Next Article in Journal
The Different Roles of Mineralogy in Soil Organic Carbon Accumulation in Northern and Southern China
Previous Article in Journal
Optimizing a Regional White Spruce Tree Improvement Program: SNP Genotyping for Enhanced Breeding Values, Genetic Diversity Assessment, and Estimation of Pollen Contamination
 
 
Font Type:
Arial Georgia Verdana
Font Size:
Aa Aa Aa
Line Spacing:
Column Width:
Background:
Article

Surface Roughness of Wood Substrates after Grinding and Its Influence on the Modification Effect of Structural Color Layers

1
College of Furnishings and Industrial Design, Nanjing Forestry University, Nanjing 210037, China
2
Jiangsu Co-Innovation Center of Efficient Processing and Utilization of Forest Resources, Nanjing Forestry University, Nanjing 210037, China
*
Author to whom correspondence should be addressed.
Forests 2023, 14(11), 2213; https://doi.org/10.3390/f14112213
Submission received: 12 September 2023 / Revised: 20 October 2023 / Accepted: 24 October 2023 / Published: 9 November 2023
(This article belongs to the Section Wood Science and Forest Products)

Abstract

:
For a comprehensive understanding of the surface roughness of wood substrates after grinding and its influence on the construction of surface structural color layers (SCLs) and the effect of color production, four typical diffuse-porous wood species were investigated by grinding with abrasive belts of different grits. The results indicated that an abrasive belt of suitable grit was required to form the flattest surface for different wood species. Notably, 400-grit abrasive belts can be used for quaking aspen (QA) and yellow poplar (YP) wood, while 320-grit abrasive belts can be used for kang duan (KD) and hard maple (HM) wood for the grinding process. When the grit of the belt was 80–240, the surface roughness of the wood was high, and the gully contour was mainly determined by the machining marks created by the grits during the cutting process. When the SCLs were constructed on these wood samples, the grooves formed by grit grinding caused the emulsion to overflow on the surface of the wood, thus preventing the formation of well-ordered SCLs with excellent color production. In contrast, when the grit of the abrasive belts was increased to the range of 320–800, the main factors affecting the roughness of the wood surface led to the anatomical structural features. Vessels, in particular, not only affected the surface roughness of the wood but also served as a major path for emulsion flow. The number, diameter, and patency of vessels per unit area were the main factors affecting the SCL’s construction and decoration effect on wood surfaces. This study clarifies that the roughness of the wood surface after the grinding process is jointly influenced by the grit of the abrasive belt and the wood’s anatomical structure. Roughness is an essential factor that affects the modification effect of the SCLs on the surface of wood.

1. Introduction

The photonic crystals formed by the periodic arrangement of microspheres constitute a bandgap material with high and low dielectric constants, which possess the ability to modulate light waves. When the bandgap of photonic crystals lies in the visible wavelength range, light waves are not able to pass through the structure of the photonic crystal and get reflected, leading to surface coherent superposition and the production of a bright structural color [1]. This color-generating mechanism is different from that of the traditional pigmented colors because it is not affected by chemical composition, is difficult to decompose by light, and the structural color exhibits long-term stability [2,3]. Based on such fascinating advantages and properties, structural colors have received significant attention in many fields such as coating decoration [4,5,6,7,8], inkjet printing [9,10,11], anti-counterfeiting [12,13], and information encryption [14,15]. Common methods for the construction of photonic crystal structures include the top–down template printing method and the bottom–up colloidal microsphere self-assembly method. Between them, the self-assembly method has been widely recognized by researchers and industry for its broad range of application prospects, a rich variety of raw materials, simple processing, and generalizability to large-format industrial production. Owing to the variety of application areas, different substrates including glass, metal, hard and soft plastics, hydrogels, fabrics, fibers, paper, wood-based panels, wood, and others have been applied when constructing structural color layers (SCLs) by the self-assembly method. The characteristics of these substrates can affect the construction process of microspheres and the color-generating effect of the SCLs; therefore, it is imperative to conduct systematic research on the substrates suitable for constructing SCLs.
Shao et al. and Zhou et al. conducted research on the application of structural colors for color modification of material surfaces and reported the technique of applying structural colors to textile dyeing, which imparted gorgeous and brilliant colors to the fabrics. They presented detailed analyses of the effects of different fabric substrate materials, colors, textile threads interweaving texture, and other characteristics on the construction of SCLs and color-generating impacts [7,9,16,17,18]. Furthermore, they reported that the flatter fabric substrate and more compact fibers were more conducive to the construction of ordered photonic crystal structures. Moreover, when the polar and water-soluble groups on the fibers were fewer, the colloidal microspheres were more inclined to first fill the gaps between the fibers, which helped to build a bright SCL [16]. These results have been successfully used to guide the pilot production of structured color fabrics, creating textile products with uniform modification effects and large formats. To date, structural colors in the field of wood surface decoration have been studied extensively [4,8,19,20,21], and it has been reported that the application of structural colors to wood surface modification can effectively serve to decorate monotonous-colored wood and enhance its use value. However, the depth of relevant research is still insufficient, and the influence of wood substrates on the effects of construction of SCLs has never been reported.
Wood is a natural material with various anisotropic properties [22,23,24,25], which make it different from materials such as glass, metal, plastic, paper, and wood-based panels. It is a product of tree growth and consists of many different types of cells with rich biological organizations, unlike textiles. Different tree species create very different wood types with significantly different properties [26]. Moreover, the cells and tissues of wood carry characteristics left over from the growth process of the tree; thus, it is likely that the properties of different areas on a piece of wood differ markedly [27,28]. Furthermore, in order to utilize wood in furniture, interior decoration, and architectural doors and windows, a series of processes such as sawing, planing, milling, and finally grinding with sandpaper is also required [29,30,31]. Consequently, when the microspheres are constructed as SCLs on the surface of wood by the self-assembly method, the wood provides a surface consisting of alternating stacks of cell walls and lumens, traces, and marks left by the grinding process, and pronounced microscopic unevenness. Núñez-Montenegro et al. [21] concluded that the porous structure of wood was not conducive to the construction of SCLs when structural color films were used for modifying wood surfaces. Therefore, they first coated the wood with commercial resins and then constructed the SCLs on the resulting painted film. This operation changed the substrate on which the SCLs were constructed, from wood to a polymer paint film, and then the SCLs were used for modification on the resin paint film. This method is desirable, as one of the methods to improve the surface color and performance of wood, but we hold that it is still of great research significance and commercial value to construct SCLs directly on the surface of wood and to carry out research on the analysis of the influence of the complex surface formed by grinding wood on the SCLs construction. Therefore, the main objective is to expand the method and effect of SCL modification of wood and, ultimately, develop a structural color modification process and products suitable for different types of wood.
After cutting, the surface of the wood shows the presence of wear traces due to the cutting motion of the tool and the damage to the cells. The wood at this time is not suitable for direct application in furniture making or interior decoration and usually requires sanding and polishing. This not only improves the visual and tactile effects of wood but also enhances its aesthetical orientation and decorative properties. However, in the process of coating wood with conventional paints, the quality of the sanded wood surface directly affects the coating result. Cells present in the surface layer of wood after the grinding process experience a combination of forces such as cutting, pulling, and squashing, which to some extent improves the surface roughness developed by the tool used for cutting wood, reduces the inhomogeneity of the wood surface, and decreases the effect of microstructures on the non-uniformity of the wood surface profile [32]. Sulaiman et al. [29] studied the surface roughness of rubberwood after grinding, and when the number of sandpaper mesh was increased from 120 to 180, both the radial and tangential surfaces of the wood became smoother. Luo et al. [30,33] used Korean pine, JATOBA, and MDF as research objects and compared their surface roughness after grinding. Moreover, they also attempted to predict the roughness parameters by using a back propagation neural network and analyzed the correlation among parameters by grey relevancy degree. Compared to homogeneous materials with various isotropies, the surface roughness of natural wood is more easily influenced by its anatomical structure. In the process of SCL-based modification of wood, the wood after the grinding process can provide a relatively flat surface for the ordered self-assembly of microspheres, which may improve the construction effect of the modification layer and contribute to the formation of SCLs with a high percentage of internal well-ordered structure and excellent color-generating effect.
However, the impact of the surface roughness of wood after grinding on the construction of SCLs and color-generation effects has not been clearly explained to date. Therefore, for clarification of the variation of wood surface roughness after grinding and its impact on the SCL, in this study, four common types of diffuse-porous wood, namely quaking aspen (QA, Populus tremuloides Michx.), yellow poplar (YP, Liriodendron tulipifera L.), kang duan (KD, Tilia mandshurica Rupr. & Maxim.), and hard maple (HM, Acer saccharum Marshall), were selected as research objects, and they were ground with seven different grits of abrasive belts. Special research was carried out on the number of grinding grits, morphology, and roughness characteristics of the wood surface after grinding, as well as the influence of these factors on the construction of SCLs and the effect of color production. The main objective was to clarify the influence of the surface roughness of the wood after grinding on the construction effect of SCLs and to provide theoretical support for promoting the development of key technology for the structural color modification of wood surfaces.

