Mid-Term Natural Regeneration of Pinus halepensis Mill. after Post-Fire Treatments in South-Eastern Spain
Abstract
1. Introduction
2. Materials and Methods
2.1. Study Area
2.2. Experimental Design
2.3. Climate Data
2.4. Plant Survey for Analysis of Natural Regeneration
2.4.1. Field Measurements
2.4.2. Lab Measurements
2.5. Soil Temperature and Water Content
2.6. Soil Sampling and Analysis
2.7. Statistical Analyses
3. Results
3.1. Soil Temperature and Water Content
3.2. Natural Regeneration of Pinus halepensis Mill
3.2.1. Number of Seedlings
3.2.2. Diameter of Seedlings
3.2.3. Height of Seedlings
3.2.4. Morphometric Characteristics of Seedlings
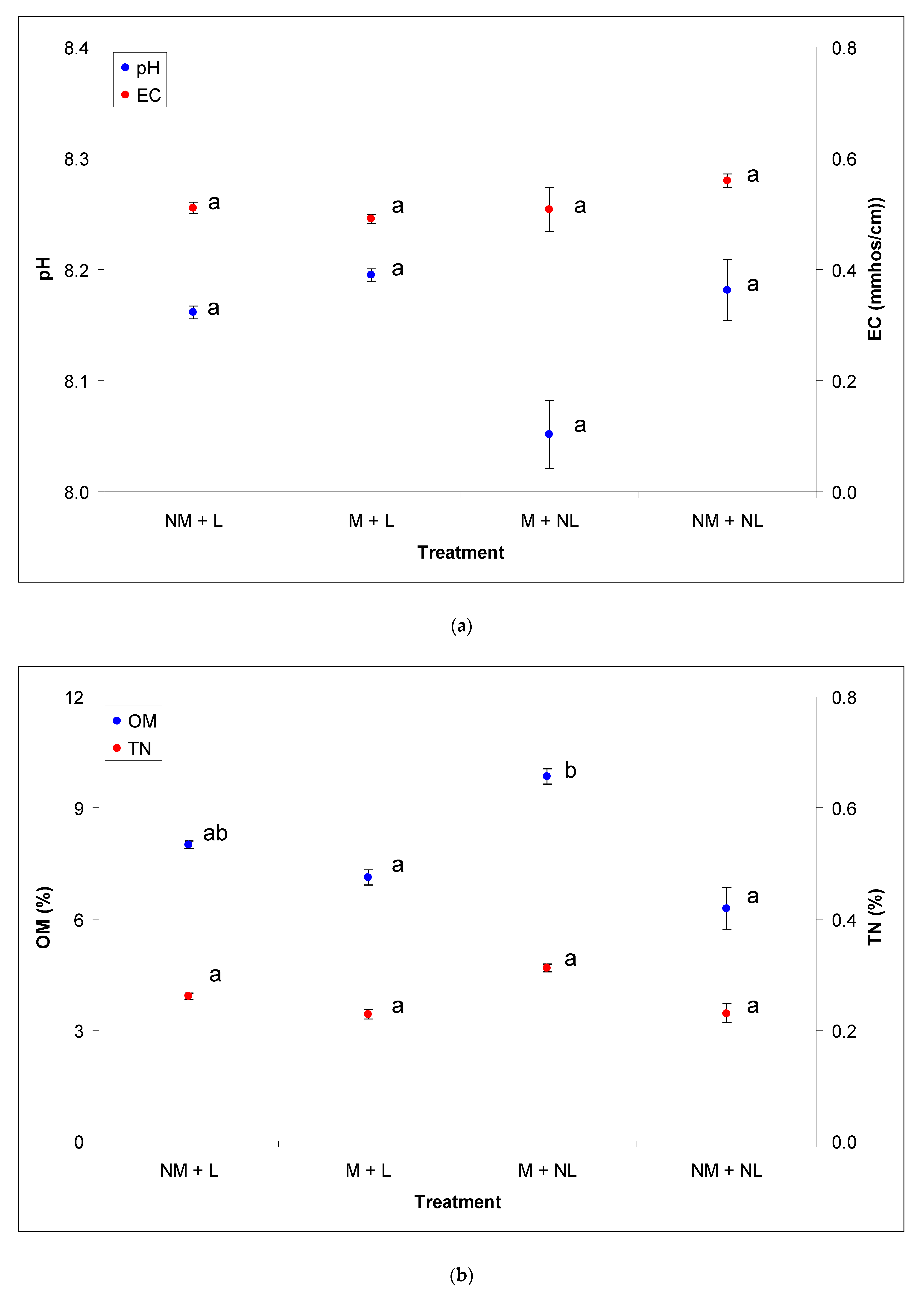
3.3. Main Chemical Properties of Soils
4. Discussion
4.1. Effects of Straw Mulching on Natural Regeneration of Pinus halepensis Mill
4.2. Effects of Salvage Logging on Natural Regeneration of Pinus halepensis Mill
5. Conclusions
- Mulched and non-logged sites showed a significantly higher number of seedlings with a larger diameter and greater height;
- Logging did not significantly reduce this number, but, in mulched and logged sites, the seedlings showed significantly lower diameters and heights:
- An increase in the seedling number and decreases in the plant diameter and height were observed in the non-mulched and logged areas;
- No significant differences in the other morphometric parameters of seedlings were detected among all post-fire treatments;
- A clear gradient between the organic matter content of soils and the number of plants growing under the four treatments was evident.
