Next Article in Journal
Giving Voice to Tourists: Improving the Governance of Protected Areas through Tourists’ Perceptions and Expectations
Next Article in Special Issue
Evaluation of NASA’s GEDI Lidar Observations for Estimating Biomass in Temperate and Tropical Forests
Previous Article in Journal
Study on the Dormancy Characteristics of Chinese Pistache (Pistacia chinensis Bunge) Seeds
Previous Article in Special Issue
Satellite-Observed Spatio-Temporal Variation in Spring Leaf Phenology of Subtropical Forests across the Nanling Mountains in Southern China over 1999–2019
 
 
Font Type:
Arial Georgia Verdana
Font Size:
Aa Aa Aa
Line Spacing:
Column Width:
Background:
Article

Laser Caliper Reliability in Upper-Stem Diameter Measurements by Multiple Users

by
Cornel Cristian Tereşneu
1,
Ciprian Tudor
1,2 and
Maria Magdalena Vasilescu
1,*
1
Department of Forest Engineering, Forest Management Planning and Terrestrial Measurements, Transilvania University of Braşov, 500123 Braşov, Romania
2
Department of Forestry Research, National Institute for Research and Development in Forestry “Marin Drăcea”, 620018 Focşani, Romania
*
Author to whom correspondence should be addressed.
Forests 2022, 13(9), 1522; https://doi.org/10.3390/f13091522
Submission received: 5 July 2022 / Revised: 15 September 2022 / Accepted: 16 September 2022 / Published: 19 September 2022
(This article belongs to the Special Issue New Insights into Remote Sensing of Vegetation Structural Parameters)

Abstract

Considering the uncertainty of upper-stem diameter measurements and the fact that there are few studies on the accuracy of diameters using the Mantax Black caliper with Gator Eyes (Haglöf, Långsele, Sweden), the aim of this research is to check laser caliper reliability in upper-stem diameter measurements. The study was conducted in Parc Aventura Braşov (Romania), where a target tree was marked with visible signs at 1 m, 3 m, 5 m, 7 m, 9 m, and 13 m above the ground, and the diameters of the six sections were measured using a conventional caliper and climbing equipment. Later on, 14 forest mensurationists used a laser caliper to measure the diameters of the marked sections 13 m away from the tree, maintaining the direction of measurement. Each user performed repeated independent measurements of the upper-stem diameters, resulting in 14 data sets with 10 values for every section and a total number of 840 observations. Applying ANOVA for all the sections, we found that there are significant differences between the data sets collected by many users, and the pairwise t-test and the Benjamini-Hochberg method showed significant differences. Taking into account the analysis of the individual errors in measuring the upper-stem diameters using a laser caliper, we were able to identify the data sets affected by abnormal errors. By measuring the diameters along the stem up to 13 m above the ground using a laser caliper, one out of 2.4 measurements up to one out of approximately 1.5 was determined with an error below 2 cm. At heights above 5 m, a maximum of one out of five measurements was affected by errors above 4 cm. In addition, it was noted that there is generally a tendency to underestimate the upper-stem diameter and volume estimate when the laser caliper is used for the measurements. The absolute mean error varied between 1.46 cm and 2.52 cm along the stem and the root mean squared error varied between 1.84 cm and 3.04 cm. Nevertheless, general uncertainty about this subject remains, because if we measure upper-stem diameters without contact with the trunk, we will never know whether a single reading shows a negligible error to be used for calibrating taper equations or for increasing volume estimation accuracy. Consequently, we recommend that when used for this purpose, diameters should be measured several times, by experienced users who have proven their skill in measurements that yield smaller errors.

1. Introduction

Over time, two types of tools for measuring tree diameters have been defined in forestry, which entail either contact with the tree or remote measurements, without contact with the tree [1]. Traditionally, foresters have used contact tools, such as conventional calipers and diameter tapes. The last decades have witnessed an increase in the development of tools for diameter measurement that do not require contact with the tree stem, which were designed based on caliper and rangefinder principles [1]. Noncontact dendrometers include optical calipers, rangefinder dendrometers, and optical forks. Usually, to estimate complex characteristics of trees or forest stands, the diameter at breast height is measured, and to increase accuracy, some mathematical models include an upper-stem diameter as a predictor. Measuring diameters along the stem at great heights above the ground can be extremely difficult without noncontact devices, as the conventional caliper can be used thusly only together with climbing equipment and by specialized personnel.
This is why alternative methods which combine various measuring techniques have been sought. For example, Crosby et al. [2] evaluated the feasibility of measuring upper-stem diameters from photos, using a hand-held camera 10 m away from the tree, and they found accurate and precise estimates. More recently, Rodríguez-García et al. [3] estimated breast height diameters and upper-stem diameters from stereoscopic hemispherical images of trees located at distances ranging from 0 to 15 m away from the device. Additionally, Perng et al. [4] proposed the stereoscopy method based on two spherical panoramas taken at a known distance directly on top of each other to measure the diameter at breast height and upper-stem diameters at 2 m and 3 m above the ground.
Recent advancements in laser technology have enabled the accurate measurement of upper-stem diameters [5]. Kalliovirta et al. [6] tested the laser-relascope, a combination of a relascope and a dendrometer, which uses distance and angle to determine the diameter of a tree, under typical forest conditions. In 2006, Henning and Radtke used a laser scanner to acquire data for measurement and three-dimensional modeling of standing trees [7]. Terrestrial laser scanning (TLS) can be used to obtain stem curves of standing trees [8] and it is also recommended in forest inventory because measurements can acquire millimeter-level of detail [9]. Lovell et al. [10] proposed a method for measuring the diameter of tree stems in a forest using the intensity of returns from a scanning light detection and ranging (LIDAR), for a high proportion of trees, even for trees that are partially obscured from view. Vastaranta et al. [11] compared the accuracy in treewise field measurements with different laser-based methods in practice such as a laser-relascope, a laser-camera, and a TLS, and found a standard error in breast height diameter measurements which is similar to the last two methods.
In a simpler fashion, breast height diameters and upper-stem diameters can be measured using a laser caliper or a smartphone app. Weaver [12] compared laser caliper measurements collected at distances up to 12 m from each tree to contact caliper measurements and emphasized the fact that forest characteristics and measurement distance may play a role in remote diameter measurement accuracy. In addition, Ucar et al. [13] compared direct caliper measurements to the remote measurements collected from a laser caliper and a smartphone at distances of 0.5 m, 1.0 m, and 1.5 m from each tree and found that all the remote dendrometers underestimated the mean diameter compared to the direct caliper measurements, regardless of forest types and distances. TRESTIMATM, a smartphone app for forest sample plot measurements was evaluated by Vastaranta et al. [14]. The app can estimate forest inventory attributes, including the diameter of the basal area median trees, based on imagery collected from the sample plots using the camera in the smartphone.
Moreover, upper-stem diameters can be estimated based on form quotients values and by measuring breast height diameter. For many years, upper-stem diameters could be predicted at any height along the stem from taper equations derived from stem analysis data, using the standing tree measurements of the breast height diameter and the total tree height. However, there is a limitation in the use of such models to estimate upper-stem diameters for trees from other populations [15]. A segmented taper equation based on two inflection points of the stem improved diameter predictions along the stem [16]. Poudel et al. [17] evaluated the performance of five different taper equations in estimating upper-stem diameters for Douglas-fir trees and found that variable-exponent taper equations performed better in terms of root mean squared errors than a simple polynomial taper equation. The ability of variable-exponent taper equations can also be improved by an additional upper-stem diameter measurement [18].
Upper-stem diameters have been used in the last decades for calibrating taper equations with a view to modeling a more exact stem profile for a given tree [19]. Trincado and Burkhart [20] used upper-stem diameter measurements to estimate random effects parameters using an approximate Bayesian estimator, a method that can increase taper equation flexibility in the prediction of profile curves for trees growing under different site and management conditions. Thus, they improved the predictive capability of the taper equation, mainly in the lower portion of the bole [20]. Cao and Wang [21] confirmed that an additional upper-stem diameter measurement clearly helped improve the diameter estimate of a taper equation. Furthermore, different taper models that included an upper-stem diameter as an additional tree-level predictor were compared to taper models with breast height diameter and total height as tree-level predictors. Sabatia [22] demonstrated that a taper equation that included an upper-stem diameter measured at half the distance between breast height and the tree tip led to the most accurate estimations of the stem diameters, and the greatest decreases in the diameter estimation errors occurred in the upper half of the tree bole.
The importance of an accurate measurement or estimation of upper-stem diameters lies in the possibility of using taper functions to predict total stem volume and merchantable volume [16] up to various upper stem diameters [23] or using a wide variety of current and future merchantability standards, under different rules for scaling wood volume [15]. The introduction of upper-stem diameter as a third variable can gain the efficiency of merchantable height and volume estimation for a given tree [19]. Last but not least, equations for estimating tree volume have been elaborated according to three variables, i.e., total tree height, diameter at breast height, and upper-stem diameter. For example, the best Finnish national allometric volume equations use diameter at a height of 6 m as a predictor [8].
Many upper-stem diameters are of interest for the estimation of various tree and forest stand characteristics. A diameter at 3/10 of the tree height was used to estimate individual stem volume [24,25] and the median diameter of the stem profile area [26]. For the greatest improvement of the variable-exponent taper equations, the additional upper-stem diameter should be measured between 4/10 and 5/10 of the height above breast height [18]. Measurement of the midpoint upper-stem diameter can be utilized for optimum gains in the accuracy of diameter estimates along the stem by calibrating taper equations [5,21]. For the same reason, Sabatia and Burkhart [27] investigated upper-stem diameters measured at 3/10–7/10 and 2/10–8/10 of the tree height for loblolly and radiata pine, respectively, and diameters at the absolute heights of 5.3 m and 6.0 m. They identified the upper-stem diameters measured at 6/10 of the total height as the best for localizing the segmented taper equations to new trees [27].
On the other hand, the measurement errors in upper-stem diameters and in their heights along the stem affect the precision and bias of the estimates [18]. Bell and Groman [28] found that the upper-stem diameters determined by the Barr and Stroud FP12 optical dendrometer are highly accurate under field conditions and they underlined that the volume growth of the upper stem can be accurately estimated on standing trees by making repeated measurements after long intervals. Preliminary tests for the accuracy of a prototype version of the Criterion dendrometer showed that the instrument measured diameters accurately, but not heights [29]. The reliability in measuring upper-stem diameters up to 11.0 m in height was tested for the Barr and Stroud FP15 and Criterion 400 dendrometers by Williams et al. [30] and they concluded that as the distance increased, the variability of the stem diameter measurements increased for both instruments. At the same time, Parker and Matney [31] found that Criterion 400 and Tele-Relaskop produced the smallest mean differences in diameter measurements at 1.3 m and 5.0 m above the ground in contrast to Wheeler Pentaprism. The use of the Criterion RD1000® optical dendrometer as a non-destructive approach is efficient for measuring upper-stem diameters up to 13.3 m in height [32]. Stenman [33] studied the performance of this dendrometer for measuring breast height diameter and diameter at 6 m above the ground as a possibility to replace the use of the parabolic caliper in forest inventory activities. The instrument presents certain limitations, mainly influenced by stand characteristics and the instrument’s operability [32]. McCaffery et al. [34] evaluated the performance of using various hand-held tools for measuring upper-stem diameters at 1/3 and 6/10 of the total tree height and they recommended True Pulse 360 to be used by experienced and inexperienced users. Furthermore, Cao [5] emphasized that laser technology instruments can be used for outside-bark diameter measurements required to calibrate the results from a taper equation.
The effects of measurement errors in upper-stem diameters on stem volume cannot be overlooked. Using Criterion RD1000® and True Pulse in a non-destructive manner for estimating the volume of standing trees and developing merchantable equations, Rodriguez et al. [35] found no clear advantage of the destructive methods. Arias-Rodil et al. [36] recommended the use of an upper-stem diameter considering the increase of the stem volume estimate accuracy, mostly up to 7–10%. The error in measurement of the upper-stem diameters makes the greatest contribution to the total uncertainty of the stem volume estimates [24]. The uncertainty of the upper-stem diameter measurements at 5.27 m above the ground using the Criterion RD1000® dendrometer and the Haglöf caliper equipped with Gator Eyes was propagated through a taper model into estimates of individual-tree volume [37]. Westfall et al. [37] pointed out that field measurements are preferable to taper predictions when zero or very small deviations occur in field measurements. The relationship between the measurements of stem diameter and their implications for tree- and stand-level errors were studied by Paul et al. [38] through repeated measurements of individual trees across various stands. They found that the shape and size of the trees, as well as the stem height at which the measurement was taken influenced slightly and significantly the diameter errors. Moreover, the uncertainty of the individual stem volume estimates is not as important for the nationwide assessments of growing stock volume, but it is relevant for assessing the accuracy of remote sensing applications [24].
Westfall et al. [37] highlighted that there is a tendency to be over-optimistic in the accuracy of field measurements. They recommend the use of unbiased model predictions for upper-stem diameters when systematic field measurement deviations exceed ±0.2 cm [37]. Nevertheless, upper-stem diameter measurement is expensive and has a relatively high standard deviation [24] compared with breast height diameter measurement based on traditional data collection, a case in which Luoma et al. [39] found no statistically significant differences between the independent measurements taken by four individual users. Taking into account that there are few studies on the accuracy of upper-stem diameters using a laser caliper, this research aims to check laser caliper reliability in upper-stem diameter measurements. The objectives of the research paper were the following: (i) collecting repeated measurements of upper-stem diameters using a laser caliper by many users; (ii) analyzing the variation of the data and the measurement errors of the upper-stem diameters using a laser caliper; (iii) studying the variation in the errors of volume estimates among users.

