Groundwater Recharge from Below under Changing Hydro-Meteorological Conditions in a Forested and Grassland Site of the Great Hungarian Plain
Abstract
:1. Introduction
2. Materials and Methods
3. Results
3.1. General Characterisation of the Dynamics of the Groundwater Level
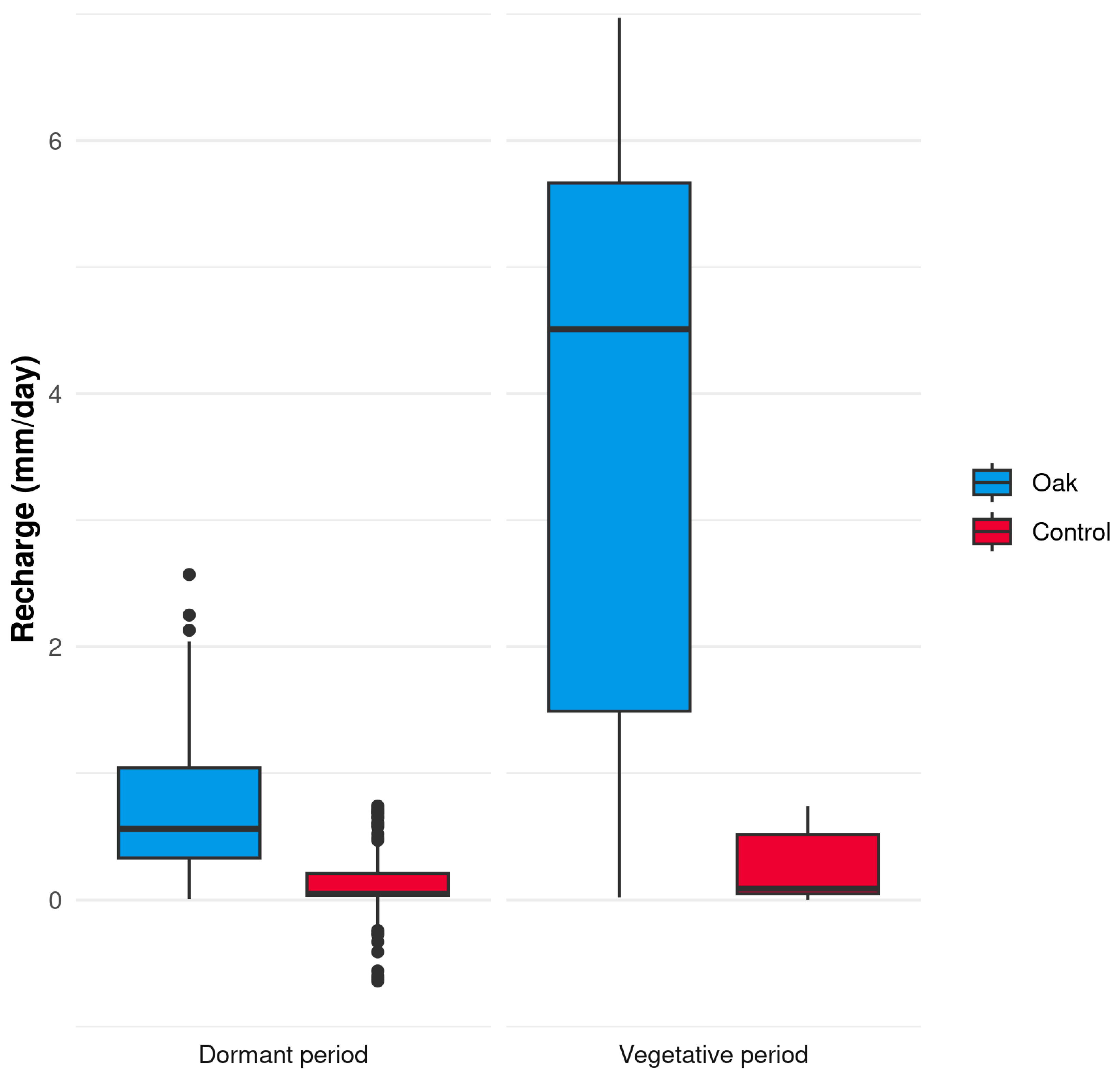
3.2. General Description of the Recharge
4. Discussion
5. Conclusions
Author Contributions
Funding
Data Availability Statement
Acknowledgments
Conflicts of Interest
References
- Atawneh, D.A.; Cartwright, N.; Bertone, E. Climate Change and Its Impact on the Projected Values of Groundwater Recharge: A Review. J. Hydrol. 2021, 601, 126602. [Google Scholar] [CrossRef]
- Hou, X.; Hui, Y.; Cao, J.; Feng, W.; Zhang, Y. A Review of Advances in Groundwater Evapotranspiration Research. Water 2023, 15, 969. [Google Scholar] [CrossRef]
- Andualem, T.G.; Demeke, G.G.; Ahmed, I.; Dar, M.A.; Yibeltal, M. Groundwater Recharge Estimation Using Empirical Methods from Rainfall and Streamflow Records. J. Hydrol. Reg. Stud. 2021, 37, 100917. [Google Scholar] [CrossRef]
- Lee, C.-H.; Chen, W.-P.; Lee, R.-H. Estimation of Groundwater Recharge Using Water Balance Coupled with Base-Flow-Record Estimation and Stable-Base-Flow Analysis. Environ. Geol. 2006, 51, 73–82. [Google Scholar] [CrossRef]
- Manna, F.; Cherry, J.A.; McWhorter, D.B.; Parker, B.L. Groundwater Recharge Assessment in an Upland Sandstone Aquifer of Southern California. J. Hydrol. 2016, 541, 787–799. [Google Scholar] [CrossRef]
- Obuobie, E.; Diekkrueger, B.; Agyekum, W.; Agodzo, S. Groundwater Level Monitoring and Recharge Estimation in the White Volta River Basin of Ghana. J. Afr. Earth Sci. 2012, 71–72, 80–86. [Google Scholar] [CrossRef]
- Szabó, A.; Gribovszki, Z.; Kalicz, P.; Szolgay, J.; Bolla, B. The Soil Moisture Regime and Groundwater Recharge in Aged Forests in the Sand Ridge Region of Hungary after a Decline in the Groundwater Level: An Experimental Case Study. J. Hydrol. Hydromech. 2022, 70, 308–320. [Google Scholar] [CrossRef]
- Yadav, B.; Parker, A.; Sharma, A.; Sharma, R.; Krishan, G.; Kumar, S.; Corre, K.L.; Moreno, P.C.; Singh, J. Estimation of Groundwater Recharge in Semiarid Regions under Variable Land Use and Rainfall Conditions: A Case Study of Rajasthan, India. PLoS Water 2023, 2, e0000061. [Google Scholar] [CrossRef]
- Ijjász, E. A Fatenyészet És Az Altalajvíz, Különös Tekintettel a Nagyalföldi Viszonyokra. Erd. Kísérletek 1939, 42, 107. [Google Scholar]
- Magyar, P. Alföldfásítás. I.-II.; Akademiai Kiado: Budapest, Hungary, 1961. [Google Scholar]
- Gou, S.; Miller, G. A Groundwater–Soil–Plant–Atmosphere Continuum Approach for Modelling Water Stress, Uptake, and Hydraulic Redistribution in Phreatophytic Vegetation. Ecohydrology 2014, 7, 1029–1041. [Google Scholar] [CrossRef]