2. Materials and Methods

2.1. Materials and Types of Wood

In this study, analytical reagent (AR) grade chemicals were used directly without any further purification after purchase. Styrene (St) monomer was purchased from Shanghai Macklin Biochemical Technology Co., Ltd., (Shanghai, China), ammonium persulfate (APS) and sodium dodecylbenzene sulfonate (SDBS) from Shanghai Lingfeng Chemical Reagent Co., Ltd., (Shanghai, China), and ethanol from Nanjing Reagent Co. Ltd., (Nanjing, China). Ultrapure water was used in all the experiments, which was homemade in the laboratory using a Plus-E3 ultrapure water machine (18.2 MΩ cm, Nanjing EPED Co., Ltd., Nanjing, China).
Four common diffuse-porous types of wood, namely, QA, YP, KD, and HM, were selected for this study, among which QA was provided by Alberta, Canada; and YP, KD, and HM were purchased from Taobao stores. Notably the color, cell size, tissue morphology, and other characteristics of the wood substrate impact the construction of SCLs; therefore, these four types of wood were selected based on several considerations. They are all diffuse-porous wood commonly found in the Chinese lumber market. These wood types consist of uniform structures. They are grained but not very prominently, are generally yellowish–white in color, and have small vessels that are not visible to the naked eye. These features reduce, to some extent, the influence of differences in substrate properties on the analysis of surface roughness due to wood grinding as well as on the analysis of SCLs construction and modification effects. When purchased, the wood had already undergone a drying process and was left to equilibrate in the air, which resulted in a final air-dry moisture content of approximately 12%.

2.2. Synthesis of Polystyrene Microspheres

The microsphere emulsions used to construct SLCs in this study were prepared in the laboratory by an emulsion polymerization process previously designed and proposed by our team through single-factor experiments [19]. For the synthesis, a certain amount of initiator APS and emulsifier SDBS were dissolved in a mixture of water and ethanol (water: ethanol = 100:40), and the resultant liquid was stirred at 400 rpm and slowly warmed up to 75 °C. Next, the St monomer was added, and the reaction was continued for 6 h. Eventually, the polystyrene (PSt) emulsion with a solid content of 14.7% was obtained. The emulsion droplets were dried on glass slides, and then the dried coatings were characterized by scanning electron microscopy (SEM). The diameters of no less than 300 microspheres in the SEM images were measured by using ImageJ software (version 1.52a), and the average particle size of the microspheres was calculated to be 207.4 nm, with a coefficient of variation of 0.028. It indicates that the microspheres in the emulsion exhibited an excellent uniformity of particle size, which made them suitable for constructing SCLs on the surface of wood.

2.3. Grinding of Wood Surfaces

For systematic investigation of the influence of the surface roughness of the sanded wood grinding surface on the effect of SCLs construction, after purchasing the wood, it was sawn into specimens with tangential sections of 40 mm × 40 mm × 10 mm, and the angle between the growth rings and the surface of the board was <45°. Next, seven kinds of abrasive belts with different grits of 80, 120, 240, 320, 400, 600, and 800 (Jiangsu Sanling Abrasive Co., Ltd., Yancheng, China) were used to grind the four types of wood. The reason for selecting these mesh sizes of abrasive belts was that, in our previous research, we often used 320-grit sandpaper to grind wood, which could provide SCLs with well-ordered structure and color generation performance. Therefore, in this study, three sand belt mesh numbers corresponding to higher and lower sand belt mesh numbers than 320 were selected, which are commonly used in the wood processing field, widely exist in the market, and are convenient to purchase. A variable speed belt micro sander (800 w, Zhengzhou Lezhizhe Model Technology Co., Ltd., Zhengzhou, China) was used as the grinding equipment. The schematic of the wood grinding process is shown in Figure 1. The spindle speed during the grinding process was ~6000 r/min. Two specimens of each wood species were ground along the wood fiber direction. It was found that abrasive belts with grits of 80, 120, and 240 exhibited high efficiency of grinding performance and wood surface destruction ability, thus these abrasive belts were directly used to grind and saw the wood to obtain the required specimens. However, the abrasive belts with grits of 320, 400, 600, and 800, with thin grits, were less capable of destroying the surface of the wood by grinding. This made it difficult to efficiently remove the marks left by sawing and did not show well the effect of the wood after grinding with high-grit abrasive belts. Therefore, sawn wood was first ground using 240-grit abrasive belts to obtain a relatively smooth base surface, and then the target specimen was obtained by grinding the wood with these four grit abrasive belts. During the grinding process, the treatment time of individual wood specimens subjected to abrasive belts with different grits was not less than 3 min, which ensured that the surface of the specimens after grinding could show the roughness characteristics caused by the corresponding grit abrasive belts. Further, the specimens were blown through compressed air to remove the wood dust attached to the surface.

2.4. Construction of SCLs on Wood Surfaces

In this study, the synthesized PSt microsphere emulsion was applied on the surface of specimens with different roughness by the drop-coating method. Then, the emulsion dispersant was evaporated by the heat-assisted gravimetric deposition method, which prompted the self-assembly of PSt microspheres on the surface of the specimens and led to the construction of SCLs. A pencil was used to gently outline a line frame of 30 × 30 mm on the specimen surface, and a pipette (DLAB Scientific Co., Ltd., Beijing, China) was used to suck up the emulsion to coat in the line frame. The amount of emulsion added was 40.8 μL/cm2, and then the specimen was smoothly transferred and dried in a blower drying oven at 50 °C for 1 h, which led to the formation of the SCLs.

