Abstract
This research was conducted in the forests of Poland between 2019 and 2022. The aim was to study Scots pine provenances and compare the wood density variability among the various provenances growing on one experimental plot (in situ). The experiment was established in 1962 in the Zielonka Forest Division, Potasze Forest District. In 2019, five model trees from each provenance, which grew on the experimental plot, were chosen. In total, 40 trees were cut down, from which samples were collected in order to determine their wood density variability. The results indicate significant differences among the Scots pine provenances. It is not necessary to repeat it in situ. It appears that genetic factors highly impact the process of forming the wood density of the Scots pine. The research revealed that the best-quality wood, as far as wood density is concerned, comes from the Zielonka provenance, whereas the lowest relative density comes from the Gleboki Brod provenance. Both the provenance experiments and the analyses allowed for the selection of the research material that indicated the best genetic properties. Moreover, the research provides analytical tools that will allow for the prediction of the Scots pine provenance with the best quality together with high resistance to exogenous factors, such as habitat conditions, which can be vital to improving wood quality.
1. Introduction
Despite significant technological advancements and a trend toward substituting wooden products with new generation materials, the demand for wood remains high. Among the issues that are quite often mentioned in the literature of the subject is the shortage of wood [], and studies describing the levels of interpopulation differentiation provide a variety of choices to achieve the best-quality wood and production of wood [,,,,,,,,,].
Wood density is an important element in determining the potential use of wood and its applicability and technical quality [,,]. It is one of the most often described and studied wood properties, as physical, mechanical, and technological properties are conditioned by wood density [,,,,]. Both properties, density and porosity, are informative as far as the microstructure, macrostructure, and weight of the wood are concerned. In addition, they are also explicitly linked to basic wood properties, such as cell wall chemical composition and the anatomical structure of xylem. Therefore, wood density seems to be a perfect wood property that enables us to describe many characteristics of wood tissues.
The structure and properties of wood are determined by genetic, environmental, and anthropogenic factors []. From the listed predispositions, genetic predispositions appear to be essential to shaping the value and quality of wood; hence, the literature of the subject matter pays them a lot of attention [,,,,,]. Despite ongoing research, the problem of locating and determining the genes responsible for the formation of xylem is still not fully understood.
Wood growth depends on many factors, including environmental conditions and anthropogenic activities. These factors, together with trees’ genotypes, affect the formation of wood tissues [,]. The literature that describes the influence on the qualitative and quantitative formation of wood properties is extensive. Exogenous factors that impact the growth of trees and tree stands and the macro- and microstructure of wood have been described by many authors [,,,,,,].
The geographical scope and adaptability to various conditions are the reasons why the Scots pine is characterized by exceptional morphological diversity. This sparked interest in the area long before modern genetics had been created [,,,,,,,]. The research allows for the determination of inherited differences and the comparison of the biological characteristics of particular provenances. It also allows for the determination of the interdependence between biometrical and breeding features [,,]. Despite over 100-year-long research on the provenances in Poland, the data concerning genetic variations in the population contain vague and ambiguous elements, which make the research on the subject matter uncompleted [].
As far as the influence of provenance on the wood quality is concerned, it is necessary for the trees to reach a suitable age to undergo the analysis, which makes the research difficult and long lasting. So far, a number of studies have been conducted on young trees [,,,,,]. The possibility to collect samples from the unique 57-year-old research area enabled comparative studies of the trees at various stages of maturity.
2. Material and Methods
The research material was collected from a plot established in 1962 by the Department of Forest Silviculture in the Zielonka Experimental Forest Division, Potasze Forest District (52.52712 N, 17.02469 E). The methodical assumptions that were agreed upon at the beginning of the experiment were described by Rzeznik and Handel []. The seedlings used to set up the provenance experiment were collected from eight known sources of Scots pine in Poland, which are as follows: Woziwoda, Rospuda, Dluzek, Zielonka, Gleboki Brod, Radawnica, Bartel Wielki, and Lipowa (Figure 1). The pine population that grows in these locations is characterized by wood of high technological quality.

Figure 1.
(a) Locations of native Scots pine stands used for the provenance study and research area; (b) Distribution of research plots with pine provinces in the Zielonka research plot.
The experimental plot consisted of 16 lots of 1400 m2 each. Each of the eight provenances was distributed at random over two lots. The lots were of the same dimensions, and over 1000 1-year-old pine seedlings were planted. The initial cultivation spacing was 1.4 × 0.5 m. The experimental plot consisted of even-aged pine monocultures, which were distinguished by intense interindividual competition.
In 2019, model trees, which represented each particular provenance, were chosen from the area (Table 1). Each provenance was given the following codes: 1—Woziwoda; 2—Rospuda; 3—Dluzek; 4—Zielonka; 5—Gleboki B.; 6—Radawnica; 7—Bartel W.; 8—Lipowa.

Table 1.