2. Materials and Methods

2.1. Data Collection

The study was conducted in Parc Aventura Braşov which was designed for outdoor sports, in a natural beech stand located near the Noua neighborhood in Braşov city (Romania). Firstly, the study tree was chosen, namely, a Fagus sylvatica L. individual (GPS coordinates: 45°36′48.1968″ N and 25°38′11.2272″ E), selected so that it could be pruned, equipped with a platform to allow climbing, and so that the surrounding vegetation could ensure visibility at least in one direction to measure the upper-stem diameters using a noncontact caliper. The target tree (Figure 1) has a breast height diameter of 40.8 cm and a total height of 27.6 m, and at 11 m above the ground, it has a platform set over a stem protector to avoid damaging the tree through the existing thematic routes. Specialized personnel of the park, authorized to work at heights, made visible marks on the tree stem in the chosen direction of measurement using blue chalk to highlight the stem sections located at 1 m, 3 m, 5 m, 7 m, 9 m, and 13 m above the ground. The stem section 11 m above the ground was excluded from the study due to the impossibility to measure because of the equipment attached to the tree. Initially, the heights were measured using tape and later on verified using Nikon Forestry Pro (Nikon Vision, Tokyo, Japan) and Vertex IV (Haglöf, Långsele, Sweden). The upper-stem diameters were measured at the marked heights, on the established direction of measurement, with an accuracy of 1 mm using a conventional caliper, a contact instrument. These values of the upper-stem diameters were considered true values in the calculation of the errors of measurement of the diameters along the stem using a laser caliper.
Later, using a Mantax Black caliper with Gator Eyes (Haglöf, Långsele, Sweden), without knowing the true values of the diameters along the stem, 14 forest mensurationists (U1–U14) measured the upper-stem diameters of the marked sections 13 m away from the tree, maintaining the direction of measurement (Figure 1). The 13 m distance between the users and the tree was established taking into account the maximum height of the section where the upper-stem diameter was measured. The direction of measurement of the upper-stem diameters using contact and noncontact instruments was maintained in order not to introduce errors caused by the deviation of the shape of the cross-section in relation to the shape of the circle, similar to the methodology applied by McCaffery et al. [34]. Each user performed repeated independent measurements of the upper-stem diameters, resulting in 14 data sets with 10 values for every section, with a total of 84 data sets. In the studied sections of the upper-stem diameter, 140 measurements were made using a laser caliper, resulting in a sample size of 140 observations. This way, the large number of repetitions supported by the knowledge of the true values of the upper-stem diameters allows a pertinent determination of the diameter measurement error. This study is based on a total number of 840 measurements of the upper-stem diameter made using a laser caliper at the level of six sections whose heights reach up to 4.8/10 of the total tree height. The results of the measurements were read with an accuracy of 1 mm from the laser scale, specially printed on the Mantax Black caliper. Generally, each individual remote caliper measurement allows up to 30 s [12].