Author Contributions
Funding
Informed Consent Statement
Data Availability Statement
Conflicts of Interest
References
- Fuentes, E.R.; Aviles, R.; Segura, A. The natural vegetation of a heavily-man transformed landscape: The savanna of central Chile. Interciencia 1990, 15, 293–295. [Google Scholar]
- Kaufmann, M.R.; Fornwalt, P.J.; Huckaby, L.S.; Stoker, J.M. Cheesman Lake-a historical ponderosa pine landscape guiding restoration in the South Platte watershed of the Colorado Front Range. In Proceedings of the Ponderosa Pine Ecosystems Restoration and Conservation: Steps toward Stewardship, Flagstaff, AZ, USA, 25–27 April 2000; Volume 22, pp. 9–18. [Google Scholar]
- Cantón, Y.; Solé-Benet, A.; De Vente, J.; Boix-Fayos, C.; Calvo-Cases, A.; Asensio, C.; Puigdefábregas, J. A review of runoff generation and soil erosion across scales in semiarid south-eastern Spain. J. Arid Environ. 2011, 75, 1254–1261. [Google Scholar] [CrossRef]
- Collins, M.; Knutti, R.; Arblaster, J.; Dufresne, J.-L.; Fichefet, T.; Friedlingstein, P.; Gao, X.; Gutowski, W.J.; Johns, T.; Krinner, G. Long-term climate change: Projections, commitments and irreversibility. In Climate Change 2013-The Physical Science Basis: Contribution of Working Group I to the Fifth Assessment Report of the Intergovernmental Panel on Climate Change; Cambridge University Press: Cambridge, UK, 2013; pp. 1029–1136. [Google Scholar]
- Pausas, J.G. Changes in fire and climate in the eastern Iberian Peninsula (Mediterranean basin). Clim. Chang. 2004, 63, 337–350. [Google Scholar] [CrossRef]
- Keeley, J.E. Resilience of Mediterranean shrub communities to fires. In Resilience in Mediterranean-Type Ecosystems; Springer: Dordrecht, The Netherlands, 1986; pp. 95–112. [Google Scholar]
- Lebourgeois, F.; Granier, A.; Breda, N. Une analyse des changements climatiques régionaux en france entre 1956 et 1997. Réflexions en terme de conséquences pour les écosystems forestiers. Ann. Sci. 2001, 58, 733–754. [Google Scholar] [CrossRef][Green Version]
- Stavi, I. Wildfires in Grasslands and Shrublands: A Review of Impacts on Vegetation, Soil, Hydrology, and Geomorphology. Water 2019, 11, 1042. [Google Scholar] [CrossRef]
- Lucas-Borja, M.E.; Plaza-Àlvarez, P.A.; Uddin, S.M.; Parhizkar, M.; Zema, D.A. Short-term hydrological response of soil after wildfire in a semi-arid landscape covered by Macrochloa tenacissima (L.) Kunth. J. Arid Environ. 2022, 198, 104702. [Google Scholar] [CrossRef]
- Pardini, G.; Gispert, M.; Dunjó, G. Relative influence of wildfire on soil properties and erosion processes in different Mediterranean environments in NE Spain. Sci. Total Environ. 2004, 328, 237–246. [Google Scholar] [CrossRef]
- Santana, V.M.; Jaime Baeza, M.; Marrs, R.H.; Ramón Vallejo, V. Old-field secondary succession in SE Spain: Can fire divert it? Plant Ecol. 2010, 211, 337–349. [Google Scholar] [CrossRef]
- Hanes, T.L. Succession after fire in the chaparral of southern California. Ecol. Monogr. 1971, 41, 27–52. [Google Scholar] [CrossRef]
- Certini, G. Effects of fire on properties of forest soils: A review. Oecologia 2005, 143, 1–10. [Google Scholar] [CrossRef]
- Girona-García, A.; Vieira, D.C.; Silva, J.; Fernández, C.; Robichaud, P.R.; Keizer, J.J. Effectiveness of post-fire soil erosion mitigation treatments: A systematic review and meta-analysis. Earth Sci. Rev. 2021, 217, 103611. [Google Scholar] [CrossRef]