The mean values of the model trees’ characteristics for each provenance and the characteristics of the experimental plot.
In order to select the trees from each provenance, the DBH of all the trees was measured with a calliper, as well as the height of the trees in proportion to their number in the degree of thickness. On the basis of the thickness–height characteristics of the trees and following the Ulrich model (variant 2), 40 model trees were selected []. The trees chosen from each of the studied provenances were similar to each other as far as tree crown cover and other biometric features are concerned. Five trees from each provenance were selected, and special attention was paid to ensuring that no visible defects of the trunk occurred, such as hollows, bracket fungus, rot, or any mechanical damage. The geographical north was determined for each tree. After felling and hewing the trees, the next step included preparing cross-sewing logs of 1.35 m in length. The end part of the log was 1 m high, and the upper end had a height of 2.35 m.
The collected material was transported to a sawmill, where a 20 mm thick middle plank was cut from each log, and special attention was paid to the point where the geographical north had been determined. Two strips (caption 1 and 2 in Figure 2) were cut (1.35 m long and 20 mm×20 mm wide) from the north part of each plank in the girth adjacent layer, and the samples were prepared from them (dimensions: 20 mm (tangential) × 20 mm (radial) ×30 mm (longitudinal). Out of the 1000 samples prepared from each provenance, 900 model samples were chosen. In total, 713 pieces of the material were analyzed. The samples were identical to one another and without any visible defects. Figure 2 depicts a diagram of the material collection for the laboratory analysis.

Figure 2.
A diagram showing the process of collecting material for calculating the relative wood density. The numbers 1 and 2 show the places where the samples for the analysis were taken from.
The measurement of relative wood density is defined as the ratio of the amount of actual wood (in an absolutely dry state) to the volume of wood with a moisture content equal to or higher than the fiber saturation point []. In order to obtain an absolutely dry material, the samples were placed in a dryer, which kept a steady temperature of 105 °C. The process of determining the mass began only when the mass of the samples stabilized at an equal level. The mass of the dry samples was measured with electronic scales (Steinberg System SBS-LW Balance Scales, Hamburg, Germany) with an accuracy of up to 0.001 g and rounded up to 0.01 g. Next, the material was immersed in distilled water at room temperature in order to achieve a moisture content equal to or higher than the fiber saturation point. The moment the maximal dimensions of the sample were reached, the linear dimensions of the cross-section were measured using an electronic calliper (Limit cdm 150 mm flex 263990103 model) with an accuracy of up to 0.01 mm. The results of the measurements were used in order to calculate the relative wood density. The following formula was used to perform the calculations:
where:
Qu = m0/Vmax, [kg/m3]
- m0—mass of the sample in an absolutely dry state
- Vmax—the volume of the sample in the maximal saturation state.
We used descriptive statistics to analyze and present the results, including the arithmetic mean, minimum and maximum values, and standard deviation. Shapiro–Wilk tests were used to check the normal distribution. Since the studied variables had a normal distribution, an ANOVA significance test was used to test for differences in wood density. The analysis of the differences between the features was performed using post hoc tests. All of the statistical analyses and preparation images were performed using the Statistica (TIBCO Software Inc., Palo Alto, CA, USA) v13.1 software.
3. Results
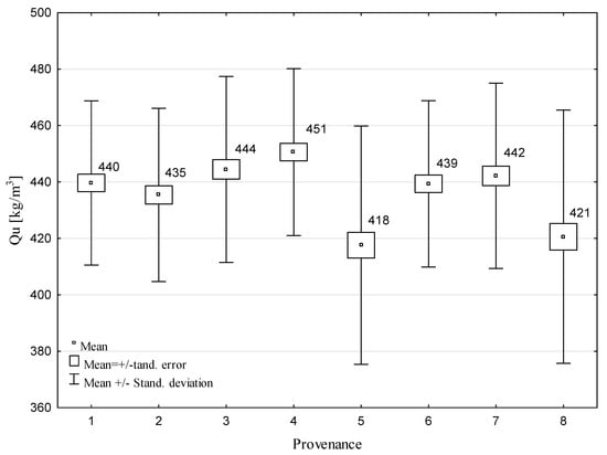
The study, which was conducted on materials that were collected from eight areas of various provenances, revealed that the mean density of all analyzed samples without the division into provenance was 436.3 g/cm3, whereas the maximal and minimum values were 535.4 g/cm3 and 331.2 g/cm3, respectively. In total, 713 samples were analyzed. The highest mean density was found in provenance 4 (Zielonka), whereas the lowest mean density was in provenance 5 (Gleboki Brod). The maximal value of the studied feature occurred in provenance 4 (Zielonka), and the minimal value occurred in provenance 5 (Gleboki Brod). The greatest distribution of the results, especially for the mean values, was observed in the material collected from provenance 8 (Lipowa). However, the most consistent relative wood density results were found in provenance 2 (Woziwoda). The standard deviation of the density was between 29.11 kg/m3 and 44.90 kg/m3. The differences in the standard deviations were minor. The median value, as in the case of the mean density, was the highest for provenance 4, whereas the lowest value was for provenance 5 (Table 2). The median values were comparable or slightly lower than the mean density values. This means that, similarly to the standard deviation, the comparable populations were characterized by a homogenous density distribution without any outliers.

