You are currently viewing a new version of our website. To view the old version click .
Forests
  • Article
  • Open Access

20 December 2022

Perceived Effectiveness and Responsibilities of the Forest Biological Disasters Control System of China: A Perspective of Government Administrators

,
,
,
and
1
Institute of Ecological Conservation and Restoration, Chinese Academy of Forestry, Beijing 100091, China
2
Faculty of Forestry, The University of British Columbia, Vancouver, BC V6T 1Z4, Canada
3
Center for Biological Disaster Prevention and Control, National Forestry and Grassland Administration, Shenyang 110031, China
4
School of Economics and Management, Beijing University of Technology, Beijing 100124, China
This article belongs to the Section Forest Health

Abstract

Forest biological disaster control (FBDC) is appealing the attention in China and even across the world, while the control system plays a pivotal role in the entire control work. The survey-based comprehensive indicators system was developed to evaluate the perceived effectiveness of the entropy weight model and the perceived responsibilities of the FBDC system of China from the perspective of government administrators at the province-, prefecture-, and county- levels. Ordinary Least Square (OLS) and Simultaneous Equations Models (SEM) were further developed to quantitatively analyze the affecting factors of the perceived effectiveness. The results indicated that the perceived effectiveness of the FBDC system in China was relatively low, with a value of 47.18 (the range is 0–100). In specific, the county level has the highest value of 48.85, while the province level has the lowest value of 42.99. The major limiting factors perceived are the insufficiency of the funds and employees. In addition, the intelligentization level, the implementation of the quarantine enforcement, the infrastructure construction, and the involvement of the local communities also need to be further improved. The salary does not positively affect the perceived effectiveness, while administrators with higher education levels and ages usually have higher salaries. Furthermore, compared with the province- and prefecture-level agencies, the county-level agencies have higher perceived effectiveness and more perceived responsibilities with higher workloads. Thus, future policies are suggested to focus on diversifying the investment sources, refining the employee recruitment and promotion system, and paying more attention to the county-level agencies. The results of this study could help to enhance the understanding of the FBDC system of China, hence improving the control efficiency and reducing the economic loss caused by forest biological disasters in China.

1. Introduction

Forest biological disasters (FBDs) occur when the native harmful species or invasive species, such as pests, harmful plants, and rodent animals, cause damage to the forest ecosystem exceeding the natural resilience [1,2]. These disasters hinder ecological protection and species conservation and destroy crops (10–16% of crops are ruined before harvest), forests, and related infrastructures [3,4,5]. In specific, at least 35 million hectares of forest land have been affected by forest biological disasters across the world, with an economic loss of more than USD 70.0 billion and an associated human health cost of USD 6.9 billion per year [6,7,8]. Moreover, the development of global climate change, global environmental degradation, and international trade potentially increase the adaptability of native harmful species and the risk of invasive species [1,9]. Therefore, forest biological disasters are an increasingly severe issue that is causing considerable losses for the entire world.
China is one of the countries most seriously affected by FBDs. In addition to the global common issues mentioned above, China has the largest area of planted forests in the world after several national forestry construction projects such as the Fast-growing and High-yield Plantations and Massive Sloping Land Conversion Program [10,11]. These forestry programs are dominated by monoculture plantations with low biodiversity and weak natural resilience [12]. In China, forest biological disasters have affected up to 11.93 million hectares, with more than 8000 species. Bursaphelenchus xylophilus (Pine Wood Nematode), Hyphantria cunea (Fall Webworm), and Mikania micrantha (Bitter Vine) are the most seriously threatened species [13]. The overall economic and ecological loss has been up to US $ 16.94 billion, which is more than 10% of the national annual forestry output of China [14].
The common-used control measures for forest biological disasters have evolved from natural defense (solely depending on the natural resilience), physical control, chemical control, and ecological control to integrated pest management control. At this moment, the measures of natural defense, chemical control, ecological control, and physical control are integrally applied based on the types and seriousness of the disaster [13]. In addition, with the assistance of the advanced techniques of remote sensing, global positioning system, and geographical information system, the systematic monitoring and forecasting models have been developed via integrating several related sub-models such as the forest stand dynamic model, pest occurrence model, native-predator control model, the forest ecological benefit evaluation model, etc. [11,15,16,17]. Leveraging these available measures and techniques, China has put substantial efforts into the control of forest biological disasters to maintain and enhance the forest ecosystem services [18,19]. In specific, in 2020, the nationwide investment for Forest Biological Disasters Control (FBDC) was up to $1.17 billion, with a control area of 10.09 million hectares in China [20].
In this context, thus far, there have been a number of studies on the FBDC of China. However, most of them focus on the technical studies of FBDC, such as biological mechanisms and control techniques [21,22,23,24]. As one of the important aspects, the quantitative study regarding the effectiveness of the FBDC system in China is very limited. Actually, the control system plays a pivotal role in the FBDC, especially in China, where the governments have a relatively larger power. There are specific government agencies for FBDC, Center for Biological Disasters Control (CBDPC) affiliated with the Forest and Grassland Administration of the province-level, prefecture-level, and county-level governments. The agencies are in charge of FBDC in the corresponding administrative regions, while the administrators of the agencies are well aware and administrate the entire work. The study on the control system and the corresponding administrators is very insightful in screening the system and identifying the “hotspot” issues, hence providing views for improving the effectiveness [25,26]. Understandably, the major reason for lacking this aspect of studies is that it is challenging to get access to the large-scale interviews of the government administrators specifically for FBDC in China. In this study, the co-author from the national-level CBDPC is very helpful to overcome this research barrier.
Thus, this study was conducted to evaluate the perceived effectiveness and responsibilities of the FBDC system of China from the perspective of government administrators at the province-, prefecture-, and county- levels. Specifically, the objectives of this study are: (1) to quantitatively evaluate the perceived effectiveness of the FBDC system by the method of Entropy Weight Model, taking the control measures, management mechanism, and employment aspect into consideration; (2) to further analyze the affecting factors of the perceived effectiveness using Ordinary Least Squares (OLS) and Simultaneous Equations Models (SEM); (3) to evaluate the perceived responsibilities of the CBDPCs by the administrative level. Through the study, there would be a better awareness of the situation and issues of the FBDC system in China. Moreover, the identified factors and issues and the policy implications could be used for the improvement of the system.

