Modeling Management-Relevant Urban Forest Stand Characteristics to Optimize Carbon Storage and Sequestration
Abstract
1. Introduction
Relevant Similarities and Differences between Urban Forests and Rural Forests
2. Materials and Methods
2.1. Background: The Rural PPA
2.2. Modifying the Rural PPA for Urban Street Trees
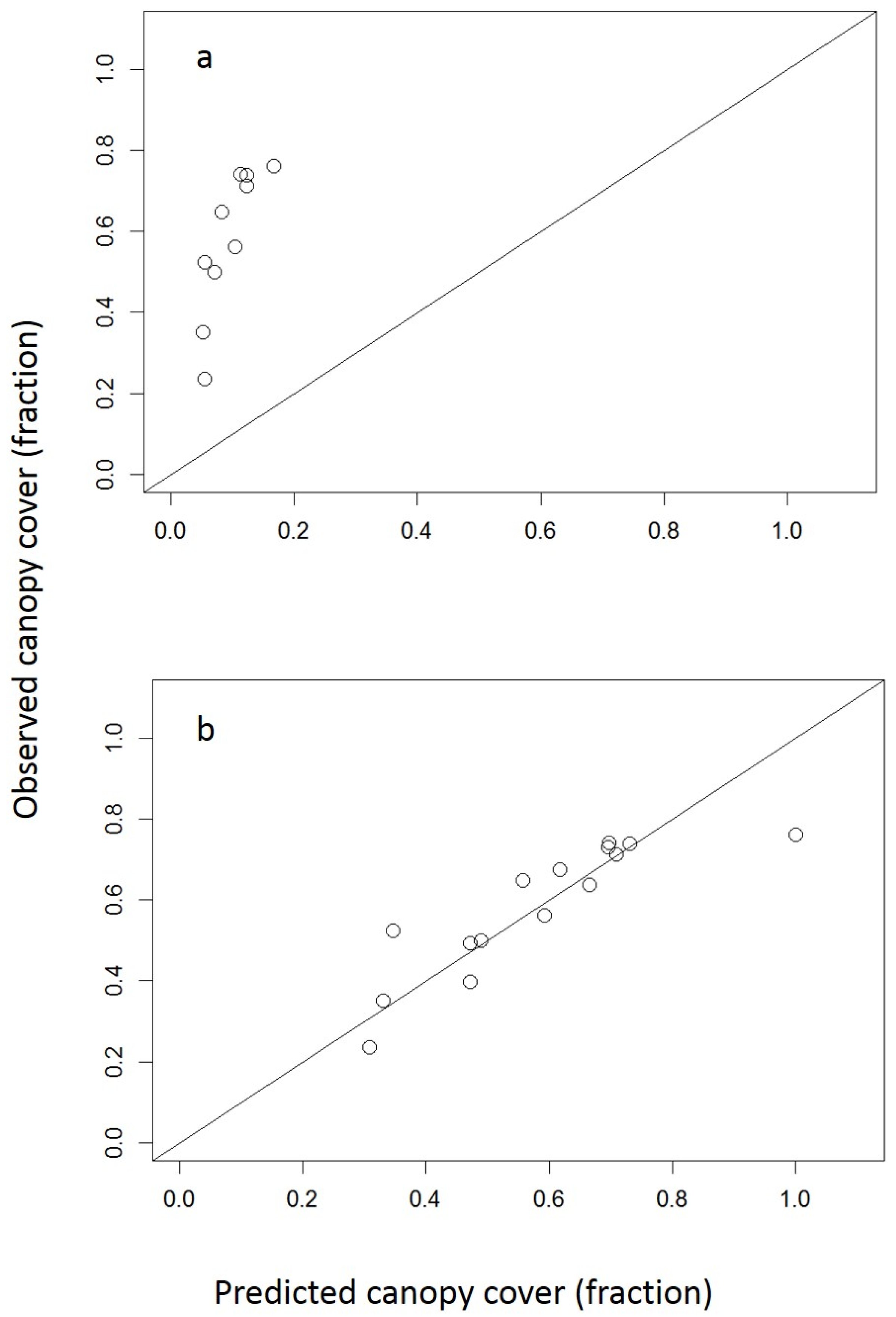
2.3. Empirical Tuning of Crown Area to Stem Diameter Allometry in Chicago
2.4. Factorial Experiment
2.5. Urban Forest Inventory Analysis Data
3. Results
4. Discussion
4.1. Productivity
4.2. Crown Allometry
4.3. Mortality Rate
4.4. Simulation Experiment
4.5. Limitations of the Model
4.6. Implications for Urban Forest Management
5. Conclusions
Supplementary Materials
Author Contributions
Funding
Data Availability Statement
Conflicts of Interest
Appendix A. Description of Loop Calculations
Appendix A.1. Canopy Height, Z*
Appendix A.2. Carbon Storage and Sequestration
Appendix A.3. Fecundity
Appendix A.4. Mortality
Appendix A.5. Stem Diameter, Height, and Crown Area Growth
Appendix B. Modifying the Rural PPA to Reflect Urban Conditions
Roof Crown Area
Appendix C. Empirical Tuning of Crown Area to Stem Diameter Allometry in Chicago


Appendix D. Urban Forest Inventory Analysis Data
Species-Related Adjustments
References
- Nowak, D.J.; Greenfield, E.J.; Hoehn, R.E.; Lapoint, E. Carbon Storage and Sequestration by Trees in Urban and Community Areas of the United States. Environ. Pollut. 2013, 178, 229–236. [Google Scholar] [CrossRef]
- Nowak, D.J.; Hoehn, R.E.I.; Bodine, A.R.; Crane, D.E.; Dwyer, J.F.; Bonnewell, V.; Watson, G. Urban Trees and Forests of the Chicago Region; U.S. Department of Agriculture, Forest Service, Northern Research Station: Newtown Square, PA, USA, 2013; p. NRS-RB-84.
- Schmitt-Harsh, M.; Mincey, S.K.; Patterson, M.; Fischer, B.C.; Evans, T.P. Private Residential Urban Forest Structure and Carbon Storage in a Moderate-Sized Urban Area in the Midwest, United States. Urban For. Urban Green. 2013, 12, 454–463. [Google Scholar] [CrossRef]