Table 2.
Statistics of relative wood density for the compared Scots pine (Pinus sylvestris L.) provenances in Poland.
The distribution of the studied features was similar to the normal one; hence, the variability of the relative wood density in each provenance was collated and compared by means of the HSD (post hoc Tukey test) with a level of significance at p ≤ 0.05 (Table 3).

Table 3.
Analysis of variance and HSD test for mean wood density of the Scots pine (Pinus sulvestris L.) from various provenances in Poland (1—Woziwoda; 2—Rospuda; 3—Dluzek; 4—Zielonka; 5—Głęboki B.; 6—Radawnica; 7—Bartel W.; 8—Lipowa).
The conducted analysis showed the occurrence of statistically significant differences in wood density between the compared provenances. The results from provenance 5 deviated the most from the others. The mean wood density of the Scots pine for this provenance was 417.59 kg/m3 and was statistically significantly lower than the other provenances, except for the values of provenance 8 (Table 3).
In the case of the Scots pine that came from provenance 2, the wood density was statistically significantly higher only when compared with the pine wood density from provenances 5 and 8. Provenances 3 and 4 indicated that the density was statistically significantly higher than provenances 5 and 8, similarly to provenances 6 and 7 (Table 3; Figure 3).

Figure 3.
Relative wood density (Qu kg/m3) of the Scots pine (Pinus sylvestris L.) from various provenances in Poland (1—Woziwoda; 2—Rospuda; 3—Dluzek; 4—Zielonka; 5—Gleboki B.; 6—Radawnica; 7—Bartel W; 8—Lipowa).
4. Discussion
Density is one of the most important physical properties of wood. Its universality allows density to be correlated with other features and properties of wood [,]. Wood density allows for the precise determination of the mass, as it indicates the amount of woody substance in a unit of volume []. The most important factors that are able to influence the variation of wood tissue among individuals within a population are climate, tree stand, biosocial position of the tree, and silvicultural treatments, which have been discussed by a number of scholars [,].
Jelonek [] studied the variability of relative wood density, which focused on the mechanical and physical properties of Scots pine growing on former farmland and in forests. The conducted experiment revealed that the trees that had been grown on former farmlands indicated lower wood density (407.35 kg/m3) compared to the relative density of the material collected from trees that had been grown in forests (435.04 kg/m3). Our experiment described in this paper showed that the mean relative density for all provenances that grew on the experimental plot possessed similar values as the ones in Jelonek’s study, which was 436.45 kg/m3. Other scholars [,,] reached similar conclusions.
Similar studies focusing on the physical properties of wood were conducted by Witkowska [], who studied the variability of the relative wood density of Scots pine in tree stands of different ages. She proved that the wood of 40–60-year-old trees indicates a similar relative wood density as the wood of older trees. It can signify that the wood density of the 57-year-old trees studied in our experiment will not change drastically over the years.
Paschalis [] studied the variable wood density of Scots pine in Poland due to the geographical location. He analyzed the variable regional wood density in the eastern part of Poland. He pointed to the correlation between geographical location and the particular properties of wood. The author concluded that density is lower in the directions of north–south and east–west, and the intensity of the changes in both cases is similar. The phenomenon can be observed in sapwood rather than in hardwood.
The Scots pine is a unique species that shows considerable variability as far as the properties and quality of xylem are concerned, which proves the great flexibility of the species to adjust to the growth and development conditions. Moreover, in an individual tree, the properties of xylem vary according to its position in the stem or the tree’s age [,]. Within one tree species, the density depends not only on where the wood is in the tree but also on many other basic factors, such as the amount of late wood, the width of annual rings, defects, and the moisture of the material [,,,,]. The quality of the wood and its features are conditioned by the economic activities performed in a particular tree stand. Other elements that impact wood properties are as follows: mixture format, planting spacing, species composition, and a series of improvements in felling and trimming [,]. Age class has the greatest impact on wood density of all the other factors [].
In the context of the study, the findings of Naibas et al. [] seem to be the most interesting. They noticed that in 8 out of the 25 studied species, wood density is determined genetically. For 15 species, the vital factors that improved wood density were competition, soil fertility, and pathogens. The authors concluded that wood density is a property susceptible to variation, so it is difficult to describe it synthetically. It is also difficult to specify and indicate the influence of exogenous and endogenous factors on wood density due to the large number of differences that occur between trees of the same species. The variability of wood density and its technical parameters depend on the population, species, and individual variability. It is important to continue provenance studies, as they will allow us to explore and better understand wood properties and improve wood quality.