2.5. Characterization

The surface roughness of the specimen obtained after grinding the four types of wood species using abrasive belts with different grits was measured with a stylus-type material surface roughness measuring instrument (JB-4C, Shanghai Taiming Optical Instrument Co., Ltd., Shanghai, China). The measuring instrument meets the requirements of the Chinese national standard GB/T 10610 [34], which is equivalent to ISO 4288:1996 [35]. The diameter of the stylus was 2 μm. Two specimens with different roughness characteristics were prepared for each wood species, and five test starting points were randomly selected on the surface of each specimen to obtain a total of 10 sets of data. The sampling length of a single test was set as 2.5 mm, and the evaluation length was 12.5 mm. The direction of stylus movement was perpendicular to the direction of wood grinding, that is, the tests were carried out along the transverse direction on the surface of the specimens. The resulting arithmetic mean deviation of the contour (Ra), the maximum height of the contour (Rz), and the mean width of the contour cell (Rsm) were recorded at the end of each test. Finally, the mean and standard deviation of 10 sets of measurement data were calculated, and the mean values were recorded as Ra-80Ra-800, Rz-80Rz-800, and Rsm-80Rsm-800, respectively, for a total of 84 sets of data in order to measure the surface roughness formed by different woods under different grits of abrasive belts. Moreover, a portable microscope camera (TipscopeCAM, Convergence Technology Co., Ltd., Wuhan, China) was used to obtain magnified photographs of the specimen surface. The main features of the three sections of the four types of woods were characterized by SEM (TM-1000, Hitachi, Ltd., Tokyo, Japan). A Nikon D7000 SLR camera (Nikon Imaging (China) Sales Co., Ltd., Shanghai, China) was used to photograph the wood specimen before construction and the SCLs after construction. The reflectance spectra of the SCLs on the surface of the specimen were measured using an ultraviolet–visible (UV–vis) spectrophotometer (U3900, Hitachi Ltd., Tokyo, Japan).

3. Results and Discussion

3.1. Analysis of the Surface Roughness of Four Types of Wood after Grinding

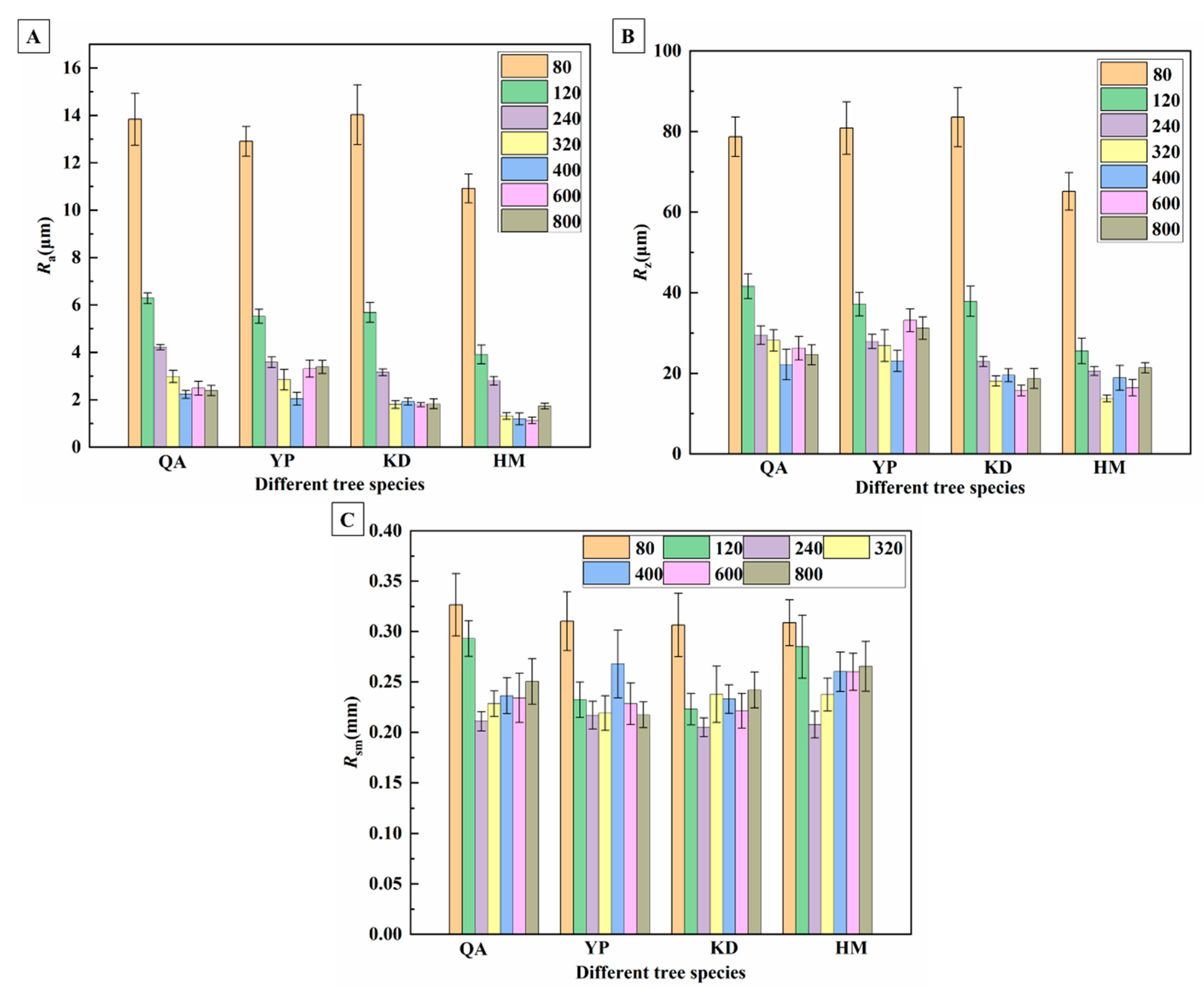
Notably, Ra, Rz, and Rsm are three parameters used for assessing the roughness of wood, which can be automatically calculated by using the software accompanying the test instrument. Comparative analysis results of Ra, Rz, and Rsm values were obtained by grinding the same species of wood with abrasive belts of different grits, and the corresponding results are shown in Figure 2. When testing the surface roughness of a specimen, the stylus was moved in the direction perpendicular to the fibers, spanning the walls and lumens of multiple cells in a single test. The reason for moving the stylus across the direction of the wood fibers and not in the direction of the wood fibers was that the direction of the wood fibers was used in the grinding process; therefore, the resulting grinding trajectory was mostly in the direction of the wood fibers as well. If we had considered carrying out the test in the direction of the wood fibers, it might have resulted in a single test where the traveled route came from a set of grit-forming grooves without providing a complete reflection of the wood surface roughness brought about by the abrasive belt grinding. For comparison analysis, a graph comparing the values of Ra, Rz, and Rsm obtained by grinding different wood species with an abrasive belt of the same grit was also obtained and presented in Supplementary Figure S1.
Figure 2A and Figure S1A exhibit that when the abrasive belt grit was 80–400, the Ra values of all the types of wood species showed a gradual decreasing trend with the increase of the abrasive belt grit. That is, as the grit on the abrasive belt acting as the grinding edge gradually became smaller, shallower grooves were formed due to grinding, which is similar to the results of the previous studies on other species of trees [29,30,31]. Figure 2A demonstrates that when the abrasive belts exceeded 400 grit, the Ra of the four types of wood species showed a different state. The Ra values of QA and KD wood did not change much, while those of YP wood increased at 600 and 800 grit (Ra-600-YP = 3.3134 μm, Ra-800-YP = 3.3861 μm), and the same result was observed at 800 grit for HM wood. This phenomenon was also observed in previous studies, but the corresponding grit of the abrasive belts was different from this study. The reasons for this phenomenon are related to the characteristics of the wood itself, i.e., the species type and the relationship between the angle of the cutting edge and the wood fibers during the grinding process [30,32]. In this study, all the surfaces of the ground wood consisted of a combination of radial and tangential planes and purely radial or tangential wood planes were not present. In other words, during the grinding process, not all cuts were in the wood fiber direction; it was possible for the grit to cut from the lateral direction and truncate the cells, and the severance of the cells might also be caused by multiple cuts by multiple grits. Therefore, the Ra value was affected by not only the size of the grinding grit but also the angular relationship between the grinding direction and the direction of the wood fibers. Figure S1A illustrates that, for different tree species, when the abrasive belt grit was the same, the Ra value of HM wood was significantly smaller than those of the other three kinds of wood, which might be related to the density and surface hardness of the wood. Moreover, it also indicates that this is related to the wall-to-cavity ratio of the wood cells and the micromechanical properties of the wood [31]. The Ra-80 values of all four wood species were the largest, all more than one times larger than Ra-120, and their standard deviations were also significantly higher than others. This result suggests that the wood surface was rougher at this time, and the size of the grooves formed on the surface of the same piece of wood spanned a larger range of dimensions due to the effect of inhomogeneous grit on the sandpaper.