2. Materials and Methods

The questionnaire survey was first conducted to the FBDC government administrators at the administrative level, from the province level down to the prefecture- and county- levels. Based on the response information, the sample demographics, the perceived effectiveness, and the perceived responsibilities were quantitatively analyzed. In terms of the methodology, the quantitative analysis methods, including the descriptive statistics, entropy weight model, ordinary least squares, and simultaneous equations model, were integrally used.

2.1. Questionnaire Design and Description

Based on a developed questionnaire, a survey study was conducted for the directors of the CBDPCs in 31 provinces of China (Hongkong, Macao, and Taiwan were not covered because of the data availability issue) from March 2019 to August 2019. In specific, the questionnaire was developed with the following procedures. First, a literature review was conducted to identify the possible questions and indicators for the research objectives. Second, a consultation with experienced experts in this field was conducted to determine the questions and indicators, afterward developing the 1st version of the questionnaire. Third, 30 people working in FBDC in the province-, prefecture-, and county-level governments were reached out over the phone call to double-check the questionnaire for further modification if needed. Forth, we physically visited the provinces of Shandong, Yunnan, Fujian, and Sichuan for the pilot study to further confirm the consistency of the questionnaire with reality. After these processes, the effectiveness of the questionnaire was well confirmed. In brief, the questionnaire consists of three components: the interviewee’s general information, the perceived effectiveness of the FBDC systems by indicator, and the perceived responsibilities at the administrative level.
The well-developed questionnaires were then emailed to the directors of the CBDPCs at each level across the nation of China. The purpose of the study and the confidentiality assurance were well-explained in the email. As a result, 80/93 responses were received for the directors at the province-level CBDPCs, 154/155 responses for the prefecture level, and 343/465 responses at the county level. Overall, 577 out of 713 responses were received, with a response rate of 80.90%.

2.2. Indicators Selection and Measurement

For the component of the interviewees’ general information in the survey, the indicators of gender, age, education, salary, employment time, and administrative level were used, which is consistent with the literature by Elorza et al. and Lazzaroni et al. [27,28]. Then the sample demographics were quantitatively analyzed using exploratory data analysis. Of note, the salary was filled in Chinese Yuan in the survey while converted to US Dollars with the conversion rate: 1 US Dollar equals 6.5 Chinese Yuan.
For the component of the perceived effectiveness in the survey, all the indicators were categorized into three groups, including control measures, management mechanisms, and employment aspects. For each indicator, we have a default statement to represent the ideal situation. Using the Five-point Likert scale, the interviewed administrators evaluated each one according to the degree of their agreement, ranging from 1 to 5 [29]. With the value from 1 to 5, the degrees of the agreement are from “strongly disagree” to “strongly agree,” with value 3 being “basically agree.”
Control measures (CMs) are the core of the FBDC. Based on the theory of integrated pest management (IPM), the major concerns are whether the control measures are with advanced techniques, are effective, are environmentally friendly, and are taken on time [17,19,30]. Furthermore, law enforcement is very important to implement the CMs [31]. Thus, “Enforcement is sufficient to implement the quarantine surveillance CMs” was used as the indicator. Moreover, the monitoring and reporting system is critical to transmitting information across the administrative levels for decision-making [13]. “Monitoring and reporting system are well developed” was used as an indicator here. In addition, forests are easily disturbed by the local communities. Especially after the reform of the collective forest tenure system of China, the management of 58% of forestland has been assigned to individual forest farmers [32]. The willingness of community participation could help to improve control efficiency [33]. Thus, we used “Communities are highly involved to implement the CMs” as the indicator.
As a form of organizational production, the management mechanism is one of the core components to evaluate the effectiveness of the control system of China [34]. According to the management theory, an organization needs support from both external and internal management environments [35]. External support mainly includes related policy, economic, and technology support [36]. Therefore, we selected the indicators of the control policy support, financial support, and scientific research and training support to represent the external support of the control system. At the same time, the organization’s internal environment includes the organizational culture and operating conditions [1]. As a result, we selected the organization structure, infrastructures, employees’ promotion system, and the supervision system of the fund usage to reflect the internal management mechanism.
As for the employee aspect, according to organizational behavior theory, the working capacity, attitude, satisfaction, values, and motivation of the employees affect their behaviors in the organization, hence influencing the operation efficiency of the organization [37,38]. The administrators could be regarded as the representatives of the entire employees. Whether their attitude/value is positive towards the work is very important for the entire FBDC system [39]. In addition, a competitive salary is an important driver to motivate the employees, while a sufficient number of employees could relieve the workload and pressure to some extent. These could indirectly affect the working satisfaction of the employees. Thus, the indicators “The employees have a positive working attitude,” “The employees receive competitive salaries,” and “The number of the employees is adequate” were used here. The knowledge related to the control techniques is very important for the administrators who would apply the knowledge into reality to advance the scientification of the control [40,41]. Moreover, whether the employees have the capacity to distinguish the disaster types, apply the appropriate control measures, and understand the control policies well, were taken into consideration of the employee aspect since their apparent importance to the implementation of the control [29,42].
For the component of the perceived responsibilities at the administrative level. The administrators at each level were interviewed via the survey regarding their perceived responsibilities to the subordinate agencies, control companies, state forest farms, forestry companies, and forest farmers in their administrative regions. Furthermore, for each organization, the responsibilities were summarized into eight categories, including offering technical training, supplying pesticides, supervising control work, issuing notices, funding subsidies, transmitting forest pest outbreak information, organizing the control work, and selecting forest rangers.
All the components and indicators in the survey are summarized and listed in Table 1.
Table 1. The components and indicators in the survey.

2.3. Reliability and Validity Test

The tests of reliability and validity were conducted. In specific, the metric of Cronbach’s alpha was utilized for the reliability tests, while the validity tests utilized Kaiser–Meyer–Olkin (KMO) value [43,44]. If the metric with a value of more than 0.65 indicates that the questionnaire is trustworthy, and more than 0.8 means the questionnaire is substantially trustworthy [31].

