Coordination of Root Traits and Rhizosphere Microbial Community in Tea (Camellia sinensis L.) Plants under Drought and Rehydration
Abstract
:1. Introduction
2. Materials and Methods
2.1. Plant Materials and Sampling
2.2. Root Trait Determination
2.3. Microbial Amplicon Sequencing and Analyses
2.4. Statistics
3. Results
3.1. Root Traits under Drought Conditions
3.2. Shifts in Rhizosphere Microbial Diversity under Drought
3.3. Featured Microbial Taxa under Drought and Rehydration
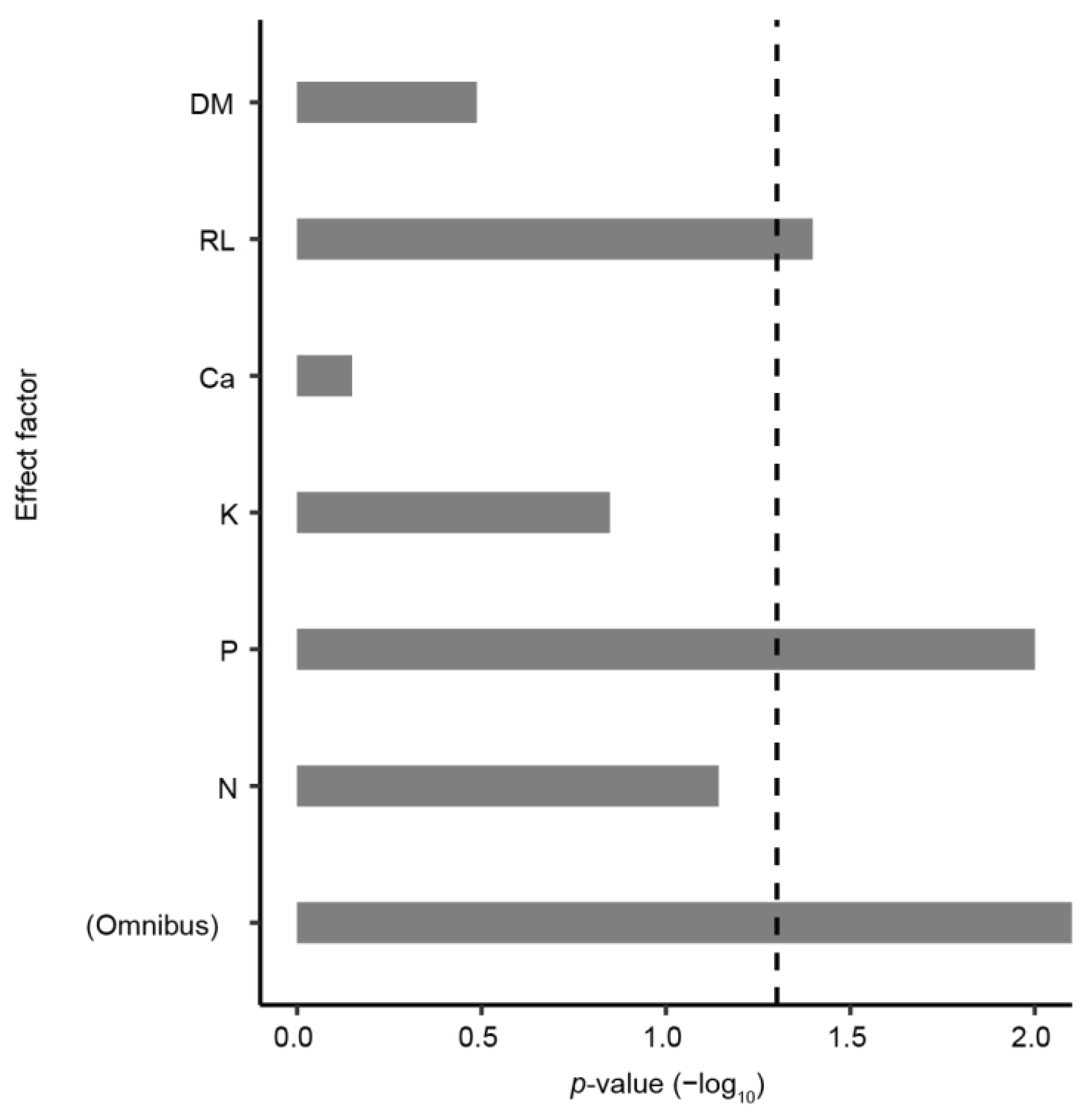
3.4. Associations between Tea Root Trait and Rhizosphere Community
4. Discussion
4.1. Changes in the Rhizosphere Microbial Community under Drought and Rehydration
4.2. Specific Microbial Taxa in Response to Water Availability
4.3. The Associations between Root Traits and The Rhizosphere Microbial Community
5. Conclusions
Author Contributions
Funding
Data Availability Statement
Conflicts of Interest
References
- Shen, J.; Wang, S.; Sun, L.; Wang, Y.; Fan, K.; Li, C.; Wang, H.; Bi, C.; Zhang, F.; Ding, Z. Dynamic Changes in Metabolic and Lipidomic Profiles of Tea Plants during Drought Stress and Re-Watering. Front. Plant Sci. 2022, 13, 978531. [Google Scholar] [CrossRef] [PubMed]
- Wang, Y.; Zhuang, H.; Shen, Y.; Wang, Y.; Wang, Z. The Dataset of Camellia Cultivars Names in the World. Biodivers. Data J. 2021, 9, e61646. [Google Scholar] [CrossRef]
- Shao, C.; Chen, J.; Lv, Z.; Gao, X.; Guo, S.; Xu, R.; Deng, Z.; Yao, S.; Chen, Z.; Kang, Y.; et al. Staged and Repeated Drought-Induced Regulation of Phenylpropanoid Synthesis Confers Tolerance to a Water Deficit Environment in Camellia Sinensis. Ind. Crops Prod. 2023, 201, 116843. [Google Scholar] [CrossRef]
- Ahmed, S.; Stepp, J.R.; Orians, C.; Griffin, T.; Matyas, C.; Robbat, A.; Cash, S.; Xue, D.; Long, C.; Unachukwu, U.; et al. Effects of Extreme Climate Events on Tea (Camellia sinensis) Functional Quality Validate Indigenous Farmer Knowledge and Sensory Preferences in Tropical China. PLoS ONE 2014, 9, e109126. [Google Scholar] [CrossRef]
- Singh, D.P.; Singh, H.B.; Prabha, R. Plant-Microbe Interactions in Agro-Ecological Perspectives: Volume 2: Microbial Interactions and Agro-Ecological Impacts; Springer: Singapore, 2017; Volume 2, ISBN 9789811065934. [Google Scholar]
- Philippot, L.; Raaijmakers, J.M.; Lemanceau, P.; van der Putten, W.H. Going Back to the Roots: The Microbial Ecology of the Rhizosphere. Nat. Rev. Microbiol. 2013, 11, 789–799. [Google Scholar] [CrossRef] [PubMed]
- Cordovez, V.; Dini-Andreote, F.; Carrión, V.J.; Raaijmakers, J.M. Ecology and Evolution of Plant Microbiomes. Annu. Rev. Microbiol. 2019, 73, 69–88. [Google Scholar] [CrossRef]
