Abstract
Species-specific basic density (BD) data are necessary to improve the indirect methods of biomass determination. The density of tree components (e.g., bark, branches, roots) is studied much less than that of stem wood. Nevertheless, ignoring the specific BD values of these components in biomass calculations can lead to errors. The study aims to investigate BD variation of aboveground and belowground tree components by studying a total of 162 gray alder (Alnus incana (L.) Moench) and common alder (Alnus glutinosa (L.) Gaertn.) trees. From them, 55 stumps were excavated to determine the BD of the belowground components. Our findings reveal that the volume-weighted BD of the stem (wood and bark) and the branch density of common alder are higher compared to gray alder. Both species have similar bark density, while the BD of belowground components is higher for gray alder. The stem wood density of both species increases upward from the stump to the top. Compared to gray alders, the stems of common alders have more distinct radial within-stem density variation. According to our results, the application of default Alnus spp. wood density values recommended in the IPCC guidelines for the calculation of total biomass and carbon stock is likely causing overestimation. The BD values obtained in our study on alders’ biomass components will allow for more accurate appraisals of total biomass and carbon stock for gray and common alder forests.
1. Introduction
Density is the most important property affecting the quality of any solid wood or fiber product []. It correlates with other physical properties of the wood, such as strength, stiffness, and performance in operation []. Density is the best single predictor to estimate the mechanical properties of wood []. It is defined as the weight per unit volume and is directly related to the moisture content of the wood. Wood density is widely calculated as the proportion of the oven-dry mass to the corresponding volume of fresh wood to obtain reproducible measurements because these indicators are constant; this is referred to as wood’s basic density (BD) [].
Apart from evaluating the mechanical properties and quality of the wood, density data are used for the indirect calculation of biomass, converting the volume to biomass using specific BD values. The estimation of biomass and the carbon stored in living trees has become a major research interest worldwide to assess the climate change mitigation potential of forest ecosystems through the conversion of atmospheric CO2 to the terrestrial biosphere [,,,]. The Intergovernmental Panel on Climate Change (IPCC) recommends species-specific BD values for calculating biomass from forest inventory data []. However, this procedure excludes non-merchantable components, such as tree tops, branches, bark, stumps, and belowground components. The forest inventory usually documents growing stock, net annual increment, or wood removals in m3 of merchantable volume.
The emergence of the application of tree density data is associated with the broader implementation of remote sensing methods for estimating the aboveground and belowground biomass of trees. Terrestrial laser scanning or X-ray computed tomography can be applied to measure the above and belowground volume of trees directly [,]. At the same time, precise values for BD are required to convert the volumes of tree components into biomass. Using the volume-weighted average BD significantly reduces the bias in such biomass predictions [].
Wood density is a trait that varies within and across species [,] and is under strong genetic control [,]. Using BD values of knot-free sound wood for estimating total tree biomass may lead to biased results if the radial and longitudinal variability of wood density within the stem wood is not considered [,,]. Therefore, species-specific models for predicting the average stem wood BD, which can correspondingly be used for calculating whole-stem biomass, have been proposed [,,].
The density of tree components (e.g., bark, branches, roots, foliage) is studied much less than that of stem wood. Nevertheless, ignoring the specific density values of these components in biomass calculations can lead to errors []. While research has shown that the density of branches is higher than that of the stem wood for some softwood tree species [,,], studies on hardwoods are rare. Contradictory results have been obtained from the analysis of bark density in relation to wood density. It has been reported that the bark density of softwood species is generally higher than that of stem wood [,]. However, contrasting results were previously reported in North America []. Additionally, a study in Latvia revealed that the bark of Norway spruce and Scots pine has a lower density than the stem wood, and vice versa for birch (Betula spp.) [].
In general, density variation in softwoods is studied much more extensively than that in hardwood species because of the greater economic importance of coniferous timber. Deciduous tree species dominate nearly half the forests in Latvia [], a country that is located in the hemiboreal forest zone between coniferous forests and true temperate deciduous forests []. Alders (Alnus spp.) are the second most widespread broadleaved species behind birch in the country, with their share increasing because of natural regeneration in privately owned forests [].
Gray alder (Alnus incana (L.) Moench) and common alder (Alnus glutinisa (L.) Gaertn) are common native species found across Europe, especially in the Baltic countries (Latvia, Lithuania, and Estonia); here, they account for a total growing stock of 211 million m3, which is approximately 12.3% of the total forest volume on an average []. Common alder has significant potential for the wood industry in terms of the manufacture of value-added furniture and veneer products [,]. High productivity makes gray alder a suitable tree species for short-rotation forestry as fuel wood [,]. These species have relatively short life spans, with those in matured stands being prone to stem decay [,]. Studies in the Baltic region have demonstrated that gray alder stands in the middle-age stage typically act as carbon sinks while mature stands become a carbon source []. These findings indicate the need to investigate the carbon balance of alder stands under different management regimes to increase the forests’ climate change mitigation potential.
To understand better the biomass and carbon accumulation in alders, it is essential to explore the variation in the density of stem wood and other tree components. The amount of carbon stored in trees is determined by the volume and density of their wood and bark. A higher wood density indirectly indicates a higher carbon accumulation. Johansson [] reported that BD for common alder and gray alder were 427 kg m−3 and 359 kg m−3, respectively. The mean stem wood density of common alder increases slightly with the age of the tree [,], while the tree dimensions do not affect the mean density of stem wood for gray alder []. Studies on the longitudinal variation of BD in young gray alder stems concluded that the lowest wood densities are found in the lowermost parts of the stem [,]. The authors did not find any indication that radial variation in the density of stem wood and tree components for both these alder species has been studied elsewhere.
Therefore, this study aims to extend the knowledge on the radial and longitudinal variation of wood BD within tree stems and investigate the BD of branches, bark, and belowground components of gray alder and common alder trees. Knowledge about the within-stem variation of density will contribute to the broader use of alder timber for manufacturing value-added products while average density data about other tree components can be used to improve the existing indirect methods of biomass determination.