2.4. Perceived Effectiveness Analysis

In brief, the quantitative assessment of the overall perceived effectiveness leveraged the entropy weight model. The OLS and SEM models were developed to further explore the affecting factors of perceived effectiveness. The details are described below.

2.4.1. Entropy Weight Model

The entropy weight method is a mathematical method that could derive the degree of the dispersion of indicators. The higher the dispersion degree, the greater the indicator’s impact on the comprehensive assessment, which is usually expressed as the weight of the indicator [45,46]. We used this method to derive the weight and value of each indicator for the perceived effectiveness, with the following procedures:
First, the value of each indicator in the component of the perceived effectiveness was normalized with the following formula,
Y ij = y ij min y ij max y ij min y ij ,
where i represents each indicator, j represents each interviewed administrator, Y ij is the normalized value of the indicator j in response i, y ij is the response value, while max y ij and min y ij are the maximum value and minimum value of y ij , respectively.
The entropy for indicator j was calculated as
e j = 1 lnn × 1 n Y ij 1 n Y ij . ln Y ij 1 n Y ij ,
where e j is the entropy for the indicator j, e j ϵ [0,1]. Finally, we calculated the weight of indicator j as follows:
W j = 1 e j 1 n 1 e j 100 ,
Then, the composite exponential model is calculated as
F i = j = 1 n W j Y ij .
where W j is the weights and F i is the perceived effectiveness values. Each weight value ( W j ) is multiplied by 100 to move the decimal points without compromising accuracy. Thus, the final effectiveness values range from 0 to 100, which makes the regression results more readable.

2.4.2. Ordinary Least Squares (OLS) Regression Model

The OLS regression model was developed to further analyze the effects of the administrators’ characteristics on the perceived effectiveness [47]. The OLS regression model was developed as below.
Fj = α0 + α1Gj + α2Sj + α3Dj + α4Aj + α5Ej + α6Tj + μ1,
where j represents the interviewed administrator, Fj represents the dependent variable of perceived effectiveness value. Gender (G), salary (S), administrative level (D), age (A), education level (E), and employment time (T) were as independent variables. α is the relative coefficient, and μ is the error term.

2.4.3. Simultaneous Equations Model (SEM)

Based on the basic characteristics of the administrators, we found that age, education, and employment time seem positively correlated with salary, which indirectly influences the perceived effectiveness value. Thus, the indicator of salary is the mediating variable; it would generate the endogeneity to the control effectiveness. The SEM model was introduced to overcome this issue. The endogenous variables comprise the effectiveness values and salary, while other indicators, such as gender, administrative level, employment time, and education level, comprise the exogenous variables. The SEM model is a two-stage least squares method combined with a three-stage least squares method of seemingly unrelated equations, overcoming endogenous problems [47]. The SEM regression model was developed as follows:
Fl = β0 + β1Gl + β2Sl + β3Dl + μ2,
Sl = β4 + β5Al + β6El + β7Tl3.
where l represents the indicators of administrator at overall, province-, prefecture-, and county- levels, respectively. The endogenous variables are Fl and Sl, while Gl, Dl, Al, El and Tl comprise the exogenous variables. Finally, β is the relative coefficient, and μ is the error term [48,49,50].

2.5. Perceived Responsibility Analysis

The perceived responsibility by the administrative level was normalized using the below function (7) [51]:
Z lr = X lr N l
where r represents the managed objects of subordinate agencies (CFBDC agencies), control companies, state forest farms, forestry companies, and relatively large forest farmers, respectively. X lr represents the performed responsibilities of technical training (TT), supply of pesticide (SP), supervision (S), issuing notices (IN), provision of fund subsidy (FS), transmission of information (TEI), organization of control work (OCW), and selection of forest rangers (SFR), respectively. N l is the number of agencies by level, 80 for the provincial level, 154 for the prefecture level, and 314 for the county level. Finally, the normalization values Z lr were calculated. If they were higher than 60%, we regarded the corresponding ones as the major responsibilities of the agencies [52].

3. Results

3.1. Sample Demographics of the Government Administrators

The descriptive statistics for the sample demographics were summarized in Table 2, including the indicators of gender, age, education, employment time (years) in this field, and the administrative level of the affiliated agency. Of the 577 respondents, 372 (64.5%) are male, and 205 (35.5%) are female. The majority are from the county-level agencies (59.4%), have a Bachelor’s degree as the highest education degree (64.3%), have 1–20 years of employment time (70.5%), and are 41–50 years old (43.5%). It is observed that the salary seems to correlate with education, employment time, and age.
Table 2. Sample demographics of FBDC administrators.

3.2. Analysis of the Indicators for the Perceived Effectiveness

The mean values of the indicators for the perceived effectiveness evaluation are summarized in Table 3. We first examined the validity and reliability. As both metrics of Cronbach’s alpha and KMO were 0.9, the model was substantially trustworthy.
Table 3. The comprehensive evaluation system of the perceived effectiveness by indicator.
From the perspective of CMs, government administrators think the CMs are relatively effective and on time. And the employed CMs are relatively environmentally friendly, which is consistent with the situation that the biological, silvicultural practices and artificial physical measures are more and more favored, and the application rate of the environment-friendly measures has already nationally reached 93.48% in 2021 [53]. The monitoring and reporting system are also relatively well-developed to support the transmission of the information of FBDC measures across the administrative levels. However, the application of the advanced techniques used in the CMs and the sufficiency of law enforcement still need to be strengthened. Community involvement is also relatively low in the implementation of the CMs.
From the perspective of management mechanism, the completeness of the organizational structure and the adequacy of the infrastructures are not good enough, while the research & training system and the staff promotion system could be further improved. The amount of control fund is far from sufficient, and its distribution is not on time. However, the supervisory mechanism of funds use is relatively complete. In addition, the policies are relatively perfect enough to guarantee the MM. This is well consistent with the political situation in China. Mostly, the central government prefers to develop specific and extra policies to encourage the local governments rather than distributing enough financial incentives. And the anti-corruption has been considerably enhanced in recent years (especially after 2012); hence the funding supervisory is well developed in all the sectors, including the forestry sector [54].
Regarding the employee dimension, most administrators considered that they had mastered the knowledge regarding pests, control, and policy. However, the salary was not as high as expected. And they were less motivated to work and were overloaded because of the insufficient employees in the system.