2.2. Data Analysis

To achieve the second objective of the study, the Shapiro-Wilk and d’Agostino-Pearson tests were chosen to verify the normality of each of the 84 data sets. This double-check was applied to the cases where the presence of outliers was detected, due to the fact that it may account for a non-normal result. Next, to analyze the variation of the data collected by and between the users, ANOVA was applied for each stem section, considering 14 groups assimilated to the 14 data sets of diameters taken by users at each stem section. By using ANOVA, we tested the null hypothesis (H0: All the diameter means obtained by the users for a stem section are equal). When the ANOVA results showed a p-value < 0.05, the null hypothesis was rejected, and we could conclude that there were significant differences between the groups.
Furthermore, the Pairwise t-test and the Benjamini-Hochberg method were applied to find all the significant differences between the groups including the data sets of stem diameters at 1 m, 3 m, 5 m, 7 m, 9 m, and 13 m above the ground, measured by all 14 users. At the 95% significant level, there is a significant difference between the groups when the p-value < α.
In this stage, we could not exclude (drop out) the outliers because we knew that each measurement was affected by errors, and the mean diameters of the stem sections as well. Therefore, the analysis of the performance when a laser caliper was used to measure the upper-stem diameters should be conducted by error analysis. As such, the individual errors made by the operators in measuring the upper-stem diameters in each studied section were calculated. The error (Ed) was computed as a difference between the stem diameter measured with a noncontact (laser) caliper (dNC) and the true diameter taken with a contact (conventional) caliper (dC) in the studied sections (Equation (1)).
E d = d N C d C
Additionally, the error histogram was analyzed for each upper-stem diameter, with a view to studying the frequency of errors grouped into categories of 1 cm.
For gaining knowledge of measurement errors, the mean error (MEd) and the root mean squared error (RMSEd) were calculated by measuring the upper-stem diameters using a laser caliper (Equations (2) and (3)) for each data set and all samples of the stem sections.
M E d = 1 n ( d N C d C )
R M S E d = ± ( d N C d C ) 2 n
In Equations (2) and (3), n represents the size of the data set (10) or the sample size (140) of each stem section. For an objective analysis, the error of measurement of the upper-stem diameter was quantified using the absolute mean errors (AMEd) (Equation (4)).
A M E d = 1 n | d N C d C |
The data analysis from both perspectives allowed in the end, to identify the data sets in which the users recorded significant differences as opposed to many other users in the study, as well as the abnormal values of the stem diameters, with absolute errors of the diameters above 4 cm. These abnormal data sets were dropped out, and the error computation was repeated.
To achieve the third objective of this study, the volume of the stem part below the section of 10 m (v10) was estimated by applying Huber’s formula (Equation (5)) using stem diameters at 1 m, 3 m, 5 m, 7 m, and 9 m above the ground (d1, d3, d5, d7, and d9), comprised from sections of 2 m in length.
v 10 = v i = l × g i = l × 0.785 × d i 2 = 0.785 × l ( d 1 2 + d 3 2 + d 5 2 + d 7 2 + d 9 2 )
where vi are the volumes of the sections, l is the section length, and gi is the cross-sectional areas at 1 m, 3 m, 5 m, 7 m, and 9 m above the ground.
Next, to analyze the variation of the volume estimates by and between the users, ANOVA was also applied, considering 14 groups assimilated to the 14 data sets of partial volumes estimated by users. By using ANOVA, we tested the null hypothesis (H0: All the volume means obtained by the users are equal). The Pairwise t-test and the Benjamini-Hochberg method were also applied to find all the significant differences between the groups including the data sets of partial volumes estimated by all 14 users.
Thus, for analyzing how individual errors made by the operators in measuring the upper-stem diameters using a laser caliper reflect on partial stem volume, individual volume errors were calculated. The volume error (Ev) was computed as a difference between the partial stem volume estimated with Huber’s formula when using a noncontact caliper (vNC) and the true partial stem volume estimated with Huber’s formula when using a contact caliper (vC) (Equation (6)).
E v = v N C v C
Finally, the mean error of the volume estimates (MEv), the absolute mean errors of the volume estimates (AMEv), and the root mean squared error of the volume estimates (RMSEv) were calculated to synthesize the diameter errors’ impact on the volume of the stem part below the section of 10 m. MEv, AMEv, and RMSEv were computed for each user and for all users also, using Equations (2)–(4) in which diameters were replaced with volume estimates.

3. Results

Almost all the data sets were normal (78 out of 84), except the measurements taken by user 2 at the section height of 9 m and by user 7 at the section height of 1 m according to the Shapiro-Wilk test, but confirmed to be normal by the d’Agostino-Person test, and by user 5 at the section heights of 7 m and 13 m, by user 6 at the section height of 13 m and by user 12 at the section height of 7 m according to the d’Agostino-Person test, and also, confirmed to be normal distributed by the Shapiro-Wilk test. Within the diameter data sets collected by the users, the coefficient of variation ranged from 0.82% to 4.33% at a height of 1 m, from 0.93% to 5.90% at a height of 3 m, from 0.76% to 6.15% at a height of 5 m, from 1.23% to 4.84% at height of 7 m, from 1.23% to 7.26% at height of 9 m, and from 0.90% to 6.72% at height of 13 m, respectively.
By cumulating the measurements made by the users into a sample for each studied section, six samples of 140 observations resulted, characterized in the data in Table 1.
It is noticeable that both at the data set level as well as at the sample level, there is an increase in the variation of the measurements taken using a laser caliper in proportion to the height. The coefficient of variation of the upper-stem diameter in the repeated measurement of the same section has the lowest value at 1 m above the ground and it increases at heights greater than 5 m by approximately 8–9%. This means that more measurements are necessary when using a laser caliper to measure upper-stem diameters at heights greater than 5 m.
By applying ANOVA for all the sections of the stem diameter measurements, the results showed that p-value < 0.05, so we rejected the null hypothesis and concluded that there are significant differences between the data sets collected by many users (Table 2). Not all 14 users obtained the same mean diameter of the studied sections along the stem, even though the variances were not the same. These results were confirmed by the Kruskal-Wallis test.
Next, by applying the pairwise t-test and the Benjamini-Hochberg method, significant differences between the data sets of the stem diameters measured by 14 users in the studied sections were found. The significant comparisons are shown in Appendix A, Table A1, Table A2, Table A3, Table A4, Table A5 and Table A6. The data sets of the diameters were analyzed in pairs for each stem section, resulting in 91 mean diameter differences between users. Except for 37 pairs out of 91 at a height of 1 m, 27 pairs out of 91 at a height of 3 m, 17 pairs out of 91 at a height of 5 m, 15 pairs out of 91 at a height of 7 m, 14 pairs out of 91 at height of 9 m, and 24 pairs out of 91 at height of 13 m, respectively, the differences between the mean diameters computed by each user were significant.
The comparisons showed mean diameter differences higher than 4 cm with a frequency between pairs of 1.09%, 15.38%, 26.37%, 37.36%, 31.86%, and 25.27% in the cases of the stem sections at 1 m, 3 m, 5 m, 7 m, 9 m, and 13 m, respectively.
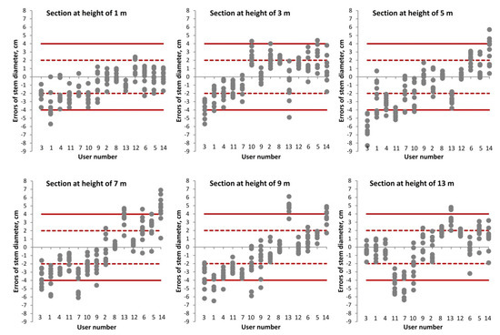
In the following stage, the errors recorded by the users in measuring the upper-stem diameters were calculated, taking into account the true size of the upper-stem diameters measured using a conventional caliper and climbing equipment. Figure 2 shows the results of applying Equation (1) to all the diameters measured with a laser caliper, according to the users and the sections along the stem.