Notably, Ra is the main parameter used for evaluating the wood surface roughness; therefore, a single factor analysis of variance (ANOVA) was performed to clarify the difference in surface roughness caused by grinding wood with abrasive belts of different grits, as presented in Table S1. Clearly, when all abrasive belt grits were considered, the p-values obtained from the ANOVA for each group were extremely small, indicating that the differences between the data were extremely significant, which is in line with the results presented in Figure 2A. The Ra values under 320- to 800-grit abrasive belts were selected for further analysis, and it was found that the p-value = 0.13 > 0.05 for KD wood only, indicating that these four values of Ra were similar. It indicates that the surface roughness of KD wood under grinding with an abrasive belt with 320–800 grits was more or less the same. However, the Ra values of the remaining three types of wood species under treatments with 320- to 800-grit abrasive belts were significantly different. Therefore, in conjunction with Figure 2A, the Ra values obtained from QA wood under 400- to 800-grit abrasive belt treatment were selected for an ANOVA, which yielded a p-value = 0.06 > 0.05. This result clearly illustrates that the QA wood exhibited a similar surface roughness under the action of 400- to 800-grit abrasive belt grinding. The same method verified that HM wood showed similar effects under grinding with 320- to 600-grit abrasive belts (p-value = 0.09 > 0.05). Differently, for YP wood, Ra values in the ranges of 400–800 and 320–600 were selected for evaluation, and the resulting p-value was still extremely small, which, in combination with Figure 2A, suggests that the optimal grinding belt grit for YP wood was 400.
Further, Rz represents the sum of the maximum contour peak height and the valley depth within a sampling length in roughness testing, and Figure 2B and Figure S1B present that, similar to Ra, its value exhibited a tendency of decreasing and then flattening out with the increase in the abrasive belt grit. Figure 2B illustrates that the variation of Rz was not large when the grit of the sanding belt was 240–800, which indicates that the maximum values of the surface grooves formed by abrasive belt-treated wood in this range were similar. Moreover, these grooves could be determined by the wall cavity structure of the cells [36]. Figure S1B demonstrates that the Rz values of HM wood were significantly smaller than those of the other three woods when the abrasive belt grits were 80 and 120. In contrast, under the treatment by larger grits of the abrasive belt, the Rz values of HM wood were about the same as those of KD wood and significantly smaller than those of QA and YP wood, which indirectly suggests that the major cell (vessel) scales of KD and HM wood might be similar and smaller than those of QA and YP wood. This was confirmed later in Section 3.3. Therefore, the above-mentioned results show that when the grit number of the abrasive belt exceeds a certain threshold, the main factor influencing the peak heights and valley depths of the wood surface profile is no longer the size of the grit of the abrasive belt, but rather the wall cavity structure of the wood cells.
The average value of the width of the outline unit over the sampling length was denoted by Rsm. Figure 2C and Figure S1C exhibit that the Rsm values obtained under the abrasive belt treatments for the four types of wood species at all grits except 80 grit did not differ much. The exception was that Rsm-120-QA and Rsm-120-HM of QA and HM wood, respectively, were significantly higher than those of the other two woods after being subject to 120 grit abrasive belts. However, the lowest Rsm values for all four types of wood species were obtained at 240-grit, and the Rsm values showed an increase with the continuous increase in the abrasive belt grit. Notably, the roughness profile curve included a crest and a trough in one profile unit, therefore, the formation factors of the profile units of the wood surface obtained by grinding with different abrasive belt grits might be different. At lower grits (80–240), that is, when the abrasive belts consisted of larger grits, the profile was mainly derived from the traces produced by the cutting of the grits. When the abrasive belt grit exceeded 240 grit or more, it was presumed that the surface roughness profile was composed of a combination of wood cell wall cavity structure and grit cutting traces. Moreover, the dominant role of wood cell wall cavity structure on Rsm increased as the abrasive belt grit became larger and the grit size became smaller.
In summary, the analysis results of the roughness evaluation parameters Ra, Rz, and Rsm showed that the surface characteristics of the ground wood were determined by the combination of the grit cutting traces and the wood cell organization characteristics. For a single species of wood, the most significant factor in the grinding process that affected the roughness was the grain size of the abrasive grit, that is, the grit of the abrasive belt [30,37,38]. With the increase in the grit size of the abrasive belt, the grain size of the abrasive particles decreased, the unit cutting volume of the wood became smaller, and the wood surface would not form deep, obvious cutting marks. At this point, the surface roughness of the wood after grinding was expected to be affected by its anatomical structure, in particular, the wall-cavity structure of the cells [32,36,39,40]. In conjunction with this study, the four types of diffuse-porous wood showed a rougher surface after the grinding process when the abrasive belt grit was 80–240. At this time, the surface profile was mainly determined by the traces of the grit cutting the wood, and when the abrasive belt grit was elevated to 320–800, the main influencing factor of roughness was transformed into the structure of its own cell. In order to obtain lower Ra and Rz values and to save processing costs and improve processing efficiency, abrasive belts with a grit size of 400 can be used for QA and YP wood, while 320-grit abrasive belts can be used for KD and HM wood for the grinding process.

