Comparison of C, N and P Stoichiometry in Different Organs of Fraxinus velutina
Abstract
1. Introduction
2. Materials and Methods
2.1. Study Site
2.2. Experimental Design and Sample Collection
2.3. Data Analysis
3. Results
3.1. Dynamics of C, N and P Contents in Different Organs of Female Plants of F. velutina
3.2. Dynamics of C, N and P Contents in Different Organs of Male Plants of F. velutina
3.3. Dynamics of C/N/P Ratios in Different Organs of Female Plants of F. velutina
3.4. Dynamics of C/N/P Ratios in Different Organs of Male Plants of F. velutina
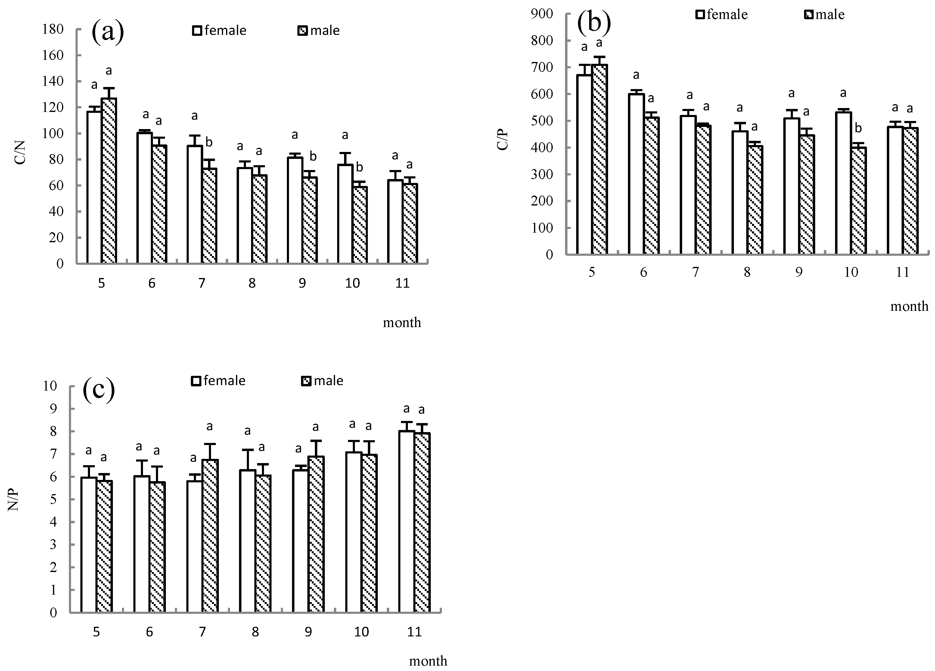
3.5. Gender-Related Differences in C, N and P Contents and Their Ratios in the Leaf and Branch of F. velutina
3.6. Correlation of C, N, P and Their Ratios in Different Organs of Female F. velutina in the Middle of the Growing Season
3.7. Correlation of C, N, P and Their Ratios in Different Organs of Male F. velutina in the Middle of the Growing Season
4. Discussion
5. Conclusions
Author Contributions
Funding
Data Availability Statement
Acknowledgments
Conflicts of Interest
References
- Sterner, R.W.; Elser, J.J. Ecological Stoichiometry: The Biology of Elements from Molecules to the Biosphere; Princeton University Press: Princeton, NJ, USA, 2002. [Google Scholar]
- Niklas, K.J.; Cobb, E.D. N, P, and C stoichiometry of Eranthis hyemalis (Ranunculaceae) and the allometry of plant growth. Am. J. Bot. 2005, 92, 1256–1263. [Google Scholar] [CrossRef] [PubMed]
- Wright, I.J.; Westoby, M. Nutrient concentration, resorption and lifespan: Leaf traits of Australian sclerophyll species. Funct. Ecol. 2003, 17, 10–19. [Google Scholar] [CrossRef]
- Akram, M.A.; Wang, X.T.; Hu, W.G.; Xiong, J.L.; Zhang, Y.H.; Deng, Y.; Ran, J.Z.; Deng, J.M. Convergent variations in the leaf traits of desert plants. Plants 2020, 9, 990. [Google Scholar] [CrossRef] [PubMed]
- Akram, M.A.; Zhang, Y.H.; Wang, X.T.; Shrestha, N.; Malik, K.; Khan, I.; Ma, W.J.; Sun, Y.; Li, F.; Ran, J.Z.; et al. Phylogenetic independence in the variations in leaf functional traits among different plant life forms in an arid environment. J. Plant Physiol. 2022, 272, 153671. [Google Scholar] [CrossRef]
- Rocheleau, A.F.; Houle, G. Different cost of reproduction for the males and females of the rare dioecious shrub Corema conradii (Empetraceae). Am. J. Bot. 2001, 88, 659–666. [Google Scholar] [CrossRef]
- Li, J.Y.; Dong, T.F.; Guo, Q.X.; Zhao, H.X. Populus deltoides females are more selective in nitrogen assimilation than males under different nitrogen forms supply. Trees-Struct. Funct. 2015, 29, 143–159. [Google Scholar] [CrossRef]
- Obeso, J.R. The costs of reproduction in plants. New Phytol. 2002, 155, 321–348. [Google Scholar] [CrossRef]
- Zeng, D.H.; Chen, G.S. Ecological stoichiometry: A science to explore the complexity of living systems. Chin. J. Ecol. 2005, 29, 1007–1019. [Google Scholar]
