Effects of Pre-Hardening and Autumn Fertilization on Biomass Allocation and Root Morphology of Pinus koraiensis Seedlings
Abstract
1. Introduction
2. Materials and Methods
2.1. Plant Material and Growth Conditions
2.2. Pre-Hardening and Autumn Fertilization
2.3. Seedling Measurements
2.4. Data Analysis
3. Results
3.1. Effect of Fertilization on Biomass Production and Allocation
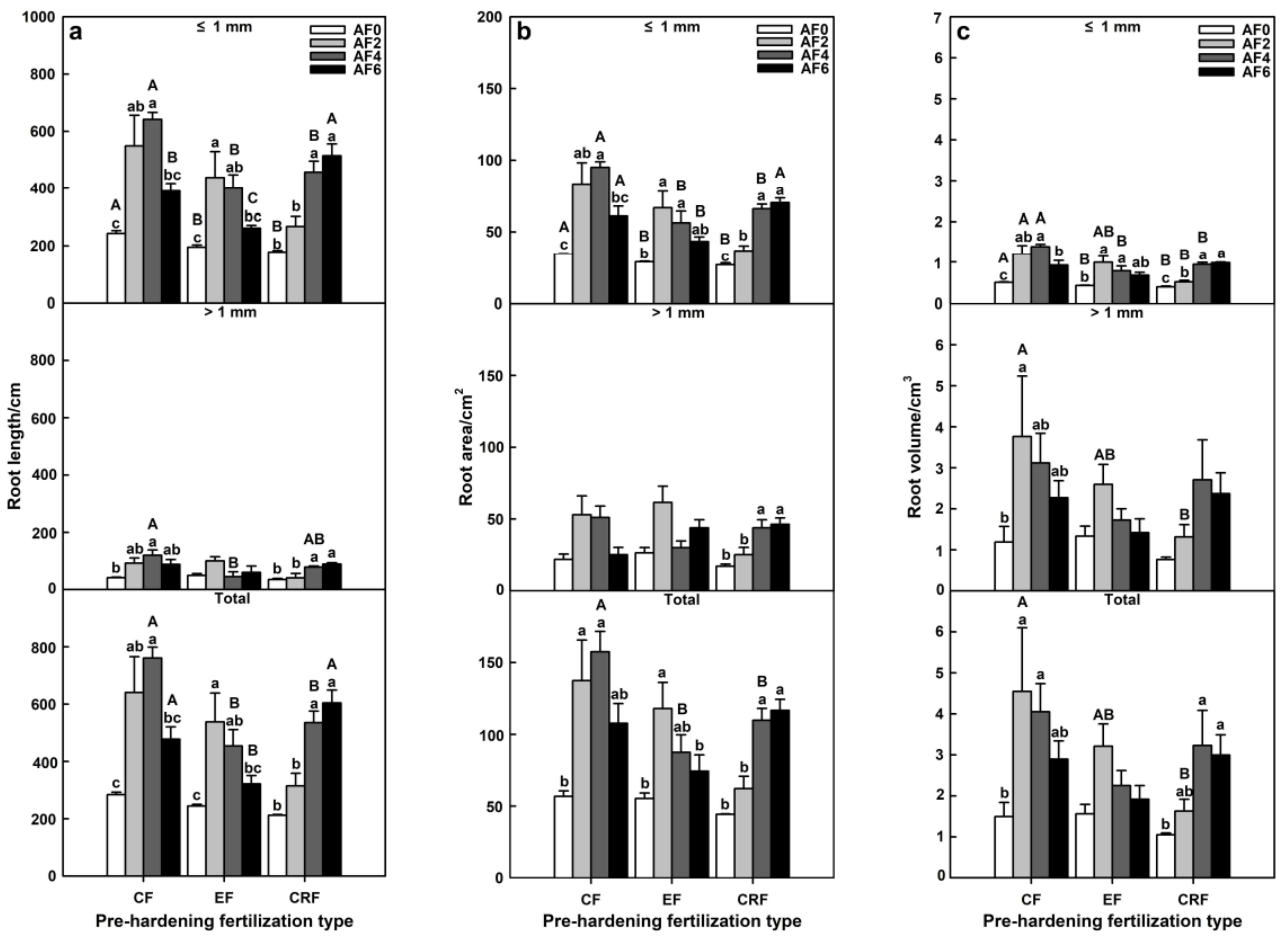
3.2. Effect of Fertilization on Root Traits
4. Discussion
5. Conclusions
Author Contributions
Funding
Data Availability Statement
Acknowledgments
Conflicts of Interest
References
- Davis, A.S.; Jacobs, D.F. Quantifying root system quality of nursery seedlings and relationship to outplanting performance. New For. 2005, 30, 295–311. [Google Scholar] [CrossRef]
- Grossnickle, S.C.; El-Kassaby, Y.A. Bareroot versus container stocktypes: A performance comparison. New. For. 2016, 47, 1–51. [Google Scholar] [CrossRef]
- Boivin, J.R.; Miller, B.D.; Timmer, V.R. Late-season fertilization of Picea mariana seedlings under greenhouse culture: Biomass and nutrient dynamics. Ann. For. Sci. 2002, 59, 255–264. [Google Scholar] [CrossRef]
- VanderSchaaf, C.; McNabb, K. Winter nitrogen fertilization of loblolly pine seedlings. Plant Soil 2004, 265, 295–299. [Google Scholar] [CrossRef]
- Boivin, J.R.; Salifu, K.F.; Timmer, V.R. Late-season fertilization of Picea mariana seedlings: Intensive loading and outplanting response on greenhouse bioassays. Ann. For. Sci. 2004, 61, 737–745. [Google Scholar] [CrossRef]
- Gleason, J.F.; Duryea, M.L.; Rose, R.; Atkinson, M. Nursery and field fertilization of 2+0 ponderosa pine seedlings: The effect on morphology, physiology, and field performance. Can. J. For. Res. 1990, 20, 1766–1772. [Google Scholar] [CrossRef]
- Irwin, K.M.; Duryea, M.L.; Stone, E.L. Fall-applied nitrogen improves performance of 1-0 slash pine nursery seedlings after afforestation. South. J. Appl. For. 1998, 22, 111–116. [Google Scholar] [CrossRef][Green Version]
- Birchler, T.M.; Rose, R.; Haase, D.L. Fall fertilization with N and K: Effects on Douglas-fir quality and performance. West. J. Appl. For. 2001, 16, 71–79. [Google Scholar] [CrossRef]