- Nowak, D.J.; Noble, M.H.; Sisinni, S.M.; Dwyer, J.F. People and Trees: Assessing the U.S. Urban Forest Resource. J. For. 2001, 99, 37–42. [Google Scholar]
- Turner-Skoff, J.B.; Cavender, N. The Benefits of Trees for Livable and Sustainable Communities. Plants People Planet 2019, 1, 323–335. [Google Scholar] [CrossRef]
- IPCC Global Warming of 1.5 °C. 2018. Available online: https://www.ipcc.ch/sr15/ (accessed on 19 March 2021).
- Le Quéré, C.; Andrew, R.M.; Friedlingstein, P.; Sitch, S.; Pongratz, J.; Manning, A.C.; Korsbakken, J.I.; Peters, G.P.; Canadell, J.G.; Jackson, R.B.; et al. Global Carbon Budget 2017. Earth Syst. Sci. Data 2018, 10, 405–448. [Google Scholar] [CrossRef]
- Nowak, D.J.; Greenfield, E.J. Tree and Impervious Cover in the United States. Landsc. Urban Plan. 2012, 107, 21–30. [Google Scholar] [CrossRef]
- Nowak, D.J.; Walton, J.T. Projected Urban Growth (2000–2050) and Its Estimated Impact on the US Forest Resource. J. For. 2005, 103, 383–389. [Google Scholar]
- McPherson, E.G.; Nowak, D.; Heisler, G.; Grimmond, S.; Souch, C.; Grant, R.; Rowntree, R. Quantifying Urban Forest Structure, Function, and Value: The Chicago Urban Forest Climate Project. Urban Ecosyst. 1997, 1, 49–61. [Google Scholar] [CrossRef]
- McPherson, E.G.; Simpson, J.R. Potential Energy Savings in Buildings by an Urban Tree Planting Programme in California. Urban For. Urban Green. 2003, 2, 73–86. [Google Scholar] [CrossRef]
- Donovan, G.H.; Butry, D.T. Trees in the City: Valuing Street Trees in Portland, Oregon. Landsc. Urban Plan. 2010, 94, 77–83. [Google Scholar] [CrossRef]
- Smith, I.A.; Dearborn, V.K.; Hutyra, L.R. Live Fast, Die Young: Accelerated Growth, Mortality, and Turnover in Street Trees. PLoS ONE 2019, 14, e0215846. [Google Scholar] [CrossRef] [PubMed]
- Janowiak, M.; Connelly, W.J.; Dante-Wood, K.; Domke, G.M.; Giardina, C.; Kayler, Z.; Marcinkowski, K.; Ontl, T.; Rodriguez-Franco, C.; Swanston, C.; et al. Considering Forest and Grassland Carbon in Land Management; U.S. Department of Agriculture, Forest Service, Washington Office: Washington, DC, USA, 2017; p. WO-GTR-95.