- Pereira, P.; Francos, M.; Brevik, E.C.; Ubeda, X.; Bogunovic, I. Post-fire soil management. Curr. Opin. Environ. Sci. Health 2018, 5, 26–32. [Google Scholar] [CrossRef]
- Robichaud, P.R.; Ashmun, L.E.; Sims, B.D. Post-Fire Treatment Effectiveness for Hillslope Stabilization; (No. RMRS-GTR-240); U.S. Department of Agriculture, Forest Service, Rocky Mountain Research Station: Fort Collins, CO, USA, 2010. [Google Scholar] [CrossRef]
- Prosser, I.P.; Williams, L. The effect of wildfire on runoff and erosion in native Eucalyptus forest. Hydrol. Process. 1998, 12, 251–265. [Google Scholar] [CrossRef]
- Agbeshie, A.A.; Abugre, S.; Atta-Darkwa, T.; Awuah, R. A review of the effects of forest fire on soil properties. J. For. Res. 2022, 33, 1419–1441. [Google Scholar] [CrossRef]
- Bodí, M.B.; Cerdà, A.; Mataix-Solera, J.; Doerr, S.H. A review of fire effects on vegetation and soil in the Mediterranean Basin. Bol. Asoc. Geógr. Esp. 2012, 58, 439–441. [Google Scholar]
- Zavala, L.M.M.; de Celis Silvia, R.; López, A.J. How wildfires affect soil properties. A brief review. Cuad. Investig. Geogr./Geogr. Res. Lett. 2014, 40, 311–331. [Google Scholar] [CrossRef]
- Moody, J.A.; Shakesby, R.A.; Robichaud, P.R.; Cannon, S.H.; Martin, D.A. Current research issues related to post-wildfire runoff and erosion processes. Earth-Sci. Rev. 2013, 122, 10–37. [Google Scholar] [CrossRef]
- Shakesby, R.A. Post-wildfire soil erosion in the Mediterranean: Review and future research directions. Earth-Sci. Rev. 2011, 105, 71–100. [Google Scholar] [CrossRef]
- Lucas-Borja, M.E. Efficiency of postfire hillslope management strategies: Gaps of knowledge. Curr. Opin. Environ. Sci. Health 2021, 21, 100247. [Google Scholar] [CrossRef]
- Zema, D.A. Postfire management impacts on soil hydrology. Curr. Opin. Environ. Sci. Health 2021, 21, 100252. [Google Scholar] [CrossRef]
- Lucas-Borja, M.E.; Plaza-Álvarez, P.A.; Gonzalez-Romero, J.; Sagra, J.; Alfaro-Sánchez, R.; Zema, D.A.; Moya, D.; de Las Heras, J. Short-term effects of prescribed burning in Mediterranean pine plantations on surface runoff, soil erosion, and water quality of runoff. Sci. Total Environ. 2019, 674, 615–622. [Google Scholar] [CrossRef]
- MacDonald, L.H.; Larsen, I.J. Effects of forest fires and post-fire rehabilitation: A Colorado, USA case study. In Fire Effects on Soils and Restoration Strategies; CRC Press: Boca Raton, FL, USA, 2009; pp. 439–468. [Google Scholar]
- Carra, B.G.; Bombino, G.; Lucas-Borja, M.E.; Muscolo, A.; Romeo, F.; Zema, D.A. Short-term changes in soil properties after prescribed fire and mulching with fern in Mediterranean forests. J. For. Res. 2021, 33, 1271–1289. [Google Scholar] [CrossRef]
- Prosdocimi, M.; Jordán, A.; Tarolli, P.; Keesstra, S.; Novara, A.; Cerdà, A. The immediate effectiveness of barley straw mulch in reducing soil erodibility and surface runoff generation in Mediterranean vineyards. Sci. Total Environ. 2016, 547, 323–330. [Google Scholar] [CrossRef]
- Zituni, R.; Wittenberg, L.; Malkinson, D. The effects of post-fire forest management on soil erosion rates 3 and 4 years after a wildfire, demonstrated on the 2010 Mount Carmel fire. Int. J. Wildland Fire 2019, 28, 377. [Google Scholar] [CrossRef]