- South, D.B.; Donald, D.G.M. Effect of nursery conditioning treatments and fall fertilization on survival and early growth of Pinus taeda seedlings in Alabama, U.S.A. Can. J. For. Res. 2002, 32, 1171–1179. [Google Scholar] [CrossRef]
- Zhu, Y.; Li, S.; Wang, C.Y.; Dumroese, R.K.; Li, G.L.; Li, Q.M. The effects of fall fertilization on the growth of Chinese pine and Prince Rupprecht’s larch seedlings. J. For. Res. 2020, 31, 2163–2169. [Google Scholar] [CrossRef]
- Li, G.L.; Liu, Y.; Zhu, Y. Review on advance in study of fall fertilization regulating seedling quality. Sci. Silv. Sin. 2011, 47, 166–171. [Google Scholar] [CrossRef][Green Version]
- Pan, J.H.; Jacobs, D.F.; Li, G.L. Combined effects of short-day treatment and fall fertilization on growth, nutrient status, and spring bud break of Pinus tabulaeformis seedlings. iForest 2017, 10, 242–249. [Google Scholar] [CrossRef]
- Zhu, Y.; Dumroese, R.K.; Pinto, J.R.; Li, G.L.; Liu, Y. Fall fertilization enhanced nitrogen storage and translocation in Larix olgensis seedlings. New For. 2013, 44, 849–861. [Google Scholar] [CrossRef]
- Cuesta, B.; Villar-Salvador, P.; Puértolas, J.; Jacobs, D.F.; Benayas, J.M.R. Why do large, nitrogen rich seedlings better resist stressful transplanting conditions? A physiological analysis in two functionally contrasting Mediterranean forest species. For. Ecol. Manag. 2010, 260, 71–78. [Google Scholar] [CrossRef]
- Dominguez-Lerena, S.; Sierra, N.H.; Manzano, I.C.; Bueno, L.O.; Rubira, J.L.P.; Mexal, J.G. Container characteristics influence Pinus pinea seedling development in the nursery and field. For. Ecol. Manag. 2006, 221, 63–71. [Google Scholar] [CrossRef]
- Lynch, J. Root architecture and plant productivity. Plant Physiol. 1995, 109, 7–13. [Google Scholar] [CrossRef]
- Grossnickle, S.C. Importance of root growth in overcoming planting stress. New For. 2005, 30, 273–294. [Google Scholar] [CrossRef]
- Su, Y.; He, Q.; Yan, Z.Y.; Li, J.Y.; Wang, J.H. Analysis of the effect of nitrogen supply on root growth and development of Picea abies. Chin. Agric. Sci. Bull. 2015, 31, 1–5. [Google Scholar]
