The Effects of Tree Canopy Structure and Tree Coverage Ratios on Urban Air Temperature Based on ENVI-Met
Abstract
1. Introduction
2. Materials and Methods
2.1. Study Area
2.2. Meteorological Data and Measured Data Collection
2.3. Tree Information Collectiona
2.4. Individual Tree Creation Process
2.5. ENVI-Met Scenario Setting and Simulation
2.6. Numerical Simulation
2.6.1. Simulation under Different TCDs and Tree Coverage
2.6.2. Simulation under Different TCDs, Tree Coverage, and Crown Shapes
2.7. Statistical Analysis
3. Results
3.1. ENVI-Met Accuracy Verification
3.2. Effects of TCD on AT and RH under Different Coverages
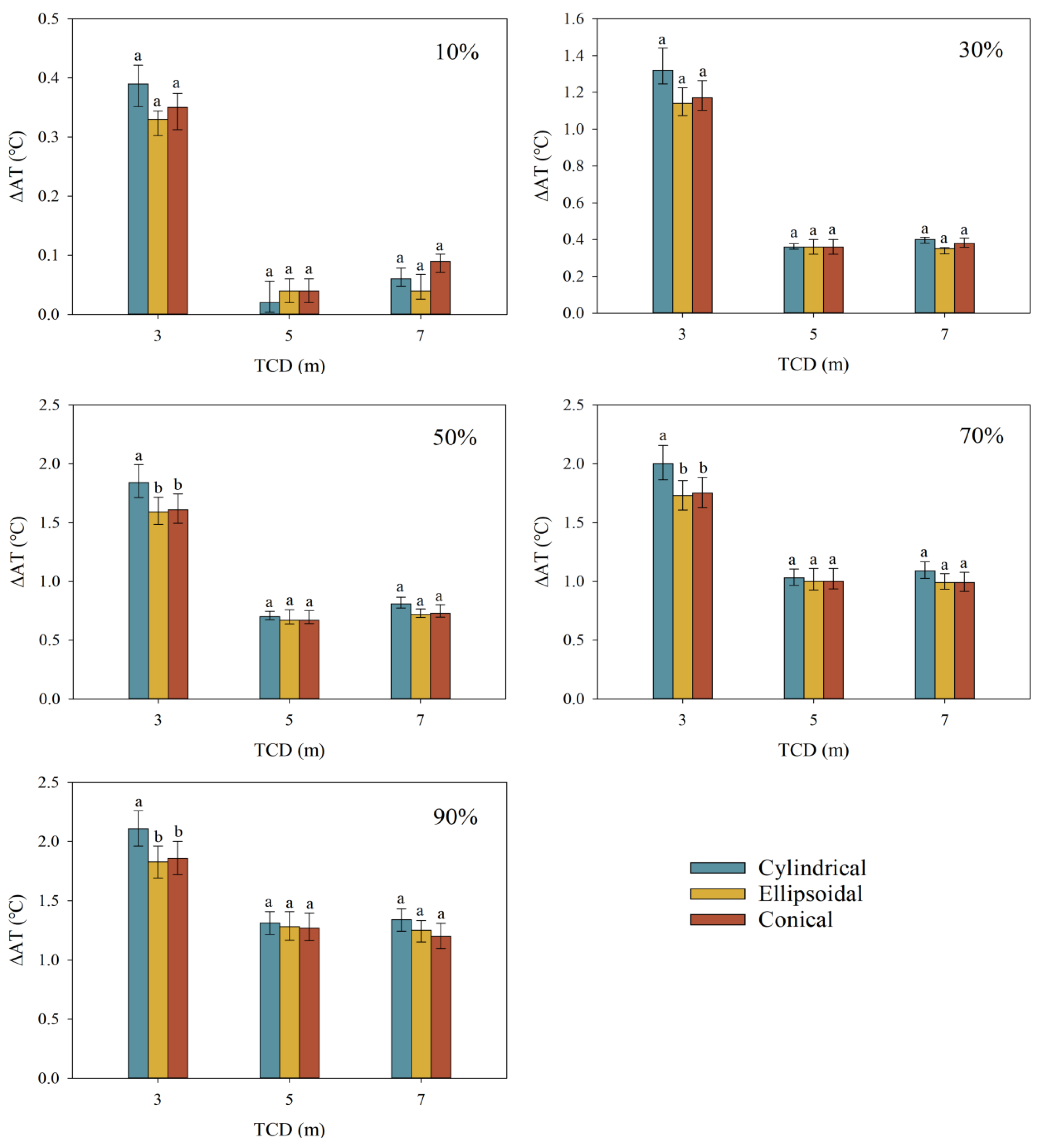
3.3. Effects of Canopy Shapes on AT and RH under Different Coverage and TCD
4. Discussion
4.1. Differences between the Simulated and Measured Values
4.2. Effect of TCD and Tree Coverage Ratio on the Cooling Effect
4.3. Effect of Different Canopy Shapes on the Thermal Environment
5. Conclusions
Author Contributions
Funding
Data Availability Statement
Conflicts of Interest
References
- Qaid, A.; Bin Lamit, H.; Ossen, D.R.; Raja Shahminan, R.N. Urban Heat Island and Thermal Comfort Conditions at Micro-Climate Scale in a Tropical Planned City. Energy Build. 2016, 133, 577–595. [Google Scholar] [CrossRef]
- Ha, J.; Kim, H. Changes in the Association between Summer Temperature and Mortality in Seoul, South Korea. Int. J. Biometeorol. 2013, 57, 535–544. [Google Scholar] [CrossRef] [PubMed]
- Xinchuang, X.; Quansheng, G.; Shanfeng, H.; Xuezhen, Z.; Xunliang, X.; Guang Xu, L. Impact of High Temperature on the Mortality in Summer of Wuhan, China. Environ. Earth Sci. 2016, 75, 543. [Google Scholar] [CrossRef]
- Allen, M.J.; Sheridan, S.C. Mortality Risks during Extreme Temperature Events (ETEs) Using a Distributed Lag Non-Linear Model. Int. J. Biometeorol. 2018, 62, 57–67. [Google Scholar] [CrossRef] [PubMed]
- Chen, K.; Bi, J.; Chen, J.; Chen, X.; Huang, L.; Zhou, L. Influence of Heat Wave Definitions to the Added Effect of Heat Waves on Daily Mortality in Nanjing, China. Sci. Total Environ. 2015, 506–507, 18–25. [Google Scholar] [CrossRef] [PubMed]
- Shindell, D.; Zhang, Y.; Scott, M.; Ru, M.; Stark, K.; Ebi, K.L. The Effects of Heat Exposure on Human Mortality Throughout the United States. GeoHealth 2020, 4, e2019GH000234. [Google Scholar] [CrossRef]
- Avissar, R. Potential Effects of Vegetation on the Urban Thermal Environment. Atmos. Environ. 1996, 30, 437–448. [Google Scholar] [CrossRef]
- Liao, J.; Tan, X.; Li, J. Evaluating the Vertical Cooling Performances of Urban Vegetation Scenarios in a Residential Environment. J. Build. Eng. 2021, 39, 102313. [Google Scholar] [CrossRef]