- Kupec, P.; Deutscher, J.; Futter, M. Longer Growing Seasons Cause Hydrological Regime Shifts in Central European Forests. Forests 2021, 12, 1656. [Google Scholar] [CrossRef]
- Wojkowski, J.; Wałęga, A.; Młyński, D.; Radecki-Pawlik, A.; Lepeška, T.; Piniewski, M.; Kundzewicz, Z.W. Are We Losing Water Storage Capacity Mostly Due to Climate Change—Analysis of the Landscape Hydric Potential in Selected Catchments in East-Central Europe. Ecol. Indic. 2023, 154, 110913. [Google Scholar] [CrossRef]
- Sajil Kumar, P.J.; Schneider, M.; Elango, L. The State-of-the-Art Estimation of Groundwater Recharge and Water Balance with a Special Emphasis on India: A Critical Review. Sustainability 2022, 14, 340. [Google Scholar] [CrossRef]
- West, C.; Rosolem, R.; MacDonald, A.M.; Cuthbert, M.O.; Wagener, T. Understanding Process Controls on Groundwater Recharge Variability across Africa through Recharge Landscapes. J. Hydrol. 2022, 612, 127967. [Google Scholar] [CrossRef]
- Collenteur, R.; Bakker, M.; Klammler, G.; Birk, S. Estimating groundwater recharge from groundwater levels using non-linear transfer function noise models and comparison to lysimeter data. Hydrol. Earth Syst. Sci. 2020, 25, 2931–2949. [Google Scholar] [CrossRef]
- Jia, W.; Yin, L.; Zhang, M.; Zhang, X.; Zhang, J.; Tang, X.; Dong, J. Quantification of Groundwater Recharge and Evapotranspiration along a Semi-Arid Wetland Transect Using Diurnal Water Table Fluctuations. J. Arid Land 2021, 13, 455–469. [Google Scholar] [CrossRef]
- Yonghong, S.; Qi, F.; Gaofeng, Z.; Qi, Z. Evaluating the Different Methods for Estimating Groundwater Evapotranspiration Using Diurnal Water Table Fluctuations. J. Hydrol. 2022, 607, 127508. [Google Scholar] [CrossRef]
- Zhang, W.; Zhao, L.; Yu, X.; Zhang, L.; Wang, N. Estimation of Groundwater Evapotranspiration Using Diurnal Groundwater Level Fluctuations under Three Vegetation Covers at the Hinterland of the Badain Jaran Desert. Adv. Meteorol. 2020, 2020, 8478140. [Google Scholar] [CrossRef]
- Gribovszki, Z. Comparison of Specific-Yield Estimates for Calculating Evapotranspiration from Diurnal Groundwater-Level Fluctuations. Hydrogeol. J. 2018, 26, 869–880. [Google Scholar] [CrossRef]
- Healy, R.W.; Cook, P.G. Using Groundwater Levels to Estimate Recharge. Hydrogeol. J. 2002, 10, 91–109. [Google Scholar] [CrossRef]
- Gribovszki, Z.; Szilágyi, J.; Kalicz, P. Diurnal Fluctuations in Shallow Groundwater Levels and Streamflow Rates and Their Interpretation—A Review. J. Hydrol. 2010, 385, 371–383. [Google Scholar] [CrossRef]
- Fahle, M.; Dietrich, O. Estimation of Evapotranspiration Using Diurnal Groundwater Level Fluctuations: Comparison of Different Approaches with Groundwater Lysimeter Data. Water Resour. Res. 2014, 50, 273–286. [Google Scholar] [CrossRef]
