Effects of Gap Size on Natural Regeneration in Picea asperata Forests of Northern China
Abstract
1. Introduction
2. Materials and Methods
2.1. Site Description
2.2. Data Collection
2.3. Statistical Analysis
2.3.1. Differences in Density, Height, and Ground Diameter
2.3.2. Kernel Density Estimation
2.3.3. Spatial Pattern Analysis
3. Results
3.1. Differences in Density, Height, and Ground Diameter
3.2. Spatial Distribution of Regeneration Individuals
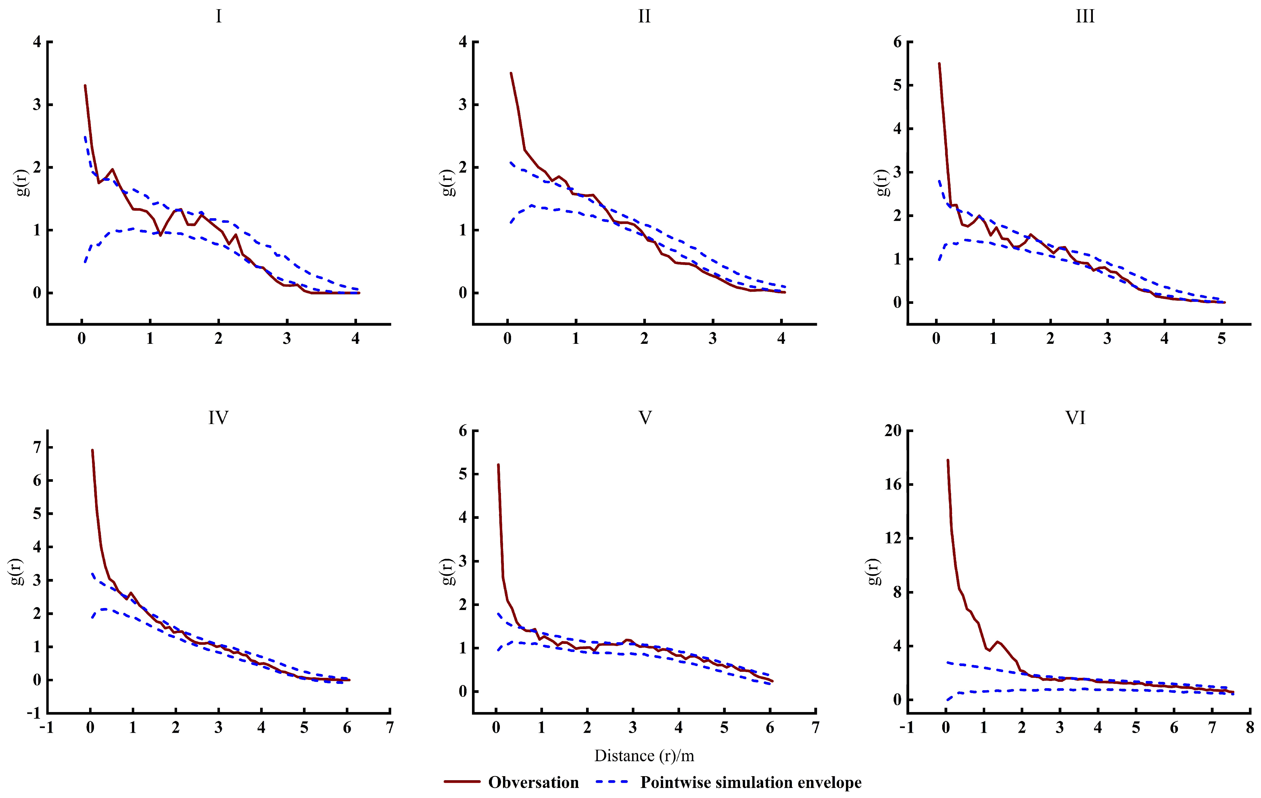
3.3. Point Pattern Analysis of Regeneration Individuals
4. Discussion
4.1. Variations in Density, Height, and Ground Diameter of Regeneration among Gap Size Classes
4.2. Spatial Distribution of Regeneration Individuals within Forest Gaps
4.3. Analysis of the Point Pattern of Regeneration
5. Conclusions
Author Contributions
Funding
Data Availability Statement
Acknowledgments
Conflicts of Interest
References
- Jin, Y.H.; Li, D.Q.; Jiang, H.X.; Zhou, L. Quantitative dynamics on natural regeneration of secondary forest during the restoration period in Changbai mountain area. J. Nanjing For. Univ. 2005, 48, 65–68. [Google Scholar] [CrossRef]
- Burger, J.A. Management effects on growth, production and sustainability of managed forest ecosystems: Past trends and future directions. For. Ecol. Manag. 2009, 258, 2335–2346. [Google Scholar] [CrossRef]
- Perevolotsky, A.; Sheffer, E. Forest management in Israel—The ecological alternative. Isr. J. Plant Sci. 2009, 57, 35–48. [Google Scholar] [CrossRef]
- Leithead, M.; Silva, L.C.R.; Anand, M. Recruitment patterns and northward tree migration through gap dynamics in an old-growth white pine forest in northern Ontario. Plant Ecol. 2012, 213, 1699–1714. [Google Scholar] [CrossRef]
- Lu, D.L.; Wang, G.G.; Yan, Q.L.; Gao, T.; Zhu, J.J. Effects of gap size and within-gap position on seedling growth and biomass allocation: Is the gap partitioning hypothesis applicable to the temperate secondary forest ecosystems in Northeast China? For. Ecol. Manag. 2018, 429, 351–362. [Google Scholar] [CrossRef]
- Zhu, J.; Matsuzaki, T.; Lee, F.; Gonda, Y. Effect of gap size created by thinning on seedling emergency, survival and establishment in a coastal pine forest. For. Ecol. Manag. 2003, 182, 339–354. [Google Scholar] [CrossRef]
- Watt, A.S. Pattern and process in the plant community. J. Ecol. 1947, 35, 1–22. [Google Scholar] [CrossRef]
- Runkle, J.R. Gap regeneration in some old-growth forests of the eastern United States. Ecology 1981, 62, 1041–1051. [Google Scholar] [CrossRef]
- Elias, R.B.; Dias, E. Gap dynamics and regeneration strategies in Juniperus-Laurus forests of the Azores Islands. Plant Ecol. 2009, 200, 179–189. [Google Scholar] [CrossRef]
- Duguid, M.C.; Frey, B.R.; Ellum, D.S.; Kelty, M.; Ashton, M.S. The influence of ground disturbance and gap position on understory plant diversity in upland forests of southern New England. For. Ecol. Manag. 2013, 303, 148–159. [Google Scholar] [CrossRef]