3.3. The Perceived Effectiveness Analysis

With the weight for each indicator calculated by the entropy weight model, the perceived effectiveness value was derived (Table 4). As we mentioned in the method section, the effectiveness values are normalized values without units, while the range of the effectiveness values is from 0 to 100. The overall effectiveness value was 47.18, which is less than half of the maximum value (100). Thus, from the overall perspective, the government administrators think the current system is not effective enough.
Table 4. Perceived effectiveness at the administrative level.
To further understand the perceived effectiveness in China, we analyzed the perceived effectiveness of the FBDC system at the administrative level, including province-, prefecture-, and county- levels. The perceived effectiveness of province-, prefecture-, and county-level is 42.99, 45.63, and 48.85, respectively. This indicated that the perceived effectiveness is higher at the county level than that at the province- and prefecture- levels. And the county-level value is also the highest in terms of control measures, management mechanisms, and employee dimension, while the province-level values are the least.

3.4. Affecting Factors Analysis

To help further understand the perceived effectiveness, the OLS model was first developed to analyze how the administrators’ characteristics affect the perceived effectiveness. The results indicated that gender, affiliated administrative level, and salary have statistically significant impacts, while there is an endogenous relationship between age, education level, and employment time on salary. Therefore, the SEM model was then developed to examine the affecting factors of the salary at the administrative level. The results are listed in Table 5.
Table 5. The affecting factors analysis.
In specific, the gender and administrative level have significant impacts on the overall perceived effectiveness. Male administrators have a lower perceived value than female ones. The administrators affiliated with the higher administrative-level agencies have lower perceived values. In other words, county-level administrators have relatively higher perceived values. Moreover, there is a negative relationship between salary and perceived value. The administrators with higher salaries have lower perceived effectiveness values. In the SEM model, age and education level have significantly positive impacts on the salary. The salary would increase by $168.84 and $653.54 per year with a 1-year increment in age and education, respectively.
Furthermore, the affecting factors were further examined at the administrative level. Gender has a significant impact at the prefecture level. The male administrators at the prefecture level have significantly lower perceived values. Age and employment time have significant impacts on the salary across all the administrative levels, especially at the province level. The salary would increase by US $ 270.44/year, with a one-year’s increase in age. Employment time has a positive impact on the salary just at the county level. The salary would increase by US $ 60.4/year for one year’s increase of employment time in the county-level agencies. As to the indicator of the education level, it passed the significance test at the province- and prefecture- levels. And it has the largest impact at the prefecture level. The salary could increase by US $ 684.17/year with one more year’s education.

3.5. Perceived Responsibilities by the Administrative Level

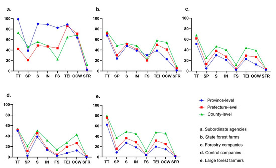
As mentioned above, the administrative level has a significant impact on perceived effectiveness. Therefore, we further explored the perceived responsibility at the administrative level. The acronyms in the figure, such as TT, and SP, were explained in Table 1 and also mentioned in the note below the figure. Overall, one of the major perceived responsibilities of all-levels agencies is the administrative responsibility to the subordinate agencies. In other words, the province-level agencies have to administer the prefecture-level agencies; the prefecture agencies have to administer the county-level agencies, while the county-level agencies have to administer the state farms and forestry companies locally. All the agencies across the administrative levels think technical training is their major work. In specific, the province-level agencies are responsible for providing technical training to the prefecture-level stations, state farms, and forest farmers. In addition, they are responsible for supervising prefecture-level agencies, issuing notices, funding subsidies, transmitting epidemic information, and organizing the control work. The prefecture-level agencies are responsible for providing technical training to state farms, forestry companies, and forest farmers. They also transmit epidemic information and organize the control work to county-level agencies. The responsibilities of county-level agencies to control companies, state farms, forestry companies, and forest farmers were identified as providing technical training, supplying pesticides, supervising, issuing notices, funding subsidies, transmitting epidemic information, organizing the control work, and selecting forest rangers (Figure 1).
Figure 1. Normalization of the perceived responsibilities of the agencies by level. Note: TT: technical training; SP: supply of pesticide; S: supervision; IN: issuing notices; FS: provision of fund subsidy; TEI: transmission of information; OCW: organization of control work; SFR: selection of forest rangers.

4. Discussion

Based on the integrated knowledge of IPM, management theory, and organizational behavior theory, this study was developed to evaluate the perceived effectiveness and responsibilities of the FBDC system of China from the perspective of government administrators.