- Díaz, M.G.; Lucas-Borja, M.E.; Gonzalez-Romero, J.; Plaza-Alvarez, P.A.; Navidi, M.; Liu, Y.-F.; Wu, G.-L.; Zema, D.A. Effects of post-fire mulching with straw and wood chips on soil hydrology in pine forests under Mediterranean conditions. Ecol. Eng. 2022, 182, 9. [Google Scholar] [CrossRef]
- Foltz, R.; Wagenbrenner, N. An evaluation of three wood shred blends for post-fire erosion control using indoor simulated rain events on small plots. CATENA 2010, 80, 86–94. [Google Scholar] [CrossRef]
- Prats, S.A.; Macdonald, L.H.; Monteiro, M.; Ferreira, A.; Coelho, C.; Keizer, J.J. Effectiveness of forest residue mulching in reducing post-fire runoff and erosion in a pine and a eucalypt plantation in north-central Portugal. Geoderma 2012, 191, 115–124. [Google Scholar] [CrossRef]
- Carrà, B.G.; Bombino, G.; Lucas-Borja, M.E.; Plaza-Alvarez, P.A.; D’Agostino, D.; Zema, D.A. Prescribed fire and soil mulching with fern in Mediterranean forests: Effects on surface runoff and erosion. Ecol. Eng. 2022, 176, 106537. [Google Scholar] [CrossRef]
- Fernández, C.; Vega, J.A. Efficacy of bark strands and straw mulching after wildfire in NW Spain: Effects on erosion control and vegetation recovery. Ecol. Eng. 2014, 63, 50–57. [Google Scholar] [CrossRef]
- Ordán, A.; Zavala, L.M.; Gil, J. Effects of mulching on soil physical properties and runoff under semi-arid conditions in southern Spain. CATENA 2010, 81, 77–85. [Google Scholar] [CrossRef]
- Lucas-Borja, M.; Parhizkar, M.; Zema, D. Short-Term Changes in Erosion Dynamics and Quality of Soils Affected by a Wildfire and Mulched with Straw in a Mediterranean Forest. Soil Syst. 2021, 5, 40. [Google Scholar] [CrossRef]
- Patil Shirish, S.; Kelkar Tushar, S.; Bhalerao Satish, A. Mulching: A soil and water conservation practice. Res. J. Agric. For. Sci. 2013, 1, 26–29. [Google Scholar]
- Prats, S.A.; Wagenbrenner, J.W.; Martins, M.A.S.; Malvar, M.C.; Keizer, J.J. Hydrologic Implications of Post-Fire Mulching Across Different Spatial Scales. Land Degrad. Dev. 2016, 27, 1440–1452. [Google Scholar] [CrossRef]
- Carrà, B.; Bombino, G.; Denisi, P.; Plaza-Àlvarez, P.; Lucas-Borja, M.; Zema, D. Water Infiltration after Prescribed Fire and Soil Mulching with Fern in Mediterranean Forests. Hydrology 2021, 8, 95. [Google Scholar] [CrossRef]
- Robichaud, P.R.; Lewis, S.A.; Brown, R.E.; Bone, E.D.; Brooks, E.S. Evaluating post-wildfire logging-slash cover treatment to reduce hillslope erosion after salvage logging using ground measurements and remote sensing. Hydrol. Process. 2020, 34, 4431–4445. [Google Scholar] [CrossRef]
- Bento-Gonçalves, A.; Vieira, A.; Úbeda, X.; Martin, D. Fire and soils: Key concepts and recent advances. Geoderma 2012, 191, 3–13. [Google Scholar] [CrossRef]
- Fernández-Fernández, M.; Vieites-Blanco, C.; Gómez-Rey, M.; González-Prieto, S. Straw mulching is not always a useful post-fire stabilization technique for reducing soil erosion. Geoderma 2016, 284, 122–131. [Google Scholar] [CrossRef]
- Lucas-Borja, M.E.; Zema, D.A.; Carrà, B.G.; Cerdà, A.; Plaza-Alvarez, P.A.; Cózar, J.S.; Gonzalez-Romero, J.; Moya, D.; de las Heras, J. Short-term changes in infiltration between straw mulched and non-mulched soils after wildfire in Mediterranean forest ecosystems. Ecol. Eng. 2018, 122, 27–31. [Google Scholar] [CrossRef]
- Malvar, M.C.; Silva, F.; Prats, S.A.; Vieira, D.; Coelho, C.O.; Keizer, J.J. Short-term effects of post-fire salvage logging on runoff and soil erosion. For. Ecol. Manag. 2017, 400, 555–567. [Google Scholar] [CrossRef]