- Tsamir, M.; Gottlieb, S.; Preisler, Y.; Rotenberg, E.; Tatarinov, F.; Yakir, D.; Tague, C.; Klein, T. Stand Density Effects on Carbon and Water Fluxes in a Semi-Arid Forest, from Leaf to Stand-Scale. For. Ecol. Manag. 2019, 453, 117573. [Google Scholar] [CrossRef]
- Khan, M.N.I.; Shil, M.C.; Azad, M.S.; Sadath, M.N.; Feroz, S.M.; Mollick, A.S. Allometric Relationships of Stem Volume and Stand Level Carbon Stocks at Varying Stand Density in Swietenia Macrophylla King Plantations, Bangladesh. For. Ecol. Manag. 2018, 430, 639–648. [Google Scholar] [CrossRef]
- Kirby, K.R.; Potvin, C. Variation in Carbon Storage among Tree Species: Implications for the Management of a Small-Scale Carbon Sink Project. For. Ecol. Manag. 2007, 246, 208–221. [Google Scholar] [CrossRef]
- Rahman, M.M.; Kabir, M.E.; Jahir Uddin Akon, A.S.M.; Ando, K. High Carbon Stocks in Roadside Plantations under Participatory Management in Bangladesh. Glob. Ecol. Conserv. 2015, 3, 412–423. [Google Scholar] [CrossRef]
- Anderson, S.; Knapp, B.O.; Kabrick, J.M. Stand-Density Effects on Aboveground Carbon Dynamics in Secondary Pinus and Quercus Forests of Central USA. For. Sci. 2023, 69, 213–227. [Google Scholar] [CrossRef]
- Schaedel, M.S.; Larson, A.J.; Affleck, D.L.R.; Belote, R.T.; Goodburn, J.M.; Page-Dumroese, D.S. Early Forest Thinning Changes Aboveground Carbon Distribution among Pools, but Not Total Amount. For. Ecol. Manag. 2017, 389, 187–198. [Google Scholar] [CrossRef]
- Pretzsch, H. Density and Growth of Forest Stands Revisited. Effect of the Temporal Scale of Observation, Site Quality, and Thinning. For. Ecol. Manag. 2020, 460, 117879. [Google Scholar] [CrossRef]
- Dybala, K.E.; Steger, K.; Walsh, R.G.; Smart, D.R.; Gardali, T.; Seavy, N.E. Optimizing Carbon Storage and Biodiversity Co-Benefits in Reforested Riparian Zones. J. Appl. Ecol. 2019, 56, 343–353. [Google Scholar] [CrossRef]
- D’Amato, A.W.; Bradford, J.B.; Fraver, S.; Palik, B.J. Effects of Thinning on Drought Vulnerability and Climate Response in North Temperate Forest Ecosystems. Ecol. Appl. 2013, 23, 1735–1742. [Google Scholar] [CrossRef]
- Ferrenberg, S. Landscape Features and Processes Influencing Forest Pest Dynamics. Curr. Landsc. Ecol. Rep. 2016, 1, 19–29. [Google Scholar] [CrossRef][Green Version]
- Gleason, K.E.; Bradford, J.B.; Bottero, A.; D’Amato, A.W.; Fraver, S.; Palik, B.J.; Battaglia, M.A.; Iverson, L.; Kenefic, L.; Kern, C.C. Competition Amplifies Drought Stress in Forests across Broad Climatic and Compositional Gradients. Ecosphere 2017, 8, e01849. [Google Scholar] [CrossRef]
- Latham, P.; Tappeiner, J. Response of Old-Growth Conifers to Reduction in Stand Density in Western Oregon Forests. Tree Physiol. 2002, 22, 137–146. [Google Scholar] [CrossRef]
- Negrón, J.F.; Fettig, C.J. Mountain Pine Beetle, a Major Disturbance Agent in US Western Coniferous Forests: A Synthesis of the State of Knowledge. For. Sci. 2014, 60, 409–413. [Google Scholar] [CrossRef]
- Hilbert, D.; Roman, L.; Koeser, A.; Vogt, J.; Van Doorn, N. Urban Tree Mortality: A Literature Review. Arboric. Urban For. 2019, 45, 167–200. [Google Scholar] [CrossRef]
- Guide to the Chicago Landscape Ordinance; City of Chicago Office of the Mayor: Chicago, IL, USA, 2000.