Due to provenance studies, it will be possible to select a provenance from which the wood, once it has matured, will achieve the best technical parameters.
5. Conclusions
The studies conducted are not only scholarly but also practical in nature. Further provenance studies can help optimize the production of the best, predetermined quality of forest raw material. The presented results of the long-term experiment indicate the impact of genotype on the formation of wood density. The wood density of the compared provenance ranged between 417,59 kg/m3 and 450,59 kg/m3, and the differences between the populations were usually statistically significant. The highest value for the mean relative density and, at the same time, the best technical parameters were in the Zielonka provenance, which came from the place where the experimental plot had been first established. However, the wood that came from the very popular provenance Gleboki Brod had the lowest wood density. The results also show that caution is advised when relocating native species to other locations. Moreover, genotype plays a significant role in shaping the properties and characteristics of wood tissues in the Scots pine. The trees from which the material was collected were 57 years old, i.e., the trees were mature. However, the felling age for the pine is higher in Poland and is about 100 years; hence, at this stage, it is difficult to predict wood density since the trees from the experimental plot need to reach technical maturity. Naturally, this justifies and validates the need for provenance studies to be continued.
Author Contributions
Conceptualization, J.S., W.K. and T.J.; methodology, J.S. and W.K.; validation, T.J. and J.S.; formal analysis, T.J. and J.S.; data curation, A.O. and J.S.; writing—original draft preparation, J.S.; writing—review and editing, T.J. and J.S.; supervision, T.J.; project administration, J.S. and A.O.; funding acquisition, T.J. All authors have read and agreed to the published version of the manuscript.
Funding
The publication was financed within the framework of a science subsidy granted by the Minister of Science and Higher Education (data acquisition and laboratory work). The publication was co-financed within the framework of the Polish Ministry of Science and Higher Education’s program “Regional Initiative Excellence” in the years 2019–2023 (No. 005/RID/2018/19) with a financing amount of 12,000,000.00 PLN (proofreading and open access fee).
Data Availability Statement
The data presented in this study are available on request from the corresponding author.
Conflicts of Interest
The authors declare that they have no competing interest.
References
- Adamowicz, K.; Górna, M. The application of trend estimation model in predicting the average selling price of timber. Drewno 2020, 63, 147–159. [Google Scholar]
- Stephan, B.R.; Liesebach, M. Results of the IUFRO 1982 Scots pine (Pinus sylvestris L.) provenance experiment in southwestern Germany. Silvae Genet. 1996, 45, 342–349. [Google Scholar]
- Andrzejewski, K.; Kowalkowski, W.; Rzeźnik, Z. Variability of growth and qualitative features of 10-years old Scots pine (Pinus sylvestris L.) of 20 European provenances: Scots pine breeding and genetics. In Proceedings of the IUFRO 1994, Lithuania, Kaunas, 13–17 September 1994; pp. 24–28. [Google Scholar]
- Kohlstock, N.; Schneck, V. IUFRO provenance trial of Scots pine (Pinus sylvestris L.) at Waldsieversdorf 1982–1994: Scots pine breeding and genetics. In Proceedings of the IUFRO 1998, Lithuania, Kaunas, 13–17 September 1994; pp. 29–36. [Google Scholar]
- Matras, J. Clinal differences in growth and qualitative features of Scots pine (Pinus sylvestris L.) European provenances: Scots pine breeding and genetics. In Proceedings of the IUFRO 1998, Lithuania, Kaunas, 13–17 September 1994; pp. 46–53. [Google Scholar]
- Kulej, M. Zmiennosc oraz wartosc hodowlana modrzewi roznych pochodzen z terenu Polski w warunkach siedliskowych Beskidu Sadeckiego. Zeszyty Naukowe Akademii Rolniczej w Krakowie. Rozprawy 2001, 273, 1–159. (In Polish) [Google Scholar]