The analysis of the individual errors made by the operators in measuring the diameters using a laser caliper shows a better grouping of the point cloud around the horizontal axis when measuring the upper-stem diameter at 1 m height. Additionally, it is noticeable that at heights greater than 5 m, there is a higher chance of occurrence of individual errors above 4 cm. Thus, the analysis of the frequency of individual errors of diameters according to the measurement level becomes interesting and useful in formulating the conclusions. By including the individual errors into classes of errors of 1 cm, the histograms presented in Figure 3 resulted in the studied sections along the stem.
We observe that by using a laser caliper, the chance to underestimate the upper-stem diameters by 1 cm is 22.14% in the case of the section at 1 m above the ground, 19.29%, and 15.00% in the cases of the sections at 13 m and 5 m, respectively. At the heights of 3 m, 7 m, and 9 m, the negative errors of 1 cm had a lower than 12.86% frequency. At the same time, the chance to overestimate the upper-stem diameters by 1 cm is 20.00% in the case of the section at 1 m above the ground and 19.29% in the case of the section at 5 m. At the heights of 3 m, 7 m, 9 m, and 13 m, the positive errors of 1 cm had a lower than 13.57% frequency.
Furthermore, the frequency of errors below 2 cm was 69.29%, 55.71%, 49.28%, 42.14%, 45.00%, and 65.00% in measuring the upper-stem diameters at 1 m, 3 m, 5 m, 7 m, 9 m, and 13 m above the ground, respectively. We can state that in the section starting from 1 m high, one out of 2.4 measurements using a laser caliper was determined with an error below 1 cm and one out of approximately 1.5 measurements was determined with an error below 2 cm. On the other hand, the frequency of errors above 4 cm in measuring the diameters using a laser caliper was 2.86%, 5.72%, 21.43%, 17.15%, 20.00%, and 12.86% at 1 m, 3 m, 5 m, 7 m, 9 m, and 13 m above the ground, respectively. This implies that when using a laser caliper, one out of 35 measurements of the diameter at 1 m above the ground, and one out of 17.5 measurements of the diameter at 3 m above the ground, respectively, had an error above 4 cm. Referring to the measurement of the upper-stem diameter at heights greater than 5 m, maximum 1 out of 5 measurements was affected by errors above 4 cm. Considering all the negative and positive errors, the frequency to underestimate is higher than the frequency to overestimate the upper-stem diameters at 1 m, 5 m, 7 m, and 9 m above the ground. From all 840 upper-stem diameter measurements, 58.10% were underestimated.
The results obtained by using ANOVA followed by the pairwise t-test and the Benjamini-Hochberg method on the one hand, and by analyzing the individual errors in measuring the upper-stem diameters using a laser caliper, on the other, have allowed for highlighting the data sets affected by abnormal errors. Initially, it was not possible to attribute the label of abnormal values to the data sets that showed significant differences which were collected by different users, in order to avoid the exclusion of the data sets that proved more accurate. Furthermore, an outlier was identified once in the analysis of the 84 data sets collected by the 14 users, while the presence of outliers was rare in the analysis of the six samples with 140 observations each. That is precisely why the abnormal data sets were identified only after identifying the errors of measurement of the diameters, and the decision to exclude them from the six samples was taken. Table 3 indicates the data sets of the stem diameter measurements proposed for exclusion, as well as their characteristics.
After the exclusion of the data sets from the sample, indicated in Table 3, the size of the sample decreased to 130 observations at the height of 3 m, 120 observations at the heights of 7 m and 13 m, and 110 observations at the heights of 5 m and 9 m, respectively. The descriptive statistics of the upper-stem diameters for the new samples are shown in Table 4.
As expected, at the level of the samples from the studied sections, the exclusion of the abnormal data sets caused a decrease in the variation of the measurements made using a laser caliper. This is visible by decreasing the standard error of the mean, as well as the standard deviation and the coefficient of variation. For example, at 5 m, 9 m, and 13 m above the ground, the standard deviation of the measurements decreased by more than 0.5 cm, and consequently, the coefficient of variation decreased as well, by more than 2%, thus increasing the reliability of the measurements.
Afterward, by applying Equations (2)–(4) for the six samples before and after the exclusion of the abnormal data sets, MEd, AMEd, and RMSEd were obtained (Table 5).
We can observe that generally there is a tendency to underestimate the upper-stem diameter when a laser caliper is used. This idea is supported by the mean error values both for the original samples, as well as for the samples without abnormal data sets. The absolute mean error varied between 1.46 cm and 2.52 cm along the stem in the case of the original samples and its values seem to increase in relation to the height, except for the section marked at 13 m. The root mean squared error varied between 1.84 cm and 3.04 cm for the original samples and showed a tendency to increase with height, except for the case of the section marked at 13 m. After the exclusion of the abnormal data sets, both AMEd and RMSEd had smaller values compared with the original samples, but they remained at sizes that denote the existence of uncertainty in measuring the upper-stem diameters using a laser caliper.
If the section height was not taken into account, MEd of all the 840 repeated measurements of the upper-stem diameter using a laser caliper was −0.59 cm, and by excluding the abnormal data sets, −0.57 cm, indicating an average underestimation of measuring the diameter of approximately 6 mm. Under the same conditions, AMEd was 2.11 cm, 1.77 cm, respectively, and RMSEd was 2.62 cm, 2.19 cm, respectively.
Finally, by applying Equation (5) the true volume of the stem part below the section of 10 m was 0.974 m3 which represents approximately 65.73% of the total stem volume according to volume tables. Table 6 exhibits descriptive statistics of the volume estimates when the laser caliper was used for measuring upper-stem diameters.
By applying ANOVA for all the volume estimates, the results showed that p-value < 0.05, so we rejected the null hypothesis and concluded that there are significant differences between the mean volumes estimated by many users (Table 7). Not all 14 users obtained the same mean volume of the studied tree.
Next, by applying the pairwise t-test and the Benjamini-Hochberg method, significant differences between the means of the partial stem volume computed by 14 users were found. The significant comparisons are shown in Appendix A, Table A7. The means of the partial stem volume were analyzed in pairs, resulting in 91 mean volume differences between users. Except for 10 pairs out of 91, the differences between the mean volumes computed by each user were significant. The comparisons showed a mean volume difference higher than 0.1 m3 with a frequency between pairs of 51.65%.
Figure 4a shows the variation of the individual errors of volume estimates and it reflects how individual errors made by the operators in measuring the upper-stem diameters using a laser caliper influenced the accuracy of the partial stem volume depending on users. The frequency of errors below 5% was only 32.14% in estimating partial stem volume when using a laser caliper, respectively 55.71% in the case of errors below 10% (Figure 4b). On the other hand, the frequency of errors above 20% in estimating the volume using a laser caliper and Huber’s formula was 5.71%. This implies that when using a laser caliper, one out of 17.5 volume estimates had an error above 20%. Considering all the negative and positive errors, the frequency to underestimate is higher than the frequency to overestimate the volume. From all 140 volume estimates, 52.86% were underestimated.
Table 6 reveals MEv, AMEv, and RMSEv values for each user respectively for all users also. The mean error of the volume estimates varied between users from −0.192 m3 (−19.71%) to 0.137 m3 (14.06%). There are users who overestimated the partial stem volume and users who underestimated the volume in a higher measure. Taking into account all users MEv was −0.033 m3, representing −3.31%. The absolute mean errors of the volume estimate varied between users from 0.020 m3 to 0.192 m3 and the root mean squared error of the volume estimates varied from 0.025 m3 to 0.194 m3. Considering all users AMEv was 0.091 m3, representing 9.39% and RMSEv was 0.110 m3, representing 11.27%.