- Wang, R.; Li, J.Y.; Zhang, F.Q.; Zhu, B.Z.; Pan, W. Growing dynamic root system of Aquilaria malaccensis and Aquilaria sinensis seedlings in response to different fertilizing types. Acta Ecol. Sin. 2011, 31, 98–106. [Google Scholar]
- Yu, D.P.; Zhou, W.M.; Bao, Y.; Qi, L.; Zhou, L.; Dai, L.M. Forest management of Korean pine and broadleaf mixed forest in northeast China since the implementation of Natural Forest Protection Project. Acta Ecol. Sin. 2015, 35, 10–17. [Google Scholar]
- Zhang, P.; Dumroese, R.K.; Pinto, J.R. Organic or inorganic nitrogen and rhizobia inoculation provide synergistic growth response of a leguminous forb and tree. Front. Plant Sci. 2019, 10, 1308. [Google Scholar] [CrossRef] [PubMed]
- Bai, Y.L. Review on research in plant nutrition and fertilizes. Sci. Agric. Sin. 2015, 48, 3477–3492. [Google Scholar]
- Li, G.L.; Wang, J.X.; Oliet, J.A.; Jacobs, D.F. Combined pre-hardening and fall fertilization facilitates N storage and field performance of Pinus tabulaeformis seedlings. iForest 2016, 9, 483–489. [Google Scholar] [CrossRef]
- Dumroese, R.K.; Page-Dumroese, D.S.; Salifu, K.F.; Jacobs, D.F. Exponential fertilization of Pinus monticola seedlings: Nutrient uptake efficiency, leaching fractions, and early outplanting performance. Can. J. For. Res. 2005, 35, 2961–2967. [Google Scholar] [CrossRef]
- Andivia, E.; Fernández, M.; Vázquez-Piqué, J. Autumn fertilization of Quercus ilex ssp. ballota (Desf.) Samp. nursery seedlings: Effects on morpho-physiology and field performance. Ann. For. Sci. 2011, 68, 543–553. [Google Scholar] [CrossRef]
- Andivia, E.; Fernández, M.; Vázquez-Piqué, J. Assessing the effect of late-season fertilization on Holm oak plant quality: Insights from morpho-nutritional characterizations and water relations parameters. New For. 2014, 45, 149–163. [Google Scholar] [CrossRef]
- Li, G.L.; Zhu, Y.; Liu, Y.; Wang, J.X.; Liu, J.J.; Dumroese, R.K. Combined effects of pre-hardening and fall fertilization on nitrogen translocation and storage in Quercus variabilis seedlings. Eur. J. For. Res. 2014, 133, 983–992. [Google Scholar] [CrossRef]
- Puértolas, J.; Gil, L.; Pardos, J.A. Effects of nutritional status and seedling size on field performance of Pinus halepensis planted on former arable land in the Mediterranean basin. Forestry 2003, 76, 159–168. [Google Scholar] [CrossRef]
