Climatic Variability Determines the Biological Diversity and Function of a Mixed Forest in Northeastern China at the Local-Scale
Abstract
1. Introduction
2. Materials and Methods
2.1. Study Site, Elevation Gradient and Climatic Variables
2.2. Vegetation Variables
2.3. Soil Collection, DNA Extraction, and Molecular and Bioinformatic Analyses
2.4. Statistical Analyses
3. Results
3.1. Climatic Variability along the Elevation Gradient
3.2. Soil Nutrient Status
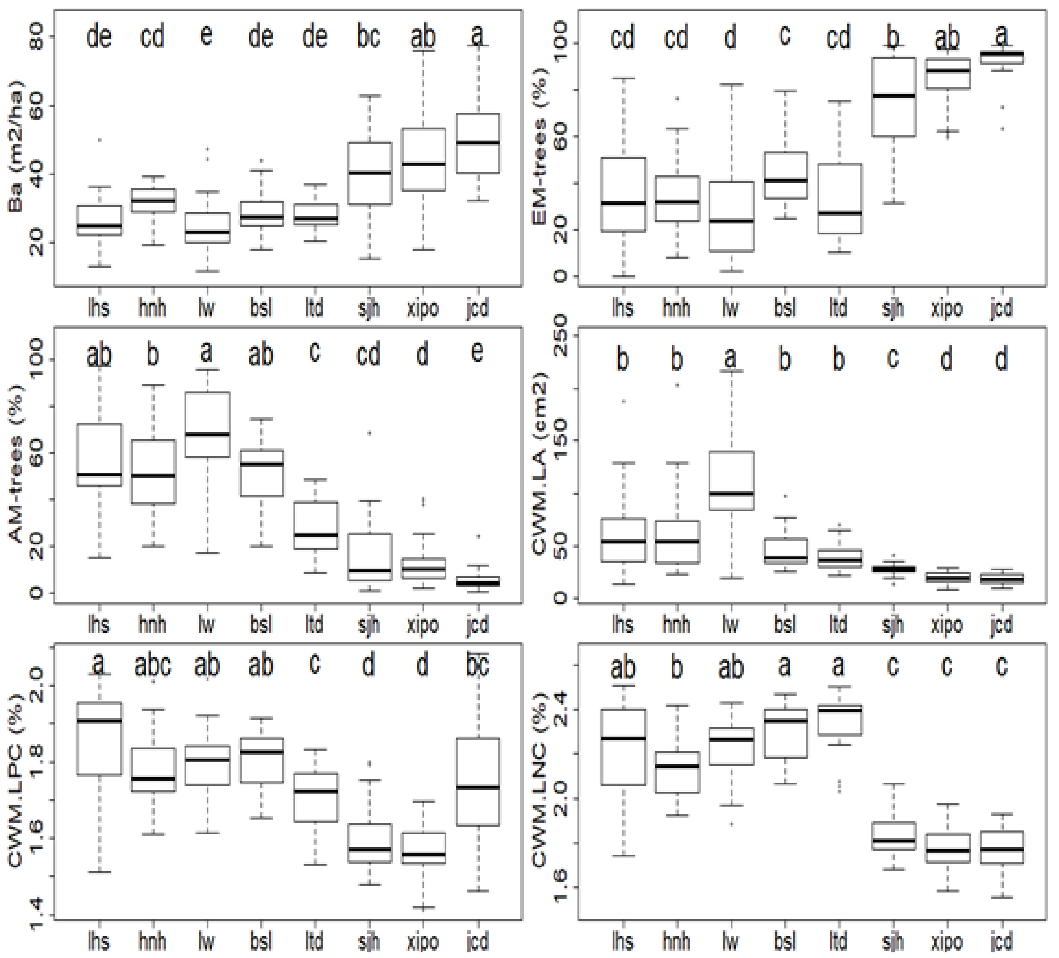
3.3. Plant Traits
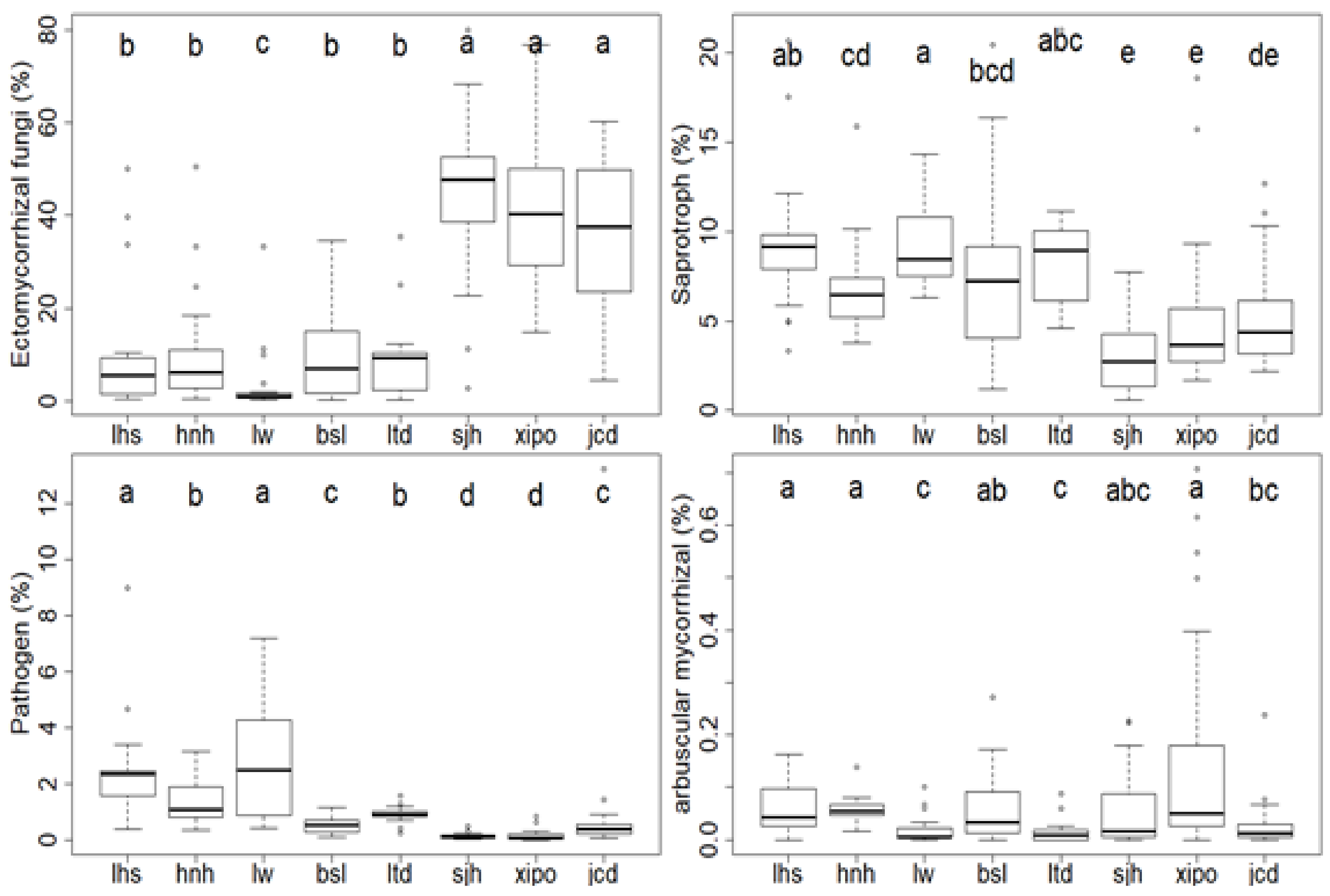
3.4. Microbial Diversity, Composition and Function
4. Discussion
5. Conclusions
Supplementary Materials
Author Contributions
Funding
Data Availability Statement
Conflicts of Interest
References
- Cutler, N.A.; Arroniz-Crespo, M.; Street, L.E.; Jones, D.L.; Chaput, D.L.; DeLuca, T.H. Long-Term Recovery of Microbial Communities in the Boreal Bryosphere Following Fire Disturbance. Microb. Ecol. 2017, 73, 75–90. [Google Scholar] [CrossRef] [PubMed]
- Schuldt, A.; Assmann, T.; Brezzi, M.; Buscot, F.; Eichenberg, D.; Gutknecht, J.; Hardtle, W.; He, J.S.; Klein, A.M.; Kuhn, P.; et al. Biodiversity across trophic levels drives multifunctionality in highly diverse forests. Nat. Commun. 2018, 9, 2989. [Google Scholar] [CrossRef] [PubMed]
- Hong, Y.; Zhou, Q.; Hao, Y.; Huang, A.C. Crafting the plant root metabolome for improved microbe-assisted stress resilience. New Phytol. 2021, 234, 1945–1950. [Google Scholar] [CrossRef] [PubMed]
- Huang, E.; Chen, Y.; Fang, M.; Zheng, Y.; Yu, S.; Bjorkman, A. Environmental drivers of plant distributions at global and regional scales. Glob. Ecol. Biogeogr. 2021, 30, 697–709. [Google Scholar] [CrossRef]
- Kiedrzyński, M.; Zielińska, K.M.; Kiedrzyńska, E.; Jakubowska-Gabara, J. Regional climate and geology affecting habitat availability for a relict plant in a plain landscape: The case ofFestuca amethystinaL. in Poland. Plant Ecol. Divers. 2014, 8, 331–341. [Google Scholar] [CrossRef]
- Pietras, M.; Litkowiec, M.; Golebiewska, J. Current and potential distribution of the ectomycorrhizal fungus Suillus lakei ((Murrill) A.H. Sm. & Thiers) in its invasion range. Mycorrhiza 2018, 28, 467–475. [Google Scholar] [CrossRef]
- Maure, L.A.; Diniz, M.F.; Coelho, M.T.P.; Souza de Oliveira, M.P.; Ribeiro, M.C.; da Silva, F.R.; Hasui, É.; Disney, M.; Hernández-Stefanoni, J. Predicting resilience and stability of early second-growth forests. Remote Sens. Ecol. Conserv. 2022, 8, 477–491. [Google Scholar] [CrossRef]