- He, W.; Wu, F.Z.; Zhang, D.J.; Yang, W.Q.; Tan, B.; Zhao, Y.Y.; Wu, Q.Q. The effects of forest gaps on cellulose degradation in the foliar litter of two shrub species in an alpine fir forest. Plant Soil 2015, 393, 109–122. [Google Scholar] [CrossRef]
- Chen, L.B.; Sun, K.; Zhang, X.; Sun, H.G.; Jiang, J.M. Effects of forest gap disturbance on forest ecosystem. Chin. J. Appl. Ecol. 2021, 32, 701–710. [Google Scholar] [CrossRef]
- Gray, A.N.; Spies, T.A.; Easter, M.J. Microclimatic and soil moisture responses to gap formation in coastal Douglas-fir forests. Can. J. For. Res. 2002, 32, 332–343. [Google Scholar] [CrossRef]
- He, Z.S.; Liu, J.F.; Wu, C.T.; Zheng, S.Q.; Hong, W.; Su, S.J.; Wu, C.Z. Effects of forest gaps on some microclimate variables in Castanopsis kawakamii natural forest. J. Moun. Sci. 2012, 9, 706–714. [Google Scholar] [CrossRef]
- Luo, G.S.; Ma, L.Y.; Jia, Z.K.; He, D.N.; Chi, M.F.; Zhang, S.M.; Zhao, G.J. Correlation analysis between natural regeneration and environment in canopy gap of Chinese pine (Pinus tabuliformis) plantation. J. Beijing For. Univ. 2019, 41, 59–68. [Google Scholar] [CrossRef]
- Zhu, K.Y.; Wang, Q.C.; Wu, W.J. Effect of gap size on growth and morphology of transplanted saplings of Quercus mongolica and Fraxinus mandshurica. Sci. Silvae Sin. 2017, 53, 150–157. [Google Scholar] [CrossRef]
- Holladay, C.A.; Kwit, C.; Collins, B. Woody regeneration in and around aging southern bottomland hardwood forest gaps: Effects of herbivory and gap size. For. Ecol. Manag. 2006, 223, 218–225. [Google Scholar] [CrossRef]
- He, D.N.; Yang, H.; Wen, J.; Xie, R. Density and spatial distribution of seedlings and saplings in different gap sizes of a spruce-fir mixed stand in Changbai Mountains, China. Chin. J. Appl. Ecol. 2020, 31, 1916–1922. [Google Scholar] [CrossRef]
- Wang, Z.; Yang, H.J.; Wang, D.H.; Zhao, Z. Spatial distribution and growth association of regeneration in gaps of Chinese pine (Pinus tabuliformis Carr.) plantation in northern China. For. Ecol. Manag. 2019, 432, 387–399. [Google Scholar] [CrossRef]
- McCarthy, J. Gap dynamics of forest trees: A review with particular attention to boreal forests. Environ. Rev. 2011, 9, 1–59. [Google Scholar] [CrossRef]
- Canham, C.D. Different respones to gaps among shade-tollerant tree species. Ecology 1989, 70, 548–550. [Google Scholar] [CrossRef]
- Nagel, T.A.; Svoboda, M.; Rugani, T.; Diaci, J. Gap regeneration and replacement patterns in an old-growth Fagus–Abies forest of Bosnia–Herzegovina. Plant Ecol. 2010, 208, 307–318. [Google Scholar] [CrossRef]
- Schliemann, S.A.; Bockheim, J.G. Methods for studying treefall gaps: A review. For. Ecol. Manag. 2011, 261, 1143–1151. [Google Scholar] [CrossRef]
- Busing, R.T. Canopy cover and tree regeneration in old-growth cove forests of the Appalachian Mountains. Vegetation 1994, 115, 19–27. [Google Scholar] [CrossRef]
- Wang, G.L.; Liu, F. The influence of gap creation on the regeneration of Pinus tabuliformis planted forest and its role in the near-natural cultivation strategy for planted forest management. For. Ecol. Manag. 2011, 262, 413–423. [Google Scholar] [CrossRef]