- White, W.N. A Method of Estimating Ground-Water Supplies Based on Discharge by Plants and Evaporation from Soil: Results of Investigations in Escalante Valley, Utah; US Government Printing Office: Washington, DC, USA, 1932; Volume 659. [Google Scholar]
- Fan, J.; Oestergaard, K.T.; Guyot, A.; Lockington, D.A. Estimating Groundwater Recharge and Evapotranspiration from Water Table Fluctuations under Three Vegetation Covers in a Coastal Sandy Aquifer of Subtropical Australia. J. Hydrol. 2014, 519, 1120–1129. [Google Scholar] [CrossRef]
- Jiang, X.-W.; Sun, Z.-C.; Zhao, K.-Y.; Shi, F.-S.; Wan, L.; Wang, X.-S.; Shi, Z.-M. A Method for Simultaneous Estimation of Groundwater Evapotranspiration and Inflow Rates in the Discharge Area Using Seasonal Water Table Fluctuations. J. Hydrol. 2017, 548, 498–507. [Google Scholar] [CrossRef]
- Soylu, M.E.; Lenters, J.D.; Istanbulluoglu, E.; Loheide II, S.P. On Evapotranspiration and Shallow Groundwater Fluctuations: A Fourier-Based Improvement to the White Method. Water Resour. Res. 2012, 48, W06506. [Google Scholar] [CrossRef]
- Wang, T.-Y.; Wang, P.; Yu, J.-J.; Pozdniakov, S.P.; Du, C.-Y.; Zhang, Y.-C. Revisiting the White Method for Estimating Groundwater Evapotranspiration: A Consideration of Sunset and Sunrise Timings. Environ. Earth Sci. 2019, 78, 412. [Google Scholar] [CrossRef]
- Runyan, C.; Welty, C. Use of the White Method to Estimate Evapotranspiration along an Urban Riparian Corridor; CUERE Technical Memo 2010/001; UMBC, Center for Urban Environmental: Baltimore, MD, USA, 2010. [Google Scholar]
- Zhang, P.; Yuan, G.; Shao, M.; Yi, X.; Du, T. Performance of the White Method for Estimating Groundwater Evapotranspiration under Conditions of Deep and Fluctuating Groundwater: Performance of White Method with Deep Groundwater. Hydrol. Process. 2016, 30, 106–118. [Google Scholar] [CrossRef]
- Calder, I.R. Water Use by Forests, Limits and Controls. Tree Physiol. 1998, 18, 625–631. [Google Scholar] [CrossRef]
- Jackson, R.B.; Pockman, W.T.; Hoffmann, W.A. The Importance of Root Distributions for Hydrology, Biogeochemistry, and Ecosystem Functioning. In Integrating Hydrology, Ecosystem Dynamics, and Biogeochemistry in Complex Landscapes, 1st ed.; Tenhunen, J.D., Kabat, P., Eds.; John Wiley & Sons, Inc.: New York City, NY, USA, 1999; pp. 217–238. [Google Scholar]
- Nosetto, M.D.; Jobbágy, E.G.; Paruelo, J.M. Land-Use Change and Water Losses: The Case of Grassland Afforestation across a Soil Textural Gradient in Central Argentina. Glob. Chang. Biol. 2005, 11, 1101–1117. [Google Scholar] [CrossRef]
- Schenk, H.J.; Jackson, R.B. Rooting Depths, Lateral Root Spreads and below-Ground/above-Ground Allometries of Plants in Water-Limited Ecosystems. J. Ecol. 2002, 90, 480–494. [Google Scholar] [CrossRef]