- Tsakaldimi, M.; Ganatsas, P.; Jacobs, D.F. Prediction of planted seedling survival of five Mediterranean species based on initial seedling morphology. New For. 2013, 44, 327–339. [Google Scholar] [CrossRef]
- Villar-Salvador, P.; Puértolas, J.; Cuesta, B.; Peñuelas, J.L.; Uscola, M.; Heredia-Guerrero, N.; Rey-Benayas, J.M. Increase in size and nitrogen concentration enhances seedling survival in Mediterranean plantations. Insights from an ecophysiological conceptual model of plant survival. New For. 2012, 43, 755–770. [Google Scholar] [CrossRef]
- Seith, B.; George, E.; Marschner, H.; Wallenda, T.; Schaeffer, C.; Einig, W.; Wingler, A.; Hampp, R. Effects of varied soil nitrogen supply on Norway spruce (Picea abies [L.] Karst.): I. Shoot and root growth and nutrient uptake. Plant Soil 1996, 184, 291–298. [Google Scholar] [CrossRef]
- Faustino, L.I.; Moretti, A.P.; Graciano, C. Fertilization with urea, ammonium and nitrate produce different effects on growth, hydraulic traits and drought tolerance in Pinus taeda seedlings. Tree Physiol. 2015, 35, 1062–1074. [Google Scholar] [CrossRef]
- Zhang, Y.F.; Luo, J.J.; Peng, F.T.; Xiao, Y.S.; Du, A.Q. Application of bag-controlled release fertilizer facilitated new root formation, delayed leaf, and root senescence in Peach trees and improved nitrogen utilization Efficiency. Front. Plant Sci. 2021, 12, 627313. [Google Scholar] [CrossRef]
- Koç, İ.; Nzokou, P.; Cregg, B. Biomass allocation and nutrient use efficiency in response to water stress: Insight from experimental manipulation of balsam fir, concolor fir and white pine transplants. New For. 2022, 53, 915–933. [Google Scholar] [CrossRef]
- Wang, M.M.; Liu, Y.; Li, G.L.; Peng, Y.X.; Liu, C.H.; Zhao, J.S.; Wang, S.H.; Dong, B.; Wang, C.W.; Zhao, R.R. Effects of autumn fertilization on quality, field performance, and nutrient resorption of Populus tomentosa seedling. Sci. Silv. Sin. 2021, 57, 51–60. [Google Scholar]
- Landis, T.D.; Dumroese, R.K.; Haase, D.L. The Container Tree Nursery Manual: Volume 7, Seedling Processing, Storage, and Afforestation; U.S. Department of Agriculture Forest Service: Washington, DC, USA, 2010; p. 24.