- Ice, G.G.; Neary, D.G.; Adams, P.W. Effects of wildfire on soils and watershed processes. J. For. 2004, 102, 16–20. [Google Scholar]
- Leverkus, A.B.; Buma, B.; Wagenbrenner, J.; Burton, P.J.; Lingua, E.; Marzano, R.; Thorn, S. Tamm review: Does salvage logging mitigate subsequent forest disturbances? For. Ecol. Manag. 2021, 481, 118721. [Google Scholar] [CrossRef]
- Leverkus, A.B.; Rey Benayas, J.M.; Castro, J.; Boucher, D.; Brewer, S.; Collins, B.M.; Donato, D.; Fraver, S.; Kishchuk, B.E.; Lee, E.-J. Salvage logging effects on regulating and supporting ecosystem services—A systematic map. Can. J. For. Res. 2018, 48, 983–1000. [Google Scholar] [CrossRef]
- Fernández, C.; Vega, J.A. Are erosion barriers and straw mulching effective for controlling soil erosion after a high severity wildfire in NW Spain? Ecol. Eng. 2016, 87, 132–138. [Google Scholar] [CrossRef]
- Wittenberg, L.; van der Wal, H.; Keesstra, S.; Tessler, N. Post-fire management treatment effects on soil properties and burned area restoration in a wildland-urban interface, Haifa Fire case study. Sci. Total Environ. 2020, 716, 135190. [Google Scholar] [CrossRef]
- Mayer, M.; Rosinger, C.; Gorfer, M.; Berger, H.; Deltedesco, E.; Bässler, C.; Müller, J.; Seifert, L.; Rewald, B.; Godbold, D.L. Surviving trees and deadwood moderate changes in soil fungal communities and associated functioning after natural forest disturbance and salvage logging. Soil Biol. Biochem. 2022, 166, 108558. [Google Scholar] [CrossRef]
- Della Sala, D.A.; Karr, J.R.; Schoennagel, T.; Perry, D.; Noss, R.F.; Lindenmayer, D.; Beschta, R.; Hutto, R.L.; Swanson, M.E.; Evans, J. Post-Fire Logging Debate Ignores Many Issues. Science 2006, 314, 51–52. [Google Scholar] [CrossRef]
- Wagenbrenner, J.W.; MacDonald, L.H.; Coats, R.N.; Robichaud, P.R.; Brown, R.E. Effects of post-fire salvage logging and a skid trail treatment on ground cover, soils, and sediment production in the interior western United States. For. Ecol. Manag. 2015, 335, 176–193. [Google Scholar] [CrossRef]
- Lucas-Borja, M.E.; Plaza-Álvarez, P.A.; González-Romero, J.; Miralles, I.; Sagra, J.; Molina-Peña, E.; Fernández, C. Post-wildfire straw mulching and salvage logging affects initial pine seedling density and growth in two Mediterranean contrasting climatic areas in Spain. For. Ecol. Manag. 2020, 474, 118363. [Google Scholar] [CrossRef]
- Prats, S.A.; Malvar, M.C.; Wagenbrenner, J.W. Compaction and cover effects on runoff and erosion in post-fire salvage logged areas in the Valley Fire, California. Hydrol. Process. 2021, 35, e13997. [Google Scholar] [CrossRef]
- Fernández, C.; Vega, J.A.; Fonturbel, T.; Pérez-Gorostiaga, P.; Jiménez, E.; Madrigal, J. Effects of Wildfire, Salvage Logging and Slash. Land Degrad. Dev. 2007, 607, 591–607. [Google Scholar] [CrossRef]
- Moya, D.; Sagra, J.; Lucas-Borja, M.E.; Plaza-Álvarez, P.A.; González-Romero, J.; De Las Heras, J.; Ferrandis, P. Post-fire recovery of vegetation and diversity patterns in semiarid Pinus halepensis mill. Habitats after salvage logging. Forests 2020, 11, 1345. [Google Scholar] [CrossRef]
- Thorn, S.; Bässler, C.; Brandl, R.; Burton, P.J.; Cahall, R.; Campbell, J.L.; Castro, J.; Choi, C.-Y.; Cobb, T.; Donato, D.C. Impacts of salvage logging on biodiversity: A meta-analysis. J. Appl. Ecol. 2018, 55, 279–289. [Google Scholar] [CrossRef] [PubMed]