- Kelliher, F.M.; Leuning, R.; Schulze, E.D. Evaporation and Canopy Characteristics of Coniferous Forests and Grasslands. Oecologia 1993, 95, 153–163. [Google Scholar] [CrossRef] [PubMed]
- Móricz, N.; Mátyás, C.; Berki, I.; Rasztovits, E.; Vekerdy, Z.; Gribovszki, Z. Comparative Water Balance Study of Forest and Fallow Plots. IForest—Biogeosci. For. 2012, 5, 188. [Google Scholar] [CrossRef]
- Csáfordi, P.; Szabó, A.; Balog, K.; Gribovszki, Z.; Bidló, A.; Tóth, T. Factors Controlling the Daily Change in Groundwater Level during the Growing Season on the Great Hungarian Plain: A Statistical Approach. Environ. Earth Sci. 2017, 76, 675. [Google Scholar] [CrossRef]
- Nachabe, M.; Shah, N.; Ross, M.; Vomacka, J. Evapotranspiration of Two Vegetation Covers in a Shallow Water Table Environment. Soil Sci. Soc. Am. J. 2005, 69, 492–499. [Google Scholar] [CrossRef]
- Schilling, K. Water Table Fluctuations under Three Riparian Land Covers, Iowa (USA). Hydrol. Process. 2007, 21, 2415–2424. [Google Scholar] [CrossRef]
- Major, P. Síkvidéki Erdők Hatása a Vízháztartásra. Hidrol. Közlöny 2002, 82, 319–323. [Google Scholar]
- Szodfridt, I.; Faragó, S. Talajvíz És Vegetáció Kapcsolata a Duna—Tisza Köze Homokterületén. Bot. Közl 1968, 55, 69–75. [Google Scholar]
- Markó, A. Ipari Nyár Ültetvények Környezeti Hatása Mezőgazdasági Területeken. In Talajvédelem—Magyar talajtani társaság ülése, Keszthely, Hungary, 04-06.09.2014; Hernádi, H., Sisák, I., Szabóné Kele, G., Eds.; Talajvédelmi Alapítvány: Budapest, Hungary, 2014; pp. 69–74. [Google Scholar]
- Nosetto, M.D.; Jobbágy, E.G.; Tóth, T.; Di Bella, C.M. The Effects of Tree Establishment on Water and Salt Dynamics in Naturally Salt-Affected Grasslands. Oecologia 2007, 152, 695–705. [Google Scholar] [CrossRef]
- Szilágyi, J.; Vörösmarty, C. A Duna–Tisza Közi Talajvízszint-Süllyedések Okainak Vizsgálata. Vízügyi Közlemények 1993, 75, 280–294. [Google Scholar]
- Szilágyi, J.; Kovács, Á.; Józsa, J. Remote-Sensing Based Groundwater Recharge Estimates in the Danube-Tisza Sand Plateau Region of Hungary. J. Hydrol. Hydromech. 2012, 60, 64–72. [Google Scholar] [CrossRef]
- Vágás, I. Az Erdők Talajvizszintsüllyesztésének Kútelméleti Értelmezése. Hidrol. Közlöny 1993, 73, 60–61. [Google Scholar]
- Jackson, R.B.; Jobbágy, E.G.; Avissar, R.; Roy, S.B.; Barrett, D.J.; Cook, C.W.; Farley, K.A.; Le Maitre, D.C.; McCarl, B.A.; Murray, B.C. Trading Water for Carbon with Biological Carbon Sequestration. Science 2005, 310, 1944–1947. [Google Scholar] [CrossRef] [PubMed]
- Jobbágy, E.G.; Jackson, R.B. Groundwater Use and Salinization with Grassland Afforestation. Glob. Chang. Biol. 2004, 10, 1299–1312. [Google Scholar] [CrossRef]