- Barradas, V.L.; Miranda, J.A.; Esperón-Rodríguez, M.; Ballinas, M. (Re)Designing Urban Parks to Maximize Urban Heat Island Mitigation by Natural Means. Forests 2022, 13, 1143. [Google Scholar] [CrossRef]
- Roth, M.; Lim, V.H. Evaluation of Canopy-Layer Air and Mean Radiant Temperature Simulations by a Microclimate Model over a Tropical Residential Neighbourhood. Build. Environ. 2017, 112, 177–189. [Google Scholar] [CrossRef]
- Gkatsopoulos, P. A Methodology for Calculating Cooling from Vegetation Evapotranspiration for Use in Urban Space Microclimate Simulations. Procedia Environ. Sci. 2017, 38, 477–484. [Google Scholar] [CrossRef]
- Deng, J.; Pickles, B.J.; Kavakopoulos, A.; Blanusa, T.; Halios, C.H.; Smith, S.T.; Shao, L. Concept and Methodology of Characterising Infrared Radiative Performance of Urban Trees Using Tree Crown Spectroscopy. Build. Environ. 2019, 157, 380–390. [Google Scholar] [CrossRef]
- Lin, B.S.; Lin, Y.J. Cooling Effect of Shade Trees with Different Characteristics in a Subtropical Urban Park. HortScience 2010, 45, 83–86. [Google Scholar] [CrossRef]
- Cheung, P.K.; Jim, C.Y.; Hung, P.L. Preliminary Study on the Temperature Relationship at Remotely-Sensed Tree Canopy and below-Canopy Air and Ground Surface. Build. Environ. 2021, 204, 108169. [Google Scholar] [CrossRef]
- Kántor, N.; Kovács, A.; Takács, Á. Small-Scale Human-Biometeorological Impacts of Shading by a Large Tree. Open Geosci. 2016, 8, 231–245. [Google Scholar] [CrossRef]
- Konarska, J.; Lindberg, F.; Larsson, A.; Thorsson, S.; Holmer, B. Transmissivity of Solar Radiation through Crowns of Single Urban Trees-Application for Outdoor Thermal Comfort Modelling. Theor. Appl. Climatol. 2014, 117, 363–376. [Google Scholar] [CrossRef]
- Cai, Y.; Li, C.; Ye, L.; Xiao, L.; Gao, X.; Mo, L.; Du, H.; Zhou, Y.; Zhou, G. Effect of the Roadside Tree Canopy Structure and the Surrounding on the Daytime Urban Air Temperature in Summer. Agric. For. Meteorol. 2022, 316, 108850. [Google Scholar] [CrossRef]
- Speak, A.; Montagnani, L.; Wellstein, C.; Zerbe, S. The Influence of Tree Traits on Urban Ground Surface Shade Cooling. Landsc. Urban Plan. 2020, 197, 103748. [Google Scholar] [CrossRef]
- Wang, Y.; Akbari, H. The Effects of Street Tree Planting on Urban Heat Island Mitigation in Montreal. Sustain. Cities Soc. 2016, 27, 122–128. [Google Scholar]
- Oshio, H.; Kiyono, T.; Asawa, T. Numerical Simulation of the Nocturnal Cooling Effect of Urban Trees Considering the Leaf Area Density Distribution. Urban For. Urban Green. 2021, 66, 127391. [Google Scholar] [CrossRef]
- Karimi, A.; Sanaieian, H.; Farhadi, H.; Norouzian-Maleki, S. Evaluation of the Thermal Indices and Thermal Comfort Improvement by Different Vegetation Species and Materials in a Medium-Sized Urban Park. Energy Rep. 2020, 6, 1670–1684. [Google Scholar] [CrossRef]