- Garris, H.W.; Mitchell, R.J.; Fraser, L.H.; Barrett, L.R. Forecasting climate change impacts on the distribution of wetland habitat in the Midwestern United states. Glob. Change Biol. 2015, 21, 766–776. [Google Scholar] [CrossRef]
- Kyaschenko, J.; Clemmensen, K.E.; Karltun, E.; Lindahl, B.D. Below-ground organic matter accumulation along a boreal forest fertility gradient relates to guild interaction within fungal communities. Ecol. Lett. 2017, 20, 1546–1555. [Google Scholar] [CrossRef]
- Karpati, A.S.; Handel, S.N.; Dighton, J.; Horton, T.R. Quercus rubra-associated ectomycorrhizal fungal communities of disturbed urban sites and mature forests. Mycorrhiza 2011, 21, 537–547. [Google Scholar] [CrossRef]
- Veselá, P.; Vašutová, M.; Edwards-Jonášová, M.; Cudlín, P. Soil Fungal Community in Norway Spruce Forests under Bark Beetle Attack. Forests 2019, 10, 109. [Google Scholar] [CrossRef]
- Peri, P.L.; Rosas, Y.M.; Ladd, B.; Toledo, S.; Lasagno, R.G.; Martínez Pastur, G. Modeling Soil Nitrogen Content in South Patagonia across a Climate Gradient, Vegetation Type, and Grazing. Sustainability 2019, 11, 2707. [Google Scholar] [CrossRef]
- Six, J.; Frey, S.D.; Thiet, R.K.; Batten, K.M. Bacterial and Fungal Contributions to Carbon Sequestration in Agroecosystems. Soil Sci. Soc. Am. J. 2006, 70, 555. [Google Scholar] [CrossRef]
- Hewitt, R.E.; Chapin, F.S., 3rd; Hollingsworth, T.N.; Taylor, D.L. The potential for mycobiont sharing between shrubs and seedlings to facilitate tree establishment after wildfire at Alaska arctic treeline. Mol. Ecol. 2017, 26, 3826–3838. [Google Scholar] [CrossRef]
- Baraloto, C.; Hérault, B.; Paine, C.E.T.; Massot, H.; Blanc, L.; Bonal, D.; Molino, J.-F.; Nicolini, E.A.; Sabatier, D. Contrasting taxonomic and functional responses of a tropical tree community to selective logging. J. Appl. Ecol. 2012, 49, 861–870. [Google Scholar] [CrossRef]
- Mayor, J.R.; Sanders, N.J.; Classen, A.T.; Bardgett, R.D.; Clement, J.C.; Fajardo, A.; Lavorel, S.; Sundqvist, M.K.; Bahn, M.; Chisholm, C.; et al. Elevation alters ecosystem properties across temperate treelines globally. Nature 2017, 542, 91–95. [Google Scholar] [CrossRef]