- Androsiuk, P.; Kaczmarek, Z.; Urbaniak, L. The morphological of needles as markers geographical differentiation in European Pinus sylvestris populations. Dendrobiology 2011, 65, 3–16. [Google Scholar]
- Androsiuk, P.; Urbaniak, L. Genetic variability of Pinus sylvestris populations from IUFRO 1982 provenance trial. Dendrobiology 2014, 71, 23–33. [Google Scholar] [CrossRef]
- Szeligowski, H.; Buraczyk, W.; Drozdowski, S.; Gawron, L. Wartość hodowlana polskich populacji sosny zwyczajnej na powierzchni doświadczalnej w Rogowie [Silvicultural value of Scots pine provenances from Poland on the experimental plot in Rogow]. Sylwan 2015, 159, 997–1007. [Google Scholar]
- Barzdajn, W.; Kowalkowski, W.; Chmura, D.J. Variation in growth and survival among European provenances of Pinus sylvestris in a 30-year-old experiment. Dendrobiology 2016, 75, 67–77. [Google Scholar] [CrossRef]
- Memišević Hodžić, M.; Ballian, D. Interactions of the Effects of Provenances and Habitats on the Growth of Scots Pine in Two Provenance Tests in Bosnia and Herzegovina. South-East Eur. For. 2021, 12, 13–20. [Google Scholar] [CrossRef]
- Mäkinen, H.; Saranpää, P.; Linder, S. Wood-Density Variation of Norway Spruce in Relation to Nutrient Optimization and Fibre Dimensions. Can. J. For. Res. 2002, 32, 185–194. [Google Scholar] [CrossRef]
- Saranpää, P. Wood density and growth. In Wood Quality and Its Biological Basis; Barnett, J.R., Jeronimidis, G., Eds.; CRC Press: Boca Raton, FL, USA, 2003; pp. 87–113. [Google Scholar]
- Jucker, T.; Bouriaud, O.; Coomes, D.A. Crown Plasticity Enables Trees to Optimize Canopy Packing in Mixed-Species Forests. Funct. Ecol. 2015, 29, 1078–1086. [Google Scholar] [CrossRef]
- Makinen, H.; Hynynen, J. Wood Density and Tracheid Properties of Scots Pine: Responses to Repeated Fertilization and Timing of the first commercial thinning. Forestry 2014, 87, 437–447. [Google Scholar] [CrossRef]
- Tomczak, A.; Pazdrowski, W.; Jelonek, T.; Grzywiński, W. Jakość drewna sosny zwyczajnej (Pinus sylvestris L.) Część I. Charakterystyka wybranych cech i właściwości drewna wpływających na jego jakość. [Quality of Scots pine (Pinus sylvestris L.) wood Part I. Characteristics of selected wood traits and properties affecting its quality]. Sylwan 2009, 153, 363–372. [Google Scholar]
- Tomczak, A.; Pazdrowski, W.; Jelonek, T.; Grzywiński, W. Jakość drewna sosny zwyczajnej (Pinus sylvestris L.) Część II: Naturalne warunki (czynniki) produkcji i ich rola w kształtowaniu jakości drewna. [Quality of Scots pine (Pinus sylvestris L.) wood Part II. Natural conditions (factors) of production and their role in the fluctuations of wood quality]. Sylwan 2009, 153, 435–441. [Google Scholar]
- Tomczak, A.; Pazdrowski, W.; Jelonek, T.; Grzywiński, W. Jakość drewna sosny zwyczajnej (Pinus sylvestris L.) Część III: Wpływ postępowania gospodarczego na jakość drewna. [Quality of Scots pine (Pinus sylvestris L.) wood Part III. The effect of silviculture on wood quality]. Sylwan 2009, 153, 519–527. [Google Scholar]
- Auty, D.; Achim, A.; Macdonald, E.; Cameron, A.D.; Gardiner, B.A. Models for Predicting Wood Density Variation in Scots Pine. Forestry 2014, 87, 449–458. [Google Scholar] [CrossRef]
- Wodzicki, T.J. Natural factors affecting wood structure. Wood Sci. Technol. 2001, 35, 5–26. [Google Scholar] [CrossRef]
- Zobel, B. Genetic manipulation of wood of the southern pines including chemical characteristics. Wood Sci. Technol. 1971, 5, 255–271. [Google Scholar] [CrossRef]
- Persson, B.; Persson, A.; Stahl, E.G.; Karlmats, U. Wood quality of Pinus sylvestris progenies at various spacings. For. Ecol. Manage. 1995, 76, 127–138. [Google Scholar] [CrossRef]
- Allona, I.; Quinn, M.; Shoop, E.; Swope, K.; St. Cyr, S.; Carlis, J.; Riedl, J.; Retzel, E.; Campbell, M.; Sederoff, R.; et al. Analysis of xylem formation in pine by cDNA sequencing. Proc. Natl. Acad. Sci. USA 1998, 95, 9693–9698. [Google Scholar] [CrossRef]
- Fujimoto, T.; Akutsu, H.; Nei, M.; Kita, K.; Kuromaru, M.; Oda, K. Genetic variation in wood stiffness and strength properties of hybrid larch (Larix gmelinii var. japonica × L. kaempferi). J. For. Res. 2006, 11, 343–349. [Google Scholar]