- Lu, C.; Zhao, T.; Shi, X.; Cao, S. Ecological Restoration by Afforestation May Increase Groundwater Depth and Create Potentially Large Ecological and Water Opportunity Costs in Arid and Semiarid China. J. Clean. Prod. 2018, 176, 1213–1222. [Google Scholar] [CrossRef]
- Matyasovszky, I.; Weidinger, T.; Bartholy, J.; Barcza, Z. Current Regional Climate Change Studies in Hungary: A Review. Geogr. Helv. 1999, 54, 138–146. [Google Scholar] [CrossRef]
- Novaky, B.; Balint, G. Shifts and Modification of the Hydrological Regime under Climate Change in Hungary. In Climate Change—Realities, Impacts Over Ice Cap, Sea Level and Risks; Singh, B.R., Ed.; InTech: Vienna, Austria, 2013; ISBN 978-953-51-0934-1. [Google Scholar]
- Jánosi, I.; Bíró, T.; Lakatos, B.; Gallas, J.; Szöllosi-Nagy, A. Changing Water Cycle under a Warming Climate: Tendencies in the Carpathian Basin. Climate 2023, 11, 118. [Google Scholar] [CrossRef]
- Vacek, Z.; Vacek, S.; Cukor, J. European Forests under Global Climate Change: Review of Tree Growth Processes, Crises and Management Strategies. J. Environ. Manag. 2023, 332, 117353. [Google Scholar] [CrossRef]
- Árvai, M.; Morgós, A.; Kern, Z. Growth-Climate Relations and the Enhancement of Drought Signals in Pedunculate Oak (Quercus robur L.) Tree-Ring Chronology in Eastern Hungary. iForest-Biogeosci. For. 2018, 11, 267. [Google Scholar] [CrossRef]
- Varga-Haszonits, Z.; Varga, Z. A Meteorológiai Tényezők És a Növényfejlődés Közötti Kapcsolat Modellezésének Módszertani Alapjai. Acta Agron. Óvár. 2014, 56, 53–74. [Google Scholar]
- Varga-Haszonits, Z.; Tar, K.; Lantos, Z.; Varga, Z. Párolgási Formulák Összehasonlítása a Mosonmagyaróvári Meteorológiai Állomás Adatai Alapján. Növénytermelés 2015, 64, 77–96. [Google Scholar]
- Budyko, M.I. Climate of Life; Academic Press: New York, NY, USA; London, UK, 1974. [Google Scholar]
- Tatarinov, F.; Urban, J.; Čermák, J. Application of “Clump Technique” for Root System Studies of Quercus Robur and Fraxinus Excelsior. For. Ecol. Manag. 2008, 255, 495–505. [Google Scholar] [CrossRef]
- Hruska, J.; Čermák, J.; Šustek, S. Mapping Tree Root Systems with Ground-Penetrating Radar. Tree Physiol. 1999, 19, 125–130. [Google Scholar] [CrossRef]
- Thomas, F.M.; Hartmann, G. Tree Rooting Patterns and Soil Water Relations of Healthy and Damaged Stands of Mature Oak (Quercus Robur L. and Quercus Petraea [Matt.] Liebl.). Plant Soil 1998, 203, 145–158. [Google Scholar] [CrossRef]
- Mauer, O.; Houšková, K.; Mikita, T. The Root System of Pedunculate Oak (Quercus Robur L.) at the Margins of Regenerated Stands. J. For. Sci. 2017, 63, 22–33. [Google Scholar] [CrossRef]