4. Discussion

As many know, any measurement of the stem diameter is affected by errors caused by the instruments used, by the operators, or the deviation of the shape of the stem cross-section from the circular form. When upper-stem diameters are measured, the factors listed before are added to the influence of the error of measurement of the section height. Accepting the notion of a diameter of stem cross-section implies that we assimilate the shape of the cross-section to the shape of the circle. However, two consecutive measurements of the diameter of a given section will be different, even in the case when the same operator performs independent measurements using a contact instrument, maintaining the direction of measurement. What is more, two users that measure the diameter of the same section using a conventional caliper will record different values, even if the section is marked with a visible sign painted on the tree. Certainly, in the case of using a conventional caliper to measure the stem diameter at heights accessible to the operator, the variation of the repeated measurements is smaller compared with the use of noncontact instruments at great heights. For instance, Luoma et al. [39] found a standard deviation of 0.3 cm in measuring the breast height diameter using a contact caliper for 319 trees by four trained mensurationists. Our study which involved 14 mensurationists to measure the stem diameters using a laser caliper resulted in a standard deviation of 1.56 cm in the section from 1 m and between 2.25 cm and 2.93 cm for the sections ranging between 3 m and 13 m. Consequently, the increase in the variation of the values resulting from the size of the same diameter measured using a laser caliper is related to a certain degree of uncertainty or unreliability in the resulting values. The reading error of the upper-stem diameters on the instrument scale is not higher than 1 mm, but the largest component of the error is the subjectivity of the operator in estimating the tangent between the two laser points and the tree stem in the section targeted for diameter measurement.
Weaver et al. [40] used a laser caliper to measure breast height diameter at 1.37 m above the ground from distances up to 12 m from each tree and showed that most of the errors in diameters were <0.8 cm in measuring from distances <6 m. By measuring diameter at 1 m above the ground 13 m away from the tree, our study identified 42.14% of cases where the errors were <1 cm, and for 69.29%, the errors were <2 cm. Furthermore, based on the research performed on 3 forest types, Ucar et al. [13] observed that the absolute mean error of breast height diameters collected using a laser caliper from smaller distances from the tree (0.5 m, 1.0 m, and 1.5 m) was 1.0 cm–1.4 cm. The results are comparable with the ones we found when using a laser caliper to measure the section diameter at 1 m above the ground in which AMEd was equal to 1.46 cm. Moreover, Ucar et al. [13] outlined that the laser caliper measurements showed a noticeably larger amount of variation in diameter values than the smartphone measurements.
The manufacturer recommends using a laser caliper both for measuring tree diameters from a distance when there are obstacles to reaching a tree, as well as for measuring upper-stem diameters and branch sizes without having to climb [41]. In most cases, the errors in the diameters measured with a laser caliper were studied when the breast height diameter was measured from various distances, due to the ease of determining the true values in this section. Our study quantified the errors in measuring upper-stem diameters using a laser caliper, and in what follows, the results are discussed in relation to the performance of other noncontact instruments used in measuring diameters along the stem.
Using the stereoscopy method, Perng et al. [4] found an MEd ranging from −18.28 cm to 0.87 cm in the cases of upper-stem diameters at 3 m higher than 40 cm and ranging from −0.94 cm to −0.05 cm for diameters lower than 40 cm. Their results indicate a tendency to underestimate diameters through this method, which is highlighted in our study as well, relative to the use of a laser caliper. Moreover, by using stereoscopic hemispherical images to estimate upper-stem diameters, Rodríguez-García et al. [3] identified a clear relationship between the height of the stem sections and the accuracy of the diameter estimation. They noticed that as the section for which the diameter is estimated is lower, the accuracy of estimating the diameter is higher. In addition, the probability of interference with foliage and branches is higher in the upper part of the stem [3]. The results in our study for AMEd and RMSEd also confirm this conclusion in the case of using a laser caliper to measure upper-stem diameters at heights up to 9 m. At 13 m height, the results were better as opposed to the lower sections, and the errors were comparable with those obtained for the sections 1 m and 3 m above the ground. We cannot fully justify this fact, but as observed while collecting the data, there might have been irregular measuring conditions along the stem from the point of view of light. The intensity of natural light during the daytime, the Sun’s position in relation to the studied tree stem and to the neighboring trees, and the chosen direction of measurement varied. Nevertheless, based on the correlation analysis between the light conditions and the remote measurement accuracy performed by Weaver et al. [40], the light conditions were not significantly correlated with the accuracy in diameter measurements at breast height.
Using Criterion RD1000® for upper-stem diameter measurements, Bizatti et al. [32] observed a tendency for overestimation. They found an MEd value of 3.87 cm and 5.21 cm in the case of measuring the upper-stem diameter at heights lower than 7.3 m, and at heights ranging between 7.3 m and 13.3 m, respectively. Our study indicated an underestimation, in general, of the stem diameter, measured using a laser caliper, at heights up to 13 m above the ground, and the MEd value which indicated the highest mean error was −1.19 cm. This comparison makes the use of the laser caliper feasible for measuring upper-stem diameters. Furthermore, we found AMEd values that range between 1.46 cm and 2.52 cm in measuring the stem diameters up to 13 m using a laser caliper, while Bizatti et al. [32] reported an AMEd value of 6.61 cm, and 7.68 cm, respectively, in measurements of stem diameters at heights up to 7.3 m and between 7.3 m and 13.3 m, respectively, made using Criterion RD1000®. Stenman’s study [33] emphasized the fact that measuring the diameter at 6 m above the ground using Criterion RD1000® resulted in errors differentially, depending on species. The author found MEd values of 0.19 cm, 0.20 cm, and −0.25 cm, and RMSEd values of 1.29 cm, 1.79 cm, and 2.30 cm, in the case of Scots pine, Norway spruce, birch, and other species, respectively. In contrast, at heights of 5 m and 7 m above the ground, our study which used a laser caliper to measure the stem diameter of beech indicated higher values of MEd and RMSEd.
By taking into account a wider range of tools for measuring upper-stem diameters, we can compare our results obtained after using a laser caliper with those obtained by Parker and Matney [31]. They reported MEd values of −0.61 cm, 0.48 cm, and −1.32 cm in measuring the stem diameter at 5 m above the ground using the tools Criterion 400, Tele-Relaskop, and Wheeler Pentaprism, respectively. Our research indicated an MEd value of −1.19 cm for the section at 5 m for the original sample and −0.88 cm for the sample without abnormal data sets. On the other hand, Williams et al. [30] found an MEd value of 0.34 cm in measuring the upper-stem diameters at heights up to 11 m using Barr and Stroud FP15 and 0.12 cm using a Criterion 400 dendrometer. The measurements made in our study, using a laser caliper along the stem up to 13 m above the ground, are characterized by an MEd value of −0.59 cm. By using a laser-relascope, the diameters at breast height were overestimated by 0.13 cm, while the standard error of measurements was 0.82 cm [6]. Similar results regarding the standard error in measuring the basal diameter were obtained by Vastaranta et al. [11] after using a TLS, a laser-relascope, and a laser camera. Using LIDAR, Lovell et al. [10] found an MEd value of 4.3 cm at breast height in a site where the diameter range was 7 cm–86 cm. What is more, Henning and Radtke [7] derived upper-stem diameters up to 13 m using a TLS, and their results showed an MEd value smaller than 1 cm for sections below the base of the live crown. Additionally, based on TLS, Liang et al. [8] realized stem curves, with RMSEd values of approximately 1 cm.
Our study showed that when a laser caliper was used for measuring upper-stem diameters, 5 (U2, U8, U9, U12, and U13) out of 14 experienced users produced volume estimates of the stem part below the section of 10 m which return MEv, AMEv and RMSEv values lower than 0.05 m3 (5%). Among volume estimates, only 32.14% reflected individual errors lower than 5%. The findings of this research article are very important, especially in the process of verifying the quality of volume measurements in practice and in research projects.
Finally, the accuracy in upper-stem diameter measurements at heights up to 13 m above the ground using a laser caliper proved to be similar in many situations, to the one that resulted after using other noncontact instruments. Furthermore, the training of the users regarding the laser caliper for measuring stem diameters is much simpler. Still, general uncertainty concerning this subject remains, because non-contact with the trunk in measuring upper-stem diameters, will not allow us to know whether one reading has a negligible or admissible error to be used for the calibration of taper equations or for increasing the volume estimation accuracy. For errors above 4–5%, the volume precision gained by measuring an upper-stem diameter is not worth the effort in the field which first presupposes locating the section and then measuring the stem diameter [36]. That is why we recommend that when aimed for this use, diameters should be measured multiple times, by experienced users who have proven their skill in measuring with smaller errors.

5. Conclusions

The research performed over time to estimate the measurement accuracy of upper-stem diameters using various noncontact instruments has shown that in general, there is uncertainty regarding the measurements, which questions their use for increasing the estimation precision of certain dendrometric characteristics. Our results indicate the fact that when skilled mensurationists use a laser caliper, one out of 2.4 up to one out of approximately 1.5 measurements of the upper-stem diameter at heights up to 13 m presented an error below 2 cm. Errors above 4 cm recorded in measuring the stem diameter at heights of 1 m or 3 m were accidental, and at heights of over 5 m, they were present in a maximum of one out of five measurements.
Our research highlighted the fact that there is a tendency to underestimate the values of diameters and volume estimates in relation to the true values when using a laser caliper to measure upper-stem diameters. Along the stem up to 13 m height, in samples without abnormal data sets, AMEd varied from 1.46 cm to 2.23 cm, and RMSEd varied from 1.84 cm to 2.64 cm. Finally, our study showed that when skilled mensurationists use a laser caliper, by measuring the upper-stem diameters up to 13 m, MEd was only −0.57 cm, AMEd was 1.77 cm, and RMSEd was 2.19 cm. Additionally, one out of three experienced users produced volume estimates that return MEv, AMEv, and RMSEv values lower than 0.05 m3 (5%). These results show the relative potential of the laser caliper in measuring upper-stem diameters by many users, under the conditions of a diverse range of instruments available on the market that can involve a higher budget and a certain level of specialization.

Author Contributions

Conceptualization, C.C.T. and M.M.V.; methodology, C.T. and M.M.V.; software, C.C.T.; formal analysis, C.C.T. and M.M.V.; investigation, C.T. and M.M.V.; data curation, C.T. and M.M.V.; writing—original draft preparation, C.C.T. and M.M.V.; writing—review and editing, C.T. All authors have read and agreed to the published version of the manuscript.

Funding

This research received no external funding.

Institutional Review Board Statement

Not applicable.

Data Availability Statement

Not applicable.

Acknowledgments

The authors thank Parc Aventura Braşov staff who assisted us in field activities and the 14 forest mensurationists, who helped us with data collection. We are grateful as well to Alexandra Stan, for her contribution to English editing.

Conflicts of Interest

The authors declare no conflict of interest.