3.2. Morphological Characteristics and Formation Cause of Four Types of Wood Surfaces after Grinding with Abrasive Belts of Different Grits

In order to more intuitively present the surface morphology of the four types of wood after being processed by different grits of abrasive belts, a portable micro-camera was used in this study, as shown in Figure 3. In the grinding of wood, in fact, the abrasive particles on the wood acted as miniature cutting tools and were involved in the negative angle multi-tooth cutting. Moreover, cutting was continued in the unit processing length by a number of abrasive particles together, thus the surface of wood obtained by grinding was not the same as the morphology obtained by sawing, planing, milling, and other machining methods [32]. The grinding process underwent four processes, namely, sliding friction, densification, plowing, and cutting, to improve the uniformity of the wood surface and reduce the influence of the wood anatomy on the roughness profile.
In this study, when 80- to 240-grit abrasive belts were used (Figure 3A–C), evidently, the surfaces of all four types of wood species were covered with grooves formed by the grit cutting the wood and burrs formed by the severing of multiple bundles of wood fibers. Notably, no anatomical structural features could be observed. Furthermore, the width and depth of the grooves gradually decreased with the increase of the grit of the abrasive belts, which is consistent with the roughness test results. At this point, the main factor affecting the surface roughness of the wood was the grit of the abrasive belt. During the grinding process, the abrasive belt moved in the direction of the wood fibers, and the wood fiber bundles, cell walls, etc. were dragged from their original positions and formed burrs. Their length could affect the surface roughness of the wood. Moreover, when the PSt microsphere-containing emulsion was applied dropwise on the wood surface to construct the SCLs, the burr possibly absorbed the solvent in the emulsion, underwent re-stretch, and stood up on the wood surface, which influenced the effect of constructing SCLs. Comparative analysis of the surfaces of the four types of wood species under 80-grit belt grinding (Figure 3A) indicates that the surface grooves and wood fiber bundles of the QA wood were clearly defined, with obvious traces of broken fiber bundles, and its surface exhibited fewer small-sized burrs (Figure 3A(1)). In contrast, numerous small-sized burrs erected on the surface of fiber bundles were observed on the surface of YP and KD wood (Figure 3A(2,3)). Different from these three types of wood was HM wood, which was smaller in length although burrs were also observed (Figure 3A(4)). It indicates that the formation of wood surface morphology was also influenced by the mechanical properties of wood cells and intercellular bonding properties as well as by the structure of cell wall layers and the strength of interlayer bonding.
When abrasive belts with 320–800-grit were used (Figure 3D–G), the woods showed very different surface morphology. The grooves created by abrasive grinding were no longer visible and were replaced with anatomical features such as vessels and rays. The white bundles in the images correspond to the traces of broken wood fibers. These fractured fibers were much smaller than those formed by 80- to 240-grit abrasive belts on wood, essentially about the same size as the vessels and wood rays, and the number of burrs was significantly reduced. These burrs were mostly formed by cells subjected to grit grinding, in particular, vessels. During the grinding process, the wall-cavity structure of the vessels, wood fibers, and ray cells on the wood surface might also have a deformation-absorbing capacity to the pressing and damaging of the grit. Moreover, this absorption was correlated with the cell wall-cavity ratio and the density of diffuse-porous wood [41]. In summary, the roughness of the wood surface was indeed determined by a combination of the abrasive belt cutting marks and the anatomical structure of the wood.
Noteworthy, the results of pre-tests already indicated that with the increase in the grit size, the efficiency of waste removal during the belt grinding of wood decreased significantly. Therefore, before selecting 320- to 800-grit abrasive belts to grind the wood, the specimen was treated with a 240-grit abrasive belt to remove the surface sawing marks. This operation is in line with the idea of daily processing of wood and also ensures the effectiveness of high-grit abrasive belts for grinding wood. However, the roughness evaluation parameter analysis and results shown in Figure 3G indicate that the surface roughness after grinding wood with 800-grit abrasive belts was not better than that obtained with the 600-grit abrasive belt and presented obvious burrs in the micrographs. It indicated that the cutting efficiency of 800-grit abrasive belts was lower than that of 600-grit belts. This was mainly attributed to the larger grit of the abrasive belt, the shorter cutting edge of the grit, and the shallower depth of cut, which might be less than the vessel cavity diameter. The tension along the direction of the cellular fibers decreased, and the number of fibers removed also decreased, thus the obvious burrs still could not be removed from the wood surface. Furthermore, the larger the abrasive belt grits, the closer the arrangement of the grits, the narrower the voids, and the more the tendency of the wood powder generated during the grinding process to get filled in between the grits. This further reduced the pulling force of the grits on the cell surface and affected the grinding efficiency. Consequently, after prolonged grinding, the 800-grit abrasive belts were still unable to completely remove the groove structure that was previously formed on the wood surface.