4.1. The Perceived Effectiveness

In this study, the perceived effectiveness we derived is relatively low, with a value of 47.18 (the upper limit value is 100). This low effectiveness is consistent with that in the studies by Xian et al. (2020) and He et al. (2021) [55,56]. Furthermore, most of the existing studies are descriptive, focusing on the specific control issues in certain regions with qualitative analysis. Leveraging the surveys to the government administrators, this study conducted a quantitative analysis to show more comprehensive and quantitative results. In addition to the control effectiveness, the hot-spot issues derived from the study are as follows:
First, the funds and number of employment are two major limiting factors for the perceived effectiveness [27,33,39]. The administrators think the funding for the control work is not sufficient and in time, while there is a lack of employment. This statement is consistent with what Fan et al. (2021) stated, “it’s urgent to increase the funding and employment for the FBDCs” [2]. At this moment, most of the control responsibility is put on the local government rather than the central government, according to the recent institutional revolutions. This is consistent with the findings of our study. However, the control fund from the central government is limited, while the local government needs to fill the fund gap [13,57]. However, according to Zhao et al. (2019), it occurred that even the limited central-government fund that was supposed specifically for FBDCs was used for other purposes by the local governments, while the local governments do not have sufficient funds to fill the gap [58]. And the forest managers also lack awareness of forest conservation, hence being less motivated to fund on their own. As the result, the effectiveness is negatively affected by the limited funds [59]. To overcome such limitation, there might be the following options. First, the central government should further subsidize the FBDC from the national budget, given the positive externality of the implementation of FBDC. Second, the ecological compensation mechanism among the administrative regions should be developed. All regions rather than just the locals, who are benefited from the FBDC should pay the cost together. This pattern has been well-developed and is getting more and more popular in the water pollution control field in China. Third, social capital should be further motivated into the FBDC field to partially fill the current fund gap.
From the perspective of insufficiency of employees, the salary in the forestry sector is not competitive with that in other sectors in China. In 2020, the average salary of government employees across all sectors was US $16,636/year (108,132 yuan/year), compared with US $ 7084/year (46,047 yuan/year) of the government employees in the forestry sector [60,61]. Moreover, in the forestry sector, the salary of government employees is not competitive with that of enterprise employees, either. In 2020, in the forestry sector, the average salary of government employees was US $ 7084/year (46,047 yuan/year), compared with US $8413/year (54,682 yuan/year) of the enterprise employment [60,62]. In addition, China’s rapid urbanization in recent decades has led to population and labor loss in rural areas, usually with abundant forest resources [63,64]. That also contributes to the lack of employees in the forestry sector to some degree.
In addition, the lack of funds and employment also leads to other issues, as discussed below.
Second, insufficient funds lead to the insufficient development of related infrastructure, and advanced technology and equipment cannot be introduced and deployed in time. For example, given the lack of advanced monitoring equipment and systems, the accuracy of the monitoring data is affected. In addition, the utilization of monitoring equipment is usually not as effective as it is supposed to be, which could lead to the failure of early warning for the development of specific response plans [16,17]. In addition, because of the funding limitation, low-price chemical pesticides would be frequently used. This leads to the enhanced resistance of the pests, while the lower amount of native predators, even hurting the ecosystem services [2,55,59].
Third, insufficient employment limits the performance of the inspection and quarantine enforcement. One agency, even one person, takes multi-tasks such as inspection, forest management, etc., which significantly affects the control effectiveness [55]. An imperfect institutional design and law enforcement have led to ineffective quarantine regulations. This has made it easier for forestry transportation to carry invasive forest pests, which spread through cross-regional trade [1]. Moreover, the rapid development of monoculture forests in China has weakened the forests’ natural resilience to invasive species, as a high rate of forest pest outbreak incidence was noted [12,25,64].
Fourth, insufficient funds and employment lead to lower salaries and work motivation. The current salary system does not have a positive effect on the control effectiveness. In the existing literature, the descriptions of the administrators’ salaries are very limited. This study systematically analyzed the salary differences of the administrators and how the salary level affects the perceived control effectiveness. As shown in Table 1, the average salary of the administrators is less than $10,000 per year. Based on the OLS model, salary has a significantly negative effect on perceived effectiveness. Furthermore, the SEM indicated that the administrators with higher education and older age have higher salaries, while the perceived effectiveness of the male administrators with higher salaries is relatively lower. Overall, male administrators with rich experiences intend to have a lower perceived effectiveness, which is more common at the province- and prefecture- levels.

4.2. Perceived Responsibilities by the Administrative Level

The highest effectiveness value is 48.85 at the county level. The greatest control workload is placed on the county-level agencies because they have more direct contact with forest biological disaster situations and control measures than the other level agencies (province- and prefecture-level). There are rare studies talking about this point thus far. According to the survey responses, the county-level agencies are in regular contact with the local forest farms and forest farmers, and they supply pesticides, conduct training, organize the control work, and select forest rangers from the local villages. Most of the responsibilities concerning the control of companies, state forest farms, forestry companies, and forest farmers are also borne by county-level agencies. As a result, these administrators have a better understanding of the control situations. However, perception authenticity errors existed with the limitation of knowledge, especially at the county-level agencies. Less-educated administrators have the most responsibility in the control system, resulting in them underestimating the control pressure and overestimating the effectiveness. Moreover, the county-level agencies have a lower level of control infrastructures, less funds, and control measures. Also, the administrates are usually with lower management knowledge, education levels, and supporting salaries [2]. Although the older and better-educated administrators have a relatively higher salary, it is not high enough to motivate them in increasing their control knowledge and work experience. The high workloads, weak creativity, and labor shortages restricted the perceived effectiveness.
The perceived effectiveness was lowest at the province level, 42.99, with the major responsibility of the administration. The province- and prefecture-level agencies take the responsibility of monitoring and providing technical skills training; however, information loss or time delay would happen through the current epidemic transmission system because the epidemic situation transmits from the county- to prefecture- and, finally, to province-level agencies. Then, through monitoring, the provincial agencies summarize the epidemic outbreak rules, and issue the administrative policy instructions to the subordinate agencies, causing the province-level administrators to have a weaker sense of the urgency of the disaster outbreak [10]. In addition, the control effectiveness is actually low. This could be partially explained by the better-educated administrators in provincial agencies better recognizing the issues, causing the lower perceived effectiveness value. This is consistent with the results of the SEM.