- Middel, A.; Chhetri, N.; Quay, R. Urban Forestry and Cool Roofs: Assessment of Heat Mitigation Strategies in Phoenix Residential Neighborhoods. Urban For. Urban Green. 2015, 14, 178–186. [Google Scholar] [CrossRef]
- Wu, Z.; Man, W.; Ren, Y. Influence of Tree Coverage and Micro-Topography on the Thermal Environment within and beyond a Green Space. Agric. For. Meteorol. 2022, 316, 108846. [Google Scholar] [CrossRef]
- Ouyang, W.; Morakinyo, T.E.; Ren, C.; Ng, E. The Cooling Efficiency of Variable Greenery Coverage Ratios in Different Urban Densities: A Study in a Subtropical Climate. Build. Environ. 2020, 174, 106772. [Google Scholar] [CrossRef]
- Aminipouri, M.; Knudby, A.J.; Krayenhoff, E.S.; Zickfeld, K.; Middel, A. Modelling the Impact of Increased Street Tree Cover on Mean Radiant Temperature across Vancouver’s Local Climate Zones. Urban For. Urban Green. 2019, 39, 9–17. [Google Scholar] [CrossRef]
- Jiao, M.; Zhou, W.; Zheng, Z.; Wang, J.; Qian, Y. Patch Size of Trees Affects Its Cooling Effectiveness: A Perspective from Shading and Transpiration Processes. Agric. For. Meteorol. 2017, 247, 293–299. [Google Scholar] [CrossRef]
- Ziter, C.D.; Pedersen, E.J.; Kucharik, C.J.; Turner, M.G. Scale-Dependent Interactions between Tree Canopy Cover and Impervious Surfaces Reduce Daytime Urban Heat during Summer. Proc. Natl. Acad. Sci. USA 2019, 116, 7575–7580. [Google Scholar] [CrossRef]
- Wu, Z.; Dou, P.; Chen, L. Comparative and Combinative Cooling Effects of Different Spatial Arrangements of Buildings and Trees on Microclimate. Sustain. Cities Soc. 2019, 51, 101711. [Google Scholar] [CrossRef]
- Zhang, J.; Gou, Z. Tree Crowns and Their Associated Summertime Microclimatic Adjustment and Thermal Comfort Improvement in Urban Parks in a Subtropical City of China. Urban For. Urban Green. 2021, 59, 126912. [Google Scholar] [CrossRef]
- Liu, D.; Hu, S.; Liu, J. Contrasting the Performance Capabilities of Urban Radiation Field between Three Microclimate Simulation Tools. Build. Environ. 2020, 175, 106789. [Google Scholar] [CrossRef]
- Bruse, M.; Fleer, H. Simulating Surface-Plant-Air Interactions inside Urban Environments with a Three Dimensional Numerical Model. Environ. Model. Softw. 1998, 13, 373–384. [Google Scholar] [CrossRef]
- Fahed, J.; Kinab, E.; Ginestet, S.; Adolphe, L. Impact of Urban Heat Island Mitigation Measures on Microclimate and Pedestrian Comfort in a Dense Urban District of Lebanon. Sustain. Cities Soc. 2020, 61, 102375. [Google Scholar] [CrossRef]
- Faragallah, R.N.; Ragheb, R.A. Evaluation of Thermal Comfort and Urban Heat Island through Cool Paving Materials Using ENVI-Met. Ain Shams Eng. J. 2022, 13, 101609. [Google Scholar] [CrossRef]