- Kumar, S.; Dungey, H.S.; Matheson, A.C. Genetic parameters and strategies for genetic improvement of stiffness in Radiata pine. Silvae Genet. 2006, 55, 77–84. [Google Scholar] [CrossRef]
- Mizrachi, E.; Myburg, A. Systems genetics of wood formation. Curr. Opin. Plant Biol. 2016, 30, 94–100. [Google Scholar] [CrossRef] [PubMed]
- Prescher, F.; Ståhl, E.G. The effect of provenance and spacing on stem straightness and number of spike knots of Scots pine in South and Central Sweden. Stud. For. Suec. 1986, 172, 1–12. [Google Scholar]
- Brüchert, F. The Influence of the Site Factor Wind Exposure on Wood Quality; Final Report: Project FAIR CT 98 5038; Forestry Commission, Northern Research Station: Midlothian, Scotland, 2000. [Google Scholar]
- Smith, D.M. Wood Quality of Loblolly Pine after Thinning; Research Paper FPL-89; Forest Products Lab: Madison, WI, USA, 1968. [Google Scholar]
- Kollmann, F.F.P.; Wilfred, A.C. Principles of Wood Science and Technology I Solid Wood; Springer: Berlin/Heidelberg, Germany; New York, NY, USA, 1968. [Google Scholar]
- Barnett, J.R.; Jeronimidis, G. Wood Quality and Its Biological Basis; Blackwell: Oxford, UK, 2003. [Google Scholar]
- Savidge, R.A. Tree growth and wood quality. In Wood Quality and Its Biological Basis; Barnett, J.R., Jeronimidis, G., Eds.; Blackwell Publishing Ltd.: Oxford, UK, 2003; pp. 1–29. [Google Scholar]
- Schweingruber, F.H. Wood Structure and Environment; Springer: Berlin/Heidelberg, Germany, 2007. [Google Scholar]
- Vilmorin, P. Expose Historique et Descriptif de l’Ecole Forestiere des Barres Pres de Nogent-sur-Vernisson (Loiret); Mem. Soc. Imp. Centr. d’Agric: France, Paris, 1862. [Google Scholar]
- Delamarre, L.G. Mémoire sur la Culture des Pins, et sur Leur: Et sur Leur Aménagement, Leur Exploitation, et les Divers Emplois de Leur Bois; De l’Imprimerie de Madame Huzard: Paris, France, 1820. [Google Scholar]
- Langle, T. Studier over Tallens Fysiologiska Variabilitet och Dess Samband Med Klimatet; Medd Stat Skogsforskningsinst: Stockholm, Sweden, 1936; Volume 29, pp. 219–470. [Google Scholar]
- Lines, R.; Mitchell, L. Results of some older Scots pine provenance experiments. Red. Forest. 1964, 17, 172–194. [Google Scholar]
- Schober, R. Beobachtungen über den Kiefern-Provenienzversuch in Forstamt Wolfgang. Abt. Pechhutte 50b. Allg. Forst Jagdztg. 1975, 146, 81–87. [Google Scholar]
- Korczyk, A. Badania nad Wartością Genetyczną Drzew Doborowych Sosny Wykorzystywanych do Zakładania Plantacji Nasiennych [Studies over the Genetic Value of the Specimen Tree of the Pine Used for Establishing Seed Orchards]; IBL: Warszawa, Poland, 1983. [Google Scholar]
- Giertych, M. Provenance variation of Scots pine on a 46-years old international experiments. Silvae Genet. 1986, 28, 136–152. [Google Scholar]
- Sabor, J.; Stachnik, E. Przeżywalność i wzrost różnych pochodzeń sosny pospolitej w warunkach siedliskowych Beskidu Sądeckiego na przykładzie powierzchni porównawczej w Polanach k. Grybowa. [Survival and growth of various Scots pine provenances in site conditions of Sacz Beskid exemplified on comparative area in Polany near Grybow]. Sylwan 1990, 134, 11–26. [Google Scholar]
- Cvjetković, B.; Mataruga, M.; Dukić, V.; Daničić, V.; Lučić, A. The variability of Scots pine (Pinus sylvestris L.) in the provenance test in Bosnia and Herzegovina. In Proceedings of the Biennial International Symposium Forest and Sustainable Development, Brasov, Romania, 24–25 October 2014; Transilvania University Press: Brasov, Romania, 2014; pp. 79–88. [Google Scholar]
- Podrázský, V.; Vacek, Z.; Vacek, S.; Vítámvás, J.; Gallo, J.; Prokůpková, A.; D’Andrea, G. Production potential and structural variability of pine stands in the Czech Republic: Scots pine (Pinus sylvestris L.) vs. introduced pines—Case study and problem review. J. For. Sci. 2020, 66, 197–207. [Google Scholar] [CrossRef]
- Chmura, D.J.; Barzdajn, W.; Kowalkowski, W.; Guzicka, M.; Rożkowski, R. Analysis of genotype-by-environment interaction in a multisite progeny test with Scots pine for supporting selection decisions. Eur. J. For. Res. 2021, 140, 1457–1467. [Google Scholar] [CrossRef]