5. Conclusions and Policy Implication

We developed a comprehensive evaluation system aided by the entropy weight method to innovatively assess the perceived effectiveness and responsibilities of the FBDC system in China. The OLS model and SEM were specifically developed to further analyze the affecting factors of the perceived effectiveness.
The perceived effectiveness of the administrators was relatively low, with a value of 47.18. In specific, the county level has the highest value of 48.85, while the provincial level has the lowest value of 42.99. The major limiting factors perceived are the insufficiency of the funds and employees. In addition, the intelligentization level, the implementation of the quarantine enforcement, the infrastructure construction, and the involvement of the local communities also need to be improved. The salary amount does not positively affect the perceived effectiveness, while the administrators with higher education levels and ages usually have higher salaries. Furthermore, compared with the province- and prefecture-level agencies, the county-level agencies have more perceived responsibilities with higher workloads.
Therefore, the effectiveness of the FBDC system in China needs to be greatly improved. In specific, to enhance the funding, it is necessary to diversify the financing sources in addition to the just government funds, such as mobilizing the social capital into the FBDC field and to set up a reserve fund mechanism for the FBDC emergencies at the central-government level. In addition, it would also be helpful to enhance quarantine enforcement, infrastructure construction, the deployment of intelligence-aided advanced techniques, and to motivate the local communities’ participation. Meanwhile, the transition from the current monoculture-dominated forests to the mixed-species forests could enhance the natural resilience of the FBDs. Furthermore, as the grassroots, the county-level agencies should be paid more attention to relieve their workloads to some extent.
There are limitations to this study. First, as the survey study was used here, there might be some perceived bias resulting from the awareness of the interviewed administrators. To overcome this issue, we leveraged all of our resources to increase the sample size and extend the survey scope to the national level. With the increase in the sample size, this bias could be minimized. Second, as only the administrators are interviewed here, there might be differences in the perceived effectiveness between the administrators and the field employees. To minimize this difference, we requested the interviewed administrators to respond to the questionnaires in the role of the entire team rather than just themselves.
In our future study, we plan to use quantitative statistical indicators, such as the occurred area of the FBDs, instead of the perceived indicators, to conduct empirical studies in this field to further reveal the situation of the FBDC systems in China. Also, we plan to conduct interviews with both the administrators and the field employees to examine the differences in the perceived effectiveness between both groups.

Author Contributions

Writing—original draft preparation, Q.C. and X.Z.; writing—modification, and editing of the manuscript, X.Z. and G.W.; writing—reviewing, all authors; formal analysis of data, Q.C.; interviews, X.W.; advice and design ideas, X.Z. and Z.Z. All authors have read and agreed to the published version of the manuscript.

Funding

This work is funded by China Scholarship Council with No. CSC201906510063.

Institutional Review Board Statement

Not applicable.

Data Availability Statement

The data presented in this study are available on request from the corresponding author.

Acknowledgments

The authors would like to thank all the government administrators who participated in the survey study. And thank Yali Wen and John Innes, and Yushi Cai for their valuable help and comments in the research development, data acquirement, and language improvement.

Conflicts of Interest

The authors declare no conflict of interest.