- Tsoka, S.; Tsikaloudaki, A.; Theodosiou, T. Analyzing the ENVI-Met Microclimate Model’s Performance and Assessing Cool Materials and Urban Vegetation Applications–A Review. Sustain. Cities Soc. 2018, 43, 55–76. [Google Scholar] [CrossRef]
- Abdallah, A.S.H.; Hussein, S.W.; Nayel, M. The Impact of Outdoor Shading Strategies on Student Thermal Comfort in Open Spaces between Education Building. Sustain. Cities Soc. 2020, 58, 102124. [Google Scholar] [CrossRef]
- Rui, L.; Buccolieri, R.; Gao, Z.; Gatto, E.; Ding, W. Study of the Effect of Green Quantity and Structure on Thermal Comfort and Air Quality in an Urban-like Residential District by ENVI-Met Modelling. Build. Simul. 2019, 12, 183–194. [Google Scholar] [CrossRef]
- Salata, F.; Golasi, I.; de Lieto Vollaro, R.; de Lieto Vollaro, A. Urban Microclimate and Outdoor Thermal Comfort. A Proper Procedure to Fit ENVI-Met Simulation Outputs to Experimental Data. Sustain. Cities Soc. 2016, 26, 318–343. [Google Scholar] [CrossRef]
- Vos, P.E.J.; Maiheu, B.; Vankerkom, J.; Janssen, S. Improving Local Air Quality in Cities: To Tree or Not to Tree? Environ. Pollut. 2013, 183, 113–122. [Google Scholar] [CrossRef]
- Jing, L.; Liang, Y. The Impact of Tree Clusters on Air Circulation and Pollutant Diffusion-Urban Micro Scale Environmental Simulation Based on ENVI-Met. IOP Conf. Ser. Earth Environ. Sci. 2021, 657, 12008. [Google Scholar] [CrossRef]
- Cortes, A.; Rejuso, A.J.; Santos, J.A.; Blanco, A. Evaluating Mitigation Strategies for Urban Heat Island in Mandaue City Using ENVI-Met. J. Urban Manag. 2022, 11, 97–106. [Google Scholar] [CrossRef]
- Yang, J.; Hu, X.; Feng, H.; Marvin, S. Verifying an ENVI-Met Simulation of the Thermal Environment of Yanzhong Square Park in Shanghai. Urban For. Urban Green. 2021, 66, 127384. [Google Scholar] [CrossRef]
- Simon, H.; Lindén, J.; Hoffmann, D.; Braun, P.; Bruse, M.; Esper, J. Modeling Transpiration and Leaf Temperature of Urban Trees—A Case Study Evaluating the Microclimate Model ENVI-Met against Measurement Data. Landsc. Urban Plan. 2018, 174, 33–40. [Google Scholar] [CrossRef]
- Šimek, M.; Elhottová, D.; Klimeš, F.; Hopkins, D.W. Emissions of N2O and CO2, Denitrification Measurements and Soil Properties in Red Clover and Ryegrass Stands. Soil Biol. Biochem. 2004, 36, 9–21. [Google Scholar] [CrossRef]
- Trochta, J.; Kr\uuček, M.; Vrška, T.; Král, K. 3D Forest: An Application for Descriptions of Three-Dimensional Forest Structures Using Terrestrial LiDAR. PLoS ONE 2017, 12, e0176871. [Google Scholar] [CrossRef] [PubMed]
- Jacobs, M.; Rais, A.; Pretzsch, H. Analysis of Stand Density Effects on the Stem Form of Norway Spruce Trees and Volume Miscalculation by Traditional Form Factor Equations Using Terrestrial Laser Scanning (TLS). Can. J. For. Res. 2020, 50, 51–64. [Google Scholar] [CrossRef]