- Santana, V.M.; Alday, J.G.; Baeza, M.J. Mulch application as post-fire rehabilitation treatment does not affect vegetation recovery in ecosystems dominated by obligate seeders. Ecol. Eng. 2014, 71, 80–86. [Google Scholar] [CrossRef]
- Bontrager, J.D.; Morgan, P.; Hudak, A.T.; Robichaud, P.R. Long-term vegetation response following post-fire straw mulching. Fire Ecol. 2019, 15, 22. [Google Scholar] [CrossRef]
- Fernández, C.; Fontúrbel, T.; Vega, J.A. Effects of pre-fire site preparation and post-fire erosion barriers on soil erosion after a wildfire in NW Spain. Catena 2019, 172, 691–698. [Google Scholar] [CrossRef]
- Martínez-Sánchez, J.J.; Ferrandis, P.; de las Heras, J.; Herranz, J.M. Effect of burnt wood removal on the natural regeneration of Pinus halepensis after fire in a pine forest in Tus valley (SE Spain). For. Ecol. Manag. 1999, 123, 1–10. [Google Scholar] [CrossRef]
- Spanos, I.; Raftoyannis, Y.; Goudelis, G.; Xanthopoulou, E.; Samara, T.; Tsiontsis, A. Effects of postfire logging on soil and vegetation recovery in a Pinus halepensis Mill. forest of Greece. Plant Soil 2005, 278, 171–179. [Google Scholar] [CrossRef]
- Vega, J.A.; Fernández, C.; Pérez-Gorostiaga, P.; Fonturbel, T. The influence of fire severity, serotiny, and post-fire management on Pinus pinaster Ait. recruitment in three burnt areas in Galicia (NW Spain). For. Ecol. Manag. 2008, 256, 1596–1603. [Google Scholar] [CrossRef]
- Kruse, R.; Bend, E.; Bierzychudek, P. Native plant regeneration and introduction of non-natives following post-fire rehabilitation with straw mulch and barley seeding. For. Ecol. Manag. 2004, 196, 299–310. [Google Scholar] [CrossRef]
- Dodson, E.K.; Peterson, D.W. Mulching effects on vegetation recovery following high severity wildfire in north-central Washington State, USA. For. Ecol. Manage. 2010, 260, 1816–1823. [Google Scholar] [CrossRef]
- Marañón-Jiménez, S.; Castro, J.; Querejeta, J.I.; Fernández-Ondoño, E.; Allen, C.D. Post-fire wood management alters water stress, growth, and performance of pine regeneration in a Mediterranean ecosystem. For. Ecol. Manag. 2013, 308, 231–239. [Google Scholar] [CrossRef]
- Moya, D.; de las Heras, J.; López-Serrano, F.R.; Ferrandis, P. Post-fire seedling recruitment and morpho-ecophysiological responses to induced drought and salvage logging in Pinus halepensis Mill. stands. Forests 2015, 6, 1858–1877. [Google Scholar] [CrossRef]
- Morgan, P.; Moy, M.; Droske, C.A.; Lewis, S.A.; Lentile, L.B.; Robichaud, P.R.; Williams, C.J. Vegetation response to burn severity, native grass seeding, and salvage logging. Fire Ecol. 2015, 11, 31–58. [Google Scholar] [CrossRef]
- Knapp, E.E.; Ritchie, M.W. Response of understory vegetation to salvage logging following a high-severity wildfire. Ecosphere 2016, 7, e01550. [Google Scholar] [CrossRef]
- Bautista, S.; Robichaud, P.R.; Bladé, C. Post-fire mulching. In Fire Effects on Soils and Restoration Strategies; CRC Press: Boca Raton, FL, USA, 2009; pp. 369–388. [Google Scholar]
- Littell, J.S.; McKenzie, D.; Peterson, D.L.; Westerling, A.L. Climate and wildfire area burned in western US ecoprovinces, 1916–2003. Ecol. Appl. 2009, 19, 1003–1021. [Google Scholar] [CrossRef] [PubMed]