References

  1. Bradshaw, C.J.; Leroy, B.; Bellard, C.; Roiz, D.; Albert, C.; Fournier, A.; Barbet-Massin, M.; Salles, J.M.; Simard, F.; Courchamp, F. Massive yet grossly underestimated global costs of invasive insects. Nat. Commun. 2016, 7, 12986. [Google Scholar] [CrossRef] [PubMed]
  2. Wen, X.Y.; Zhao, G.H.; Cheng, X.T.; Chang, G.B.; Dong, X.B.; Lin, X. Prediction of the potential distribution pattern of the great gerbil (Rhombomys opimus) under climate change based on ensemble modelling. Pest Manag. Sci. 2022, 78, 3128–3134. [Google Scholar] [CrossRef] [PubMed]
  3. Marzano, M.; Ambrose-Oji, B.; Hall, C.; Moseley, D. Pests in the City: Managing Public Health Risks and Social Values in Response to Oak Processionary Moth (Thaumetopoea processionea) in the United Kingdom. Forests 2020, 11, 199. [Google Scholar] [CrossRef]
  4. Oliveira, C.M.; Auad, A.M.; Mendes, S.M.; Frizzas, M.R. Crop losses and the economic impact of insect pests on Brazilian agriculture. Crop Prot. 2014, 56, 50–54. [Google Scholar] [CrossRef]
  5. Logan, J.A.; Régnière, J.; Powell, J.A. Assessing the impacts of global warming on forest pest dynamics. Front. Ecol. Environ. 2003, 3, 130–137. [Google Scholar] [CrossRef]
  6. Food and Agriculture Organization (FAO). Global Forest Resources Assessment 2010―Main Report; Food and Agriculture Organization (FAO): Rome, Italy, 2010. [Google Scholar]
  7. Liebhold, A.M. Forest pest management in a changing world. Int. J. Pest. Manag. 2012, 3, 289–295. [Google Scholar] [CrossRef]
  8. Zidon, R.; Tsueda, H.; Morin, E.; Morin, S. Projecting pest population dynamics under global warming: The combined effect of inter- and intra-annual variations. Ecol. Appl. 2016, 26, 1198–1210. [Google Scholar] [CrossRef]
  9. Fares, S.; Mugnozza, G.S.; Corona, P.; Palahí, M. Sustainability: Five steps for managing Europe’s forests. Nature 2015, 519, 407–409. [Google Scholar] [CrossRef]
  10. Ji, L.; Wang, Z.; Wang, X.; An, L. Forest insect pest management and forest management in China: An overview. Environ. Manag. 2011, 48, 1107–1121. [Google Scholar] [CrossRef]
  11. Liu, P.; Liang, Q.L.; Chen, M.; Liu, Z.J.; Sheng, Z.H.; Su, Y.L. Construction of evaluation index system for forest pest disaster loss. Sci. Silvae Sin. 2016, 52, 101–107. [Google Scholar]
  12. Zhang, K.R.; Song, C.H.; Zhang, Y.L.; Zhang, Q.F. Natural disasters and economic development drive forest dynamics and transition in China. For. Policy Econ. 2017, 76, 56–64. [Google Scholar] [CrossRef]
  13. Yan, J. The Economic Analysis and Measures Study of Chinese Forestry Pest Disaster Management; Beijing Forestry University: Beijing, China, 2008. [Google Scholar]
  14. Song, Y.S.; Su, H.J.; Yu, H.Y. The loss assessment of Chinese forest pest disasters from 2006 to 2010. China Pests 2011, 6, 1–4. [Google Scholar]
  15. Cai, Q.; Zhang, D.H.; Li, Y.; Zhu, L.Y. Empirical study of forest pest control efficiency in China. For. Pest Dis. 2016, 3, 34–37. [Google Scholar]
  16. Dong, X.Y.; Cui, D.Y.; Chao, Y. Development and application of forecast function in the information management system of forest. China Pests 2017, 36, 9–12. [Google Scholar]
  17. Qin, J.-L.; Yang, X.-H.; Yang, Z.-W.; Luo, J.-T.; Lei, X.-F. New technology for using meteorological information in forest insect pest forecast and warning systems. Pest Manag. Sci. 2017, 73, 2509–2518. [Google Scholar] [CrossRef] [PubMed]
  18. Maher, J.M.; Markey, J.C.; Ebert-May, D. The other half of the story: Effect size analysis in quantitative research. CBE Life Sci. Educ. 2013, 12, 345–351. [Google Scholar] [CrossRef]
  19. Nakagawa, S.; Cuthill, I.C. Effect size, confidence interval and statistical significance: A practical guide for biologists. Biol. Rev. Camb. Philos. Soc. 2007, 82, 591–605. [Google Scholar] [CrossRef]
  20. State of Forestry and Grass Station. Forestry Statistics Yearbook (2003–2020); China Forestry Publishing House: Beijing, China, 2020.
  21. Dainese, M.; Schneider, G.; Krauss, J.; Steffan-Dewenter, I. Complementarity among natural enemies enhances pest suppression. Sci. Rep-UK. 2017, 7, 8172–8178. [Google Scholar] [CrossRef]
  22. Furlong, M.J.; Zalucki, M.P. Exploiting predators for pest management: The need for sound ecological assessment. Entomol. Exp. Appl. 2010, 3, 225–236. [Google Scholar] [CrossRef]
  23. Wen, X.Y.; Yuan, S.; Li, L.M.; Dai, Q.H.; Yang, L.; Jiang, F.; Lin, X. A Systematic Review and Meta-Analysis of the Inhibitory Effects of Plant-Derived Sterilants on Rodent Population Abundance. Toxins 2022, 14, 487. [Google Scholar] [CrossRef]
  24. Kolb, T.E.; Fettig, C.J.; Bentz, B.J.; Stewart, J.E.; Weed, A.S.; Hicke, J.A.; Ayres, M.P. Forest Insect and Fungal Pathogen Responses to Drought. In Effects of Drought on Forests and Rangelands in the United States; US Department of Agriculture, Forest Service, Washington Office: Washington, DC, USA, 2016. [Google Scholar]
  25. Qin, J.; Yang, X.; Yang, Z.; Luo, J.T.; Lei, X.F. Tracing temporal changes in the human dimensions of forest insect disturbance on the Kenai Peninsula, Alaska. Hum. Ecol. 2015, 1, 43–59. [Google Scholar] [CrossRef]
  26. Song, Y.; Peng, H.J. Strategies of Forestry Carbon Sink under Forest Insurance and Subsidies. Sustainability 2019, 17, 4607. [Google Scholar] [CrossRef]
  27. Elorza, U.; Harris, C.; Aritzeta, A.; Balluerka, N. The effect of management and employee perspectives of high-performance work systems on employees’ discretionary behaviour. Pers. Rev. 2016, 45, 121–141. [Google Scholar] [CrossRef]
  28. Lazzaroni, S.; van Bergeijk, P.A.G. Natural disasters’ impact, factors of resilience and development: A meta-analysis of the macroeconomic literature. Ecol. Econ. 2014, 107, 333–346. [Google Scholar] [CrossRef]
  29. Nguyen, T.T.; Mia, L.; Winata, L.; Chong, V.K. Effect of transformational-leadership style and management control system on managerial performance. J. Bus. Res. 2017, 70, 202–213. [Google Scholar] [CrossRef]
  30. Shastri, Y.; Diwekar, U.; Cabezas, H. Optimal control theory for sustainable environmental management. Environ. Sci. Technol. 2008, 42, 5322–5328. [Google Scholar] [CrossRef] [PubMed]
  31. Martin, R.R.; Constable, F.; Tzanetakis, I.E. Quarantine regulations and the impact of modern detection methods. Annu. Rev. Phytopathol. 2016, 54, 189–205. [Google Scholar] [CrossRef]
  32. Yang, B.; Busch, J.; Zhang, L.; Ran, J.; Gu, X.; Zhang, W.; Mittermeier, R.A. China’s collective forest tenure reform and the future of the giant panda. Conserv. Lett. 2015, 4, 251–261. [Google Scholar] [CrossRef]
  33. Li, Y.; Gao, L. Corporate Social Responsibility of Forestry Companies in China: An Analysis of Contents, Levels, Strategies, and Determinants. Sustainability 2019, 11, 4379. [Google Scholar] [CrossRef]