2. Materials and Methods
2.1. Study Sites and Sampling
In this study, we analyzed empirical material selected to develop the national biomass equations for alders in Latvia []. For each tree species, 81 sample trees collected in 27 forest stands representing the range of the dimensions of the dominant trees in each stand were harvested to investigate the density of aboveground components as well the radial and longitudinal variation of BD within the tree stems (Figure 1). The stand variables and locations of the studied sites are presented in the previous publication by Liepiņš et al. []. Sampling was performed during the dormant period when trees were leafless. Sample trees were selected in the naturally originated stands in forest sites representing the typical growing conditions for Alnus spp. stands in Latvia. Gray alder stands chosen for study were classified as forests on relatively fertile mineral (Hylocomiosa, Oxalidosa) and wet mineral soils (Myrilosa-polytrichosa). Common alder stands were classified as forests on wet peat (Dryopteriosa-caricosa) and drained peat soils (Oxalidosa turf. mel.), according to the Latvian forest classification []. An equal number of forest stands was sampled for both gray and common alder within the predefined age groups: young (0–20 and 0–30 years), middle-aged (21–40 and 31–60 years), and mature (>41 and >61 years) [].

Figure 1.
Distribution of sample trees into diameter classes.
Trees with stem forking, large ramicorn branches, stems with visually detectable damage of stem bark, cracks, fruiting bodies of stem decay fungi, or other signs that could indicate inner rot were excluded. The stump height was defined as 1% of the measured tree height before felling and was used to determine breast height and length of the stem after felling. Stump height was used to divide the trees into above and belowground components. The social status (crown canopy classes after Kraft []) of the trees was considered during sampling. One dominant, one codominant, and one subdominant tree were selected within each site [].
When each sample tree was felled, subjectively selected average-size living branches from the lower (B1), middle (B2), and upper (B3) sections of the living crown were sampled. After the full delimbing of a felled tree, the stem was cross-cut into 1 m or 2 m sections, depending on the stem length. Stems shorter than 20 m were divided into 1 m sections, while those longer than 20 m were divided into 2 m sections. Sample discs were collected at the beginning of each stem section and at diameter at breast height (DBH).
The belowground components of 28 gray alders and 27 common alders of previously felled sample trees were used to investigate stump and root density (Table 1). The entire root systems of the sampled trees were excavated manually in the summer after felling. Each excavated stump with a root system was divided into three components: (1) stump, including the monolith (both above- and belowground portions) and the nondifferentiated parts of some roots, (2) coarse roots with a diameter greater than or equal to 2 cm, and (3) small roots with a diameter less than 2 cm.

Table 1.
Sample tree characteristics for aboveground and belowground investigations.
The sampling of different belowground components involved multiple steps. First, one cross-cut sample disc was obtained from the middle of the stump, and three root discs of different diameters were obtained from the coarse roots close to the stump (CR1) and at the middle (CR2), and the smallest end (CR2) of the root with a diameter slightly over 2 cm. Next, three small root samples, named SR1, SR2, and SR3, were collected from randomly selected roots at the thickest end (diameter between 1.5 and 2 cm), middle (diameter between 0.5 and 1.5 cm, and smallest end (diameter between 0.2 and 0.5 cm) of the root system.
2.2. Laboratory Analyses
All wood and bark specimens were labeled with a code comprising sample tree number and sampling place along the stem using a moisture-resistant marker. After labeling, the specimens were placed in plastic bags and placed in the refrigerator at −18 °C to prevent mold during storage. Cross-cut discs of the stem wood were split into smaller specimens with 2 cm widths to determine the radial within-stem BD variation from the pith to bark. The bark was removed from the last wood specimen and analyzed separately. A total of 6573 BD measurements derived from alder stems were analyzed. Liepiņš et al. [] describe the detailed procedures and schema for the extraction of wood specimens. Samples obtained from the branches, roots, and stumps were analyzed with the bark. The mean density of each stem was calculated as a weighted average of the densities of the stem sections obtained according to the methodology described in a previous study [].
The BD of each wood specimen was measured using Precisa XB 220A scales bundled with a Precisa density determination set (part no: 350-8556). The density determination set allows weighting the same sample in the air and in the water or any other liquid with a known density. Using these measurements, the density of the water-saturated sample is calculated (Archimedes’ principle). Before starting this process, all the specimens were immersed in water for 24 h to avoid absorption of water while taking measurements []. The oven-dry weight of specimens was obtained by drying them at 103–105 °C [] until a constant weight was achieved, scaling them immediately after being removed from the drying oven. The BD was calculated as the ratio between the dry mass and fresh wood volume of a wood or bark specimen.
2.3. Statistical Analysis
The BD data were grouped consistently according to both tree species and components. We tested data normality using the Kolmogorov–Smirnov test and used Levene’s test to compare variances between groups. As most of the groups did not fulfill the required assumptions for parametric methods, we applied nonparametric data analysis methods in our study. The relationships between BD of the aboveground and belowground components and tree and stand parameters were determined using Spearman’s correlation. The Kruskal–Wallis test was applied to identify differences in average BD between tree species or specific components. All statistical analyses were carried out using the R programming language [].
3. Results
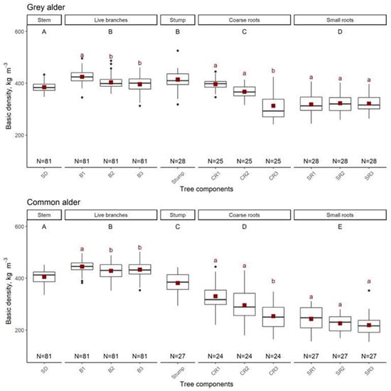
We discovered significant BD variation across belowground and aboveground components for both tree species (Figure 2). The BD of branches was higher than that of stems in both species. Moreover, for both species, branches in the lower part of the crown had a significantly higher density than those sampled in the middle or upper part. For the gray alder, the BD of branches sampled in the lower part of the stem was 21.59 kg m−3 higher than that in the middle and 28.85 kg m−3 higher than that in the upper part of the crown. The corresponding differences for the common alder were 15.97 kg m−3 and 11.6 kg m−3. For common alder, the stump BD appeared to be significantly lower than that of the branches; no such differences were detected for gray alder.