- Loheide, S.P.; Butler, J.J., Jr.; Gorelick, S.M. Estimation of Groundwater Consumption by Phreatophytes Using Diurnal Water Table Fluctuations: A Saturated-Unsaturated Flow Assessment. Water Resour. Res. 2005, 41, W07030. [Google Scholar] [CrossRef]
- Gribovszki, Z. Evapotranszspiráció Számítása a Talajvíz Napi Periódusú Változása Alapján. Ph.D. Thesis, Budapesti Műszaki és Gazdaságtudományi Egyetem, Budapest, Hungary, 2009. [Google Scholar]
- Tóth, T.; Balog, K.; Szabó, A.; Pásztor, L.; Jobbágy, E.G.; Nosetto, M.D.; Gribovszki, Z. Influence of Lowland Forests on Subsurface Salt Accumulation in Shallow Groundwater Areas. AoB Plants 2014, 6, plu054. [Google Scholar] [CrossRef] [PubMed]
- Li, Y.; Zhao, M.; Motesharrei, S.; Mu, Q.; Kalnay, E.; Li, S. Local Cooling and Warming Effects of Forests Based on Satellite Observations. Nat. Commun. 2015, 6, 6603. [Google Scholar] [CrossRef] [PubMed]
- Novák, T. Afforestation Affects Vertical Distribution of Basic Soil Characteristics and Taxonomic Status of Sodic Soils. Plant Soil Environ. 2022, 68, 245–252. [Google Scholar] [CrossRef]
- Glanville, K.; Sheldon, F.; Butler, D.; Capon, S. Effects and Significance of Groundwater for Vegetation: A Systematic Review. Sci. Total Environ. 2023, 875, 162577. [Google Scholar] [CrossRef]
- Major, P. A Nagy-Alföld Talajvízháztartása. Hidr. Közl. 1993, 73, 40–43. [Google Scholar]
- Mádl-Szőnyi, J.; Tóth, J. A Hydrogeological Type Section for the Duna-Tisza Interfluve, Hungary. Hydrogeol. J. 2009, 17, 961–980. [Google Scholar] [CrossRef]
- Meyboom, P. Ground Water Studies in the Assiniboine River Drainage Basin: Hydrologic Characteristics of Phreatophytic Vegetation in South-Central Saskatchewan; Department of Energy, Mines and Resources: Ottawa, ON, Canada, 1967; Volume 2. [Google Scholar]
- Tóth, J. A Theoretical Analysis of Groundwater Flow in Small Drainage Basins. J. Geophys. Res. 1963, 68, 4795–4812. [Google Scholar] [CrossRef]
- Puskás, L. Ökológiai Vízpótlás a Körös-Völgy Erdeiben. In Erdő-Víz—Szemelvények az Erdészeti és Gyakorlati Munkákból; Magyar Hivatalos Közlönykiadó Lajosmizsei Nyomdája: Kecskemét, Hungary, 1999; pp. 50–63. [Google Scholar]
- Puskás, L. Ökológiai Vízpótlás a Mályvádi Tározóban. In Alföldi Erdıkért Egyesület Kutatói Nap—Tudományos Eredmények A Gyakorlatban; Alföldi Erdőkért Egyesület: Szeged, Hungary, 2006; pp. 39–48. [Google Scholar]














| Sampling Point | Coordinates | Elevation (Surface, m, a.s.l.) | Well Bottom (m, a.s.l.) | Screening Depth of (m, a.s.l.) | Average Groundwater Level (from Surface, m) | Monitoring Period |
|---|---|---|---|---|---|---|
| Oak | 47°20′29.48″ N 21°05′42.16″ E | 85.78 | 75.25 | 75.78–74.78 | −7.92 (+/−0.52) | 1 November 2018–9 October 2022 |
| Control | 47°20′26.29″ N 21°05′37.46″ E | 85.83 | 76.80 | 76.3–75.3 | −6.78 (+/−0.33) | |