- Vilhar, U.; Roženbergar, D.; Simončič, P.; Diaci, J. Variation in irradiance, soil features and regeneration patterns in experimental forest canopy gaps. Ann. For. Sci. 2015, 72, 253–266. [Google Scholar] [CrossRef]
- Wang, Z.B.; Yang, H.J.; Dong, B.Q.; Zhou, M.M.; Ma, L.Y.; Jia, Z.K.; Duan, J. Effects of canopy gap size on growth and spatial patterns of Chinese pine (Pinus tabulaeformis) regeneration. For. Ecol. Manag. 2017, 385, 46–56. [Google Scholar] [CrossRef]
- Millington, J.D.A.; Walters, M.B.; Matonis, M.S.; Liu, J. Filling the gap: A compositional gap regeneration model for managed northern hardwood forests. Ecol. Model. 2013, 253, 17–27. [Google Scholar] [CrossRef]
- Gray, A.N.; Spies, T.A.; Pabst, R.J. Canopy gaps affect long-term patterns of tree growth and mortality in mature and old-growth forests in the Pacific Northwest. For. Ecol. Manag. 2012, 281, 111–120. [Google Scholar] [CrossRef]
- Zhang, S.Z.; Li, M.; Zhang, S.B.; Zhang, Z.D.; Huang, X.R. Factors affecting natural regeneration of Larix principis-rupprechtii plantations in Saihanba of Hebei, China. Acta Ecol. Sin. 2015, 35, 5403–5411. [Google Scholar] [CrossRef][Green Version]
- Davis, R.A.; Lii, K.-S.; Politis, D.N. Selected Works of Murray Rosenblatt; Davis, R.A., Lii, K.-S., Politis, D.N., Eds.; Springer: New York, NY, USA, 2011; pp. 95–100. [Google Scholar] [CrossRef]
- Ripley, B.D. Modelling spatial patterns. J. R. Stat. Soc. Ser. B (Methodol.) 1977, 39, 172–192. [Google Scholar] [CrossRef]
- Condit, R.; Ashton, P.S.; Baker, P.; Bunyavejchewin, S.; Gunatilleke, S.; Gunatilleke, N.; Hubbell, S.P.; Foster, R.B.; Itoh, A.; LaFrankie, J.V.; et al. Spatial patterns in the distribution of tropical tree species. Science 2000, 288, 1414–1418. [Google Scholar] [CrossRef]
- Wang, H.T. Survey research on the gap regeneration of Larix Principis-rupprechtii Mayr forester in Guandi mountain. Sci-Tech Inf. Dev. Econ. 2009, 19, 152–155. [Google Scholar]
- Zhao, Y.; Li, F.M.; Zhu, J.K.; Chang, C.L.; Feng, Y.H.; Liang, W.J.; Wei, X. Effect of gap size on the regeneration in larix principis-rupprechtii plantation. Chin. J. Appl. Ecol. 2023, 34, 1–9. [Google Scholar] [CrossRef]
- Gauthier, M.-M.; Lambert, M.-C.; Bédard, S. Effects of harvest gap size, soil scarification, and vegetation control on regeneration dynamics in sugar maple-yellow birch stands. For. Sci. 2016, 62, 237–246. [Google Scholar] [CrossRef]
- Ibáñez, I.; Clark, J.S.; LaDeau, S.; Lambers, J.H.R. Exploiting temporal variability to understand tree recruitment response to climate. Ecol. Monogr. 2007, 77, 163–177. [Google Scholar] [CrossRef]
- Qiu, T.; Sharma, S.; Woodall, C.W.; Clark, J.S. Niche shifts from trees to fecundity to recruitment that determine species response to climate change. Front. Ecol. Evol. 2021, 9, 719141. [Google Scholar] [CrossRef]
- Howe, H.F.; Smallwood, J. Ecology of seed dispersal. Annu. Rev. Ecol. Syst. 1982, 13, 201–228. [Google Scholar] [CrossRef]