- Elser, J.J.; Fagan, W.F.; Kerkhoff, A.J.; Swenson, N.G.; Enquist, B.J. Biological stoichiometry of plant production: Metabolism, scaling and ecological response to global change. New Phytol. 2010, 186, 593–608. [Google Scholar] [CrossRef]
- Xia, C.X.; Yu, D.; Wang, Z.; Xie, D. Stoichiometry patterns of leaf carbon, nitrogen and phosphorous in aquatic macrophytes in eastern China. Ecol. Eng. 2014, 70, 406–413. [Google Scholar] [CrossRef]
- Huang, X.M.; Ma, Y.H.; Dong, T.F. Stoichiometric characteristics of C, N and P in the leaf of dioecious plant Cercidiphyllum japonicum. J. China West. Norm. Univ. (Nat. Sci.) 2019, 40, 332–338. [Google Scholar]
- Kinga, N.D.; Giertych, M.J.; Thomas, P.; Iszkulo, G. Males and females of Juniperus communis L. And Taxus baccata L. show different seasonal patterns of nitrogen and carbon content in needles. Acta Physiol. Plant 2017, 39, 191. [Google Scholar]
- Blake-Mahmud, J.; Struwe, L. Death, sex, and sugars: Variations in nonstructural carbohydrate concentrations in a sexually plastic tree. Am. J. Bot. 2020, 107, 375–382. [Google Scholar] [CrossRef] [PubMed]
- Du, Z.Y.; Wang, Q.H.; Xing, S.J.; Liu, F.C.; Ma, B.Y.; Ma, H.L.; Liu, D.X. Fine root distribution, characteristics and rhizosphere soil properties in a mixed stand of Robinia pseudoacacia and Fraxinus velutina in a saline soil. Silva Fenn. 2013, 47, 970. [Google Scholar] [CrossRef]
- Li, T.; Sun, J.K.; Li, C.R.; Lu, J.H.; Xia, J.B. Cloning and expression analysis of the FvNCED3 gene and its promoter from ash (Fraxinus velutina). J. For. Res. 2019, 30, 471–482. [Google Scholar] [CrossRef]
- Song, A.Y.; Dong, L.S.; Chen, J.X.; Peng, L.; Liu, J.T.; Xia, J.B.; Chen, Y.P. Comparation of seasonal dynamics of mineral elements contents indifferent organs of male and female plants of Fraxinus velutina. Sci. Silva. Sin. 2019, 10, 162–170. [Google Scholar]
- John, M. Colorimetric determination of phosphorus in soil and plant materials with ascorbic acid. Soil. Sci. 1970, 109, 214–220. [Google Scholar] [CrossRef]
- Scott, E.; Prater, C.; Norman, E.; Baker, B.; Evans-White, M.; Scott, J. Leaf-litter stoichiometry is affected by streamwater phosphorus concentrations and litter type. Freshw. Sci. 2013, 32, 753–761. [Google Scholar] [CrossRef][Green Version]
- Kosovka, O.D.; Vesna, M.; Marina, R.; Mila, L. Correlation between the degree of conversion and the elution of leachable components from dental resin-based cements. J. Serb. Chem. Soc. 2011, 76, 1307–1323. [Google Scholar]
- Titus, S.J.; Kang, S.M. Nitrogen metabolism, translocation, and recycling in apple trees. Hortic. Rev. 1982, 4, 204–206. [Google Scholar]
- Dawson, J.O.; Funk, D.T. Seasonal change in foliar nitrogen concentration of Alnus glutinosa. For. Sci. 1981, 27, 239–243. [Google Scholar]