3.3. Variability and Formation Cause of SCLs on the Wood Surface with Different Roughness

In order to clarify the effect of the surface roughness of wood on SCLs, in this study, four types of wood species treated with seven grits of abrasive belts were used as substrates, and equal amounts of emulsions containing PSt microspheres were uniformly applied on the wood surfaces to construct SCLs. In our previous study, the mechanism of constructing SCLs on the wood surface was already explored [8]. In this study, the emulsion polymerization method was used to obtain the PSt emulsion, which was white when synthesized. When it was coated on the surface of the wood, the dispersants (water and ethanol) in the emulsion continuously diffused into the air. In this process, the microspheres self-assembled under the combined effect of electrostatic force, intermolecular force, capillary force, gravity, and buoyancy force to form an ordered three-dimensional photonic crystal structure. This structure exhibits photonic forbidden band properties and is capable of reflecting visible light in a certain wavelength range, which is captured by the human eye and the structural color can be observed. The modulation of visible light by photonic crystal structure is in accordance with Bragg’s law of diffraction. The average particle size of the PSt microspheres used in this study was about 207.4 nm, and the SCLs formed showed a green color.
Figure 4 shows the photographs of the surfaces of four types of wood species of different roughness and coated with SCLs, obtained using a Nikon digital camera. The images reveal that the surface roughness affected the construction and color-generating effect of the SCLs on the wood, and this phenomenon was especially obvious under the small-grit abrasive belt treatment (Figure 4A–C). When the abrasive belt grit was 80, the coating spillage was severe, and only some green spots could be seen on the surfaces of all the wood species, and the complete SCLs could not be observed (Figure 4A). When the grit size was 120, the HM wood surface exhibited the formation of complete and well-defined SCLs; however, the surface of the other three kinds of wood showed the formation of a fuzzy coating. This result coincides with the results of the two parameters Ra and Rz in the roughness analysis, where the Ra and Rz values of the HM wood were lower than those of the other three species under 80- and 120-grit abrasive belt treatments. This result verifies that it is required to process the wood surface by grinding in order to achieve a certain flatness before carrying out the structural color modification. At a belt grit of 240, the surfaces of all four types of wood species were largely capable of forming SCLs, except that the emulsions on YP and KD wood flowed out of the specified wireframe range during the self-assembly process (Figure 4C(2,3)). The overflowing of the emulsion inevitably led to a reduction in the number of microspheres used for the self-assembly process per unit area, and the resulting SCLs were, therefore, less saturated than the SCLs on the other two wood types where the color block was intact. At a belt grit of 320–800, all four kinds of wood were essentially able to form bright green SCLs on the surface. Comparative analysis of the SCLs photographs shows that for both YP and KD wood, a small amount of emulsion spilled out of the wireframe area after application, and this was more severe for YP wood. Although coating spillage was not observed on the HM wood surface, a closer look revealed that the SCL surface was not flat and consisted of many raised mounds. This might be related to the self-structural characteristics of HM wood, where the addition of an emulsion droplet to the wood surface resulted in the penetration of the emulsion into the wood interior, squeezing to exclude the interior air of the wood, which affected the self-assembly of the microspheres and modification layer construction, and ultimately led to the formation of mounds.
Based on naked-eye observation, in order to have a more comprehensive understanding of the variability of the color-generating effect of SCLs on the wood surface with different roughness, visible reflectance spectroscopy was used in this study to characterize SCLs on different wood surfaces treated with different grits of abrasive belts, as shown in Figure 5. Comparison of the surface reflectance spectral curves of unfinished QA wood (QA–0) indicates that the curves after 80- and 120-grit abrasive belt treatments were essentially identical to those of QA–0, with only the QA-120 curve showing a flat peak (Figure 5A). Moreover, both specimens exhibited significantly higher reflectivity in the visible range, mainly due to the white color of the PSt microspheres. When SCLs could not be formed, it was equivalent to a white powder coating on the wood surface and, therefore, the reflection of visible light was elevated. For the wood treated with 240- to 800-grit abrasive belts, the reflectance curves showed a distinct peak shape and the peaks were located at essentially the same position at about 492 nm, which coincided with the green color shown by the SCLs. The comparative analysis shows that the relative peak height of the QA–400 curve was the largest. Combined with the results of the roughness evaluation parameter analysis presented in the previous section, it indicates that the lowest values of Ra (2.2301 μm) and Rz (22.1975 μm) values were obtained for the QA wood after treatment with the 400-grit abrasive belt, and the SCLs constructed on the wood surface at this time also showed the optimal color-generating effect (Figure 4E(1)).
For YP wood (Figure 5B), the variation of the reflection curves of the SCLs on the wood surface obtained after grinding using an abrasive belt with different grits reveals that the locations of the reflection peaks were similar to those of QA wood. The lowest values of its surface roughness parameters Ra and Rz were obtained under treatment with a 400-grit abrasive belt; however, the reflectance curve with the largest relative peak height was not YP–400, but YP–800. In conjunction with the images of the SCLs on the wood surface (Figure 4A(2)–G(2)), this might be related to the susceptibility of the YP wood surface emulsion to overflow.
Figure 5C exhibits the presence of a gentle peak in curves for both KD-80 and KD-120 curves. Moreover, when the abrasive belt grit was increased above 240, the peak shapes of the curves were basically the same, with only minor differences in the relative peak heights, among which the curves with the largest relative peak heights were obtained for KD-320 and KD-400.
The reflectance spectra of the SCLs on the HM wood were not quite the same as those of the other three species, and the four curves, i.e., HM-80, HM-240, HM-400, and HM-600, were similarly linear, with gentle peaks in the reflectance region. However, they did not show the same relative peak heights and half-peak widths. The three curves, i.e., HM-120, HM-320, and HM-800, also exhibited similar linearity, with the difference that they had narrower half-peak widths and a sharp peak shape. This variability was related to differences in the photonic crystal structures that were constructed in SCLs. Flat, broad peaks indicate that there were fewer long-range well-ordered photonic crystals and more defects in the SCLs. In contrast, sharp peak shapes were brought about by highly ordered structures [4,8]. A comparison of Figure 4A(4)–G(4) indicates that SCLs on HM wood consisted of many small mounds with uneven coating thickness. The edge portion of the SCLs formed under 240-, 400-, and 600-grit belt treatments was superior to the center portion (Figure 4C(4),E(4),F(4)). Overall, the SCLs formed under the 120-, 320-, and 800-grit belt treatments were more uniform (Figure 4B(4),D(4),G(4)). Thus, the HM wood surface roughness might not be the only factor affecting the SCLs construction and color-generating effects.
In summary, when grinding belts with smaller grits (80 and 120, except for HM wood) were used, the wood surface became covered with grooves formed by the grit cutting, which not only led to higher roughness but also provided channels for the flow of emulsion. This is in line with previous findings [29,42] that rough surfaces of wood have lower water contact angles and higher wettability, which makes it difficult to form SCLs with well-defined boundaries and good color-generating effects. When the abrasive belt grit exceeded 240, the variability of the SCLs of the four types of wood surfaces did not seem to be controlled solely by roughness, but rather by a combination of the abrasive belt grinding traces and anatomical structure of the wood surfaces.
In order to better comprehend the anatomical and structural characteristics of the four types of wood, three sections of the wood were characterized by SEM, as shown in Figure 6. Compared to QA and HM wood (Figure 6A,D), the number of vessels per unit area was much higher in YP and KD wood, and the diameter of the vessels in YP wood was larger than that in KD wood (Figure 6B,C). This was precisely the reason for the overflowing of the emulsion on the YP wood surface even after grinding to form a flatter surface, which resulted in an effective reduction of the surface wettability (Figure 4D(2)–G(2)). The emulsion on the KD wood surface, although it also overflowed, showed a relatively small vessel size, and the amount of overflowing emulsion was very limited after 400- to 800-grit abrasive belt treatments (Figure 4E(3)–G(3)). QA wood not only consisted of fewer vessels per unit area and shorter individual vessels but also, more importantly, the perforated plates between the vessels formed a good barrier. This could be clearly seen in the cross-section image where QA wood differed from the other three species in that the perforated plates formed an omental barrier in the vessels (Figure 6A(c)). In the radial section and the tangential section, the perforated plates were in the form of curled sheets (Figure 6A(r,t), and such a structure well blocked the transportation of emulsion in the vessel cavities of the surface layer of wood. Therefore, the emulsion on the QA wood surface did not overflow but rather assembled into an SCL with a good color-generating effect (Figure 4C(1)–G(1). HM wood contrasted with QA wood. Although it consisted of a low number of vessels and a small inner diameter of the vessels, the perforations did not create a blocking effect because they were open between the vessels. Although the HM wood surface was very flat and the surface wettability was low, the emulsion coating would not spill out of the surface but would flow down a portion of the vessel into the interior of the wood. This resulted in an insufficient amount of microspheres participating in the self-assembly of the surface layer, and the displaced air in the vessel lumen caused the formation of raised mounds on the surface of the SCLs, thus affecting the color-generating effect.

4. Conclusions

In this study, the surface roughness, morphological characteristics, and formation causes of four types of diffuse-porous wood after grinding were analyzed. Moreover, the influence of the surface roughness on the SCLs was systematically explored. The following conclusions can be drawn:
(1)
The wood surface roughness was the major factor affecting SCL construction and color production.
(2)
For optimum roughness, the QA and YP wood species selected in this study could be ground with 400-grit abrasive belts, while KD and HM wood species could be ground with 320-grit abrasive belts.
(3)
When the grit of the abrasive belt was small, wide and deep grooves were formed on the wood surface, which dominated the surface roughness of the wood and provided a flow path for the emulsion.
(4)
When the grit of the belt was large enough, the main factor affecting surface roughness was the anatomical characteristics of the wood. The diameter of vessels in diffuse-porous wood determined the surface roughness of the wood and allowed for emulsion transfer.
(5)
When applying emulsion coatings to construct SCLs, it is necessary to consider blocking the vessels of individual wood to obtain SCLs with good structural color effect.

Supplementary Materials

The following supporting information can be downloaded at: https://www.mdpi.com/article/10.3390/f14112213/s1, Figure S1: Comparison of Ra, Rz, and Rsm values obtained by grinding with the same grits of abrasive belts between the different tree species; A Ra; B Rz; C Rsm; Table S1: ANOVA of Ra values of 4 wood species under different grit abrasive belt treatments.

Author Contributions

Conceptualization, Y.L., J.H. and W.X.; methodology, Y.L. and J.H.; data curation, Y.L.; writing—original draft preparation, Y.L. and J.H.; writing—review and editing, Y.L. and J.H.; visualization, Y.L. All authors have read and agreed to the published version of the manuscript.

Funding

This work was supported by the postgraduate research and practice innovation program of Jiangsu Province (KYCX23_1196, Jiangsu education department), the postdoctoral research project of Zhejiang Province (271235, Zhejiang Province Human Resources and Social Security Department), Qing Lan Project (Jiangsu education department) and the Youth Program of Science and Technology Innovation Fund of Nanjing Forestry University (grant numbers CX2019016, Nanjing Forestry University).

Data Availability Statement

The raw and processed data required to reproduce these findings cannot be shared at this time as the data also forms part of an ongoing study.

Acknowledgments

The authors acknowledge the valuable support from Nanjing Forestry University.

Conflicts of Interest

The authors declare no conflict of interest.