- Maguire, D.A.; Forman, R.T.T. Herb cover effects on tree seedling patterns in a mature hemlock-hardwood forest. Ecology 1983, 64, 1367–1380. [Google Scholar] [CrossRef]
- Berkowitz, A.R.; Canham, C.D.; Kelly, V.R. Competition vs. facilitation of tree seedling growth and survival in early successional communities. Ecology 1995, 76, 1156–1168. [Google Scholar] [CrossRef]
- George, L.; Bazzaz, F. The Herbaceous Layer in Forests of Eastern North America; Gilliam, F., Ed.; Oxford University Press: Oxford, UK, 2014; pp. 340–355. [Google Scholar] [CrossRef]
- Canham, C.D. Growth and canopy architecture of shade-tolerant trees: Response to canopy gaps. Ecology 1988, 69, 786–795. [Google Scholar] [CrossRef]
- Qiu, T.; Andrus, R.; Aravena, M.-C.; Ascoli, D.; Bergeron, Y.; Berretti, R.; Berveiller, D.; Bogdziewicz, M.; Boivin, T.; Bonal, R.; et al. Limits to reproduction and seed size-number trade-offs that shape forest dominance and future recovery. Nat. Commun. 2022, 13, 2381. [Google Scholar] [CrossRef]
- White, E.; Tucker, N.; Meyers, N.; Wilson, J. Seed dispersal to revegetated isolated rainforest patches in North Queensland. For. Ecol. Manag. 2004, 192, 409–426. [Google Scholar] [CrossRef]
- Tian, B.Y.; Mu, C.C.; Li, J.X.; Ye, L. Study on the photosynthetic adaptability of Pinus koraiensis to the forest gaps in different sizes and at various positions of the Betula platyphylla secondary forest in the Xiaoxing’an mountains. J. Cent. South For. Univ. For. Technol. 2022, 42, 159–170. [Google Scholar] [CrossRef]
- Hale, S.E. The effect of thinning intensity on the below-canopy light environment in a Sitka spruce plantation. For. Ecol. Manag. 2003, 179, 341–349. [Google Scholar] [CrossRef]
- Coates, K.D. Tree recruitment in gaps of various size, clearcuts and undisturbed mixed forest of interior British Columbia, Canada. For. Ecol. Manag. 2002, 155, 387–398. [Google Scholar] [CrossRef]
- Diaci, J.; Gyoerek, N.; Gliha, J.; Nagel, T.A. Response of quercusrobur L. seedlings to north-south asymmetry of light within gaps in floodplain forests of Slovenia. Ann. For. Sci. 2008, 65, 105. [Google Scholar] [CrossRef]
- Yan, H.B.; Han, Y.Z.; Yang, X.Q.; Wang, L.Y.; Liang, X.Y. Spatial distribution patterns and associations of tree species in typical natural secondary mountain forest communities of Northern China. Acta Ecol. Sin. 2010, 30, 2311–2321. [Google Scholar] [CrossRef]
- Zhang, Y.; Wei, X.; Liang, W.J.; Liu, Z.Q.; Li, F.M.; Zhao, Y.; Feng, Y.H. Effects of gap size on regeneration dynamics of Larix principis-rupprechtii forest. For. Res. 2022, 35, 84–92. [Google Scholar] [CrossRef]
- He, F.L.; Legendre, P.; LaFrankie, J.V. Distribution patterns of tree species in a Malaysian tropical rain forest. J. Veg. Sci. 1997, 8, 105–114. [Google Scholar] [CrossRef]
- Zhang, M.T.; Wang, J.; Kang, X.G. Spatial distribution pattern of dominant tree species in different disturbance plots in the Changbai Mountain. Sci. Rep. 2022, 12, 14161. [Google Scholar] [CrossRef]
- Han, Y.; Wang, Z.Q. Spatial heterogeneity and forest regeneration. Chin. J. Appl. Ecol. 2002, 13, 615–619. [Google Scholar]