- Savidge, R.A.; Barnett, J.R.; Napier, R. Cell and Molecular Biology of Wood Formation; BIOS Scientific Publishers Limited: Oxford, UK, 2000. [Google Scholar]
- Oleksyn, J. Report on the IUFRO-1982 provenance experiment on Scots pine (Pinus sylvestris). Arbor. Kórnickie 1988, 33, 210–229. [Google Scholar]
- Oleksyn, J.; Reich, P.B.; Rachwał, L.; Tjoelker, M.G.; Karolewski, P. Variation in aboveground net primary production of diverse European Pinus sylvestris populations. Trees 2000, 14, 415–421. [Google Scholar] [CrossRef]
- Oleksyn, J.; Reich, P.B.; Tjoelker, M.G.; Chałupka, W. Differential above-and below-ground biomass accumulation of European Pinus sylvestris Populations in 12-year-old Provenance Experiment. Scand. J. For. Res. 1999, 14, 7–17. [Google Scholar] [CrossRef]
- Oleksyn, J.; Reich, P.B.; Tjoelker, M.G.; Chałupka, W. Biogeographic differences in shoot elongation pattern among European Scots pine populations. For. Ecol. Manag. 2001, 148, 207–220. [Google Scholar] [CrossRef]
- Barzdajn, W. Doświadczenie proweniencyjne nad zmiennością sosny zwyczajnej (Pinus sylvestris L.) serii IUFRO 1982 w Nadleśnictwie Supraśl [A provenance experiment on variability of Scots pine (Pinus sylvestris L.) in the IUFRO 1982 series in the Supraśl forest district]. Sylwan 2000, 144, 41–52. [Google Scholar]
- Barzdajn, W. Wyniki 24-letniego doświadczenia proweniencyjnego z sosną w Nadleśnictwie Supraśl [Results of a 24-year provenance trial with Scots pine in the Supraśl Forest District]. Sylwan 2008, 152, 21–29. [Google Scholar]
- Rzeźnik, Z.; Handl, H. Niektóre cechy sosny zwyczajnej (Pinus silvestris L.) różnych krajowych pochodzeń [Chosen features of the Scots pine (Pinus silvestris L.) from various Polish provenances]. PTPN. Prace Kom. Nauk Rol. Leś. 1977, 44, 149–155. [Google Scholar]
- Grochowski, J. Dendrometria [Dendrometry]; PWRiL: Warszawa, Poland, 1973. [Google Scholar]
- Kokociński, W. Drewno. Pomiary Właściwości Fizycznych i Mechanicznych [Wood. Measuring Physical and Mechanical Properties]; University of Life Sciences: Poznań, Poland, 2004; pp. 12–40. [Google Scholar]
- Zhang, S.Y. Wood specific gravity-mechanical property relationship at species level. Wood Sci. Technol. 1997, 31, 181–191. [Google Scholar] [CrossRef]
- Witkowska, J.; Lachowicz, H. Zmienność gęstości umownej drewna sosny zwyczajnej (Pinus sylvestris L.) w zależności od wybranych czynników [Variability of conventional wood density of Scots pine (Pinus sylvestris L.) depending on the selected factors]. Sylwan 2013, 157, 336–347. [Google Scholar]
- Wiemann, M.C.; Williamson, G.B. Geographic variation in wood specific gravity effects of latitude, temperature, and precipitation. Wood Fiber Sci. 2002, 34, 96–107. [Google Scholar]
- Jelonek, T. Biomechaniczna Stabilność Drzew a Wybrane Właściwości Fizyczne, Mechaniczne i Strukturalne Ksylemu Sosny Zwyczajnej (Pinus silvestris L.) Wyrosłej w Warunkach Gruntów Porolnych i Leśnych [Biomechanical Stability of Trees and Selected Physical, Mechanical and Structural Properties of Xylem in the Scots Pine (Pinus sylvestris L.) Growing on Former Farmland and Forest Soils]; Rozprawy Naukowe; Uniwersytet Przyrodniczy w Poznaniu: Poznan, Poland, 2013. [Google Scholar]
- Fabisiak, E. Zmienność Podstawowych Elementów Anatomicznych i Gęstości Drewna Wybranych Gatunków Drzew [Variability of Basic Anatomical Elements and Wood Density of the Chosen Ytree Species]; Rozprawy Naukowe; Zeszyt 369; Rocznik AR w Poznaniu; University of Life Sciences: Poznan, Poland, 2005. [Google Scholar]
- Witkowska, J.; Lachowicz, H. Analiza zmienności gęstości umownej drewna sosny zwyczajnej (Pinus sylvestris L.) wzdłuż wysokości pnia w zależności od wybranych czynników [The Analysis of variation in pure density of Scots pine wood (Pinus sylvestris L.) along a trunk height depending on selected factors]. Przegląd Pap. 2012, 68, 573–578. [Google Scholar]