- Specifications for Street Tree Planting; City of Oakland, Oakland Public Works Department: Oakland, CA, USA, 2015.
- Strigul, N.; Pristinski, D.; Purves, D.; Dushoff, J.; Pacala, S. Scaling from Trees to Forests: Tractable Macroscopic Equations for Forest Dynamics. Ecol. Monogr. 2008, 78, 523–545. [Google Scholar] [CrossRef]
- Purves, D.W.; Lichstein, J.W.; Strigul, N.; Pacala, S.W. Predicting and Understanding Forest Dynamics Using a Simple Tractable Model. Proc. Natl. Acad. Sci. USA 2008, 105, 17018–17022. [Google Scholar] [CrossRef] [PubMed]
- Dybzinski, R.; Farrior, C.; Wolf, A.; Reich, P.B.; Pacala, S.W. Evolutionarily Stable Strategy Carbon Allocation to Foliage, Wood, and Fine Roots in Trees Competing for Light and Nitrogen: An Analytically Tractable, Individual-Based Model and Quantitative Comparisons to Data. Am. Nat. 2011, 177, 153–166. [Google Scholar] [CrossRef] [PubMed]
- Dybzinski, R.; Farrior, C.E.; Pacala, S.W. Increased Forest Carbon Storage with Increased Atmospheric CO2 despite Nitrogen Limitation: A Game-Theoretic Allocation Model for Trees in Competition for Nitrogen and Light. Glob. Change Biol. 2015, 21, 1182–1196. [Google Scholar] [CrossRef]
- Lichstein, J.W.; Pacala, S.W. Local Diversity in Heterogeneous Landscapes: Quantitative Assessment with a Height-Structured Forest Metacommunity Model. Theor. Ecol. 2011, 4, 269–281. [Google Scholar] [CrossRef]
- Bohlman, S.; Pacala, S. A Forest Structure Model That Determines Crown Layers and Partitions Growth and Mortality Rates for Landscape-Scale Applications of Tropical Forests. J. Ecol. 2012, 100, 508–518. [Google Scholar] [CrossRef]
- Strigul, N.; Florescu, I.; Welden, A.R.; Michalczewski, F. Modelling of Forest Stand Dynamics Using Markov Chains. Environ. Modell. Softw. 2012, 31, 64–75. [Google Scholar] [CrossRef]
- Farrior, C.E.; Tilman, D.; Dybzinski, R.; Reich, P.B.; Levin, S.A.; Pacala, S.W. Resource Limitation in a Competitive Context Determines Complex Plant Responses to Experimental Resource Additions. Ecology 2013, 94, 2505–2517. [Google Scholar] [CrossRef] [PubMed]
- Farrior, C.E.; Dybzinski, R.; Levin, S.A.; Pacala, S.W. Competition for Water and Light in Closed-Canopy Forests: A Tractable Model of Carbon Allocation with Implications for Carbon Sinks. Am. Nat. 2013, 181, 314–330. [Google Scholar] [CrossRef]