- Weiser, H.; Winiwarter, L.; Anders, K.; Fassnacht, F.E.; Höfle, B. Opaque Voxel-Based Tree Models for Virtual Laser Scanning in Forestry Applications. Remote Sens. Environ. 2021, 265, 112641. [Google Scholar] [CrossRef]
- Gao, X.; Li, C.; Cai, Y.; Ye, L.; Xiao, L.; Zhou, G.; Zhou, Y. Influence of Scale Effect of Canopy Projection on Understory Microclimate in Three Subtropical Urban Broad-Leaved Forests. Remote Sens. 2021, 13, 3786. [Google Scholar] [CrossRef]
- Baloloy, A.; Cruz, J.A.; Sta Ana, R.R.; Blanco, A.; Lubrica, N.V.; Valdez, C.J.; Bernardo, J.J. Modelling and Simulation of Potential Future Urbanization Scenarios and Its Effect on the Microclimate of Lower Session Road, Baguio City. ISPRS Ann. Photogramm. Remote Sens. Spat. Inf. Sci. 2020, 5, 187–194. [Google Scholar] [CrossRef]
- López-Cabeza, V.P.; Galán-Marín, C.; Rivera-Gómez, C.; Roa-Fernández, J. Courtyard Microclimate ENVI-Met Outputs Deviation from the Experimental Data. Build. Environ. 2018, 144, 129–141. [Google Scholar] [CrossRef]
- Krayenhoff, E.S.; Christen, A.; Martilli, A.; Oke, T.R. A Multi-Layer Radiation Model for Urban Neighbourhoods with Trees. Boundary-Layer Meteorol. 2014, 151, 139–178. [Google Scholar] [CrossRef]
- Liu, Z.; Zheng, S.; Zhao, L. Evaluation of the ENVI-Met Vegetation Model of Four Common Tree Species in a Subtropical Hot-Humid Area. Atmosphere 2018, 9, 198. [Google Scholar] [CrossRef]
- Hu, Z.; Yu, B.; Chen, Z.; Li, T.; Liu, M. Numerical Investigation on the Urban Heat Island in an Entire City with an Urban Porous Media Model. Atmos. Environ. 2012, 47, 509–518. [Google Scholar] [CrossRef]
- Acero, J.A.; Arrizabalaga, J. Evaluating the Performance of ENVI-Met Model in Diurnal Cycles for Different Meteorological Conditions. Theor. Appl. Climatol. 2018, 131, 455–469. [Google Scholar] [CrossRef]
- Li, X.; Zhou, W.; Ouyang, Z. Relationship between Land Surface Temperature and Spatial Pattern of Greenspace: What Are the Effects of Spatial Resolution? Landsc. Urban Plan. 2013, 114, 1–8. [Google Scholar] [CrossRef]
- Rahman, M.A.; Hartmann, C.; Moser-Reischl, A.; von Strachwitz, M.F.; Paeth, H.; Pretzsch, H.; Pauleit, S.; Rötzer, T. Tree Cooling Effects and Human Thermal Comfort under Contrasting Species and Sites. Agric. For. Meteorol. 2020, 287, 107947. [Google Scholar] [CrossRef]
- Terando, A.J.; Youngsteadt, E.; Meineke, E.K.; Prado, S.G. Ad Hoc Instrumentation Methods in Ecological Studies Produce Highly Biased Temperature Measurements. Ecol. Evol. 2017, 7, 9890–9904. [Google Scholar] [CrossRef]
- Nakamura, R.; Mahrt, L. Air Temperature Measurement Errors in Naturally Ventilated Radiation Shields. J. Atmos. Ocean. Technol. 2005, 22, 1046–1058. [Google Scholar] [CrossRef]