Figure 2.
Basic density of aboveground and belowground tree components of gray alder (A. incana (L.) Moench) and common alder (A. glutinosa (L.) Gaertn.) (abbreviations: see Table 2). The boxplot displays the median (bold line), mean (dark red square), lower and upper quartiles (box), minimal and maximal values (whiskers), and outliers (black dots). Different capital letters show statistically significant differences (p < 0.05) between components, while different small letters indicate differences among tree components within the same tree species. N represents the number of samples in each group.
The belowground biomass of alders had lower BD than aboveground components. The BD of small roots had the lowest values among all the analyzed components regardless of the sampling location. The coarse root density was higher than the small root density, and samples taken at the smaller ends (diameter over 2 cm) had significantly lower density when compared to samples taken at the middle and thickest end.
As shown in Table 2, the weighted average stem wood density of common alder was 405.53 ± 2.86 kg m−3, which was significantly higher than that of gray alder stems (384.45 ± 2.05 kg m−3). Although the average bark density of both alder species was higher than that of wood, however, an axial variation was observed along the stem for both species. As shown in Figure 3, the bark BD of common alder was higher than that of wood in the upper part of the stem, while the densities of both components are similar at the base and in the middle portion of the stem. The opposite tendency was observed for gray alders, the bark of which was denser than wood at the base of the stem. The average bark density was 414.23 ± 5.31 kg m−3 for common alder and 403.25 ± 3.80 kg m−3 for gray alder; however, the difference was not statistically significant. The average BD of branches was significantly higher for common alder (435.38 ± 2.84 kg m−3) compared to gray alder (407.97 ± 2.61 kg m−3).

Table 2.
Average (mean ± standard error) basic density (in kg m−3) for the aboveground and belowground tree components of gray alder and common alder.

Figure 3.
Axial variation of wood basic density (WBD) (red solid line) and bark basic density (BBD) (black solid line) for gray alder and common alder stems.
Unlike aboveground components, the density of all belowground components was significantly higher for gray alder than common alder. For gray alder, the BD of the stumps, average coarse roots, and average small roots were 413.88 ± 7.43 kg m−3, 358.53 ± 4.62 kg m−3, and 317.40 ± 3.93 kg m−3, respectively. The corresponding values for common alder were 381.26 ± 8.01 kg m−3, 292.93 ± 8.41 kg m−3, and 230.55 ± 4.73 kg m−3, respectively.
The dominant trend for within-stem density variation for both alder species was that BD was lower at the base of the stem and increased toward the top (Figure 4). However, according to our data, it is evident that gray alder has more homogeneous wood than common alder because BD variation across the stem was less pronounced for this tree species. The lowest BD of gray alder wood was observed in the core of the bottom part of the stem, steadily increasing toward the bark. An increase in BD from pith to bark along the stem was a visible tendency for gray alder. For common alder, the cone-shaped core with lower BD at the base of the stem was relatively smaller but more distinctive than for gray alder. The wood BD for common alder also increased in a radial direction. However, the tendency of the formation of the less dense outer layer of the wood can be observed later along the stem, except for the top section, where density is the highest.

Figure 4.
Variation in the basic density within the stem wood of common alder and gray alder. The 0 m point corresponds to stump (felling) height.
The BD of aboveground components of both species displayed a stronger correlation with tree age, DBH, and stem length (H) than that of the belowground components (Table 3). The individual tree attributes of gray alder were positively correlated with the BD of stem wood and the total stem; however, the relationship was not strong (ρ = 0.181–0.31). The correlation between tree attributes, bark, and branch BD was substantially stronger (ρ ranging from 0.365 to 0.585). Relationships between tree attributes, stem wood, and total stem BD were stronger for common alder than for gray alder (ρ = 0.506–0.669). For common alder, the data revealed a strong positive correlation between branch BD and tree attributes (ρ = 0.559–0.698). Nevertheless, a strong negative relationship was found between tree attributes and bark BD (ρ = −0.794–0.712). Age, DBH, and H showed a positive relationship with average coarse root BD for common alder; however, no correlation between BD of belowground components with tree attributes was found for gray alder.

Table 3.
Correlation between individual tree attributes and the average basic density of tree components. The upper diagonal part (in bold) contains correlation coefficient estimates (Spearman’s ρ). The lower diagonal part (in italics) contains the corresponding p-values.
4. Discussion
The establishment of a country-specific methodology for reporting greenhouse gas inventories can substantially increase the accuracy of forest biomass estimates at the national level []. According to the IPCC, biomass conversion and expansion factors (BCEF) obtained by multiplying biomass expansion factors and BD applied directly to volume-based forest inventory data are recommended for the assessment of the biomass and carbon of forests []. The IPCC guidelines are based on density studies of industrial wood, proposing the same density values for temperate and boreal Alnus species []. However, gray and common alder have different physical wood properties [], and the application of species-specific BD values is a prerequisite for the accurate estimation of biomass and carbon stock. In our study, we obtained average BD values for different aboveground and belowground tree components for gray and common alder that can be used to assess the total tree biomass, including non-merchantable components of the trees.