- Luis, V.C.; Puértolas, J.; Climent, J.; Peters, J.; González-Rodríguez, A.M.; Morales, D.; Jiménez, M.S. Nursery fertilization enhances survival and physiological status in Canary Island pine (Pinus canariensis) seedlings planted in a semiarid environment. Eur. J. For. Res. 2009, 128, 221–229. [Google Scholar] [CrossRef]
- Yang, J.C. Relationships of rice root morphology and physiology with the formation of grain yield and quality and the nutrient absorption and utilization. Sci. Agric. Sin. 2011, 44, 36–46. [Google Scholar]
- Villar-Salvador, P.; Puértolas, J.; Peñuelas, J.L.; Planelles, R. Effect of nitrogen fertilization in the nursery on the drought and frost resistance of Mediterranean forest species. Investig. Agrar. Sist. Recur. For. 2005, 14, 408–418. [Google Scholar] [CrossRef]
- Hernández, E.I.; Vilagrosa, A.; Luis, V.C.; Llorca, M.; Chirino, E.; Vallejo, V.R. Root hydraulic conductance, gas exchange and leaf water potential in seedlings of Pistacia lentiscus L. and Quercus suber L. grown under different fertilization and light regimes. Environ. Exp. Bot. 2009, 67, 269–276. [Google Scholar] [CrossRef]
- Costa, C.; Dwyer, L.M.; Zhou., X.; Dutilleul., P.; Hamel, C.; Reid, L.M.; Smith, D.L. Root morphology of contrasting maize genotypes. Agron. J. 2002, 94, 96–101. [Google Scholar] [CrossRef]
- Pregitzer, K.S.; Deforest, J.L.; Burton, A.J.; Allen, M.F.; Ruess, R.W.; Hendrick, R.L. Fine root architecture of nine north American trees. Ecol. Monogr. 2002, 72, 293–309. [Google Scholar] [CrossRef]
- Zhang, J.H.; Zhou, Z.Z.; Yang, X.Q.; Liang, K.N.; Huang, G.H.; Ma, H.M. Effects of exponential nitrogen loading on growth, root activity and N content of Araucaria cunninghamii seedlings. Sci. Silv. Sin. 2014, 50, 31–36. [Google Scholar]


| Macronutrients | Target Concentration (mol/L) | Fertilizer (mol/L) | Micronutrients | Target Concentration (mol/L) | Fertilizer (mol/L) |
|---|---|---|---|---|---|
| P | 3.87 × 10−3 | 85%H3PO4 (4.57 × 10−3) | Fe | 1.43 × 10−4 | FeSO4·7H2O (1.43 × 10−4) |
| K | 7.69 × 10−3 | K2SO4 (3.85 × 10−3) | Mn | 2.91 × 10−5 | MnCl2·4H2O (2.91 × 10−5) |
| Ca | 4.00 × 10−3 | CaCl2·2H2O (3.56 × 10−3) | Zn | 9.85 × 10−6 | ZnSO4·7H2O (9.62 × 10−6) |
| Mg | 3.33 × 10−3 | MgSO4·7H2O (3.33 × 10−3) | Cu | 4.69 × 10−6 | CuSO4·5H2O (7.31 × 10−6) |
| S | 3.75 × 10−3 | MgSO4·7H2O (2.88 × 10−2) | Mo | 4.17 × 10−7 | Na2MoO4·2H2O (3.89 × 10−7) |
| — | — | — | B | 9.09 × 10−5 | H3BO3 (9.10 × 10−5) |
| Source | df | p-Values | ||||
|---|---|---|---|---|---|---|
| Needle | Stem | Root | Total | Shoot-to-Root Ratio | ||
| PF | 2 | 0.231 ns | 0.248 ns | 0.097 ns | 0.114 ns | 0.138 ns |
| AF | 3 | <0.001 ** | 0.003 ** | <0.001 ** | <0.001 ** | 0.010 ** |
| PF × AF | 6 | 0.002 ** | 0.201 ns | 0.015 * | 0.004 ** | 0.026 * |
| Pre-Hardening Fertilization Type | Autumn Fertilization Level | S:R |
|---|---|---|
| CF | AF0 | 3.04 B ± 0.02 |
| AF2 | 2.34 ± 0.69 | |
| AF4 | 2.14 ± 0.30 | |