- Fernández, C.; Vega, J.A. Effects of mulching and post-fire salvage logging on soil erosion and vegetative regrowth in NW Spain. For. Ecol. Manag. 2016, 375, 46–54. [Google Scholar] [CrossRef]
- Jonas, J.L.; Berryman, E.; Wolk, B.; Morgan, P.; Robichaud, P.R. Post-fire wood mulch for reducing erosion potential increases tree seedlings with few impacts on understory plants and soil nitrogen. For. Ecol. Manag. 2019, 453, 117567. [Google Scholar] [CrossRef]
- del Río, M.; Calama, R.; Montero, G. Selvicultura de Pinus halepensis Mill. In Compendio de Selvicultura Aplicada en España; Serrada, R., Montero, G., Reque, J.A., Eds.; INIA-FUCOVASA: Madrid, Spain, 2008; pp. 289–312. [Google Scholar]
- Kottek, M.; Grieser, J.; Beck, C.; Rudolf, B.; Rubel, F. Worldmap of the Köppen-Geiger climate classification updated. Meteorol. Z. 2006, 15, 259–263. [Google Scholar] [CrossRef]
- Baillie, I.C. Soil Survey Staff 1999, Soil Taxonomy: A Basic System of Soil Classification for Making and Interpreting Soil Surveys, 2nd ed.; Agricultural Handbook 436; Natural Resources Conservation Service, USDA: Washington, DC, USA, 1999; p. 869. [Google Scholar]
- Vega, J.A.; Fernández, C.; Fonturbel, T.; González-Prieto, S.; Jiménez, E. Testing the effects of straw mulching and herb seeding on soil erosion after fire in a gorse shrubland. Geoderma 2014, 223, 79–87. [Google Scholar] [CrossRef]
- Cerdà, A.; Rodrigo-Comino, J.; Giménez-Morera, A.; Keesstra, S.D. An economic, perception, and biophysical approach to the use of oat straw as mulch in Mediterranean rainfed agriculture land. Ecol. Eng. 2017, 108, 162–171. [Google Scholar] [CrossRef]
- Vega, J.A.; Fontúrbel, T.; Merino, A.; Fernández, C.; Ferreiro, A.; Jiménez, E. Testing the ability of visual indicators of soil burn severity to reflect changes in soil chemical and microbial properties in pine forests and shrubland. Plant Soil 2013, 369, 73–91. [Google Scholar] [CrossRef]
- Haase, D.L. Understanding forest seedling quality: Measurements and interpretation. Tree Plant. Notes 2008, 52, 24–30. [Google Scholar]
- Bremner, J.M.; Mulvaney, C.S. Salicylic acid-thiosulphate modification of Kjeldahl method to include nitrate and nitrite. Agronomy 1982, 9, 621–622. [Google Scholar]
- Lucas-Borja Manuel, E.; Ortega, R.; Miralles, I.; Plaza-Álvarez, P.A.; González-Romero, J.; Peña-Molina, E.; Moya, D.; Zema, D.A.; Wagenbrenner, J.W.; De las Heras, J. Effects of wildfire and logging on soil functionality in the short-term in Pinus halepensis M. forests. Eur. J. For. Res. 2020, 139, 935–945. [Google Scholar] [CrossRef]
- Bombino, G.; Denisi, P.; Gómez, J.A.; Zema, D.A. Mulching as best management practice to reduce surface runoff and erosion in steep clayey olive groves. Int. Soil Water Conserv. Res. 2021, 9, 26–36. [Google Scholar] [CrossRef]
- Prosdocimi, M.; Tarolli, P.; Cerdà, A. Mulching practices for reducing soil water erosion: A review. Earth-Sci. Rev. 2016, 161, 191–203. [Google Scholar] [CrossRef]
- Bollen, W.B.; Lu, K.C. Effect of Douglas-fir sawdust mulches and incorporations on soil microbial activities and plant growth. Soil Sci. Soc. Am. J. 2010, 21, 35. [Google Scholar] [CrossRef]
- Beggy, H.M.; Fehmi, J.S. Effect of surface roughness and mulch on semi-arid revegetation success, soil chemistry, and soil movement. Catena 2016, 143, 215–220. [Google Scholar] [CrossRef]