- Bais, H.P.; Weir, T.L.; Perry, L.G.; Gilroy, S.; Vivanco, J.M. The Role of Root Exudates in Rhizosphere Interactions with Plants and Other Organisms. Annu. Rev. Plant Biol. 2006, 57, 233–266. [Google Scholar] [CrossRef] [PubMed]
- Pérez Castro, S.; Cleland, E.E.; Wagner, R.; Sawad, R.A.; Lipson, D.A. Soil Microbial Responses to Drought and Exotic Plants Shift Carbon Metabolism. ISME J. 2019, 13, 1776–1787. [Google Scholar] [CrossRef] [PubMed]
- Lozano, Y.M.; Aguilar-Trigueros, C.A.; Flaig, I.C.; Rillig, M.C. Root Trait Responses to Drought Are More Heterogeneous than Leaf Trait Responses. Funct. Ecol. 2020, 34, 2224–2235. [Google Scholar] [CrossRef]
- De Vries, F.T.; Griffiths, R.I.; Knight, C.G.; Nicolitch, O.; Williams, A. Harnessing Rhizosphere Microbiomes for Drought-Resilient Crop Production. Science 2020, 368, 270–274. [Google Scholar] [CrossRef]
- Li, J.; Meng, B.; Chai, H.; Yang, X.; Song, W.; Li, S.; Lu, A.; Zhang, T.; Sun, W. Arbuscular Mycorrhizal Fungi Alleviate Drought Stress in C3 (Leymus chinensis) and C4 (Hemarthria altissima) Grasses via Altering Antioxidant Enzyme Activities and Photosynthesis. Front. Plant Sci. 2019, 10, 499. [Google Scholar] [CrossRef] [PubMed]
- Kaushal, M. Microbes in Cahoots with Plants: MIST to Hit the Jackpot of Agricultural Productivity during Drought. Int. J. Mol. Sci. 2019, 20, 1769. [Google Scholar] [CrossRef] [PubMed]
- Wu, Q.S.; Zou, Y.N.; Fathi Abd-Allah, E. Mycorrhizal Association and ROS in Plants; Elsevier Inc.: Amsterdam, The Netherlands, 2014; ISBN 9780127999630. [Google Scholar]
- Ortiz, N.; Armada, E.; Duque, E.; Roldán, A.; Azcón, R. Contribution of Arbuscular Mycorrhizal Fungi and/or Bacteria to Enhancing Plant Drought Tolerance under Natural Soil Conditions: Effectiveness of Autochthonous or Allochthonous Strains. J. Plant Physiol. 2015, 174, 87–96. [Google Scholar] [CrossRef] [PubMed]
- Zou, Y.N.; Wang, P.; Liu, C.Y.; Ni, Q.D.; Zhang, D.J.; Wu, Q.S. Mycorrhizal Trifoliate Orange Has Greater Root Adaptation of Morphology and Phytohormones in Response to Drought Stress. Sci. Rep. 2017, 7, 41134. [Google Scholar] [CrossRef] [PubMed]
- Xu, L.; Naylor, D.; Dong, Z.; Simmons, T.; Pierroz, G.; Hixson, K.K.; Kim, Y.-M.; Zink, E.M.; Engbrecht, K.M.; Wang, Y.; et al. Drought Delays Development of the Sorghum Root Microbiome and Enriches for Monoderm Bacteria. Proc. Natl. Acad. Sci. USA 2018, 115, E4284–E4293. [Google Scholar] [CrossRef]
- Santos-Medellín, C.; Liechty, Z.; Edwards, J.; Nguyen, B.; Huang, B.; Weimer, B.C.; Sundaresan, V. Prolonged Drought Imparts Lasting Compositional Changes to the Rice Root Microbiome. Nat. Plants 2021, 7, 1065–1077. [Google Scholar] [CrossRef]
- Tan, X.; Xie, H.; Yu, J.; Wang, Y.; Xu, J.; Xu, P.; Ma, B. Host Genetic Determinants Drive Compartment-Specific Assembly of Tea Plant Microbiomes. Plant Biotechnol. J. 2022, 20, 2174–2186. [Google Scholar] [CrossRef]