- Lin, Y.-T.; Hu, H.-W.; Whitman, W.B.; Coleman, D.C.; Chiu, C.-Y. Comparison of soil bacterial communities in a natural hardwood forest and coniferous plantations in perhumid subtropical low mountains. Bot. Stud. 2014, 55. [Google Scholar] [CrossRef]
- Meng, H.; Li, K.; Nie, M.; Jia, R.W.; Zhe, X.Q.; Chang, M.F.; Jia, K.C.; Ji, D.G.; Li, B. Responses of bacterial and fungal communities to an elevation gradient in a subtropical montane forest of China. Appl. Microbiol. Biotechnol. 2013, 97, 2219–2230. [Google Scholar] [CrossRef]
- Mukai, M.; Aiba, S.-i.; Kitayama, K. Soil-nutrient availability and the nutrient-use efficiencies of forests along an altitudinal gradient on Yakushima Island, Japan. Ecol. Res. 2016, 31, 719–730. [Google Scholar] [CrossRef]
- Swinfield, T.; Both, S.; Riutta, T.; Bongalov, B.; Elias, D.; Majalap-Lee, N.; Ostle, N.; Svatek, M.; Kvasnica, J.; Milodowski, D.; et al. Imaging spectroscopy reveals the effects of topography and logging on the leaf chemistry of tropical forest canopy trees. Glob. Chang. Biol. 2020, 26, 989–1002. [Google Scholar] [CrossRef]
- Dahlgren, R.A.; Driscoll, C.T. The effects of whole-tree clear-cutting on soil processes at the Hubbard Brook Experimental Forest, New Hampshire, USA. Plant Soil 1994, 158, 239–262. [Google Scholar] [CrossRef]
- Lin, Y.T.; Chiu, C.Y. Elevation gradient of soil bacterial communities in bamboo plantations. Bot. Stud. 2016, 57, 8. [Google Scholar] [CrossRef] [PubMed]
- Gallagher, R.V.; Falster, D.S.; Maitner, B.S.; Salguero-Gomez, R.; Vandvik, V.; Pearse, W.D.; Schneider, F.D.; Kattge, J.; Poelen, J.H.; Madin, J.S.; et al. Open Science principles for accelerating trait-based science across the Tree of Life. Nat. Ecol. Evol. 2020, 4, 294–303. [Google Scholar] [CrossRef] [PubMed]
- Yang, T.; Tedersoo, L.; Soltis, P.S.; Soltis, D.E.; Gilbert, J.A.; Sun, M.; Shi, Y.; Wang, H.; Li, Y.; Zhang, J.; et al. Phylogenetic imprint of woody plants on the soil mycobiome in natural mountain forests of eastern China. ISME J. 2019, 13, 686–697. [Google Scholar] [CrossRef] [PubMed]
- ter Steege, H.; Pitman, N.C.; Phillips, O.L.; Chave, J.; Sabatier, D.; Duque, A.; Molino, J.F.; Prevost, M.F.; Spichiger, R.; Castellanos, H.; et al. Continental-scale patterns of canopy tree composition and function across Amazonia. Nature 2006, 443, 444–447. [Google Scholar] [CrossRef]