Appendix A

Table A1, Table A2, Table A3, Table A4, Table A5 and Table A6 show the differences between the mean diameters computed by each user when a laser caliper was used to measure upper-stem diameters at heights of 1 m, 3 m, 5 m, 7 m, 9 m, and 13 m above the ground. The results of the pairwise t-test and the Benjamini-Hochberg method highlighted a significant difference between the mean diameters obtained by the users when p value < α, at the 95% significant level.
Table A1. Differences between mean diameters obtained by each user when a laser caliper was used to measure upper-stem diameters at a height of 1 m. The red values denote significant differences between the mean diameters obtained by the users.
Table A1. Differences between mean diameters obtained by each user when a laser caliper was used to measure upper-stem diameters at a height of 1 m. The red values denote significant differences between the mean diameters obtained by the users.
Mean Diameter Differences between Users on the Stem Section at Height of 1 m, cmMean Diameter Differences between Users on the Stem Section at Height of 1 m, cm
UsersU1U2U3U4U5U6U7U8U9U10U11U12U13U14
U1-
U23.22-
U31.142.08-
U41.082.140.06-
U53.190.032.052.11-
U63.140.082.002.060.05-
U71.841.380.700.761.351.30-
U83.430.212.292.350.240.291.59-
U92.460.761.321.380.730.680.620.97-
U102.191.031.051.111.000.950.351.240.27-
U110.802.420.340.282.392.341.042.631.661.39-
U124.441.223.303.361.251.302.601.011.982.253.64-
U132.230.991.091.150.960.910.391.200.230.041.432.21-
U143.260.042.122.180.070.121.420.170.801.072.461.181.03-
Table A2. Differences between mean diameters obtained by each user when a laser caliper was used to measure upper-stem diameters at a height of 3 m. The red values denote significant differences between the mean diameters obtained by the users.
Table A2. Differences between mean diameters obtained by each user when a laser caliper was used to measure upper-stem diameters at a height of 3 m. The red values denote significant differences between the mean diameters obtained by the users.
Mean Diameter Differences between Users on the Stem Section at Height of 3 m, cm.Mean Diameter Differences between Users on the Stem Section at Height of 3 m, cm
UsersU1U2U3U4U5U6U7U8U9U10U11U12U13U14
U1-
U24.58-
U31.415.99-
U40.564.021.97-
U54.860.286.274.30-
U63.820.765.233.261.04-
U70.863.722.270.304.002.96-
U84.440.145.853.880.420.623.58-
U92.242.343.651.682.621.581.382.20-
U104.850.276.264.290.011.033.990.412.61-
U110.913.672.320.353.952.910.053.531.333.94-
U123.880.705.293.320.980.063.020.561.640.972.97-
U131.323.262.730.763.542.500.463.120.923.530.412.56-
U143.251.334.662.691.610.572.391.191.011.602.340.631.93-
Table A3. Differences between mean diameters obtained by each user when a laser caliper was used to measure upper-stem diameters at a height of 5 m. The red values denote significant differences between the mean diameters obtained by the users.
Table A3. Differences between mean diameters obtained by each user when a laser caliper was used to measure upper-stem diameters at a height of 5 m. The red values denote significant differences between the mean diameters obtained by the users.
Mean Diameter Differences between Users on the Stem Section at Height of 5 m, cm.Mean Diameter Differences between Users on the Stem Section at Height of 5 m, cm
UsersU1U2U3U4U5U6U7U8U9U10U11U12U13U14
U1-
U21.72-
U33.455.17-
U40.782.502.67-
U53.571.857.024.35-
U64.652.938.105.431.08-
U70.511.213.961.293.064.14-
U82.620.906.073.400.952.032.11-
U92.380.665.833.161.192.271.870.24-
U100.121.603.570.903.454.530.392.502.26-
U111.873.591.581.095.446.522.384.494.251.99-
U122.630.916.083.410.942.022.120.010.252.514.50-
U130.211.933.240.573.784.860.722.832.590.331.662.84-
U145.593.879.046.372.020.945.082.973.215.477.462.965.80-
Table A4. Differences between mean diameters obtained by each user when a laser caliper was used to measure upper-stem diameters at a height of 7 m. The red values denote significant differences between the mean diameters obtained by the users.
Table A4. Differences between mean diameters obtained by each user when a laser caliper was used to measure upper-stem diameters at a height of 7 m. The red values denote significant differences between the mean diameters obtained by the users.
Mean Diameter Differences between Users on the Stem Section at Height of 7 m, cm.Mean Diameter Differences between Users on the Stem Section at Height of 7 m, cm
UsersU1U2U3U4U5U6U7U8U9U10U11U12U13U14
U1-
U23.14-
U30.073.07-
U41.241.901.17-
U56.022.885.954.78-
U65.742.605.674.500.28-
U70.603.740.671.846.626.34-
U84.010.873.942.772.011.734.61-
U91.551.591.480.314.474.192.152.46-
U101.541.601.470.304.484.202.142.470.01-
U112.011.131.940.774.013.732.612.000.460.47-
U124.060.923.992.821.961.684.660.052.512.522.05-
U137.053.916.985.811.031.317.653.045.505.515.042.99-
U148.295.158.227.052.272.558.894.286.746.756.284.231.24-
Table A5. Differences between mean diameters obtained by each user when a laser caliper was used to measure upper-stem diameters at a height of 9 m. The red values denote significant differences between the mean diameters obtained by the users.
Table A5. Differences between mean diameters obtained by each user when a laser caliper was used to measure upper-stem diameters at a height of 9 m. The red values denote significant differences between the mean diameters obtained by the users.
Mean Diameter Differences between Users on the Stem Section at Height of 9 m, cm.Mean Diameter Differences between Users on the Stem Section at Height of 9 m, cm
UsersU1U2U3U4U5U6U7U8U9U10U11U12U13U14
U1-
U23.73-
U30.932.80-
U41.042.690.11-
U55.922.194.994.88-
U65.491.764.564.450.43-
U71.062.670.130.024.864.43-
U84.470.743.543.431.451.023.41-
U92.691.041.761.653.232.801.631.78-
U101.751.980.820.714.173.740.692.720.94-
U112.071.661.141.033.853.421.012.400.620.32-
U124.540.813.613.501.380.953.480.071.852.792.47-
U139.365.638.438.323.443.878.304.896.677.617.294.82-
U148.194.467.267.152.272.707.133.725.506.446.123.651.17-
Table A6. Differences between mean diameters obtained by each user when a laser caliper was used to measure upper-stem diameters at a height of 13 m. The red values denote significant differences between the mean diameters obtained by the users.
Table A6. Differences between mean diameters obtained by each user when a laser caliper was used to measure upper-stem diameters at a height of 13 m. The red values denote significant differences between the mean diameters obtained by the users.
Mean Diameter Differences between Users on the Stem Section at Height of 13 m, cmMean Diameter Differences between Users on the Stem Section at Height of 13 m, cm
UsersU1U2U3U4U5U6U7U8U9U10U11U12U13U14
U1-
U20.06-
U30.280.34-
U40.150.210.13-
U51.971.912.252.12-
U60.150.210.130.002.12-
U74.714.774.434.566.684.56-
U82.142.082.422.290.172.296.85-
U90.590.530.870.741.380.745.301.55-
U102.122.181.841.974.091.972.594.262.71-
U114.224.283.944.076.194.070.496.364.812.10-
U121.831.772.111.980.141.986.540.311.243.956.05-
U133.673.613.953.821.703.828.381.533.085.797.891.84-
U141.281.221.561.430.691.435.990.860.693.405.500.552.39-
Table A7 shows the differences between the mean partial volumes estimated by each user with Huber’s formula when a laser caliper was used to measure upper-stem diameters at heights of 1 m, 3 m, 5 m, 7 m, and 9 m above the ground. The results of the pairwise t-test and the Benjamini-Hochberg method highlighted a significant difference between the mean volumes obtained by the users when the p-value < α, at the 95% significant level.
Table A7. Differences between mean partial volumes obtained by each user with Huber’s formula when a laser caliper was used to measure upper-stem diameters. The red values denote significant differences between the mean volumes obtained by the users.
Table A7. Differences between mean partial volumes obtained by each user with Huber’s formula when a laser caliper was used to measure upper-stem diameters. The red values denote significant differences between the mean volumes obtained by the users.
Mean Volume Differences between Users, m3Mean Volume Differences between Users, m3
UsersU1U2U3U4U5U6U7U8U9U10U11U12U13U14
U1-
U20.172-
U30.0240.197-
U40.0310.1410.056-
U50.2480.0760.2720.217-
U60.2400.0680.2640.2090.008-
U70.0400.1320.0640.0090.2080.200-
U80.1980.0260.2230.1670.0490.0410.159-
U90.1180.0550.1420.0860.1300.1220.0780.081-
U100.1120.0610.1360.0800.1360.1280.0720.0870.006-
U110.0380.1350.0620.0060.2100.2020.0020.1610.0800.074-
U120.2070.0350.2310.1760.0410.0330.1670.0080.0890.0950.169-
U130.2060.0340.2310.1750.0420.0340.1660.0080.0890.0950.1690.001-
U140.3050.1320.3290.2730.0570.0650.2650.1060.1870.1930.2670.0980.098-