- Xu, P.; Stirling, E.; Xie, H.; Li, W.; Lv, X.; Matsumoto, H.; Cheng, H.; Xu, A.; Lai, W.; Wang, Y.; et al. Continental Scale Deciphering of Microbiome Networks Untangles the Phyllosphere Homeostasis in Tea Plant. J. Adv. Res. 2023, 44, 13–22. [Google Scholar] [CrossRef]
- Xia, E.-H.; Tong, W.; Wu, Q.; Wei, S.; Zhao, J.; Zhang, Z.-Z.; Wei, C.-L.; Wan, X.-C. Tea Plant Genomics: Achievements, Challenges and Perspectives. Hortic. Res. 2020, 7, 7. [Google Scholar] [CrossRef]
- Wang, Y.X.; Liu, Z.W.; Wu, Z.J.; Li, H.; Zhuang, J. Transcriptome-Wide Identification and Expression Analysis of the NAC Gene Family in Tea Plant [Camellia sinensis (L.) O. Kuntze]. PLoS ONE 2016, 11, e0166727. [Google Scholar] [CrossRef]
- Haji Tuah, W.; Udayanga Tennakoon, K.; Jaafar, S.; Sukri, R. Post-Fire Impacts on Tree Diversity in Coastal Heath Forests of Brunei Darussalam. Sci. Bruneiana 2020, 19, 19–32. [Google Scholar] [CrossRef]
- Bu, W.S.; Gu, H.J.; Zhang, C.C.; Zhang, Y.; Singh, A.N.; Fang, X.M.; Fan, J.; Wang, H.M.; Chen, F.S. Mixed Broadleaved Tree Species Increases Soil Phosphorus Availability but Decreases the Coniferous Tree Nutrient Concentration in Subtropical China. Forests 2020, 11, 461. [Google Scholar] [CrossRef]
- Chen, Y.; Ye, J.; Kong, Q. Potassium-Solubilizing Activity of Bacillus Aryabhattai SK1-7 and Its Growth-Promoting Effect on Populus alba L. Forests 2020, 11, 1348. [Google Scholar] [CrossRef]
- Liu, C.-Y.; Hao, Y.; Wu, X.-L.; Dai, F.-J.; Abd-Allah, E.F.; Wu, Q.-S.; Liu, S.-R. Arbuscular Mycorrhizal Fungi Improve Drought Tolerance of Tea Plants via Modulating Root Architecture and Hormones. Plant Growth Regul. 2023. [Google Scholar] [CrossRef]
- Horton, M.W.; Bodenhausen, N.; Beilsmith, K.; Meng, D.; Muegge, B.D.; Subramanian, S.; Vetter, M.M.; Vilhjálmsson, B.J.; Nordborg, M.; Gordon, J.I.; et al. Genome-Wide Association Study of Arabidopsis Thaliana Leaf Microbial Community. Nat. Commun. 2014, 5, 5320. [Google Scholar] [CrossRef] [PubMed]
- Edgar, R.C. UPARSE: Highly Accurate OTU Sequences from Microbial Amplicon Reads. Nat. Methods 2013, 10, 996–998. [Google Scholar] [CrossRef] [PubMed]
- Cole, J.R.; Wang, Q.; Fish, J.A.; Chai, B.; McGarrell, D.M.; Sun, Y.; Brown, C.T.; Porras-Alfaro, A.; Kuske, C.R.; Tiedje, J.M. Ribosomal Database Project: Data and Tools for High Throughput RRNA Analysis. Nucleic Acids Res. 2014, 42, D633–D642. [Google Scholar] [CrossRef]
- McMurdie, P.J.; Holmes, S. Package for Reproducible Interactive Analysis and Graphics of Microbiome Census Data. PLoS ONE 2013, 8, e61217. [Google Scholar] [CrossRef]
- Love, M.I.; Huber, W.; Anders, S. Moderated Estimation of Fold Change and Dispersion for RNA-Seq Data with DESeq2. Genome Biol. 2014, 15, 550. [Google Scholar] [CrossRef]