  34. Lundström, N.L.P.; Zhang, H.; Brännström, Å. Pareto-efficient biological pest control enable high efficacy at small costs. Ecol. Model. 2017, 364, 89–97. [Google Scholar] [CrossRef]
  35. Xiong, Y.Q. Management: Principles, Methods and Cases; Beijing Jiaotong University Press: Beijing, China, 2010. [Google Scholar]
  36. Stelzenmuller, V.; Coll, M.; Mazaris, A.D.; Giakoumi, S.; Katsanevakis, S.; Portman, M.E.; Degen, R.; Mackelworth, P.; Gimpel, A.; Albano, P.G.; et al. A risk-based approach to cumulative effect assessments for marine management. Sci. Total Environ. 2018, 612, 1132–1140. [Google Scholar] [CrossRef] [PubMed]
  37. Cropanzano, R.; James, K.; Konovsky, M.A. Dispositional affectivity as a predictor of work attitudes and job performance. J. Organ. Behav. 1993, 14, 595–606. [Google Scholar] [CrossRef]
  38. Youssef, C.M.; Luthans, F. Positive organizational behavior in the workplace: The impact of hope, optimism, and resilience. J. Manag. 2007, 5, 774–800. [Google Scholar] [CrossRef]
  39. Bender, S.; Bloom, N.; Card, D.; Van Reenen, J.; Wolter, S. Management Practices, Workforce Selection, and Productivity. J. Labor Econ. 2018, 36, 371–409. [Google Scholar] [CrossRef]
  40. Ahmady, G.A.; Nikooravesh, A.; Mehrpour, M. Effect of organizational culture on knowledge management based on Denison model. Procedia Soc. Behav. Sci. 2016, 230, 387–395. [Google Scholar] [CrossRef]
  41. Obeidat, B.Y.; Hashem, L.; Alansari, I.; Tarhini, A.; Al-Salti, Z. The effect of knowledge management uses on total quality management practices: A theoretical perspective. J. Manag. Strategy 2016, 4, 18–29. [Google Scholar] [CrossRef][Green Version]
  42. Jackson, S.A.; Gopalakrishna-Remani, V.; Mishra, R.; Napier, R. Examining the impact of design for environment and the mediating effect of quality management innovation on firm performance. Int. J. Prod. Econ. 2016, 173, 142–152. [Google Scholar] [CrossRef]
  43. Sirvent, C.; Herrero, J.; Moral, M.D.L.V.; Díaz, F.J.R. Evaluation of self-deception: Factorial structure, reliability and validity of the SDQ-12 (self-deception questionnaire). PLoS ONE 2019, 1, 210815. [Google Scholar] [CrossRef]
  44. Shankman, S.A.; Funkhouser, C.J.; Klein, D.N.; Davila, J.; Lerner, D.; Hee, D. Reliability and validity of severity dimensions of psychopathology assessed using the structured clinical interview for DSM-5 (SCID). Int. J. Methods. Psychiatr. Res. 2018, 1, 1590. [Google Scholar] [CrossRef]
  45. Bakke, T.; Mahmudi, H.; Fernando, C.S.; Salas, J.M. The causal effect of option pay on corporate risk management. J. Financ. Econ. 2016, 120, 623–643. [Google Scholar] [CrossRef]
  46. Hervas-Oliver, J.; Sempere-Ripoll, F.; Boronat-Moll, C.; Rojas-Alvarado, R. On the joint effect of technological and management innovations on performance: Increasing or diminishing returns? Technol. Anal. Strateg. Manag. 2018, 30, 569–581. [Google Scholar] [CrossRef]
  47. Chen, Q. Advanced Econometrics and Stata Applications, 2nd ed.; Higher Education Press: Beijing, China, 2014. [Google Scholar]
  48. Rout, T.M.; Moore, J.L.; McCarthy, M.A. Prevent, search or destroy? A partially observable model for invasive species management. J. Appl. Ecol. 2014, 51, 804–813. [Google Scholar] [CrossRef]
  49. Xu, H.S.; Ma, C.; Lian, J.J.; Xu, K.; Chaima, E. Urban flooding risk assessment based on an integrated k-means cluster algorithm and improved entropy weight method in the region of Haikou, China. J. Hydrol. 2018, 563, 975–986. [Google Scholar] [CrossRef]
  50. Yu, W.B.; Cai, H.S.; Zhang, Y.; Lyu, B. Early-warning and regulation of land ecological security: A case study of Hubei Province. Environ. Sci. Technol. 2018, 41, 8. [Google Scholar]
  51. Rohatgi, V.K.; Saleh, A.M.E. An Introduction to Probability and Statistics; John Wiley & Sons: Hoboken, NJ, USA, 2015. [Google Scholar]
  52. Morton, J.T.; Marotz, C.; Washburne, A.; Silverman, J.; Zaramela, L.S.; Edlund, A.; Zengler, K.; Knight, R. Establishing microbial composition measurement standards with reference frames. Nat. Commun. 2019, 10, 1–11. [Google Scholar] [CrossRef] [PubMed]
  53. Li, S.; Sun, H.; Zhou, Y.T.; Zhou, Y.T.; Li, X.D.; Yu, Z.J.; Dong, Z.H. Occurrence of major forest pests in China in 2021 and forecast of occurrence trend in 2022. For. Dis. Insects China 2022, 41, 44–47. [Google Scholar]
  54. Liu, Q.; Luo, T.; Tian, G. Political connections with corrupt government bureaucrats and corporate M&A decisions: A natural experiment from the anti-corruption cases in China. Pac-Basin. Financ. J. 2016, 37, 52–80. [Google Scholar]
  55. Xian, H.Y. Roblems and countermeasures of forest pest control. Seed Sci. Technol. 2020, 12, 88–90. [Google Scholar]
  56. He, H.C. The main problems existing in the forestry harmful biological control and its countermeasures. J. South. Agric. 2021, 8, 110–111. [Google Scholar]
  57. Zeng, F.Y. Building Long-Term Mechanism of Forestry Ecological Development with Forest Chief System. Jianghuai Forum 2019, 6, 62–67. [Google Scholar] [CrossRef]
  58. Wen, X.Y.; Gu, T.L.; Qi, H.; Zhang, F.P. Incineration or pulverization? Evolutionary game model of management of nematode-infected pine wood in China in the carbon neutrality context. Front. Environ. Sci. 2022, 10, 1041357. [Google Scholar] [CrossRef]
  59. Zhao, L.; Liu, B.; Yin, L. Problems and countermeasures of forest pest control. Agric. Technol. Equip. 2019, 9, 41–42. [Google Scholar]
  60. National Bureau of Statistics. China Statistical Yearbook; China Statistics Press: Beijing, China, 2021.
  61. Wang, Y.H.; Su, Y.Q.; Shu, Q.F. Labor outflow, rural collective action and rural revitalization. J. Tsinghua Univ. 2022, 37, 173–187+219. [Google Scholar]
  62. Lu, S.; Zhou, Y.; Song, W. Uncoordinated urbanization and economic growth—The moderating role of natural resources. Growth Chang. 2021, 52, 2071–2098. [Google Scholar] [CrossRef]
  63. Liu, X.R.; Zeng, Y.L.; Zhao, J.F. Research on forestry employment under the strategy of rural revitalization. Rural Econ. Technol. 2021, 32, 79–82+88. [Google Scholar]
  64. Cao, S.; Zhang, J.; Su, W. Difference in the net value of ecological services between natural and artificial forests in China. Conserv. Biol. 2019, 33, 1076–1083. [Google Scholar] [CrossRef]
Disclaimer/Publisher’s Note: The statements, opinions and data contained in all publications are solely those of the individual author(s) and contributor(s) and not of MDPI and/or the editor(s). MDPI and/or the editor(s) disclaim responsibility for any injury to people or property resulting from any ideas, methods, instructions or products referred to in the content.

Article Metrics

Citations

Article Access Statistics

Multiple requests from the same IP address are counted as one view.