In the majority of studies, the BD of common alder wood is reported to be higher than that of gray alder. According to Salca [], the oven-dry wood density of common alder ranges from 370 to 600 kg m−3, while the reported wood density of gray alder ranges from 353 to 420 kg m−3 []. Our study confirms that the stem wood of common alder is denser than that of gray alder. However, this principle does not apply to all the studied tree components. Although common alder has higher branch wood density compared to gray alder, both species have similar bark density, while BD of belowground components (stump, coarse and small roots) of gray alder is superior to that of common alder.
The mean BD varied from 312.6 kg m−3 to 424.8 kg m−3 among tree components for gray alder and from 218.5 kg m−3 to 444.7 kg m−3 for common alder. The default density value proposed by the IPCC guidelines for temperate and boreal alder species is 450 kg m−3, which is higher than the value observed in our study. This discrepancy suggests that applying a default density value for the calculation of total biomass and carbon stock in alder stands leads to the overestimation of particular parameters. This error increases if the same value is applied to belowground components for both species; density would be even lower compared to aboveground components, especially for common alder.
Several previous studies have reported density variation within the stems of alder species. In our study, we explored the axial variation of bark density and the axial and radial variation in the density of stem wood for both alder species. In Latvia, a gradual increase in wood density toward the top has been reported for gray and common alders [,]. Our results reveal that variation in the stem wood BD of gray alder is relatively low. This corresponds to findings published in Finland by Hakkila [], who observed more distinctive radial variation for common alder. This species has a relatively longer life span than gray alder, which can explain the more recognizable differences between mature and juvenile wood and is usually the main source of within-stem density variation [].
The wood with the lowest BD for both alders was in the pith at the lowest part of the stem, which is most often affected by heart rot, which can be defined as the presence of soft and spongy wood. Although we avoided selecting sample trees with distinctive rot or heart rot, the presence of discolored wood can be regarded as the first stage of decay and is typical for older stems of both species [,]. Specimens containing discolored wood were included in our data set. Intact wood density data yields inaccurate results when determining the decayed stem biomass. Actual density data are needed for biomass calculations of rotten trees. A decrease in mean dead wood density with a progressive decay state has been reported for coarse woody debris []. However, the reduction in wood density as an effect of internal decay in alder stems has not been studied. Internal stem decay in living trees releases stored carbon back into the atmosphere, constituting an important but poorly understood mode of carbon loss []. The impact of the internal decay of trees needs to be evaluated in future studies for more precise calculations of carbon pools in forest ecosystems.
To obtain the average branch biomass properties of trees, samples are often taken from various locations of the crown [,]. We sampled branches from the lower, middle, and upper parts of the crown. For both species, the lowest branches proved to be denser; however, the differences based on the location of the samples were relatively low. The mean BD of branches sampled in the middle of the crown (B2) was 403.19 ± 2.78 kg m−3 for gray alder and 428.60 ± 3.63 kg m−3 for common alder. The average BD of all branch samples was 407.97 ± 2.61 kg m−3 and 435.38±2.84 kg m−3 for gray alder and common alder, respectively. If the B2 density were used instead of averaging the densities of all samples, the possible bias would be 1.2% and 1.6% for gray and common alder, respectively. This proves that a simplified method of sampling branches at the middle of the crown causes a relatively small inaccuracy in estimating average branch density.
Despite the tendency of the samples taken at the smallest ends of the coarse roots to have a lower density compared to other sample locations, the sampling at the middle of the coarse root section (CR2) had little effect on the accuracy of estimating average coarse root BD. The average BD of all coarse root samples was 358.53±4.62 kg m−3 for gray alder and 292.93 ± 8.41 kg m−3 for common alder. The BD of the CR2 samples was 366.87 ± 5.19 kg m−3 and 295.41 ± 11.71 kg m−3 for gray alder and common alder, respectively. The difference between the basic density of the average coarse root and CR2 was 2.3% for gray alder and 1.0% for common alder. The data did not reveal any significant differences among the densities of small root samples.
Variations in the dimensions, quantity, and wall thickness of cells are mechanisms of how trees balance mechanical and hydraulic demands. Roots have larger vessels, a higher percentage of parenchyma cells, a lower proportion of fibers, and fibers with thinner walls [,]. The fact that the correlation between wood density and vessel size, diameters, and the related hydraulic conductance was not confirmed [,] suggests that wood density possible is closer related to other xylem elements such as fibers, tracheids, and parenchymatic tissue []. As proposed by Jacobsen et al. [], the wood density might be driven by fiber cell wall thickness rather than by variations in fiber tissue area. The wood anatomy of roots most likely is behind the lower BD of belowground components compared to the main stem BD discovered in our study.
Our results indicate that the densities of bark, branch, and to a lesser extent, stem wood of the gray alder increase with the age and dimensions of the tree. The same phenomenon is observed in the case of the common alder. However, in contrast to the gray alder, the average bark density of the common alder decreases with the age of the tree. This could be explained by the fact that the smooth bark of the common alder becomes ridged and plated with age, while gray alder bark remains smooth [,].
The tree bark is composed of two sections—inner and outer bark differing in density []. A possible reason for the axial variation of bark BD along the stem revealed for common alder is an increased proportion of outer bark in the lower part of the stem. However, this claim cannot be proved because the bark BD in our study was measured without the separation of bark sections.
Despite the fact that wood density reflects the genetically prescribed wood formation of a given species and thus the BD in branches and in the stem should be similar, the high variation in branch density, relative to stem density, was also reported in a study of 78 species/genera in the United States []. The reason behind the phenomenon that branchwood BD is higher than stemwood BD can be the formation of tension wood as a result of strain to support the self-weight of the branch [,]. This can also explain the higher density of branches in the lower part of the crown observed in our study. Lower branches are older and usually bigger, being exposed to bending stress for longer periods.
We did not find any relationship between individual tree parameters and the density of belowground components for gray alder. However, in the case of the common alder, a strong correlation was observed between average coarse root density, tree age, and stem length. Moreover, soil properties, such as moisture content, unit weight, and elastic modulus, affect the rooting architecture []. The common alder prefers wet peat soils, and a strong root system is very important to anchor the tree in unstable soil. The increased density of coarse roots for older and taller trees reinforces the stability of their trunks in soft soils and prevents the uprooting of the tree.