- Li, H.L.; Crabbe, M.; Xu, F.L.; Wang, W.L.; Ma, L.H.; Niu, R.L.; Gao, X.; Li, X.X.; Zhang, P.; Ma, X.; et al. Seasonal variations in carbon, nitrogen and phosphorus concentrations and C:N:P stoichiometry in different organs of a Larix principis-rupprechtii Mayr. plantation in the Qinling Mountains, China. PLoS ONE 2017, 12, e0185163. [Google Scholar] [CrossRef] [PubMed]
- Migita, C.; Chiba, Y.; Tange, T. Seasonal and spatial variations in leaf nitrogen content and resorption in a Quercus serrata canopy. Tree Physiol. 2007, 27, 63–70. [Google Scholar] [CrossRef] [PubMed][Green Version]
- Inagaki, M.; Kamo, K.; Miyamoto, K.; Titin, J.; Jamalung, L.; Lapongan, J.; Miura, S. Nitrogen and phosphorus retranslocation and N:P ratios of litterfall in three tropical plantations: Luxurious N and efficient P use by Acacia mangium. Plant Soil. 2011, 41, 295–307. [Google Scholar] [CrossRef]
- Weinbaum, S.A.; Klein, I.; Broadbent, F.E.; Micke, W.C. Effects of time of nitrogen application and soil texture on the availability of isotopically labeled fertilizer nitrogen to reproductive and vegetative tissue of mature almond trees. J. Am. Soc. Hortic. Sci. 1984, 109, 339–343. [Google Scholar] [CrossRef]
- Han, Q.M.; Kabeya, D.; Inagaki, Y. Influence of reproduction on nitrogen uptake and allocation to new organs in Fagus crenata. Tree Physiol. 2017, 37, 1436–1443. [Google Scholar] [CrossRef]
- Grassi, G.; Vicinelli, E.; Ponti, F.; Cantoni, L.; Magnani, F. Seasonal and interannual variability of photosynthetic capacity in relation to leaf nitrogen in a deciduous forest plantation in northern Italy. Tree Physiol. 2005, 25, 349–360. [Google Scholar] [CrossRef]
- Han, W.X.; Fang, J.Y.; Guo, D.L.; Zhang, Y. Leaf nitrogen and phosphorus stoichiometry across 753 terrestrial plant species in China. New Phytol. 2005, 168, 377–385. [Google Scholar] [CrossRef]
- Ren, S.J.; Yu, G.R.; Tao, B.; Wang, S.Q. Leaf nitrogen and phosphorus stoichiometry across 654 terrestrial plant species in NSTEC. Environ. Sci. 2007, 28, 2665–2673. [Google Scholar]
- Ren, S.J.; Yu, G.R.; Jiang, C.M.; Fang, H.J.; Sun, X.M. Stoichiometric characteristics of leaf carbon, nitrogen, and phosphorus of 102 dominant species in forest ecosystems along the North-South Transect of East China. Chin. J. Appl. Ecol. 2012, 23, 581–586. [Google Scholar]
- Koerselman, W.; Meuleman, A. The vegetation N:P ratio: A new tool to detect the nature of nutrient limitation. J. Appl. Ecol. 1996, 33, 1441–1450. [Google Scholar] [CrossRef]
- Reich, P.B.; Oleksyn, J. Global patterns of plant leaf N and P in relation to temperature and latitude. Proc. Natl. Acad. Sci. USA 2004, 101, 11001–11006. [Google Scholar] [CrossRef] [PubMed]
- Banuelos, M.J.; Obeso, J.R. Resource allocation in the dioecious shrub Rhamnus alpinus: The hidden costs of reproduction. Evol. Ecol. Res. 2004, 6, 397–413. [Google Scholar]