- McArtor, D.B.; Lubke, G.H.; Bergeman, C.S. Extending Multivariate Distance Matrix Regression with an Effect Size Measure and the Asymptotic Null Distribution of the Test Statistic. Psychometrika 2017, 82, 1052–1077. [Google Scholar] [CrossRef]
- McArdle, B.H.; Anderson, M.J. Fitting Multivariate Models to Community Data: A Comment on Distance-Based Redundancy Analysis. Ecology 2001, 82, 290–297. [Google Scholar] [CrossRef]
- Namkung, J. Machine Learning Methods for Microbiome Studies. J. Microbiol. 2020, 58, 206–216. [Google Scholar] [CrossRef] [PubMed]
- Xu, J.; Zhang, Y.; Zhang, P.; Trivedi, P.; Riera, N.; Wang, Y.; Liu, X.; Fan, G.; Tang, J.; Coletta-Filho, H.D.; et al. The Structure and Function of the Global Citrus Rhizosphere Microbiome. Nat. Commun. 2018, 9, 4894. [Google Scholar] [CrossRef] [PubMed]
- Venturi, V.; Keel, C. Signaling in the Rhizosphere. Trends Plant Sci. 2016, 21, 187–198. [Google Scholar] [CrossRef] [PubMed]
- Vimal, S.R.; Singh, J.S.; Arora, N.K.; Singh, S. Soil-Plant-Microbe Interactions in Stressed Agriculture Management: A Review. Pedosphere 2017, 27, 177–192. [Google Scholar] [CrossRef]
- Tiziani, R.; Miras-Moreno, B.; Malacrinò, A.; Vescio, R.; Lucini, L.; Mimmo, T.; Cesco, S.; Sorgonà, A. Drought, Heat, and Their Combination Impact the Root Exudation Patterns and Rhizosphere Microbiome in Maize Roots. Environ. Exp. Bot. 2022, 203, 105071. [Google Scholar] [CrossRef]
- Dao, J.; Xing, Y.; Chen, C.; Chen, M.; Wang, Z. Adaptation of Rhizosphere Bacterial Communities of Drought-Resistant Sugarcane Varieties under Different Degrees of Drought Stress. Microbiol. Spectr. 2023, 11, e01184-23. [Google Scholar] [CrossRef]
- Kapoor, D.; Bhardwaj, S.; Landi, M.; Sharma, A.; Ramakrishnan, M.; Sharma, A. The Impact of Drought in Plant Metabolism: How to Exploit Tolerance Mechanisms to Increase Crop Production. Appl. Sci. 2020, 10, 5692. [Google Scholar] [CrossRef]
- Liu, X.; Le Roux, X.; Salles, J.F. The Legacy of Microbial Inoculants in Agroecosystems and Potential for Tackling Climate Change Challenges. iScience 2022, 25, 103821. [Google Scholar] [CrossRef]
- Song, Y.; Haney, C.H. Drought Dampens Microbiome Development. Nat. Plants 2021, 7, 994–995. [Google Scholar] [CrossRef]
- Bei, Q.; Peng, J.; Liesack, W. Shedding Light on the Functional Role of the Ignavibacteria in Italian Rice Field Soil: A Meta-Genomic/Transcriptomic Analysis. Soil Biol. Biochem. 2021, 163, 108444. [Google Scholar] [CrossRef]
- Dannenmann, M.; Butterbach-Bahl, K.; Gasche, R.; Willibald, G.; Papen, H. Dinitrogen Emissions and the N2:N2O Emission Ratio of a Rendzic Leptosol as Influenced by PH and Forest Thinning. Soil Biol. Biochem. 2008, 40, 2317–2323. [Google Scholar] [CrossRef]