| AF6 | 2.51 A ± 0.07 | |
| EF | AF0 | 3.60 Aa ± 0.10 |
| AF2 | 2.11 b ± 0.14 | |
| AF4 | 2.99 ab ± 0.45 | |
| AF6 | 2.60 Ab ± 0.21 | |
| CRF | AF0 | 2.68 Ca ± 0.04 |
| AF2 | 3.07 a ± 0.19 | |
| AF4 | 2.13 b ± 0.18 | |
| AF6 | 1.88 Bb ± 0.14 |
| Source | df | p-Values | |||||||||
|---|---|---|---|---|---|---|---|---|---|---|---|
| TRL | TRA | TRV | SRL | Root with Diameter ≤ 1 mm | Root with Diameter > 1 mm | ||||||
| Length | Area | Volume | Length | Area | Volume | ||||||
| PF | 2 | 0.002 ** | 0.002 ** | 0.050 * | 0.094 ns | 0.007 ** | <0.001 ** | <0.001 ** | 0.035 * | 0.051 ns | 0.135 ns |
| AF | 3 | <0.001 ** | <0.001 ** | 0.006 ** | 0.091 ns | <0.001 ** | <0.001 ** | <0.001 ** | 0.004 ** | 0.003 ** | 0.031 * |
| PF × AF | 6 | 0.002 ** | 0.006 ** | 0.177 ns | 0.232 ns | 0.006 ** | 0.002 ** | 0.001 ** | 0.010 ** | 0.048 * | 0.313 ns |
| Pre-Hardening Fertilization Type | Autumn Fertilization Level | SRL (cm/g) |
|---|---|---|
| CF | AF0 | 738.72 A ± 16.14 |
| AF2 | 650.30 ± 64.29 | |
| AF4 | 733.15 ± 104.06 | |
| AF6 | 691.25 ± 83.92 | |
| EF | AF0 | 505.57 C ± 3.16 |
| AF2 | 626.03 ± 50.85 | |
| AF4 | 738.68 ± 77.17 | |
| AF6 | 622.42 ± 52.23 | |
| CRF | AF0 | 580.10 B ± 1.91 |
| AF2 | 797.89 ± 71.13 | |
| AF4 | 745.25 ± 51.02 | |
| AF6 | 721.02 ± 47.72 |
Disclaimer/Publisher’s Note: The statements, opinions and data contained in all publications are solely those of the individual author(s) and contributor(s) and not of MDPI and/or the editor(s). MDPI and/or the editor(s) disclaim responsibility for any injury to people or property resulting from any ideas, methods, instructions or products referred to in the content. |
© 2022 by the authors. Licensee MDPI, Basel, Switzerland. This article is an open access article distributed under the terms and conditions of the Creative Commons Attribution (CC BY) license (https://creativecommons.org/licenses/by/4.0/).
Share and Cite
Huang, H.; Wu, H.; López, R.; Yin, D.; Shen, H.; Zhang, P. Effects of Pre-Hardening and Autumn Fertilization on Biomass Allocation and Root Morphology of Pinus koraiensis Seedlings. Forests 2023, 14, 59. https://doi.org/10.3390/f14010059
Huang H, Wu H, López R, Yin D, Shen H, Zhang P. Effects of Pre-Hardening and Autumn Fertilization on Biomass Allocation and Root Morphology of Pinus koraiensis Seedlings. Forests. 2023; 14(1):59. https://doi.org/10.3390/f14010059
Chicago/Turabian StyleHuang, He, Haibo Wu, Rosana López, Dongsheng Yin, Hailong Shen, and Peng Zhang. 2023. "Effects of Pre-Hardening and Autumn Fertilization on Biomass Allocation and Root Morphology of Pinus koraiensis Seedlings" Forests 14, no. 1: 59. https://doi.org/10.3390/f14010059
APA StyleHuang, H., Wu, H., López, R., Yin, D., Shen, H., & Zhang, P. (2023). Effects of Pre-Hardening and Autumn Fertilization on Biomass Allocation and Root Morphology of Pinus koraiensis Seedlings. Forests, 14(1), 59. https://doi.org/10.3390/f14010059