- Li, C.; Gao, R.M.; Shi, X.D.; Li, J.; Zhang, Y.Q.; Li, H.Y. Spatial pattern and heterogeneity of seedlings and saplings in the mixed stand of Picea spp. +Larix principis-rupprechtii. J. For. Environ. 2022, 42, 279–288. [Google Scholar] [CrossRef]




| Gap Classes | ID | Area/m2 | Length/m | Mean Height of Border Tree/m | Mean DBH of Border Tree/cm | Border Tree Species |
|---|---|---|---|---|---|---|
| I | 1 | 6.55 | 10.25 | 17.30 | 24.10 | YS, BH |
| 2 | 7.23 | 10.78 | 17.40 | 22.20 | YS | |
| 3 | 5.94 | 10.06 | 18.65 | 28.82 | YS | |
| 4 | 4.97 | 9.64 | 15.53 | 21.39 | YS | |
| II | 5 | 11.28 | 16.75 | 17.30 | 23.40 | YS |
| 6 | 10.06 | 12.68 | 18.20 | 21.70 | YS | |
| 7 | 8.17 | 11.74 | 11.51 | 13.67 | YS | |
| 8 | 9.47 | 14.12 | 15.22 | 20.58 | YS, BH | |
| III | 9 | 14.70 | 15.99 | 16.70 | 20.70 | YS |
| 10 | 15.86 | 16.73 | 18.00 | 27.72 | YS | |
| 11 | 13.71 | 14.45 | 13.23 | 20.31 | YS | |
| 12 | 12.04 | 22.96 | 19.30 | 25.90 | YS, LYS | |
| IV | 13 | 16.85 | 17.22 | 16.70 | 20.40 | YS |
| 14 | 16.40 | 15.38 | 12.50 | 17.30 | YS | |
| 15 | 17.72 | 22.06 | 16.30 | 22.52 | YS, SY | |
| 16 | 17.41 | 16.02 | 16.82 | 25.03 | YS | |
| V | 17 | 28.63 | 22.17 | 17.57 | 26.00 | YS |
| 18 | 30.16 | 25.00 | 16.63 | 27.54 | YS | |
| 19 | 37.18 | 25.36 | 20.30 | 30.30 | YS, BH | |
| 20 | 22.72 | 19.71 | 19.10 | 26.93 | YS | |
| VI | 21 | 68.43 | 35.39 | 16.30 | 27.30 | YS |
| 22 | 82.78 | 34.24 | 19.26 | 28.83 | YS | |
| 23 | 103.21 | 41.39 | 18.57 | 28.00 | YS | |
| 24 | 114.16 | 47.97 | 17.60 | 26.00 | YS, BH |
Disclaimer/Publisher’s Note: The statements, opinions and data contained in all publications are solely those of the individual author(s) and contributor(s) and not of MDPI and/or the editor(s). MDPI and/or the editor(s) disclaim responsibility for any injury to people or property resulting from any ideas, methods, instructions or products referred to in the content. |
© 2023 by the authors. Licensee MDPI, Basel, Switzerland. This article is an open access article distributed under the terms and conditions of the Creative Commons Attribution (CC BY) license (https://creativecommons.org/licenses/by/4.0/).
Share and Cite
Yang, X.; Li, J.; Fan, N.; Wang, Y.; Zhang, Z. Effects of Gap Size on Natural Regeneration in Picea asperata Forests of Northern China. Forests 2023, 14, 2102. https://doi.org/10.3390/f14102102
Yang X, Li J, Fan N, Wang Y, Zhang Z. Effects of Gap Size on Natural Regeneration in Picea asperata Forests of Northern China. Forests. 2023; 14(10):2102. https://doi.org/10.3390/f14102102
Chicago/Turabian StyleYang, Xin, Jiajing Li, Niqiao Fan, Yiwen Wang, and Zhidong Zhang. 2023. "Effects of Gap Size on Natural Regeneration in Picea asperata Forests of Northern China" Forests 14, no. 10: 2102. https://doi.org/10.3390/f14102102
APA StyleYang, X., Li, J., Fan, N., Wang, Y., & Zhang, Z. (2023). Effects of Gap Size on Natural Regeneration in Picea asperata Forests of Northern China. Forests, 14(10), 2102. https://doi.org/10.3390/f14102102