- Sayer, E.J.; Crawford, J.A.; Edgerley, J.; Askew, A.P.; Hahn, C.Z.; Whitlock, R.; Dodd, I.C. Adaptation to Chronic Drought Modifies Soil Microbial Community Responses to Phytohormones. Commun. Biol. 2021, 4, 516. [Google Scholar] [CrossRef]
- Miller, T.; Mikiciuk, G.; Kisiel, A.; Mikiciuk, M.; Paliwoda, D.; Sas-Paszt, L.; Cembrowska-Lech, D.; Krzemińska, A.; Kozioł, A.; Brysiewicz, A. Machine Learning Approaches for Forecasting the Best Microbial Strains to Alleviate Drought Impact in Agriculture. Agric 2023, 13, 1622. [Google Scholar] [CrossRef]
- Cavaglieri, L.; Orlando, J.; Etcheverry, M. Rhizosphere Microbial Community Structure at Different Maize Plant Growth Stages and Root Locations. Microbiol. Res. 2009, 164, 391–399. [Google Scholar] [CrossRef] [PubMed]
- Houlden, A.; Timms-Wilson, T.M.; Day, M.J.; Bailey, M.J. Influence of Plant Developmental Stage on Microbial Community Structure and Activity in the Rhizosphere of Three Field Crops. FEMS Microbiol. Ecol. 2008, 65, 193–201. [Google Scholar] [CrossRef]
- Buzzard, V.; Michaletz, S.T.; Deng, Y.; He, Z.; Ning, D.; Shen, L.; Tu, Q.; Van Nostrand, J.D.; Voordeckers, J.W.; Wang, J.; et al. Continental Scale Structuring of Forest and Soil Diversity via Functional Traits. Nat. Ecol. Evol. 2019, 3, 1298–1308. [Google Scholar] [CrossRef]
- Guo, X.; Guo, W.; Luo, Y.; Tan, X.; Du, N.; Wang, R. Morphological and Biomass Characteristic Acclimation of Trident Maple (Acer buergerianum Miq.) in Response to Light and Water Stress. Acta Physiol. Plant. 2013, 35, 1149–1159. [Google Scholar] [CrossRef]
- Xu, L.; Dong, Z.; Chiniquy, D.; Pierroz, G.; Deng, S.; Gao, C.; Diamond, S.; Simmons, T.; Wipf, H.M.L.; Caddell, D.; et al. Genome-Resolved Metagenomics Reveals Role of Iron Metabolism in Drought-Induced Rhizosphere Microbiome Dynamics. Nat. Commun. 2021, 12, 3209. [Google Scholar] [CrossRef]
- Chen, Y.; Li, S.; Zhang, Y.; Li, T.; Ge, H.; Xia, S.; Gu, J.; Zhang, H.; Lü, B.; Wu, X.; et al. Rice Root Morphological and Physiological Traits Interaction with Rhizosphere Soil and Its Effect on Methane Emissions in Paddy Fields. Soil Biol. Biochem. 2019, 129, 191–200. [Google Scholar] [CrossRef]
- Moreau, D.; Bardgett, R.D.; Finlay, R.D.; Jones, D.L.; Philippot, L. A Plant Perspective on Nitrogen Cycling in the Rhizosphere. Funct. Ecol. 2019, 33, 540–552. [Google Scholar] [CrossRef]
- Krause, S.; Le Roux, X.; Niklaus, P.A.; van Bodegom, P.M.; Lennon, J.T.; Bertilsson, S.; Grossart, H.P.; Philippot, L.; Bodelier, P.L.E. Trait-Based Approaches for Understanding Microbial Biodiversity and Ecosystem Functioning. Front. Microbiol. 2014, 5, 251. [Google Scholar] [CrossRef] [PubMed]
- Reinhold-Hurek, B.; Bünger, W.; Burbano, C.S.; Sabale, M.; Hurek, T. Roots Shaping Their Microbiome: Global Hotspots for Microbial Activity. Annu. Rev. Phytopathol. 2015, 53, 403–424. [Google Scholar] [CrossRef] [PubMed]