- Erell, E.; Leal, V.; Maldonado, E. Measurement of Air Temperature in the Presence of a Large Radiant Flux: An Assessment of Assively Ventilated Thermometer Screens. Boundary-Layer Meteorol. 2005, 114, 205–231. [Google Scholar] [CrossRef]
- Grimmond, C.S.B.; Oke, T.R. Turbulent Heat Fluxes in Urban Areas: Observations and a Local-Scale Urban Meteorological Parameterization Scheme (LUMPS). J. Appl. Meteorol. 2002, 41, 792–810. [Google Scholar] [CrossRef]
- He, C.; Zhou, L.; Yao, Y.; Ma, W.; Kinney, P.L. Cooling Effect of Urban Trees and Its Spatiotemporal Characteristics: A Comparative Study. Build. Environ. 2021, 204, 108103. [Google Scholar] [CrossRef]
- Liu, H.; Lim, J.Y.; Wint Hnin Thet, B.; Lai, P.Y.; Koh, W.S. Evaluating the Impact of Tree Morphologies and Planting Densities on Outdoor Thermal Comfort in Tropical Residential Precincts in Singapore. Build. Environ. 2022, 221, 109268. [Google Scholar] [CrossRef]
- Skelhorn, C.; Lindley, S.; Levermore, G. The Impact of Vegetation Types on Air and Surface Temperatures in a Temperate City: A Fine Scale Assessment in Manchester, UK. Landsc. Urban Plan. 2014, 121, 129–140. [Google Scholar] [CrossRef]
- Petri, A.C.; Wilson, B.; Koeser, A. Planning the Urban Forest: Adding Microclimate Simulation to the Planner’s Toolkit. Land use policy 2019, 88, 104117. [Google Scholar] [CrossRef]
- Kong, F.; Yan, W.; Zheng, G.; Yin, H.; Cavan, G.; Zhan, W.; Zhang, N.; Cheng, L. Retrieval of Three-Dimensional Tree Canopy and Shade Using Terrestrial Laser Scanning (TLS) Data to Analyze the Cooling Effect of Vegetation. Agric. For. Meteorol. 2016, 217, 22–34. [Google Scholar] [CrossRef]
- Wang, J.; Guo, W.; Wang, C.; Yao, Y.; Kou, K.; Xian, D.; Zhang, Y. Tree Crown Geometry and Its Performances on Human Thermal Comfort Adjustment. J. Urban Manag. 2021, 10, 16–26. [Google Scholar] [CrossRef]
- de Abreu-Harbich, L.V.; Labaki, L.C.; Matzarakis, A. Effect of Tree Planting Design and Tree Species on Human Thermal Comfort in the Tropics. Landsc. Urban Plan. 2015, 138, 99–109. [Google Scholar] [CrossRef]
- Shahidan, M.F.; Shariff, M.K.M.; Jones, P.; Salleh, E.; Abdullah, A.M. A Comparison of Mesua ferrea L. and Hura crepitans L. for Shade Creation and Radiation Modification in Improving Thermal Comfort. Landsc. Urban Plan. 2010, 97, 168–181. [Google Scholar] [CrossRef]










| Open Space Elements | Area (m2) | Percent (%) |
|---|---|---|
| Student apartment | 3014 | 30.14 |
| Green space | 4142 | 41.12 |
| Roads | 2844 | 28.44 |
| Parameter | Sensor Type | Measuring Range | Accuracy | Resolution | Response Time |
|---|---|---|---|---|---|
| Air Temperature | GHHB-001-485 | −40–80 °C | 0.1 °C | 0.1 °C | 60 s |
| Relative Humidity | GHHB-001-485 | 0–100% | 0.3% | 0.1% | 60 s |
| Parameter | Value |
|---|---|
| Field of view | 270° × 360° |