- Farrior, C.E.; Rodriguez-Iturbe, I.; Dybzinski, R.; Levin, S.A.; Pacala, S.W. Decreased Water Limitation under Elevated CO2 Amplifies Potential for Forest Carbon Sinks. Proc. Natl. Acad. Sci. USA 2015, 112, 7213–7218. [Google Scholar] [CrossRef]
- Zhang, T.; Lichstein, J.W.; Birdsey, R.A. Spatial and Temporal Heterogeneity in the Dynamics of Eastern US Forests: Implications for Developing Broad-Scale Forest Dynamics Models. Ecol. Model. 2014, 279, 89–99. [Google Scholar] [CrossRef]
- Weng, E.S.; Malyshev, S.; Lichstein, J.W.; Farrior, C.E.; Dybzinski, R.; Zhang, T.; Shevliakova, E.; Pacala, S.W. Scaling from Individual Trees to Forests in an Earth System Modeling Framework Using a Mathematically Tractable Model of Height-Structured Competition. Biogeosciences 2015, 12, 2655–2694. [Google Scholar] [CrossRef]
- Weng, E.; Farrior, C.E.; Dybzinski, R.; Pacala, S.W. Predicting Vegetation Type through Physiological and Environmental Interactions with Leaf Traits: Evergreen and Deciduous Forests in an Earth System Modeling Framework. Glob. Change Biol. 2017, 23, 2482–2498. [Google Scholar] [CrossRef]
- Weng, E.; Dybzinski, R.; Farrior, C.E.; Pacala, S.W. Competition Alters Predicted Forest Carbon Cycle Responses to Nitrogen Availability and Elevated CO2: Simulations Using an Explicitly Competitive, Game-Theoretic Vegetation Demographic Model. Biogeosciences 2019, 16, 4577–4599. [Google Scholar] [CrossRef]
- Erickson, A.; Strigul, N. A Forest Model Intercomparison Framework and Application at Two Temperate Forests Along the East Coast of the United States. Forests 2019, 10, 180. [Google Scholar] [CrossRef]
- Erickson, A.; Strigul, N. Implementation of the Perfect Plasticity Approximation with Biogeochemical Compartments in R. Ecography 2020, 43, 682–688. [Google Scholar] [CrossRef]
- Lines, E.R.; Zavala, M.A.; Ruiz-Benito, P.; Coomes, D.A. Capturing Juvenile Tree Dynamics from Count Data Using Approximate Bayesian Computation. Ecography 2020, 43, 406–418. [Google Scholar] [CrossRef]
- Le Squin, A.; Boulangeat, I.; Gravel, D. Climate-Induced Variation in the Demography of 14 Tree Species Is Not Sufficient to Explain Their Distribution in Eastern North America. Glob. Ecol. Biogeogr. 2021, 30, 352–369. [Google Scholar] [CrossRef]
- Purves, D.W.; Lichstein, J.W.; Pacala, S.W. Crown Plasticity and Competition for Canopy Space: A New Spatially Implicit Model Parameterized for 250 North American Tree Species. PLoS ONE 2007, 2, e870. [Google Scholar] [CrossRef] [PubMed]
- ArcGIS; Pro 2020; Esri Inc.: Redlands, CA, USA, 2020.