- Subedi, S.; Hogan, J.A.; Ross, M.S.; Sah, J.P.; Baraloto, C. Evidence for trait-based community assembly patterns in hardwood hammock forests. Ecosphere 2019, 10, e02956. [Google Scholar] [CrossRef]
- Angst, G.; Mueller, K.E.; Eissenstat, D.M.; Trumbore, S.; Freeman, K.H.; Hobbie, S.E.; Chorover, J.; Oleksyn, J.; Reich, P.B.; Mueller, C.W. Soil organic carbon stability in forests: Distinct effects of tree species identity and traits. Glob. Change Biol. 2019, 25, 1529–1546. [Google Scholar] [CrossRef]
- Chai, Y.; Cao, Y.; Yue, M.; Tian, T.; Yin, Q.; Dang, H.; Quan, J.; Zhang, R.; Wang, M. Soil Abiotic Properties and Plant Functional Traits Mediate Associations Between Soil Microbial and Plant Communities During a Secondary Forest Succession on the Loess Plateau. Front. Microbiol. 2019, 10, 895. [Google Scholar] [CrossRef]
- de Vries, F.T.; Manning, P.; Tallowin, J.R.B.; Mortimer, S.R.; Pilgrim, E.S.; Harrison, K.A.; Hobbs, P.J.; Quirk, H.; Shipley, B.; Cornelissen, J.H.C.; et al. Abiotic drivers and plant traits explain landscape-scale patterns in soil microbial communities. Ecol. Lett. 2012, 15, 1230–1239. [Google Scholar] [CrossRef]
- Fanin, N.; Kardol, P.; Farrell, M.; Kempel, A.; Ciobanu, M.; Nilsson, M.C.; Gundale, M.J.; Wardle, D.A. Effects of plant functional group removal on structure and function of soil communities across contrasting ecosystems. Ecol. Lett. 2019, 22, 1095–1103. [Google Scholar] [CrossRef]
- van der Heijden, M.G.; Bardgett, R.D.; van Straalen, N.M. The unseen majority: Soil microbes as drivers of plant diversity and productivity in terrestrial ecosystems. Ecol. Lett. 2008, 11, 296–310. [Google Scholar] [CrossRef]
- Nasto, M.K.; Alvarez-Clare, S.; Lekberg, Y.; Sullivan, B.W.; Townsend, A.R.; Cleveland, C.C. Interactions among nitrogen fixation and soil phosphorus acquisition strategies in lowland tropical rain forests. Ecol. Lett. 2014, 17, 1282–1289. [Google Scholar] [CrossRef]
- Liu, S.; Yuan, Z.; Ali, A.; Sanaei, A.; Mao, Z.; Ding, F.; Zheng, D.; Fang, S.; Jia, Z.; Tao, Z.; et al. Anthropogenic Disturbances Shape Soil Capillary and Saturated Water Retention Indirectly via Plant Functional Traits and Soil Organic Carbon in Temperate Forests. Forests 2021, 12, 1588. [Google Scholar] [CrossRef]
- Yuan, Z.; Wang, S.P.; Ali, A.; Gazol, A.; Ruiz-Benito, P.; Wang, X.G.; Lin, F.; Ye, J.; Hao, Z.Q.; Loreau, M. Aboveground carbon storage is driven by functional trait composition and stand structural attributes rather than biodiversity in temperate mixed forests recovering from disturbances. Ann. For. Sci. 2018, 75. [Google Scholar] [CrossRef]