- Montesinos, D.; Luis, M.D.; Verdu, M.; Ravento, J.; Garcia-fayos, P. When, how and how much: Gender-specific resource-use strategies in the dioecious tree Juniperus thurifera. Ann. Bot. 2006, 98, 885–889. [Google Scholar] [CrossRef] [PubMed]
- Tonnabel, J.; David, P.; Pannell, J.R. Sex-specific strategies of resource allocation in response to competition for light in a dioecious plant. Oecologia 2017, 185, 675–686. [Google Scholar] [CrossRef]
- Agren, J. Sexual differences in biomass and nutrient allocation in the dioecious Rubus chamaemorus. Ecology 1988, 69, 962–973. [Google Scholar] [CrossRef]
- Chen, L.H.; Dong, T.F.; Duan, B.L. Sex-specific carbon and nitrogen partitioning under N deposition in Populus cathayana. Trees 2014, 28, 793–806. [Google Scholar] [CrossRef]
- Dawson, T.; Ehleringer, J. Gender-specific physiology, carbon isotope discrimination, and habitat distribution in boxelder, Acer negundo. Ecology 1993, 74, 798–815. [Google Scholar] [CrossRef]
- Milla, R.; Castro-Díez, P.; Maestro-Martínez, M.; Montserrat-Martí, G. Costs of reproduction as related to the timing of phenological phases in the dioecious shrub Pistacia lentiscus L. Plant Biol. 2006, 8, 103–111. [Google Scholar] [CrossRef][Green Version]
- Xia, Z.C.; He, Y.; Zhou, B.; Korpelainen, H.; Li, C.Y. Sex-related responses in rhizosphere processes of dioecious Populus cathayana exposed to drought and low phosphorus stress. Environ. Exp. Bot. 2020, 175, 104049. [Google Scholar] [CrossRef]
- Proietti, P. Effect of fruiting on leaf gas exchange in olive (Olea europaea L). Photosynthetica 2000, 8, 397–402. [Google Scholar] [CrossRef]











| Bulk Density (g cm−3) | pH | Soil Organic Matter (g kg−1) | Alkali-Hydrolyzed Nitrogen (mg kg −1) | Available Phosphorus (mg kg−1) | Available Potassium (mg kg−1) | Salt Content (g kg−1) |
|---|---|---|---|---|---|---|
| 1.38 | 7.90 | 13.36 | 19.75 | 35.26 | 96.52 | 2.51 |
| Indices | Leaf C | Leaf N | Leaf P | Branch C | Branch N | Branch P | Fruit C | Fruit N | Fruit P |
|---|---|---|---|---|---|---|---|---|---|
| Leaf N | 0.334 * | ||||||||
| Leaf P | 0.220 | −0.006 | |||||||
| Branch C | 0.180 | 0.399 * | −0.055 | ||||||
| Branch N | 0.197 | 0.278 | 0.195 | 0.034 | |||||
| Branch P | 0.243 | −0.154 | 0.448 ** | −0.013 | 0.303 | ||||
| Fruit C | 0.014 | −0.322 | 0.022 | −0.040 | 0.203 | 0.320 | |||
| Fruit N | −0.197 | −0.446 ** | −0.071 | −0.395 * | 0.167 | −0.155 | 0.304 | ||
| Fruit P | −0.177 | −0.520 ** | 0.167 | −0.385 * | 0.022 | 0.111 | 0.159 | 0.616 ** | |
| Leaf C/N | −0.307 | −0.953 ** | −0.046 | −0.283 | −0.334 * | 0.097 | 0.313 | 0.339 * | 0.520 ** |
| Leaf C/P | −0.045 | −0.008 | −0.862 ** | 0.082 | −0.123 | −0.383 * | 0.076 | 0.164 | −0.175 |
| Leaf N/P | 0.088 | 0.653 ** | −0.660 ** | 0.277 | 0.116 | −0.408 * | −0.156 | −0.156 | −0.482 ** |