- Comas, L.H.; Becker, S.R.; Cruz, V.M.V.; Byrne, P.F.; Dierig, D.A. Root Traits Contributing to Plant Productivity under Drought. Front. Plant Sci. 2013, 4, 442. [Google Scholar] [CrossRef]
- Castrillo, G.; Teixeira, P.J.P.L.; Paredes, S.H.; Law, T.F.; De Lorenzo, L.; Feltcher, M.E.; Finkel, O.M.; Breakfield, N.W.; Mieczkowski, P.; Jones, C.D.; et al. Root Microbiota Drive Direct Integration of Phosphate Stress and Immunity. Nature 2017, 543, 513–518. [Google Scholar] [CrossRef]
- He, M.; Dijkstra, F.A. Drought Effect on Plant Nitrogen and Phosphorus: A Meta-Analysis. New Phytol. 2014, 204, 924–931. [Google Scholar] [CrossRef]
- Rawat, P.; Das, S.; Shankhdhar, D.; Shankhdhar, S.C. Phosphate-Solubilizing Microorganisms: Mechanism and Their Role in Phosphate Solubilization and Uptake. J. Soil Sci. Plant Nutr. 2021, 21, 49–68. [Google Scholar] [CrossRef]
- Dinh, M.V.; Guhr, A.; Spohn, M.; Matzner, E. Release of Phosphorus from Soil Bacterial and Fungal Biomass Following Drying/Rewetting. Soil Biol. Biochem. 2017, 110, 1–7. [Google Scholar] [CrossRef]






Disclaimer/Publisher’s Note: The statements, opinions and data contained in all publications are solely those of the individual author(s) and contributor(s) and not of MDPI and/or the editor(s). MDPI and/or the editor(s) disclaim responsibility for any injury to people or property resulting from any ideas, methods, instructions or products referred to in the content. |
© 2023 by the authors. Licensee MDPI, Basel, Switzerland. This article is an open access article distributed under the terms and conditions of the Creative Commons Attribution (CC BY) license (https://creativecommons.org/licenses/by/4.0/).
Share and Cite
Zhang, S.; Han, X.; Zhu, Y.; Tan, X. Coordination of Root Traits and Rhizosphere Microbial Community in Tea (Camellia sinensis L.) Plants under Drought and Rehydration. Forests 2023, 14, 2134. https://doi.org/10.3390/f14112134
Zhang S, Han X, Zhu Y, Tan X. Coordination of Root Traits and Rhizosphere Microbial Community in Tea (Camellia sinensis L.) Plants under Drought and Rehydration. Forests. 2023; 14(11):2134. https://doi.org/10.3390/f14112134
Chicago/Turabian StyleZhang, Sihai, Xuemei Han, Yangchun Zhu, and Xiangfeng Tan. 2023. "Coordination of Root Traits and Rhizosphere Microbial Community in Tea (Camellia sinensis L.) Plants under Drought and Rehydration" Forests 14, no. 11: 2134. https://doi.org/10.3390/f14112134
APA StyleZhang, S., Han, X., Zhu, Y., & Tan, X. (2023). Coordination of Root Traits and Rhizosphere Microbial Community in Tea (Camellia sinensis L.) Plants under Drought and Rehydration. Forests, 14(11), 2134. https://doi.org/10.3390/f14112134