- Chen, L.; Wang, L.; Baiketuerhan, Y.; Zhang, C.; Zhao, X.; von Gadow, K. Seed dispersal and seedling recruitment of trees at different successional stages in a temperate forest in northeastern China. J. Plant Ecol. 2014, 7, 337–346. [Google Scholar] [CrossRef]
- Yuan, Z.; Ali, A.; Wang, S.; Gazol, A.; Freckleton, R.; Wang, X.; Lin, F.; Ye, J.; Zhou, L.; Hao, Z.; et al. Abiotic and biotic determinants of coarse woody productivity in temperate mixed forests. Sci. Total Environ. 2018, 630, 422–431. [Google Scholar] [CrossRef]
- Amissah, L.; Mohren, G.M.J.; Bongers, F.; Hawthorne, W.D.; Poorter, L. Rainfall and temperature affect tree species distribution in Ghana. J. Trop. Ecol. 2014, 30, 435–446. [Google Scholar] [CrossRef]
- Mao, Z.; Corrales, A.; Zhu, K.; Yuan, Z.; Lin, F.; Ye, J.; Hao, Z.; Wang, X. Tree mycorrhizal associations mediate soil fertility effects on forest community structure in a temperate forest. New Phytol. 2019, 223, 475–486. [Google Scholar] [CrossRef]
- Brundrett, M.C.; Tedersoo, L. Evolutionary history of mycorrhizal symbioses and global host plant diversity. New Phytol. 2018, 220, 1108–1115. [Google Scholar] [CrossRef]
- Yuan, Z.; Wang, S.; Gazol, A.; Mellard, J.; Lin, F.; Ye, J.; Hao, Z.; Wang, X.; Loreau, M. Multiple metrics of diversity have different effects on temperate forest functioning over succession. Oecologia 2016, 182, 1175–1185. [Google Scholar] [CrossRef]
- Ali, A.; Yan, E.R.; Chang, S.X.; Cheng, J.Y.; Liu, X.Y. Community-weighted mean of leaf traits and divergence of wood traits predict aboveground biomass in secondary subtropical forests. Sci. Total Environ. 2017, 574, 654–662. [Google Scholar] [CrossRef] [PubMed]
- Laliberté, E.; Legendre, P. A distance-based framework for measuring functional diversity from multiple traits. Ecology 2010, 91, 299–305. [Google Scholar] [CrossRef] [PubMed]
- Bai, Z.; Yuan, Z.Q.; Wang, D.M.; Fang, S.; Ye, J.; Wang, X.G.; Yuan, H.S. Ectomycorrhizal fungus-associated determinants jointly reflect ecological processes in a temperature broad-leaved mixed forest. Sci. Total Environ. 2020, 703, 135475. [Google Scholar] [CrossRef] [PubMed]
