crown Class (%) | Vertical Structure Index (VI) | Mortality Rate | ||
|---|---|---|---|---|---|
| Ascend | Maintain | Descend | (%.y−1) | ||
| C | 19.9 | 74.6 | 5.5 | 0.74 | 1.81 |
| S | 32.7 | 51.8 | 15.5 | 0.58 | 0.61 |
| 2 × 2 | 40.7 | 47.4 | 11.9 | 0.75 | 1.13 |
| 3 × 3 | 27.3 | 64.2 | 8.5 | 0.77 | 1.78 |
| 3 × 6 | 33.3 | 65.0 | 1.7 | 0.53 | 0.40 |
Disclaimer/Publisher’s Note: The statements, opinions and data contained in all publications are solely those of the individual author(s) and contributor(s) and not of MDPI and/or the editor(s). MDPI and/or the editor(s) disclaim responsibility for any injury to people or property resulting from any ideas, methods, instructions or products referred to in the content. |
© 2023 by the author. Licensee MDPI, Basel, Switzerland. This article is an open access article distributed under the terms and conditions of the Creative Commons Attribution (CC BY) license (https://creativecommons.org/licenses/by/4.0/).
Share and Cite
Carvalho, J.P.F. Improvement Cuttings in the Conversion of Pyrenean Oak (Quercus pyrenaica Willd.) Coppice. Forests 2023, 14, 575. https://doi.org/10.3390/f14030575
Carvalho JPF. Improvement Cuttings in the Conversion of Pyrenean Oak (Quercus pyrenaica Willd.) Coppice. Forests. 2023; 14(3):575. https://doi.org/10.3390/f14030575
Chicago/Turabian StyleCarvalho, João P. F. 2023. "Improvement Cuttings in the Conversion of Pyrenean Oak (Quercus pyrenaica Willd.) Coppice" Forests 14, no. 3: 575. https://doi.org/10.3390/f14030575
APA StyleCarvalho, J. P. F. (2023). Improvement Cuttings in the Conversion of Pyrenean Oak (Quercus pyrenaica Willd.) Coppice. Forests, 14(3), 575. https://doi.org/10.3390/f14030575