- Tomczak, A.; Jelonek, T.; Jakubowski, M. Gęstość drewna sosny zwyczajnej (Pinus sylvestris L.) jako wskaźnik odporności drzewa na działanie silnych wiatrów [Density of Scots pine (Pinus sylvestris L.) wood as an indicator of tree resistance to strong winds]. Sylwan 2013, 157, 539–545. [Google Scholar]
- Witkowska, J. Gęstość Drewna Sosny zwyczajnej (Pinus sylvestris L.) w Zależności od Wieku Drzew [Wood Density of the Scots Pine (Pinus sylvestris L.) Depending on the Tree’s Age]; XIII Konferencja Naukowa; Wydziału Technologii Drewna SGGW: Warszawa, Poland, 1999. [Google Scholar]
- Paschalis, P. Zmienność jakości technicznej drewna sosny pospolitej we wschodniej części Polski [Variability in technical quality of Scots pine wood in the eastern part of Poland]. Sylwan 1980, 124, 29–43. [Google Scholar]
- Plomion, C.; Leprovost, G.; Stokes, A. Wood formation in trees. Plant Physiol. 2001, 127, 1513–1523. [Google Scholar] [CrossRef]
- Repola, J. Models for vertical wood density of Scots pine, Norway spruce and birch stems, and their application to determine average wood density. Silva Fenn. 2006, 40, 673–685. [Google Scholar] [CrossRef]
- Staniszewski, P. Wybrane Wskaźniki Jakości Technicznej Drewna Sosny (Pinus sylvestris L.) z Drzewostanów Będących Pod Wpływem Emisji Przemysłowych. Rozprawa Doktorska. [Selected Structural Wood Properties of Scots Pine (Pinus sylvestris L.) from Tree Stands Impacted by Industrial Emissions]. Ph.D. Thesis, Wydział Leśny SGGW, Warszawa, Poland, 1997. [Google Scholar]
- Daszkiewicz, P.; Oleksyn, J. Odkrycie „prawa wzrostu sosny”—Mało znana praca Augusta Bravais [Law of Scots pine growth”—A little known publication by August Bravais. Rocz. Dendrol. 2005, 53, 41–54. [Google Scholar]
- Aleinikovas, M. Effect of the mean diameter increment on the pine wood mechanical-physical properties in Lithuania. Balt For. 2007, 13, 103–108. [Google Scholar]
- Szewczyk, G.; Guz, M. Dynamika zmian szerokości przyrostów rocznych jako miara żywotności drzew w zadrzewieniach parkowych i zieleni miejskiej [Dynamics of changes in the width of annual rings as a measure of tree viability in the afforestation of parks and green areas]. For Lett. 2012, 103, 47–56. [Google Scholar]
- Tomusiak, R.; Staniszewski, P.; Szyc, K.; Kedziora, W.; Wojtan, R. Wybrane właściwości strukturalne drewna sosny zwyczajnej (Pinus sylvestris L.) i sosny czarnej (Pinus nigra Arn.) rosnących na wydmach nadmorskich w Rezerwacie Mierzeja Sarbska [Selected structural wood properties of the Scots pine (Pinus sylvestris L.) and the black pine (Pinus nigra Arn.) growing on the seaside dunes in the Mierzeja Sarbska nature reserve]. Stud. i Materiały Cent. Edukac. Przyr.-Leśnej 2016, 18, 208–215. [Google Scholar]
- Tomczak, A.; Pazdrowski, W.; Jelonek, T. Wybrane elementy budowy makrostrukturalnej drewna a dojrzałość sosny zwyczajnej (Pinus sylvestris L.) wyrosłej w warunkach gruntów porolnych [Selected elements of the macrostructure construction of wood and the maturity of the Scots pine (Pinus sylvestris L.) grown on former farmland]. Leśne Prace Badawcze. 2009, 70, 277–286. [Google Scholar]
- Jelonek, T.; Tomczak, A.; Jakubowski, M.; Grzywiński, W.; Pazdrowski, W.; Remlein, A.; Jurkiewicz, E. An analysis of the quality and value of timber in pine tree stands representing selected ecotypes of this species in Poland. Ann. Warsaw Univ. Life Sci.-SGGW, For. Wood Technol. 2016, 95, 20–28. [Google Scholar]
- Nabais, C.; Hansen, J.K.; David-Schwartz, R.; Klisz, M.; López, R.; Rozenberg, P. The effect of climate on wood density: What provenance trials tell us? For. Ecol. Manag. 2018, 408, 148–156. [Google Scholar] [CrossRef]
Disclaimer/Publisher’s Note: The statements, opinions and data contained in all publications are solely those of the individual author(s) and contributor(s) and not of MDPI and/or the editor(s). MDPI and/or the editor(s) disclaim responsibility for any injury to people or property resulting from any ideas, methods, instructions or products referred to in the content. |
© 2023 by the authors. Licensee MDPI, Basel, Switzerland. This article is an open access article distributed under the terms and conditions of the Creative Commons Attribution (CC BY) license (https://creativecommons.org/licenses/by/4.0/).