- Jiang, Y.; Lei, Y.; Yang, Y.; Korpelainen, H.; Niinemets, Ü.; Li, C. Divergent assemblage patterns and driving forces for bacterial and fungal communities along a glacier forefield chronosequence. Soil Biol. Biochem. 2018, 118, 207–216. [Google Scholar] [CrossRef]
- Nguyen, N.H.; Song, Z.; Bates, S.T.; Branco, S.; Tedersoo, L.; Menke, J.; Schilling, J.S.; Kennedy, P.G. FUNGuild: An open annotation tool for parsing fungal community datasets by ecological guild. Fungal Ecol. 2016, 20, 241–248. [Google Scholar] [CrossRef]
- Louca, S.; Parfrey, L.W.; Doebeli, M. Decoupling function and taxonomy in the global ocean microbiome. Science 2016, 353, 1272–1277. [Google Scholar] [CrossRef]
- Jones, D.L.; Nguyen, C.; Finlay, R.D. Carbon flow in the rhizosphere: Carbon trading at the soil–root interface. Plant Soil 2009, 321, 5–33. [Google Scholar] [CrossRef]
- Lwila, A.S.; Mund, M.; Ammer, C.; Glatthorn, J. Site conditions more than species identity drive fine root biomass, morphology and spatial distribution in temperate pure and mixed forests. For. Ecol. Manag. 2021, 499, 119581. [Google Scholar] [CrossRef]
- Yin, Y.; Yan, Z. Variations of soil bacterial diversity and metabolic function with tidal flat elevation gradient in an artificial mangrove wetland. Sci. Total Environ. 2020, 718, 137385. [Google Scholar] [CrossRef]
- Liu, J.; Jia, X.; Yan, W.; Zhong, Y.; Shangguan, Z. Changes in soil microbial community structure during long-term secondary succession. Land Degrad. Dev. 2020, 31, 1151–1166. [Google Scholar] [CrossRef]
- George, P.B.L.; Lallias, D.; Creer, S.; Seaton, F.M.; Kenny, J.G.; Eccles, R.M.; Griffiths, R.I.; Lebron, I.; Emmett, B.A.; Robinson, D.A.; et al. Divergent national-scale trends of microbial and animal biodiversity revealed across diverse temperate soil ecosystems. Nat. Commun. 2019, 10, 1107. [Google Scholar] [CrossRef] [PubMed]
- Sawada, Y.; Aiba, S.-I.; Takyu, M.; Repin, R.; Nais, J.; Kitayama, K. Community dynamics over 14 years along gradients of geological substrate and topography in tropical montane forests on Mount Kinabalu, Borneo. J. Trop. Ecol. 2015, 31, 117–128. [Google Scholar] [CrossRef]
- Higgins, M.A.; Asner, G.P.; Perez, E.; Elespuru, N.; Alonso, A. Variation in photosynthetic and nonphotosynthetic vegetation along edaphic and compositional gradients in northwestern Amazonia. Biogeosciences 2014, 11, 3505–3513. [Google Scholar] [CrossRef]