| Meteorological station | 47°20′04.53″ N 21°05′23.70″ E | 88.70 | - |
| Year | Temperature (°C) | Precipitation (mm) | Potential Evapotranspiration (mm) | Aridity Index |
|---|---|---|---|---|
| 2018 | 11.8 | 504.9 | 951.4 | 1.9 |
| 2019 | 11.7 | 439.5 | 897.2 | 2.0 |
| 2020 | 11.8 | 627.3 | 877.4 | 1.4 |
| 2021 | 11.3 | 300.2 | 916.9 | 3.1 |
| 2022 | 11.7 | 288.2 | 1069.5 | 3.7 |
| Depth (from Surface, m) | Control | Oak |
|---|---|---|
| 0–0.2 | L | L |
| 0.2–0.4 | CL | CL |
| 0.4–0.6 | CL | CL |
| 0.6–0.8 | L | L |
| 0.8–1.0 | L | L |
| 1.0–1.5 | L | L |
| 1.5–2.0 | L | CL |
| 2.0–2.5 | L | SL |
| 2.5–3.0 | L | L |
| 3.0–3.5 | L | CL |
| 3.5–4.0 | SL | CL |
| 4.0–4.5 | SL | CL |
| 4.5–5.0 | SL | CL |
| 5.0–5.5 | L | C |
| 5.5–6.0 | L | CL |
| 6.0–6.5 | SL | L |
| 6.5–7.0 | SL | L |
| 7.0–7.5 | L | L |
| 7.5–8.0 | L | L |
| 8.0–8.5 | L | L |
| 8.5–9.0 | L | CL |
Disclaimer/Publisher’s Note: The statements, opinions and data contained in all publications are solely those of the individual author(s) and contributor(s) and not of MDPI and/or the editor(s). MDPI and/or the editor(s) disclaim responsibility for any injury to people or property resulting from any ideas, methods, instructions or products referred to in the content. |
© 2023 by the authors. Licensee MDPI, Basel, Switzerland. This article is an open access article distributed under the terms and conditions of the Creative Commons Attribution (CC BY) license (https://creativecommons.org/licenses/by/4.0/).
Share and Cite
Szabó, A.; Gribovszki, Z.; Szolgay, J.; Kalicz, P.; Balog, K.; Szalai, J.; Hlavčová, K.; Bolla, B. Groundwater Recharge from Below under Changing Hydro-Meteorological Conditions in a Forested and Grassland Site of the Great Hungarian Plain. Forests 2023, 14, 2328. https://doi.org/10.3390/f14122328
Szabó A, Gribovszki Z, Szolgay J, Kalicz P, Balog K, Szalai J, Hlavčová K, Bolla B. Groundwater Recharge from Below under Changing Hydro-Meteorological Conditions in a Forested and Grassland Site of the Great Hungarian Plain. Forests. 2023; 14(12):2328. https://doi.org/10.3390/f14122328
Chicago/Turabian StyleSzabó, András, Zoltán Gribovszki, Ján Szolgay, Péter Kalicz, Kitti Balog, József Szalai, Kamila Hlavčová, and Bence Bolla. 2023. "Groundwater Recharge from Below under Changing Hydro-Meteorological Conditions in a Forested and Grassland Site of the Great Hungarian Plain" Forests 14, no. 12: 2328. https://doi.org/10.3390/f14122328
APA StyleSzabó, A., Gribovszki, Z., Szolgay, J., Kalicz, P., Balog, K., Szalai, J., Hlavčová, K., & Bolla, B. (2023). Groundwater Recharge from Below under Changing Hydro-Meteorological Conditions in a Forested and Grassland Site of the Great Hungarian Plain. Forests, 14(12), 2328. https://doi.org/10.3390/f14122328