Wood density variation is often difficult to explain with the help of stand and tree characteristics [] because it is influenced by numerous factors; for instance, it is under strong genetic control []. Our results suggest that the age and dimensions of trees can be used to model the BD of aboveground components of gray and common alder to improve the estimation of total biomass or carbon stock.
5. Conclusions
In our study, we reported the average BD values for aboveground and belowground components for gray and common alder in the hemiboreal forest region and explored the axial and radial variation in the density of stem wood. Such investigation into the density of non-merchantable tree biomass components has not been previously performed. Total stem density (wood and bark), bark, and branch density were higher for common alder than gray alder. However, the density of the belowground components, such as the stump, coarse roots, and small roots, was higher for gray alder. The average bark density for both species exceeded that of stem wood, although the differences were more distinctive in the lower part and top of the stem. Bark density was higher at the butt of the stem for gray alder, while higher bark density was observed at the top for common alder.
The BD values obtained in our study on alders’ biomass components will allow for more accurate appraisals of total biomass and carbon stock for gray and common alder forests. According to our results, the application of default Alnus spp. wood density values recommended in the IPCC guidelines for the calculation of total biomass and carbon stock is likely causing overestimation.
We observed large differences between BD of aboveground and belowground components suggesting that average BD stem wood values cannot be used for correct indirect estimation of whole tree biomass. Weighted stem BD values calculated in our study were obtained considering the radial and axial variation of stem wood and axial variation of stem bark. Our data also revealed BD variation of belowground components for both species. The next step will be the calculation of weighted belowground BD, applying the density values obtained in our study and the biomass proportion of corresponding components.
Author Contributions
Conceptualization, J.L. and K.L.; formal analysis, Ā.J.; data curation, L.J.; writing—original draft preparation, K.L. and J.L.; writing—review and editing, K.L and A.B.; visualization, A.B. and J.I.; supervision, K.L.; project administration, Ā.J.; funding acquisition, Ā.J. All authors have read and agreed to the published version of the manuscript.
Funding
This research was funded by European Regional Development Fund (ERDF) in accordance with contract no. 1.1.1.1/21/A/063 between Central Finance and Contracting Agency and Latvian State Forest Research Institute ‘Silava’, the project “Tool for assessment of carbon turnover and greenhouse gas fluxes in broadleaved tree stands with consideration of internal stem decay”.
Data Availability Statement
Not applicable.
Acknowledgments
The study was implemented within the scope of the project “Tool for assessment of carbon turnover and greenhouse gas fluxes in broadleaved tree stands with consideration of internal stem decay” (no. 1.1.1.1/21/A/063). J.L.’s contribution was supported by the European Regional Development Fund, support for post-doctoral studies in Latvia, “Reducing uncertainty in the calculation of forests and biomass and carbon stock in Latvia” (no.: 1.1.1.2/VIAA/4/20/687).
Conflicts of Interest
The authors declare no conflict of interest.
References
- Zobel, B.J.; Jett, J.B. The Importance of Wood Density (Specific Gravity) and Its Component Parts. In Genetics of Wood Production; Springer: Berlin/Heidelberg, Germany, 1995; pp. 78–97. [Google Scholar]
- Saranpää, P. Wood Density and Growth. In Wood Quality and Its Biological Basis; Barnett, J.R., Jeronimidis, G., Eds.; Blackwell Publishing & CRC Press: Boca Raton, FL, USA, 2003; p. 240. [Google Scholar]
- Zink-Sharp, A. The Mechanical Properties of Wood. In Wood Quality and Its Biological Basis; Barnett, J.R., Jeronimidis, G., Eds.; Blackwell Publishing Ltd.: Hoboken, NJ, USA, 2003; pp. 187–211. [Google Scholar]
- Heather, K.; Mackey, G.B.; Lindenmayer, D.B. Re-Evaluation of Forest Biomass Carbon Stocks and Lessons from the World’s Most Carbon-Dense Forests. Proc. Natl. Acad. Sci. USA 2009, 106, 11635–11640. [Google Scholar]
- Pechanec, V.; Štěrbová, L.; Purkyt, J.; Prokopová, M.; Včeláková, R.; Cudlín, O.; Vyvlečka, P.; Cienciala, E.; Cudlín, P. Selected Aspects of Carbon Stock Assessment in Aboveground Biomass. Land 2022, 11, 66. [Google Scholar] [CrossRef]
- Sun, W.; Liu, X. Review on Carbon Storage Estimation of Forest Ecosystem and Applications in China. For. Ecosyst. 2019, 7, 4. [Google Scholar] [CrossRef]