| Branch C/N | −0.271 | −0.222 | −0.253 | 0.035 | −0.954 ** | −0.293 | −0.177 | −0.174 | −0.059 |
| Branch C/P | −0.141 | 0.343 * | −0.315 | 0.110 | −0.218 | −0.912 ** | −0.362 * | 0.046 | −0.098 |
| Branch N/P | −0.051 | 0.453 ** | −0.217 | 0.107 | 0.284 | −0.723 ** | −0.242 | 0.092 | −0.007 |
| Fruit C/N | 0.194 | 0.407 * | 0.033 | 0.388 * | −0.144 | 0.249 | −0.043 | −0.936 ** | −0.605 ** |
| Fruit C/P | 0.183 | 0.432 ** | −0.176 | 0.310 | 0.013 | −0.017 | 0.110 | −0.554 ** | −0.942 ** |
| Fruit N/P | −0.108 | −0.065 | −0.266 | −0.187 | 0.152 | −0.342 * | 0.218 | 0.699 ** | −0.115 |
| Indices | Leaf C | Leaf N | Leaf P | Branch C | Branch N | Branch P |
|---|---|---|---|---|---|---|
| Leaf N | 0.329 * | |||||
| Leaf P | −0.256 | −0.591 ** | ||||
| Branch C | 0.664 ** | 0.551 ** | −0.132 | |||
| Branch N | −0.049 | 0.632 ** | −0.487 ** | 0.1 | ||
| Branch P | 0.067 | −0.495 ** | 0.304 | −0.005 | −0.226 | |
| Leaf C/N | −0.281 | −0.973 ** | 0.650 ** | −0.475 ** | −0.653 ** | 0.475 ** |
| Leaf C/P | 0.231 | 0.596 ** | −0.944 ** | 0.152 | 0.577 ** | −0.342 * |
| Leaf N/P | 0.201 | 0.885 ** | −0.817 ** | 0.348 * | 0.717 ** | −0.500 ** |
| Branch C/N | 0.144 | −0.571 ** | 0.458 ** | 0.014 | −0.960 ** | 0.189 |
| Branch C/P | 0.0004 | 0.594 ** | −0.296 | 0.151 | 0.272 | −0.942 ** |
| Branch N/P | −0.081 | 0.707 ** | −0.437 ** | 0.093 | 0.676 ** | −0.822 ** |
Disclaimer/Publisher’s Note: The statements, opinions and data contained in all publications are solely those of the individual author(s) and contributor(s) and not of MDPI and/or the editor(s). MDPI and/or the editor(s) disclaim responsibility for any injury to people or property resulting from any ideas, methods, instructions or products referred to in the content. |
© 2022 by the authors. Licensee MDPI, Basel, Switzerland. This article is an open access article distributed under the terms and conditions of the Creative Commons Attribution (CC BY) license (https://creativecommons.org/licenses/by/4.0/).
Share and Cite
Dong, L.; Song, A.; Zhang, J.; Peng, L.; Cheng, N.; Cao, B. Comparison of C, N and P Stoichiometry in Different Organs of Fraxinus velutina. Forests 2023, 14, 64. https://doi.org/10.3390/f14010064
Dong L, Song A, Zhang J, Peng L, Cheng N, Cao B. Comparison of C, N and P Stoichiometry in Different Organs of Fraxinus velutina. Forests. 2023; 14(1):64. https://doi.org/10.3390/f14010064
Chicago/Turabian StyleDong, Linshui, Aiyun Song, Jianfeng Zhang, Ling Peng, Nannan Cheng, and Banghua Cao. 2023. "Comparison of C, N and P Stoichiometry in Different Organs of Fraxinus velutina" Forests 14, no. 1: 64. https://doi.org/10.3390/f14010064
APA StyleDong, L., Song, A., Zhang, J., Peng, L., Cheng, N., & Cao, B. (2023). Comparison of C, N and P Stoichiometry in Different Organs of Fraxinus velutina. Forests, 14(1), 64. https://doi.org/10.3390/f14010064