| Range size | 35 m @ ≥ 5% albedo |
| Scan rate | 25,000 pts/s |
| Accuracy of position | 6 mm |
| Accuracy of distance | 4 mm |
| Minimum point spacing | <1 mm |
| Operating temperature | 0–40 °C |
| Parameters | Value/Source |
|---|---|
| Maximum air temperature at 2 m (°C) | 38.2 |
| Minimum air temperature at 2 m (°C) | 28.2 |
| Maximum relative humidity at 2 m (%) | 87.5 |
| Minimum relative humidity at 2 m (%) | 48.2 |
| Wind speed at 10 m (m/s) | 1.1 |
| Wind direction at 10 m | SW |
| Grid cell size (Δx, Δy, Δz) | 2, 2, 3 |
| Number of grid cells (Δx, Δy, Δz) | 70, 70, 20 |
| Boundary condition | Simple Forcing |
| Simulation duration | 24 h |
| Roughness length | 0.01 |
| Albedo of road | 0.2 |
| Emissivity of road | 0.9 |
| Albedo of glass | 0.2 |
| Transmittance of glass | 0.3 |
| Shape | TCD = 3 m | TCD = 5 m | TCD = 7 m |
|---|---|---|---|
| Cylindrical shape | ![]() | ![]() | ![]() |
| Ellipsoidal shape | ![]() | ![]() | ![]() |
| Conical shape | ![]() | ![]() | ![]() |
Disclaimer/Publisher’s Note: The statements, opinions and data contained in all publications are solely those of the individual author(s) and contributor(s) and not of MDPI and/or the editor(s). MDPI and/or the editor(s) disclaim responsibility for any injury to people or property resulting from any ideas, methods, instructions or products referred to in the content. |
© 2023 by the authors. Licensee MDPI, Basel, Switzerland. This article is an open access article distributed under the terms and conditions of the Creative Commons Attribution (CC BY) license (https://creativecommons.org/licenses/by/4.0/).
Share and Cite
Wang, H.; Cai, Y.; Deng, W.; Li, C.; Dong, Y.; Zhou, L.; Sun, J.; Li, C.; Song, B.; Zhang, F.; et al. The Effects of Tree Canopy Structure and Tree Coverage Ratios on Urban Air Temperature Based on ENVI-Met. Forests 2023, 14, 80. https://doi.org/10.3390/f14010080
Wang H, Cai Y, Deng W, Li C, Dong Y, Zhou L, Sun J, Li C, Song B, Zhang F, et al. The Effects of Tree Canopy Structure and Tree Coverage Ratios on Urban Air Temperature Based on ENVI-Met. Forests. 2023; 14(1):80. https://doi.org/10.3390/f14010080
Chicago/Turabian StyleWang, Haihua, Yue Cai, Weifen Deng, Chong Li, Ya Dong, Lv Zhou, Jingyi Sun, Chen Li, Bingzheng Song, Fangfang Zhang, and et al. 2023. "The Effects of Tree Canopy Structure and Tree Coverage Ratios on Urban Air Temperature Based on ENVI-Met" Forests 14, no. 1: 80. https://doi.org/10.3390/f14010080
APA StyleWang, H., Cai, Y., Deng, W., Li, C., Dong, Y., Zhou, L., Sun, J., Li, C., Song, B., Zhang, F., & Zhou, G. (2023). The Effects of Tree Canopy Structure and Tree Coverage Ratios on Urban Air Temperature Based on ENVI-Met. Forests, 14(1), 80. https://doi.org/10.3390/f14010080