- Vieira, S.A.; Alves, L.F.; Aidar, M.; Araújo, L.S.; Baker, T.; Batista, J.L.F.; Campos, M.C.; Camargo, P.B.; Chave, J.; Delitti, W.B.C.; et al. Estimation of Biomass and Carbon Stocks: The Case of the Atlantic Forest. Biota Neotrop. 2008, 8, 21–29. [Google Scholar] [CrossRef]
- IPCC. IPCC Guidelines for National Greenhouse Gas Inventories; IGES: Hayama, Japan, 2006. [Google Scholar]
- Demol, M.; Calders, K.; Krishna Moorthy, S.M.; van den Bulcke, J.; Verbeeck, H.; Gielen, B. Consequences of Vertical Basic Wood Density Variation on the Estimation of Aboveground Biomass with Terrestrial Laser Scanning. Trees—Struct. Funct. 2021, 35, 671–684. [Google Scholar] [CrossRef]
- Suresh, N.; Stephens, S.A.; Adams, L.; Beck, A.N.; McKinney, A.L.; Varga, T. Extracting Metrics for Three-Dimensional Root Systems: Volume and Surface Analysis from In-Soil X-Ray Computed Tomography Data. JoVE 2016, 110, e53788. [Google Scholar] [CrossRef]
- Sagang, L.B.T.; Momo, S.T.; Libalah, M.B.; Rossi, V.; Fonton, N.; Mofack, G.I.I.; Kamdem, N.G.; Nguetsop, V.F.; Sonké, B.; Ploton, P.; et al. Using Volume-Weighted Average Wood Specific Gravity of Trees Reduces Bias in Aboveground Biomass Predictions from Forest Volume Data. For. Ecol. Manag. 2018, 424, 519–528. [Google Scholar] [CrossRef]
- Longuetaud, F.; Mothe, F.; Santenoise, P.; Diop, N.; Dlouha, J.; Fournier, M.; Deleuze, C. Patterns of Within-Stem Variations in Wood Specific Gravity and Water Content for Five Temperate Tree Species. Ann. For. Sci. 2017, 74, 64. [Google Scholar] [CrossRef]
- Mosedale, J.R.; Charrier, B.; Janin, G. Genetic Control of Wood Colour, Density and Heartwood Ellagitannin Concentration in European Oak (Quercus Petraea and Q. Robur). Forestry 1996, 69, 111–124. [Google Scholar] [CrossRef]
- Moya, R.; Marín, J.D.; Murillo, O.; Leandro, L. Wood Physical Properties, Color, Decay Resistance and Stiffness in Tectona Grandis Clones with Evidence of Genetic Control. Silvae Genet. 2013, 62, 142–152. [Google Scholar] [CrossRef]
- Billard, A.; Bauer, R.; Mothe, F.; Colin, F.; Christine, D.; Longuetaud, F. Vertical Variations in Wood Basic Density for Two Softwood Species. Eur. J. For. Res. 2021, 140, 1401–1416. [Google Scholar] [CrossRef]
- Wiemann, G.; Michael, C.; Williamson, G.B. Wood Specific Gravity Variation with Height and Its Implications for Biomass Estimation; Research Paper, FPL-RP-677; U.S. Department of Agriculture, Forest Service, Forest Products Laboratory: Madison, WI, USA, 2014.
- Woodcock, D.; Shier, A. Wood Specific Gravity and Its Radial Variations: The Many Ways to Make a Tree. Trees—Struct. Funct. 2002, 16, 437–443. [Google Scholar] [CrossRef]
- Liepiņš, J.; Liepiņš, K. Mean Basic Density and Its Axial Variation in Scots Pine, Norway Spruce and Birch Stems. In Proceedings of the Research for Rural Development, Jelgava, Latvia, 17–19 May 2017; Volume 1, pp. 21–27. [Google Scholar]
- Petráš, R.; Mecko, J.; Krupová, D.; Slamka, M.; Pažitný, A. Aboveground Biomass Basic Density of Softwoods Tree Species. Wood Res. 2019, 64, 205–212. [Google Scholar]
- Repola, J. Models for Vertical Wood Density of Scots Pine, Norway Spruce and Birch Stems, and Their Application to Determine Average Wood Density. Silva Fenn. 2006, 40, 673–685. [Google Scholar] [CrossRef]
- Billard, A.; Bauer, R.; Mothe, F.; Jonard, M.; Colin, F.; Longuetaud, F. Improving Aboveground Biomass Estimates by Taking into Account Density Variations between Tree Components. Ann. For. Sci. 2020, 77, 1–18. [Google Scholar] [CrossRef]
- Dibdiakova, J.; Vadla, K. Basic Density and Moisture Content of Coniferous Branches and Wood in Northern Norway. In Proceedings of the EPJ Web of Conferences, Maastricht, The Netherlands, 17–20 April 2012; Volume 33. [Google Scholar]
- Gryc, V.; Horáček, P.; Šezingerová, J.; Vavrčík, H. Basic Density of Spruce Wood, Wood with Bark, and Bark of Branches in Locations in the Czech Republic. Wood Res. 2011, 56, 23–32. [Google Scholar]
- Miles, P.D. Specific Gravity and Other Properties of Wood and Bark for 156 Tree Species Found in North America; US Department of Agriculture, Forest Service, Northern Research Station: Newtown Square, PA, USA, 2009; Volume 38.
- Erickson, J.R. The Moisture Content and Specific Gravity of the Bark and Wood of Northern Pulpwood Species; Research Note NC-141; US Department of Agriculture, Forest Service, North Central Forest Experiment Station: Saint Paul, MN, USA, 1972; pp. 1–3.
- Official Statistics of Latvia. Inventoried Forest Area and Standing Timber by Main TREE Species. Available online: https://data.stat.gov.lv/pxweb/en/OSP_PUB/START__NOZ__ME__MEP/MEP060/ (accessed on 12 November 2022).
- Ahti, T.; Hämet-Ahti, L.; Jalas, J. Vegetation Zones and Their Sections in Northwestern Europe. Ann. Bot. Fenn. 1968, 5, 169–211. [Google Scholar]
- Official Statistics of Latvia. Forest Regeneration and Afforestation. Available online: https://stat.gov.lv/en/statistics-themes/business-sectors/forestry/8918-forest-regeneration-and-afforestation?themeCode=ME (accessed on 12 November 2022).