- Jia, G.; Yu, X.; Fan, D.; Jia, J. Mechanism Underlying the Spatial Pattern Formation of Dominant Tree Species in a Natural Secondary Forest. PLoS ONE 2016, 11, e0152596. [Google Scholar] [CrossRef]
- Penone, C.; Allan, E.; Soliveres, S.; Felipe-Lucia, M.R.; Gossner, M.M.; Seibold, S.; Simons, N.K.; Schall, P.; van der Plas, F.; Manning, P.; et al. Specialisation and diversity of multiple trophic groups are promoted by different forest features. Ecol. Lett. 2019, 22, 170–180. [Google Scholar] [CrossRef]
- García de Leon, D.; Davison, J.; Moora, M.; Opik, M.; Feng, H.; Hiiesalu, I.; Jairus, T.; Koorem, K.; Liu, Y.; Phosri, C.; et al. Anthropogenic disturbance equalizes diversity levels in arbuscular mycorrhizal fungal communities. Glob. Change Biol. 2018, 24, 2649–2659. [Google Scholar] [CrossRef]
- Bai, Z.; Ye, J.; Wei, Y.-L.; Yan, S.-K.; Yuan, H.-S. Soil depth-dependent C/N stoichiometry and fungal and bacterial communities along a temperate forest succession gradient. Catena 2021, 207, 105613. [Google Scholar] [CrossRef]
- Qiu, Q.; Bender, S.F.; Mgelwa, A.S.; Hu, Y. Arbuscular mycorrhizal fungi mitigate soil nitrogen and phosphorus losses: A meta-analysis. Sci. Total Environ. 2022, 807, 150857. [Google Scholar] [CrossRef]
- Peri, P.; Rosas, Y.; Ladd, B.; Toledo, S.; Lasagno, R.; Martínez Pastur, G. Modelling Soil Carbon Content in South Patagonia and Evaluating Changes According to Climate, Vegetation, Desertification and Grazing. Sustainability 2018, 10, 438. [Google Scholar] [CrossRef]
- Castaño-Santamaría, J.; López-Sánchez, C.A.; Obeso, J.R.; Barrio-Anta, M. Structure, environmental patterns and impact of expected climate change in natural beech-dominated forests in the Cantabrian Range (NW Spain). For. Ecol. Manag. 2021, 497, 119512. [Google Scholar] [CrossRef]







| Scheme | LianHuaShan (lhs ‡) | HuangNiHe (hnh) | LongWan (lw) | BaiShiLaZi (bsl) | LaoTuDing (ltd) | SongJiangHe (sjh) | XiPo (xipo) | JiaoCuoDai (jcd) |
|---|---|---|---|---|---|---|---|---|
| E (°) | 126.2 | 127.9 | 126.5 | 124.8 | 124.9 | 127.9 | 127.9 | 128.2 |
| N (°) | 43.2 | 44.1 | 42.4 | 40.9 | 41.3 | 42.2 | 42.3 | 42.2 |
| Average elevation (m) | 653.0 | 721.6 | 758.6 | 834.1 | 892.5 | 998.8 | 1019.8 | 1107.1 |
| Annual mean temperature (°C) | 2.7 | 1.6 | 3.2 | 4.2 | 4.1 | 1.7 | 1.3 | 1.2 |
| Temperature seasonality (%) | 1388.5 | 1369.1 | 1352.2 | 1223.2 | 1276.3 | 1260.5 | 1272.3 | 1250.8 |