- Luyssaert, S.; Inglima, I.; Jung, M.; Richardson, A.D.; Reichstein, M.; Papale, D.; Piao, S.L.; Schulze, E.-D.; Wingate, L.; Matteucci, G.; et al. CO2 Balance of Boreal, Temperate, and Tropical Forests Derived from a Global Database. Glob. Change Biol. 2007, 13, 2509–2537. [Google Scholar] [CrossRef]
- Abrams, M.D. The Red Maple Paradox. BioScience 1998, 48, 355–364. [Google Scholar] [CrossRef]
- Whittaker, R.H.; Likens, G.E. Primary Production: The Biosphere and Man. Hum. Ecol. 1973, 1, 357–369. [Google Scholar] [CrossRef]
- O’Neill, R.V.; De Angelis, D.L. Comparative Productivity and Biomass Relations of Forest Ecosystems. In Dynamic Properties of Forest Ecosystems; Cambridge University Press: Cambridge, UK, 1981; pp. 411–449. ISBN 978-0-521-22508-3. [Google Scholar]
- Raich, J.W.; Russell, A.E.; Kitayama, K.; Parton, W.J.; Vitousek, P.M. Temperature Influences Carbon Accumulation in Moist Tropical Forests. Ecology 2006, 87, 76–87. [Google Scholar] [CrossRef]
- Keeling, H.C.; Phillips, O.L. The Global Relationship between Forest Productivity and Biomass. Glob. Ecol. Biogeogr. 2007, 16, 618–631. [Google Scholar] [CrossRef]
- Pretzsch, H.; Biber, P.; Uhl, E.; Dahlhausen, J.; Rötzer, T.; Caldentey, J.; Koike, T.; van Con, T.; Chavanne, A.; Seifert, T.; et al. Crown Size and Growing Space Requirement of Common Tree Species in Urban Centres, Parks, and Forests. Urban For. Urban Green. 2015, 14, 466–479. [Google Scholar] [CrossRef]
- Scharenbroch, B.C.; Carter, D.; Bialecki, M.; Fahey, R.; Scheberl, L.; Catania, M.; Roman, L.A.; Bassuk, N.; Harper, R.W.; Werner, L.; et al. A Rapid Urban Site Index for Assessing the Quality of Street Tree Planting Sites. Urban For. Urban Green. 2017, 27, 279–286. [Google Scholar] [CrossRef]
- Cai, H.; Di, X.; Chang, S.X.; Jin, G. Stand Density and Species Richness Affect Carbon Storage and Net Primary Productivity in Early and Late Successional Temperate Forests Differently. Ecol. Res. 2016, 31, 525–533. [Google Scholar] [CrossRef]
- Dangal, S.P.; Das, A.K.; Paudel, S.K. Effectiveness of Management Interventions on Forest Carbon Stock in Planted Forests in Nepal. J. Environ. Manag. 2017, 196, 511–517. [Google Scholar] [CrossRef]
- Hudiburg, T.; Law, B.; Turner, D.P.; Campbell, J.; Donato, D.; Duane, M. Carbon Dynamics of Oregon and Northern California Forests and Potential Land-Based Carbon Storage. Ecol. Appl. 2009, 19, 163–180. [Google Scholar] [CrossRef]
- He, L.; Chen, J.M.; Pan, Y.; Birdsey, R.; Kattge, J. Relationships between Net Primary Productivity and Forest Stand Age in U.S. Forests. Glob. Biogeochem. Cycles 2012, 26, 394–415. [Google Scholar] [CrossRef]
- Arseniou, G.; MacFarlane, D.; Calders, K.; Baker, M. Accuracy Differences in Aboveground Woody Biomass Estimation with Terrestrial Laser Scanning for Trees in Urban and Rural Forests and Different Leaf Conditions. Trees 2023, 37, 3. [Google Scholar] [CrossRef]
- McHale, M.R.; Burke, I.C.; Lefsky, M.A.; Peper, P.J.; McPherson, E.G. Urban Forest Biomass Estimates: Is It Important to Use Allometric Relationships Developed Specifically for Urban Trees? Urban Ecosyst. 2009, 12, 95–113. [Google Scholar] [CrossRef]
- Nowak, D.; Stevens, J.; Sisinni, S.; Luley, C. Effects of Urban Tree Management and Species Selection on Atmospheric Carbon Dioxide. J. Arboric. 2002, 28, 113–122. [Google Scholar] [CrossRef]
- Hauer, R.J.; Vogt, J.M.; Fischer, B.C. The Cost of Not Maintaining the Urban Forest. Arborist News 2015, 24, 12–17. [Google Scholar]