- FAO. Global Forest Resources Assessment 2020: Main Report; FAO: Rome, Italy, 2020; p. 165. [Google Scholar]
- Claessens, H.; Oosterbaan, A.; Savill, P.; Rondeux, J. A Review of the Characteristics of Black Alder (Alnus glutinosa (L.) Gaertn.) and Their Implications for Silvicultural Practices. Forestry 2010, 83, 163–175. [Google Scholar] [CrossRef]
- Salca, E. Black Alder (Alnus glutinosa L.)—A Resource for Value-Added Products in Furniture Industry Under European Screening. Curr. For. Rep. 2019, 5, 41–54. [Google Scholar] [CrossRef]
- Aosaar, J.; Varik, M.; Uri, V. Biomass Production Potential of Grey Alder (Alnus incana (L.) Moench.) in Scandinavia and Eastern Europe: A Review. Biomass Bioenergy 2012, 45, 11–26. [Google Scholar] [CrossRef]
- Rytter, L.; Rytter, R.M. Growth and Carbon Capture of Grey Alder (Alnus incana (L.) Moench.) under North European Conditions–Estimates Based on Reported Research. For. Ecol. Manag. 2016, 373, 56–65. [Google Scholar] [CrossRef]
- Arhipova, N.; Gaitnieks, T.; Donis, J.; Stenlid, J.; Vasaitis, R. Decay, Yield Loss and Associated Fungi in Stands of Grey Alder (Alnus incana) in Latvia. Forestry 2011, 84, 337–348. [Google Scholar] [CrossRef]
- Uri, V.; Kukumägi, M.; Aosaar, J.; Varik, M.; Becker, H.; Soosaar, K.; Morozov, G.; Ligi, K.; Padari, A.; Ostonen, I.; et al. Carbon Budgets in Fertile Grey Alder (Alnus incana (L.) Moench.) Stands of Different Ages. For. Ecol. Manag. 2017, 396, 55–67. [Google Scholar] [CrossRef]
- Johansson, T. Stem Volume Equations and Basic Density for Grey Alder and Common Alder in Sweden. Forestry 2005, 78, 249–262. [Google Scholar] [CrossRef]
- Chow, P.; Rolfe, G.L.; Bajwa, D.S. Stem Chemical Compositions of Juvenile Elaeagnus and Alnus Species. Can. J. Bot. 1999, 77, 1398–1400. [Google Scholar]
- Klevinska, V.; Bikova, T. Comparison of the Properties of Black and Grey Juvenile Alder Wood. Holz Als Roh-Und Werkst. 1999, 57, 246. [Google Scholar] [CrossRef]
- Aosaar, J.; Varik, M.; Lõhmus, K.; Uri, V. Stemwood Density in Young Grey Alder (Alnus incana (L.) Moench) and Hybrid Alder (Alnus Hybrida a. Br.) Stands Growing on Abandoned Agricultural Land. Balt For. 2011, 17, 89–94. [Google Scholar]
- Hakkila, P. Basic Density, Bark Percentage and Dry Matter Content of Grey Alder (Alnus incana). Commun. Inst. For. Fenn. 1970, 71, 31. [Google Scholar]
- Liepiņš, J.; Liepiņš, K.; Lazdiņš, A. Equations for Estimating the Above- and Belowground Biomass of Grey Alder (Alnus incana (L.) Moench.) and Common Alder (Alnus glutinosa L.) in Latvia. Scand. J. For. Res. 2021, 36, 389–400. [Google Scholar] [CrossRef]
- Zālītis, P.; Jansons, J. Latvian Forest Typology and Its Origin; DU Akadēmiskais Apgāds Saule: Daugavpils, Latvia, 2013; p. 167. [Google Scholar]
- Kraft, G. Beiträge Zur Lehre von Den Durchforstungen, Schlagstellungen Und Lichtungshieben; Klindworth: Hannover, Germany, 1884; p. 147. [Google Scholar]
- FAO. Manual for Visual Assessment of Forest Crown Condition. In Food and Agriculture Organization of the United Nations, Pristina; FAO: Rome, Italy, 2014; p. 17. [Google Scholar]
- Liepiņš, J.; Lazdiņš, A.; Liepiņš, K. Equations for Estimating Above- and Belowground Biomass of Norway Spruce, Scots Pine, Birch Spp. and European Aspen in Latvia. Scand J. For. Res. 2018, 33, 58–70. [Google Scholar] [CrossRef]
- Ilic, J.; Boland, D.; McDonald, M.; Downes, G.; Blakemore, P. Woody Density Phase 1—State of Knowledge; NCAS Technical Report No.18; NCAS: Canberra, Australia, 2000; p. 218. [Google Scholar]
- Jagodziński, A.M.; Dyderski, M.K.; Gęsikiewicz, K.; Horodecki, P. Consequences of Different Sample Drying Temperatures for Accuracy of Biomass Inventories in Forest Ecosystems. Sci. Rep. 2020, 10, 16009. [Google Scholar] [CrossRef] [PubMed]
- R Core Team. R: A Language and Environment for Statistical Computing; R Foundation for Statistical Computing: Vienna, Austria, 2013. [Google Scholar]
- Weiskittel, A.R.; MacFarlane, D.W.; Radtke, P.J.; Affleck, D.L.R.; Temesgen, H.; Woodall, C.W.; Westfall, J.A.; Coulston, J.W. A Call to Improve Methods for Estimating Tree Biomass for Regional and National Assessments. J. For. 2015, 113, 414–424. [Google Scholar] [CrossRef]
- Dietz, P. Dichte Und Rindengehalt von Industrieholz. Holz Als Roh-Und Werkst. 1975, 33, 135–141. [Google Scholar] [CrossRef]
- Cīrule, D.; Alksne, A.; Lavnikoviča, I.; Antons, A.; Pavlovičs, G.; Dolacis, J. Comparison of the Physical Properties of Grey Alder (Alnus incana (L.) Moench) and Black Alder (Alnus glutinosa (L.) Gaertn.) Wood in Latvia and Elsewhere. Ann. Wars. Univ. Life Sci. For. Wood Technol. 2008, 63, 129–132. [Google Scholar]