| Max temperature of warmest month (°C) | 24.4 | 23.6 | 25.1 | 24 | 24.6 | 23.1 | 22.9 | 22.5 |
| Mean temperature of warmest quarter (°C) | 18.8 | 17.5 | 18.9 | 18.6 | 19.0 | 16.6 | 16.3 | 15.9 |
| Temperature annual range (°C) | 50 | 49 | 49.7 | 44.9 | 47 | 46.9 | 47.4 | 46.8 |
| Mean diurnal temperature range (°C) | 11.9 | 12.0 | 12.5 | 11.4 | 12.0 | 12.4 | 12.5 | 12.5 |
| Isothermality † (%) | 23.9 | 24.6 | 25.1 | 25.4 | 25.6 | 26.3 | 26.4 | 26.6 |
| Mean annual precipitation (mm/year) | 769 | 660 | 833 | 1000 | 944 | 729 | 748 | 720 |
| Precipitation of driest month (mm/year) | 8 | 4 | 8 | 7 | 7 | 5 | 6 | 4 |
| Precipitation seasonality (%) | 102.0 | 101.2 | 98.0 | 105.8 | 103.7 | 99.2 | 97.1 | 99.1 |
Disclaimer/Publisher’s Note: The statements, opinions and data contained in all publications are solely those of the individual author(s) and contributor(s) and not of MDPI and/or the editor(s). MDPI and/or the editor(s) disclaim responsibility for any injury to people or property resulting from any ideas, methods, instructions or products referred to in the content. |
© 2023 by the authors. Licensee MDPI, Basel, Switzerland. This article is an open access article distributed under the terms and conditions of the Creative Commons Attribution (CC BY) license (https://creativecommons.org/licenses/by/4.0/).
Share and Cite
Ye, J.; Cong, L.; Liu, S.; Tian, S.; Sun, H.; Luan, Y.; Bai, Z. Climatic Variability Determines the Biological Diversity and Function of a Mixed Forest in Northeastern China at the Local-Scale. Forests 2023, 14, 98. https://doi.org/10.3390/f14010098
Ye J, Cong L, Liu S, Tian S, Sun H, Luan Y, Bai Z. Climatic Variability Determines the Biological Diversity and Function of a Mixed Forest in Northeastern China at the Local-Scale. Forests. 2023; 14(1):98. https://doi.org/10.3390/f14010098
Chicago/Turabian StyleYe, Ji, Linlin Cong, Shufang Liu, Shuguo Tian, Haihong Sun, Yuting Luan, and Zhen Bai. 2023. "Climatic Variability Determines the Biological Diversity and Function of a Mixed Forest in Northeastern China at the Local-Scale" Forests 14, no. 1: 98. https://doi.org/10.3390/f14010098
APA StyleYe, J., Cong, L., Liu, S., Tian, S., Sun, H., Luan, Y., & Bai, Z. (2023). Climatic Variability Determines the Biological Diversity and Function of a Mixed Forest in Northeastern China at the Local-Scale. Forests, 14(1), 98. https://doi.org/10.3390/f14010098