- Carmichael, C.E.; McDonough, M.H. Community Stories: Explaining Resistance to Street Tree-Planting Programs in Detroit, Michigan, USA. Soc. Nat. Resour. 2019, 32, 588–605. [Google Scholar] [CrossRef]
- Riedman, E.; Roman, L.A.; Pearsall, H.; Maslin, M.; Ifill, T.; Dentice, D. Why Don’t People Plant Trees? Uncovering Barriers to Participation in Urban Tree Planting Initiatives. Urban For. Urban Green. 2022, 73, 127597. [Google Scholar] [CrossRef]
- Gerrish, E.; Watkins, S.L. The Relationship between Urban Forests and Income: A Meta-Analysis. Landsc. Urban Plan. 2018, 170, 293–308. [Google Scholar] [CrossRef] [PubMed]
- Schwarz, K.; Fragkias, M.; Boone, C.G.; Zhou, W.; McHale, M.; Grove, J.M.; O’Neil-Dunne, J.; McFadden, J.P.; Buckley, G.L.; Childers, D.; et al. Trees Grow on Money: Urban Tree Canopy Cover and Environmental Justice. PLoS ONE 2015, 10, e0122051. [Google Scholar] [CrossRef]
- Iverson, L.R. Urban Forest Cover of the Chicago Region and Its Relation to Household Density and Income. Urban Ecosyst. 2000, 4, 105–124. [Google Scholar] [CrossRef]
- Heynen, N.; Perkins, H.A.; Roy, P. The Political Ecology of Uneven Urban Green Space: The Impact of Political Economy on Race and Ethnicity in Producing Environmental Inequality in Milwaukee. Urban Aff. Rev. 2006, 42, 3–25. [Google Scholar] [CrossRef]
- Pham, T.-T.-H.; Apparicio, P.; Séguin, A.-M.; Landry, S.; Gagnon, M. Spatial Distribution of Vegetation in Montreal: An Uneven Distribution or Environmental Inequity? Landsc. Urban Plan. 2012, 107, 214–224. [Google Scholar] [CrossRef]
- Landry, S.M.; Chakraborty, J. Street Trees and Equity: Evaluating the Spatial Distribution of an Urban Amenity. Environ. Plan. A 2009, 41, 2651–2670. [Google Scholar] [CrossRef]
- Jenkins, J.C.; Chojnacky, D.C.; Heath, L.S.; Birdsey, R.A. National-Scale Biomass Estimators for United States Tree Species. For. Sci. 2003, 49, 12–35. [Google Scholar]
- McPherson, E.G.; van Doorn, N.S.; Peper, P.J. Urban Tree Database and Allometric Equations; U.S. Department of Agriculture, Forest Service, Pacific Southwest Research Station: Albany, CA, USA, 2016; p. PSW-GTR-253.




Disclaimer/Publisher’s Note: The statements, opinions and data contained in all publications are solely those of the individual author(s) and contributor(s) and not of MDPI and/or the editor(s). MDPI and/or the editor(s) disclaim responsibility for any injury to people or property resulting from any ideas, methods, instructions or products referred to in the content. |
© 2023 by the authors. Licensee MDPI, Basel, Switzerland. This article is an open access article distributed under the terms and conditions of the Creative Commons Attribution (CC BY) license (https://creativecommons.org/licenses/by/4.0/).
Share and Cite
Drolen, J.; Brandt, L.; Wei, Y.; Dybzinski, R. Modeling Management-Relevant Urban Forest Stand Characteristics to Optimize Carbon Storage and Sequestration. Forests 2023, 14, 2207. https://doi.org/10.3390/f14112207
Drolen J, Brandt L, Wei Y, Dybzinski R. Modeling Management-Relevant Urban Forest Stand Characteristics to Optimize Carbon Storage and Sequestration. Forests. 2023; 14(11):2207. https://doi.org/10.3390/f14112207
Chicago/Turabian StyleDrolen, Jenna, Leslie Brandt, Yanning Wei, and Ray Dybzinski. 2023. "Modeling Management-Relevant Urban Forest Stand Characteristics to Optimize Carbon Storage and Sequestration" Forests 14, no. 11: 2207. https://doi.org/10.3390/f14112207
APA StyleDrolen, J., Brandt, L., Wei, Y., & Dybzinski, R. (2023). Modeling Management-Relevant Urban Forest Stand Characteristics to Optimize Carbon Storage and Sequestration. Forests, 14(11), 2207. https://doi.org/10.3390/f14112207