- Miezīte, O.; Dreimanis, A. Investigations of Grey Alder (Alnus incana (L.) Moench) Biomass. In Proceedings of the Research for Rural Development 2006, International Scientific Cinference Proceedings, Jelgava, Latvia, 19–22 May 2006; pp. 271–275. [Google Scholar]
- Köster, K.; Metslaid, M.; Engelhart, J.; Köster, E. Dead Wood Basic Density, and the Concentration of Carbon and Nitrogen for Main Tree Species in Managed Hemiboreal Forests. For. Ecol. Manag. 2015, 354, 35–42. [Google Scholar] [CrossRef]
- Soge, A.O.; Popoola, O.I.; Adetoyinbo, A.A. Detection of Wood Decay and Cavities in Living Trees: A Review. Can. J. For. Res. 2020, 51, 937–947. [Google Scholar] [CrossRef]
- Johansson, T. Biomass Equations for Hybrid Larch Growing on Farmland. Biomass Bioenergy 2013, 49, 152–159. [Google Scholar] [CrossRef]
- Repola, J. Biomass Equations for Birch in Finland. Silva Fenn. 2008, 42, 605–624. [Google Scholar] [CrossRef]
- Lopes, O.P.; Zannato, B.; Barbosa, J.d.A.; Angeles, G.; Longui, E.L. Hydraulic Structure and Wood Density from Root to the Crown in in Three Native Brazilian Tree Species. Sci. Electron. Arch. 2022, 15. [Google Scholar] [CrossRef]
- Longui, E.L.; Galão, A.T.D.; Rajput, K.S.; de Melo, A.C.G. Anatomical Investigation of Root, Stem and Branch Wood in 10-Year-Old Inga Laurina in the Context of Anatomical Adaptation to Hydraulic and Mechanical Stresses. Anales Biología 2018, 40, 31–39. [Google Scholar] [CrossRef]
- Schuldt, B.; Leuschner, C.; Brock, N.; Horna, V. Changes in Wood Density, Wood Anatomy and Hydraulic Properties of the Xylem along the Root-to-Shoot Flow Path in Tropical Rainforest Trees. Tree Physiol. 2013, 33, 161–174. [Google Scholar] [CrossRef] [PubMed]
- Fan, Z.-X.; Zhang, S.-B.; Hao, G.-Y.; Ferry Slik, J.W.; Cao, K.-F. Hydraulic Conductivity Traits Predict Growth Rates and Adult Stature of 40 Asian Tropical Tree Species Better than Wood Density. J. Ecol. 2012, 100, 732–741. [Google Scholar] [CrossRef]
- Zanne, A.E.; Westoby, M.; Falster, D.S.; Ackerly, D.D.; Loarie, S.R.; Arnold, S.E.J.; Coomes, D.A. Angiosperm Wood Structure: Global Patterns in Vessel Anatomy and Their Relation to Wood Density and Potential Conductivity. Am. J. Bot. 2010, 97, 207–215. [Google Scholar] [CrossRef] [PubMed]
- Jacobsen, A.L.; Agenbag, L.; Esler, K.J.; Pratt, R.B.; Ewers, F.W.; Davis, S.D. Xylem Density, Biomechanics and Anatomical Traits Correlate with Water Stress in 17 Evergreen Shrub Species of the Mediterranean-Type Climate Region of South Africa. J. Ecol. 2007, 95, 171–183. [Google Scholar] [CrossRef]
- Houston Durrant, T.; de Rigo, D.; Caudullo, G. Alnus Incana in Europe: Distribution, Habitat, Usage and Threats. In European Atlas of Forest Tree Species; San-Miguel-Ayanz, J., de Rigo, D., Caudullo, G., Houston Durrant, T., Mauri, A., Eds.; Publications Office of the EU: Luxembourg, 2016; pp. 66–67. [Google Scholar]
- Houston Durrant, T.; de Rigo, D.; Caudullo, G. Alnus Glutinosa in Europe: Distribution, Habitat, Usage and Threats. In European Atlas of Forest Tree Species; San-Miguel-Ayanz, J., de Rigo, D., Caudullo, G., Houston Durrant, T., Mauri, A., Eds.; Publications Office of the EU: Luxembourg, 2016; pp. 64–65. [Google Scholar]
- Winter, H. Specific Gravity of Inner and Outer Beech Bark. Eur. J. Wood Wood Prod. 2020, 78, 413–416. [Google Scholar] [CrossRef]
- MacFarlane, D.W. Functional Relationships Between Branch and Stem Wood Density for Temperate Tree Species in North America. Front. For. Glob. Chang. 2020, 3, 63. [Google Scholar] [CrossRef]
- Dahle, G.A.; Grabosky, J.C. Variation in Modulus of Elasticity (E) along Acer platanoides L. (Aceraceae) Branches. Urban For. Urban Green 2010, 9, 227–233. [Google Scholar] [CrossRef]
- Tsai, C.-C.; Hung, L.-F.; Chien, C.-T.; Chen, S.-J.; Huang, Y.-S.; Kuo-Huang, L.-L. Biomechanical Features of Eccentric Cambial Growth and Reaction Wood Formation in Broadleaf Tree Branches. Trees—Struct. Funct. 2012, 26, 1585–1595. [Google Scholar] [CrossRef]
- Ramos-Rivera, J.; Rahardjo, H.; Tsen-Tieng, D.L.; Xuefeng, N.; King, F.Y. Mechanical Response of the Real Tree Root Architecture under Lateral Load. Can. J. For. Res. 2020, 50, 595–607. [Google Scholar] [CrossRef]
Disclaimer/Publisher’s Note: The statements, opinions and data contained in all publications are solely those of the individual author(s) and contributor(s) and not of MDPI and/or the editor(s). MDPI and/or the editor(s) disclaim responsibility for any injury to people or property resulting from any ideas, methods, instructions or products referred to in the content. |
© 2023 by the authors. Licensee MDPI, Basel, Switzerland. This article is an open access article distributed under the terms and conditions of the Creative Commons Attribution (CC BY) license (https://creativecommons.org/licenses/by/4.0/).