References

  1. Clark, N.A.; Wynne, R.H.; Schmoldt, D.L. A review of past research on dendrometers. For. Sci. 2000, 46, 570–576. [Google Scholar] [CrossRef]
  2. Crosby, P.; Barrett, J.P.; Bocko, R. Photo estimates of upper stem diameters. J. For. 1983, 81, 795–797. [Google Scholar] [CrossRef]
  3. Rodríguez-García, C.; Montes, F.; Ruiz, F.; Cañellas, I.; Pita, P. Stem mapping and estimating standing volume from stereoscopic hemispherical images. Eur. J. For. Res. 2014, 133, 895–904. [Google Scholar] [CrossRef]
  4. Perng, B.H.; Lam, T.Y.; Lu, M.K. Stereoscopic imaging with spherical panoramas for measuring tree distance and diameter under forest canopies. Forestry 2018, 91, 662–673. [Google Scholar] [CrossRef]
  5. Cao, Q.V. Calibrating a segmented taper equation with two diameter measurements. South. J. Appl. For. 2009, 33, 58–61. [Google Scholar] [CrossRef]
  6. Kalliovirta, J.; Laasasenaho, J.; Kangas, A. Evaluation of the Laser-relascope. For. Ecol. Manag. 2005, 204, 181–194. [Google Scholar] [CrossRef]
  7. Henning, J.G.; Radtke, P.J. Detailed stem measurements of standing trees from ground-based scanning lidar. For. Sci. 2006, 52, 67–80. [Google Scholar] [CrossRef]
  8. Liang, X.; Kankare, V.; Yu, X.; Hyyppä, J.; Holopainen, M. Automated stem curve measurement using terrestrial laser scanning. IEEE Trans. Geosci. Remote Sens. 2014, 52, 1739–1748. [Google Scholar] [CrossRef]
  9. Janicka, J.; Błaszczak-Bąk, W.; Pawłowski, K. Terrestial laser scanning in forest inventory based on OptD optimization method. E3S Web Conf. 2018, 63, 00009. [Google Scholar] [CrossRef]
  10. Lovell, J.L.; Jupp, D.L.B.; Newnham, G.J.; Culvenor, D.S. Measuring tree stem diameters using intensity profiles from ground-based scanning lidar from a fixed viewpoint. ISPRS-J. Photogramm. Remote Sens. 2011, 66, 46–55. [Google Scholar] [CrossRef]
  11. Vastaranta, M.; Melkas, T.; Holopainen, M.; Kaartinen, H.; Hyyppä, J.; Hyyppä, H. Laser-based field measurements in tree-level forest data acquisition. Photogramm. J. Finland 2009, 21, 51–61. [Google Scholar]
  12. Weaver, S.A. Precision Forestry Studies: Laser Calipers and GPS Receivers. Master’s Thesis, University of Georgia, Athens, Greece, 2014. Available online: https://getd.libs.uga.edu/pdfs/weaver_steven_a_201405_ms.pdf (accessed on 10 February 2022).
  13. Ucar, Z.; Değermenci, A.S.; Zengin, H.; Bettinger, P. Evaluating the accuracy of remote dendrometers in tree diameter measurements at breast height. Croat. J. For. Eng. 2022, 43, 185–197. [Google Scholar] [CrossRef]
  14. Vastaranta, M.; Latorre, E.G.; Luoma, V.; Saarinen, N.; Holopainen, M.; Hyyppä, J. Evaluation of a smartphone app for forest sample plot measurements. Forests 2015, 6, 1179–1194. [Google Scholar] [CrossRef]
  15. Czaplewski, R.L.; Brown, A.S.; Guenther, D.G. Estimating Merchantable Tree Volume in Oregon and Washington Using Stem Profile Models; Res. Pap. RM-RP-286; U.S. Department of Agriculture, Forest Service, Rocky Mountain Forest and Range Experiment Station: Fort Collins, CO, USA, 1989. Available online: https://www.fs.usda.gov/treesearch/pubs/39929 (accessed on 20 February 2022).
  16. Fang, Z.; Borders, B.E.; Bailey, R.L. Tree Volume and Upper-Stem Diameter Predictions for Planted Loblolly and Slash Pine Based on a Compatible Volume-Taper System with Segmented-Stem Form Factors; PMRC Technical Report 1999-3; Warnell School of Forest Resources, University of Georgia: Athens, Greece, 1999; Available online: http://www.pmrc.uga.edu/TR1999-3.PDF (accessed on 20 February 2022).
  17. Poudel, K.P.; Temesgen, H.; Gray, A.N. Estimating upper stem diameters and volume of Douglas-fir and Western hemlock trees in the Pacific northwest. For. Ecosyst. 2018, 5, 16. [Google Scholar] [CrossRef]
  18. Kozak, A. Effects of upper stem measurements on the predictive ability of a variable-exponent taper equation. Can. J. For. Res. 1998, 28, 1078–1083. [Google Scholar] [CrossRef]
  19. McTague, J.P. Enhanced estimates of total volume with any single upper-stem measurement. For. Ecol. Manag. 1992, 48, 55–67. [Google Scholar] [CrossRef]
  20. Trincado, G.; Burkhart, H.E. A generalized approach for modeling and localizing stem profile curves. For. Sci. 2006, 52, 670–682. [Google Scholar] [CrossRef]
  21. Cao, Q.V.; Wang, J. Calibrating fixed- and mixed-effects taper equations. For. Ecol. Manag. 2011, 262, 671–673. [Google Scholar] [CrossRef]
  22. Sabatia, C.O. Use of upper stem diameters in a polynomial taper equation for New Zealand radiata pine: An evaluation. N. Z. J. For. Sci. 2016, 46, 14. [Google Scholar] [CrossRef][Green Version]
  23. Bailey, R.L. Upper stem volumes from stem analysis data: An overlapping bolts method. Can. J. For. Res. 1995, 25, 170–173. [Google Scholar] [CrossRef]
  24. Berger, A.; Gschwantner, T.; McRoberts, R.E.; Schadauer, K. Effects of measurement errors on individual tree stem volume estimates for the Austrian national forest inventory. For. Sci. 2014, 60, 14–24. [Google Scholar] [CrossRef]
  25. Vasilescu, M.M.; Tereşneu, C.C.; Dinulică, F.; Borz, S.A.; Popa, B. A new stem volume equation for Norway spruce (Picea abies (L.) Karst) trees in Romania. Baltic For. 2017, 23, 626–635. [Google Scholar]
  26. Vasilescu, M.M.; Tereşneu, C.C.; Dinulică, F. A rapid method for estimating the median diameter of the stem profile of Norway spruce (Picea abies Karst) trees. iForest 2017, 10, 328–333. [Google Scholar] [CrossRef]
  27. Sabatia, C.O.; Burkhart, H.E. On the use of upper stem diameters to localize a segmented taper equation to new trees. For. Sci. 2015, 61, 411–423. [Google Scholar] [CrossRef]
  28. Bell, J.F.; Groman, W.A. A field test of the accuracy of the Barr and Stroud Type FP-12 optical dendrometer. For. Chron. 1971, 47, 69–74. [Google Scholar] [CrossRef]
  29. Liu, C.J.; Huang, X.; Eichenberger, J.K. Preliminary test results of a prototype of Criterion. South. J. Appl. For. 1995, 19, 65–71. [Google Scholar] [CrossRef]
  30. Williams, M.S.; Cormier, K.L.; Briggs, R.G.; Martinez, D.L. Evaluation of the Barr & Stroud FP15 and Criterion 400 laser dendrometers for measuring upper stem diameters and heights. For. Sci. 1999, 45, 53–61. [Google Scholar] [CrossRef]
  31. Parker, R.C.; Matney, T.G. Comparison of optical dendrometers for prediction of standing tree volume. South. J. Appl. For. 1999, 23, 100–107. [Google Scholar] [CrossRef]
  32. Biazatti, S.C.; Môra, R.; Sccoti, M.S.; de Brito Júnior, J.F.; dos Santos Queiroz, N.; de Angeli Curto, R. Criterion Dendrometer as a non-destructive method for dendrometric estimations of native species in Western Amazon. Ibero-Am. J. Environ. Sci. 2020, 11, 59–70. [Google Scholar] [CrossRef]
  33. Stenman, V. Upper Stem Diameter and Volume Prediction Strategies in National Forest Inventory (NFI). Master’s Thesis, University of Helsinki, Helsinki, Finland, 2019. Available online: http://urn.fi/URN:NBN:fi:hulib-201905081912 (accessed on 10 February 2022).
  34. McCaffery, F.; Hawkins, M.; Tarleton, M.; Harper, C.; Nieuwenhuis, M. Evaluation of mensuration equipment for upper-stem height and diameter measurements. Ir. For. 2015, 72, 8–20. [Google Scholar]
  35. Rodriguez, F.; Lizarralde, I.; Fernández-Landa, A.; Condés, S. Non-destructive measurement techniques for taper equation development: A study case in the Spanish Northern Iberian Range. Eur. J. For. Res. 2014, 133, 213–223. [Google Scholar] [CrossRef]
  36. Arias-Rodil, M.; Diéguez-Aranda, U.; Burkhart, H.E. Effects of measurement error in total tree height and upper-stem diameter on stem volume prediction. For. Sci. 2017, 63, 250–260. [Google Scholar] [CrossRef]
  37. Westfall, J.A.; McRoberts, R.E.; Radtke, P.J.; Weiskittel, A.R. Effects of uncertainty in upper-stem diameter information on tree volume estimates. Eur. J. For. Res. 2016, 135, 937–947. [Google Scholar] [CrossRef]
  38. Paul, K.I.; Larmour, J.S.; Roxburgh, S.H.; England, J.R.; Davies, M.J.; Luck, H.D. Measurements of stem diameter: Implications for individual- and stand-level errors. Environ. Monit. Assess. 2017, 189, 416. [Google Scholar] [CrossRef]
  39. Luoma, V.; Saarinen, N.; Wulder, M.A.; White, J.C.; Vastaranta, M.; Holopainen, M.; Hyyppä, J. Assessing precision in conventional field measurements of individual tree attributes. Forests 2017, 8, 38. [Google Scholar] [CrossRef]
  40. Weaver, S.A.; Ucar, Z.; Bettinger, P.; Merry, K.; Faw, K.; Cieszewski, C.J. Assessing the accuracy of tree diameter measurements collected at a distance. Croat. J. For. Eng. 2015, 36, 73–83. [Google Scholar]