References

  1. Kuo, C.Y.; Lu, S.Y. Opaline metallic photonic crystals possessing complete photonic band gaps in optical regime. Appl. Phys. Lett. 2008, 92, 391. [Google Scholar] [CrossRef]
  2. Xuan, Z.; Li, J.; Liu, Q.; Yi, F.; Wang, S.; Lu, W. Artificial structural colors and applications. Innovation 2021, 2, 100081. [Google Scholar] [CrossRef]
  3. Dalmis, R.; Yılmaz, O.; Dikici, T. A new concept for the eco-friendly structural colorization of anodic titania: Photonic crystal structure. Colloids Surf. A Physicochem. Eng. Asp. 2021, 631, 127748. [Google Scholar] [CrossRef]
  4. Shen, Z.; Shi, L.; You, B.; Wu, L.; Zhao, D. Large-scale fabrication of three-dimensional ordered polymer films with strong structure colors and robust mechanical properties. J. Mater. Chem. 2012, 22, 8069–8075. [Google Scholar] [CrossRef]
  5. Shen, Z.; Yang, Y.; Lu, F.; Bao, B.; You, B. Self-assembly of binary particles and application as structural colors. Polym. Chem. 2012, 3, 2495–2501. [Google Scholar] [CrossRef]
  6. Kohri, M.; Nannichi, Y.; Taniguchi, T.; Kishikawa, K. Biomimetic non-iridescent structural color materials from polydopamine black particles that mimic melanin granules. J. Mater. Chem. 2015, 3, 720–724. [Google Scholar] [CrossRef]
  7. Zhou, L.; Li, Y.; Liu, G.; Fan, Q.; Shao, J. Study on the correlations between the structural colors of photonic crystals and the base colors of textile fabric substrates. Dye Pigments 2016, 133, 435–444. [Google Scholar] [CrossRef]
  8. Liu, Y. Self-assembly of poly(styrene-methyl methacrylate-acrylic acid) (P(St-MMA-AA)) colloidal microspheres on wood surface by thermal-assisted gravity deposition. Wood Sci. Technol. 2021, 55, 403–417. [Google Scholar] [CrossRef]
  9. Liu, G.; Zhou, L.; Zhang, G.; Li, Y.; Chai, L.; Fan, Q.; Shao, J. Fabrication of patterned photonic crystals with brilliant structural colors on fabric substrates using ink-jet printing technology. Mater. Des. 2017, 114, 10–17. [Google Scholar] [CrossRef]
  10. Fudouzi, H.; Xia, Y.N. Photonic papers and inks: Color writing with colorless materials. Adv. Mater. 2003, 15, 892. [Google Scholar] [CrossRef]
  11. Cui, L.; Li, Y.; Wang, J.; Tian, E.; Zhang, X.; Zhang, Y.; Song, Y.; Jiang, L. Fabrication of large-area patterned photonic crystals by ink-jet printing. J. Mater. Chem. 2009, 19, 5499–5502. [Google Scholar] [CrossRef]
  12. Nam, H.; Song, K.; Ha, D.; Kim, T. Inkjet printing based mono-layered photonic crystal patterning for anti-counterfeiting structural colors. Sci. Rep. 2016, 6, 30885. [Google Scholar] [CrossRef] [PubMed]
  13. Cui, Y.; Hegde, R.S.; Phang, I.Y.; Lee, H.K.; Ling, X.Y. Encoding molecular information in plasmonic nanostructures for anti-counterfeiting applications. Nanoscale 2014, 6, 282–288. [Google Scholar] [CrossRef]
  14. Liao, J.; Zhu, C.; Gao, B.; Zhao, Z.; Liu, X.; Tian, L.; Zeng, Y.; Zhou, X.; Xie, Z.; Gu, Z. Multiresponsive elastic colloidal crystals for reversible structural color patterns. Adv. Funct. Mater. 2019, 29, 1902954. [Google Scholar] [CrossRef]
  15. Ge, D.; Lee, E.; Yang, L.; Cho, Y.; Min, L.; Gianola, D.S.; Yang, S. A robust smart window: Reversibly switching from high transparency to angle-independent structural color display. Adv. Mater. 2015, 27, 2489–2495. [Google Scholar] [CrossRef] [PubMed]
  16. Li, Y.; Zhou, L.; Zhang, G.; Liu, G.; Fan, Q.; Shao, J. Study on the effects of the characteristics of textile substrates on the photonic crystal films and the related structural colors. Surf. Coat. Technol. 2017, 319, 267–276. [Google Scholar] [CrossRef]
  17. Liu, G.; Shao, J.; Zhang, Y.; Wu, Y.; Wang, C.; Fan, Q.; Zhou, L. Self-assembly behavior of polystyrene/methacrylic acid (P(St-MAA)) colloidal microspheres on polyester fabrics by gravitational sedimentation. J. Text. Inst. 2015, 106, 1293–1305. [Google Scholar] [CrossRef]
  18. Zhou, L.; Wu, Y.; Chai, L.; Liu, G.; Fan, Q.; Shao, J. Study on the formation of three-dimensionally ordered SiO2 photonic crystals on polyester fabrics by vertical deposition self-assembly. Text. Res. J. 2015, 86, 1973–1987. [Google Scholar] [CrossRef]
  19. Hu, J.; Liu, Y.; Xu, W.; Wu, Z.; Pang, X. Effects of preparation and self-assembly of poly(styrene-acrylic acid) (P(St-AA)) microspheres upon constructed photonic crystals with structural color on wood surfaces. Coatings 2022, 12, 1520. [Google Scholar] [CrossRef]
  20. Aguirre, C.I.; Reguera, E.; Stein, A. Colloidal photonic crystal pigments with low angle dependence. ACS Appl. Mater. Interfaces 2010, 11, 3257–3262. [Google Scholar] [CrossRef]
  21. Núñez-Montenegro, A.; Crista, D.M.A.; Esteves da Silva, J.C.G. Structural coloration based on photonic crystals for coating applications on wood. Eur. J. Wood Wood Prod. 2020, 78, 293–300. [Google Scholar] [CrossRef]
  22. Wu, Q.; Li, W.; Yan, X. Effect of microcapsules on mechanical, optical, self-Healing and electromagnetic wave absorption in waterborne wood paint coatings. Coatings 2023, 13, 1478. [Google Scholar] [CrossRef]
  23. Feng, X.; Chen, J.; Yu, S.; Wu, Z.; Huang, Q. Mild hydrothermal modification of beech wood (Zelkova schneideriana Hand-Mzt): Its physical, structural, and mechanical properties. Eur. J. Wood Wood Prod. 2022, 80, 933–945. [Google Scholar] [CrossRef]
  24. Wang, Y.; Pan, P.; Yan, X. Preparation of chitosan-modified nano-silver solution microcapsules and their effects on antibacterial properties of waterborne coatings. Coatings 2023, 13, 1433. [Google Scholar] [CrossRef]
  25. Brodersen, C.R. Visualizing wood anatomy in three dimensions with high-resolution X-ray micro-tomography (μCT)-a review. IAWA J. 2013, 34, 408–424. [Google Scholar] [CrossRef]
  26. Chattaway, M. Morphological and functional variations in the rays of pored timbers. Aust. J. Biol. Sci. 1951, 4, 12–27. [Google Scholar] [CrossRef]
  27. Burgert, I.; Eckstein, D. The tensile strength of isolated wood rays of beech (Fagus sylvatica, L.) and its significance for the biomechanics of living trees. Trees 2001, 15, 168–170. [Google Scholar] [CrossRef]
  28. Hass, P.; Wittel, F.K.; McDonald, S.A.; Marone, F.; Stampanoni, M.; Herrmann, H.J.; Niemz, P. Pore space analysis of beech wood: The vessel network. Holzforschung 2010, 64, 639–644. [Google Scholar] [CrossRef]
  29. Sulaiman, O.; Hashim, R.; Subari, K.; Liang, C.K. Effect of sanding on surface roughness of rubberwood. J. Mater. Process. Technol. 2009, 209, 3949–3955. [Google Scholar] [CrossRef]
  30. Bao, X.; Ying, J.; Cheng, F.; Zhang, J.; Luo, B.; Li, L.; Liu, H. Research on neural network model of surface roughness in belt sanding process for Pinus koraiensis. Measurement 2017, 115, 11–18. [Google Scholar] [CrossRef]
  31. Zhang, J.; Sun, P.; Luo, B.; Liu, H. Surface creation and cutting characteristics during sugar maple wood scratching with spherical cone grit. Eur. J. Wood Wood Prod. 2021, 79, 679–689. [Google Scholar] [CrossRef]
  32. Luo, B.; Li, L.; Xu, M.J.; Liu, H.G.; Xing, F.R. Analysis of static friction coefficient between work-piece and rubber belt in sanding wood-based panel. Bioresources 2014, 9, 7372–7381. [Google Scholar] [CrossRef]
  33. Luo, B.; Zhang, J.; Bao, X.; Liu, H.; Li, L. The effect of granularity on surface roughness and contact angle in wood sanding process. Measurement 2020, 165, 108133. [Google Scholar] [CrossRef]
  34. GB/T 10610-2009; Geometrical Product Specifications (GPS)—Surface texture: Profile Method—Rules and Procedures for the Assessment of Surface Texture. General Administration of Quality Supervision, Inspection and Quarantine of the People’s Republic of China: Beijing, China, 2009. Standardization Administration of the People’s Republic of China: Beijing, China; Standards Press of China: Beijing, China, 2009.
  35. ISO 4288-1996; Geometrical Product Specifications (GPS)—Surface Texture: Profile Method—Rules and Procedures for the Assessment of Surface Texture. International Organization for Standardization: Geneve, Switzerland, 1996.
  36. Taylor, J.B.; Carrano, A.L.; Lemaster, R.L. Quantification of process parameters in a wood sanding operation. For. Prod. J. 1999, 49, 41–46. [Google Scholar]
  37. Salcă, E.A.; Hiziroglu, S. Analysis of surface roughness of black alder as function of various processing parameters. Pro Ligno 2012, 8, 68–79. [Google Scholar]
  38. Saloni, D.E.; Lemaster, R.L.; Jackson, S.D. Abrasive machining process characterization on material removal rate, final surface texture, and power consumption for wood. For. Prod. J. 2006, 55, 35–41. [Google Scholar]
  39. Varasquim, F.M.F.D.; Alves, M.C.D.S.; Gonçalves, M.T.T.; Santiago, L.F.F.; Souza, A.J.D.D. Influence of belt speed, grit sizes and pressure on the sanding of Eucalyptus grandis wood. Cerne 2012, 18, 231–237. [Google Scholar] [CrossRef]
  40. Cui, X.; Guo, J.; Zheng, J. Optimization of geometry parameters for ceramic cutting tools in intermittent turning of hardened steel. Mater. Des. 2016, 92, 424–437. [Google Scholar] [CrossRef]
  41. Zhang, J.; Ying, J.; Cheng, F.; Liu, H.; Luo, B.; Li, L. Investigating the sanding process of medium-density fiberboard and Korean pine for material removal and surface creation. Coatings 2018, 8, 416. [Google Scholar] [CrossRef]
  42. Richter, K.; Feist, W.C.; Knaebe, M.T. The effect of surface roughness on the performance of finishes. Part 1. Roughness characterization and stain performance. For. Prod. J. 1995, 46, 91–97. [Google Scholar] [CrossRef]
Disclaimer/Publisher’s Note: The statements, opinions, and data contained in all publications are solely those of the individual author(s) and contributor(s) and not of MDPI and/or the editor(s). MDPI and/or the editor(s) disclaim responsibility for any injury to people or property resulting from any ideas, methods, instructions, or products referred to in the content.
Figure 1. Schematic showing the wood grinding process.
Figure 1. Schematic showing the wood grinding process.
Forests 14 02213 g001
Figure 2. Comparison of Ra, Rz, and Rsm values obtained for the same tree species by grinding them with abrasive belts of different grits; (A) Ra; (B) Rz; (C) Rsm.
Figure 2. Comparison of Ra, Rz, and Rsm values obtained for the same tree species by grinding them with abrasive belts of different grits; (A) Ra; (B) Rz; (C) Rsm.
Forests 14 02213 g002
Figure 3. Surface morphology of the four types of wood species after grinding with different abrasive belt grits; the abrasive belt grits are: (A) 80; (B) 120; (C) 240; (D) 320; (E) 400; (F) 600; (G) 800; (1) QA; (2) YP; (3) KD; (4) HM.
Figure 3. Surface morphology of the four types of wood species after grinding with different abrasive belt grits; the abrasive belt grits are: (A) 80; (B) 120; (C) 240; (D) 320; (E) 400; (F) 600; (G) 800; (1) QA; (2) YP; (3) KD; (4) HM.
Forests 14 02213 g003
Figure 4. Wood surfaces without SCLs (W) and SCLs of the four types of wood surfaces treated with different grits of abrasive belts; the abrasive belt grits are (A) 80; (B) 120; (C) 240; (D) 320; (E) 400; (F) 600; (G) 800; (1) QA; (2) YP; (3) KD; (4) HM.
Figure 4. Wood surfaces without SCLs (W) and SCLs of the four types of wood surfaces treated with different grits of abrasive belts; the abrasive belt grits are (A) 80; (B) 120; (C) 240; (D) 320; (E) 400; (F) 600; (G) 800; (1) QA; (2) YP; (3) KD; (4) HM.
Forests 14 02213 g004
Figure 5. Reflectance spectra of SCLs on the surfaces of four types of wood species treated with different grits of abrasive belts; the woods are (A) QA; (B) YP; (C) KD; (D) HM.
Figure 5. Reflectance spectra of SCLs on the surfaces of four types of wood species treated with different grits of abrasive belts; the woods are (A) QA; (B) YP; (C) KD; (D) HM.
Forests 14 02213 g005
Figure 6. SEM images showing morphological characteristics of three sections of four wood species; the woods are (A) QA; (B) YP; (C) KD; (D) HM; (c) cross-section; (r) radial section; and (t) tangential section.
Figure 6. SEM images showing morphological characteristics of three sections of four wood species; the woods are (A) QA; (B) YP; (C) KD; (D) HM; (c) cross-section; (r) radial section; and (t) tangential section.
Forests 14 02213 g006
Disclaimer/Publisher’s Note: The statements, opinions and data contained in all publications are solely those of the individual author(s) and contributor(s) and not of MDPI and/or the editor(s). MDPI and/or the editor(s) disclaim responsibility for any injury to people or property resulting from any ideas, methods, instructions or products referred to in the content.

Share and Cite

MDPI and ACS Style

Liu, Y.; Hu, J.; Xu, W. Surface Roughness of Wood Substrates after Grinding and Its Influence on the Modification Effect of Structural Color Layers. Forests 2023, 14, 2213. https://doi.org/10.3390/f14112213

AMA Style

Liu Y, Hu J, Xu W. Surface Roughness of Wood Substrates after Grinding and Its Influence on the Modification Effect of Structural Color Layers. Forests. 2023; 14(11):2213. https://doi.org/10.3390/f14112213

Chicago/Turabian Style

Liu, Yi, Jing Hu, and Wei Xu. 2023. "Surface Roughness of Wood Substrates after Grinding and Its Influence on the Modification Effect of Structural Color Layers" Forests 14, no. 11: 2213. https://doi.org/10.3390/f14112213

APA Style

Liu, Y., Hu, J., & Xu, W. (2023). Surface Roughness of Wood Substrates after Grinding and Its Influence on the Modification Effect of Structural Color Layers. Forests, 14(11), 2213. https://doi.org/10.3390/f14112213

Note that from the first issue of 2016, this journal uses article numbers instead of page numbers. See further details here.

Article Metrics

Back to TopTop