  41. Haglöf, Långsele, Sweden. Available online: https://haglofsweden.com/wp-content/uploads/2021/02/Mantax-Black-and-Mantax-Black-Gator-Eyes-Product-sheet-ENU.pdf (accessed on 20 February 2022).
Figure 1. Studied tree (a) and sketch of field data collection (b).
Figure 1. Studied tree (a) and sketch of field data collection (b).
Forests 13 01522 g001
Figure 2. Errors variation in stem diameter measurement using a laser caliper depending on section height and users. The red lines enclose the values with the error range of ±4 cm in relation to the true diameters and the red dashed lines enclose the values with the error range of ±2 cm in relation to the true diameters.
Figure 2. Errors variation in stem diameter measurement using a laser caliper depending on section height and users. The red lines enclose the values with the error range of ±4 cm in relation to the true diameters and the red dashed lines enclose the values with the error range of ±2 cm in relation to the true diameters.
Forests 13 01522 g002
Figure 3. Histograms of errors in stem diameter measurement using a laser caliper for different sections.
Figure 3. Histograms of errors in stem diameter measurement using a laser caliper for different sections.
Forests 13 01522 g003
Figure 4. Errors variation (a) and histogram of errors (b) in partial stem volume estimated with Huber’s formula when using a laser caliper. The red lines enclose the values with the error range of ±0.1 m3 in relation to the true volume and the red dashed lines enclose the values with the error range of ±0.05 m3 in relation to the true volume.
Figure 4. Errors variation (a) and histogram of errors (b) in partial stem volume estimated with Huber’s formula when using a laser caliper. The red lines enclose the values with the error range of ±0.1 m3 in relation to the true volume and the red dashed lines enclose the values with the error range of ±0.05 m3 in relation to the true volume.
Forests 13 01522 g004
Table 1. True values and corresponding descriptive statistics of the upper-stem diameters measured with a laser caliper.
Table 1. True values and corresponding descriptive statistics of the upper-stem diameters measured with a laser caliper.
Instrument TypeContact InstrumentNoncontact Instrument
Section Height, mTrue Stem Diameter, cmDescriptive Statistics of Stem Diameters
Mean ± Standard Error, cmMedian, cmStandard Deviation, cmCoefficient of Variation, %
141.240.22 ± 0.1340.301.563.88
334.935.00 ± 0.1935.352.256.43
534.233.01 ± 0.2333.502.678.10
732.632.16 ± 0.2531.752.929.08
932.431.54 ± 0.2531.402.939.27
1329.028.83 ± 0.2128.602.518.69
Table 2. ANOVA single factor applied to stem diameter measurements using laser caliper by many users for multiple readings at the same sections along the tree stem, α = 0.05.
Table 2. ANOVA single factor applied to stem diameter measurements using laser caliper by many users for multiple readings at the same sections along the tree stem, α = 0.05.
Section Height, mSourcesSS 1df 2MS 3Fp-Value
1 Between Groups197.46941315.189913.6207<0.0001
Within Groups140.51601261.1152
Total337.98541392.4315
3Between Groups553.20401342.554135.5804<0.0001
Within Groups150.69601261.1960
Total703.90001395.0640
5Between Groups825.20971363.477647.2817<0.0001
Within Groups169.16001261.3425
Total994.36971397.1537
7Between Groups1017.13601378.241258.7592<0.0001
Within Groups167.77601261.3315
Total1184.91201398.5245
9Between Groups1044.92801380.379070.0553<0.0001
Within Groups144.56801261.1473
Total1189.49601398.5575
13Between Groups718.78121355.290845.3407<0.0001
Within Groups153.65101261.2194
Total872.43221396.2764
1 SS represents sum of squares. 2 df represents degrees of freedom. 3 MS represents mean square.
Table 3. Abnormal data sets of stem diameters taken using laser caliper.
Table 3. Abnormal data sets of stem diameters taken using laser caliper.
Data Sets IdentifiersNumber of Significant Differences between Mean Diameters Compared to the Other UsersNumber of Differences Higher Than 4 cm between Mean Diameters Compared to the Other UsersMean Error of Stem Diameter, cm
Section Height, mUser
3U312/137/13−3.75
5U312/136/13−5.89
U1113/136/13−4.31
U1412/137/133.15
7U1311/137/133.46
U1412/1310/134.70
9U112/136/13−4.52
U1313/1310/134.84
U1413/138/133.67
13U712/1311/13−4.87
U1112/139/13−4.38
Table 4. Descriptive statistics of the upper-stem diameters measured with a laser caliper after the exclusion of the abnormal data sets.
Table 4. Descriptive statistics of the upper-stem diameters measured with a laser caliper after the exclusion of the abnormal data sets.
Section Height, mDescriptive Statistics of Stem Diameters without Abnormal Data Sets
Mean ± Standard Error, cmMedian, cmStandard Deviation, cmCoefficient of Variation, %
335.30 ± 0.1835.602.045.77
533.32 ± 0.1933.702.005.99
731.41 ± 0.2231.102.377.55
930.94 ± 0.2031.102.066.67
1329.58 ± 0.1629.801.796.06
Table 5. Mean error (MEd), absolute mean error (AMEd), and root mean squared error (RMSEd) in measuring upper-stem diameters using a laser caliper for six sections along the stem.
Table 5. Mean error (MEd), absolute mean error (AMEd), and root mean squared error (RMSEd) in measuring upper-stem diameters using a laser caliper for six sections along the stem.
Section Height, mDiameter Errors Computed for Original Samples, cmDiameter Errors Computed for Samples without Abnormal Data Sets, cm
MEdAMEdRMSEdMEdAMEdRMSEd
1−0.981.461.84−0.981.461.84
30.101.922.240.401.782.07
5−1.192.282.92−0.881.692.17
7−0.442.492.94−1.192.232.64
9−0.862.523.04−1.462.022.52
13−0.171.972.500.581.531.88
Table 6. Descriptive statistics of the partial stem volume estimated with Huber’s formula using a laser caliper and errors of volume estimates.
Table 6. Descriptive statistics of the partial stem volume estimated with Huber’s formula using a laser caliper and errors of volume estimates.
UsersDescriptive Statistics of Partial Stem VolumeVolume Errors, m3
Mean ± Standard Error, m3Median, m3Standard Deviation, m3Coefficient of Variation, %MEvAMEvRMSEv
U10.806 ± 0.0150.7950.0496.059−0.1680.1680.173
U20.979 ± 0.0080.9760.0262.6900.0050.0200.025
U30.782 ± 0.0100.7850.0324.063−0.1920.1920.194
U40.838 ± 0.0090.8380.0283.351−0.1360.1360.139
U51.054 ± 0.0111.0570.0343.2370.0800.0800.087
U61.046 ± 0.0091.0540.0292.7800.0720.0720.078
U70.846 ± 0.0090.8410.0273.206−0.1280.1280.130
U81.005 ± 0.0051.0110.0161.5570.0310.0310.035
U90.924 ± 0.0090.9270.0293.114−0.0500.0500.057
U100.918 ± 0.0120.9100.0374.021−0.0560.0560.066
U110.844 ± 0.0040.8430.0131.527−0.1300.1300.130
U121.013 ± 0.0071.0120.0212.0870.0390.0390.044
U131.013 ± 0.0081.0120.0262.5470.0390.0410.046
U141.111 ± 0.0151.1160.0464.1700.1370.1370.144
All users0.941 ± 0.0090.9630.10511.186−0.0330.0910.110
Table 7. ANOVA single factor applied to partial stem volume estimated with Huber’s formula when using a laser caliper by many users, α = 0.05.
Table 7. ANOVA single factor applied to partial stem volume estimated with Huber’s formula when using a laser caliper by many users, α = 0.05.
SourcesSS 1df 2MS 3Fp-Value
Between Groups1.4197130.1092113.3965<0.0001
Within Groups0.12131260.0010
Total1.54101390.0111
1 SS represents sum of squares. 2 df represents degrees of freedom. 3 MS represents mean square.
Publisher’s Note: MDPI stays neutral with regard to jurisdictional claims in published maps and institutional affiliations.

Share and Cite

MDPI and ACS Style

Tereşneu, C.C.; Tudor, C.; Vasilescu, M.M. Laser Caliper Reliability in Upper-Stem Diameter Measurements by Multiple Users. Forests 2022, 13, 1522. https://doi.org/10.3390/f13091522

AMA Style

Tereşneu CC, Tudor C, Vasilescu MM. Laser Caliper Reliability in Upper-Stem Diameter Measurements by Multiple Users. Forests. 2022; 13(9):1522. https://doi.org/10.3390/f13091522

Chicago/Turabian Style

Tereşneu, Cornel Cristian, Ciprian Tudor, and Maria Magdalena Vasilescu. 2022. "Laser Caliper Reliability in Upper-Stem Diameter Measurements by Multiple Users" Forests 13, no. 9: 1522. https://doi.org/10.3390/f13091522

APA Style

Tereşneu, C. C., Tudor, C., & Vasilescu, M. M. (2022). Laser Caliper Reliability in Upper-Stem Diameter Measurements by Multiple Users. Forests, 13(9), 1522. https://doi.org/10.3390/f13091522

Note that from the first issue of 2016, this journal uses article numbers instead of page numbers. See further details here.

Article Metrics

Back to TopTop