- Calama Sainz, R.; Manso González, R.; Lucas Borja, M.E.; Espelta Morral, J.M.; Piqué Nicolau, M.; Bravo Oviedo, F.; Pardos Mínguez, M. Natural regeneration in Iberian pines: A review of dynamic processes and proposals for management. For. Syst. 2017, 26, eR02S. [Google Scholar] [CrossRef]
- Rodrigo, A.; Retana, J.; Picó, F.X. Direct regeneration is not the only response of Mediterranean forests to large fires. Ecology 2004, 85, 716–729. [Google Scholar] [CrossRef]
- Heras JD, L.; Moya, D.; Vega, J.A.; Daskalakou, E.; Vallejo, V.R.; Grigoriadis, N.; Fernandes, P. Post-fire management of serotinous pine forests. In Post-Fire Management and Restoration of Southern European Forests; Springer: Dordrecht, The Netherlands, 2012; pp. 121–150. [Google Scholar]
- Breton, V.; Crosaz, Y.; Rey, F. Effects of wood chip amendments on the revegetation performance of plant species on eroded marly terrains in a Mediterranean mountainous climate (Southern Alps, France). Solid Earth 2016, 7, 599–610. [Google Scholar] [CrossRef]
- Rhoades, C.C.; Battaglia, M.A.; Rocca, M.E.; Ryan, M.G. Short-and medium-term effects of fuel reduction mulch treatments on soil nitrogen availability in Colorado conifer forests. For. Ecol. Manag. 2012, 276, 231–238. [Google Scholar] [CrossRef]
- Lucas-Borja, M.E.; González-Romero, J.; Plaza-Álvarez, P.A.; Sagra, J.; Gómez, M.E.; Moya, D.; de Las Heras, J. The impact of straw mulching and salvage logging on post-fire runoff and soil erosion generation under Mediterranean climate conditions. Sci. Total Environ. 2019, 654, 441–451. [Google Scholar] [CrossRef] [PubMed]
- Lucas-Borja, M.; Hedo, J.; Cerdá, A.; Candel-Pérez, D.; Viñegla, B. Unravelling the importance of forest age stand and forest structure driving microbiological soil properties, enzymatic activities and soil nutrients content in Mediterranean Spanish black pine(Pinus nigra Ar. ssp. salzmannii) Forest. Sci. Total Environ. 2016, 562, 145–154. [Google Scholar] [CrossRef] [PubMed]
- Lucas-Borja, M.E.; Fonseca, T.; Parresol, B.R.; Silva-Santos, P.; Garcia-Morote, F.A.; Tiscar-Oliver, P.A. Modeling Spanish black pine seedling emergence: Establishing management strategies for endangered forest areas. For. Ecol. Manag. 2011, 262, 195–202. [Google Scholar] [CrossRef]
- Tíscar, P.A.; Linares, J.C. Large-scale regeneration patterns of Pinus nigra subsp. salzmannii: Poor evidence of increasing facilitation across a drought gradient. Forests 2013, 5, 1–20. [Google Scholar] [CrossRef]
- Lucas-Borja, M.E.; Candel-Pérez, D.; Morote, F.A.G.; Onkelinx, T.; Tíscar, P.A.; Balandier, P. Pinus nigra Arn. ssp. salzmannii seedling recruitment is affected by stand basal area, shrub cover and climate interactions. Ann. For. Sci. 2016, 73, 649–656. [Google Scholar] [CrossRef]
- Nathan, R.; Ne’eman, G. Spatiotemporal dynamics of recruitment in Aleppo pine (Pinus halepensis Miller). Plant Ecol. 2004, 171, 123–137. [Google Scholar] [CrossRef]
- Nathan, R.; Safriel, U.N.; Noy-Meir, I.; Schiller, G. Seed release without fire in Pinus halepensis, a Mediterranean serotinous wind-dispersed tree. J. Ecol. 1999, 87, 659–669. [Google Scholar] [CrossRef]
- Tapias, R.; Gil, L.; Fuentes-Utrilla, P.; Pardos, J.A. Canopy seed banks in Mediterranean pines of south-eastern Spain: A comparison between Pinus halepensis Mill., P. pinaster Ait., P. nigra Arn. and P. pinea L. J. Ecol. 2001, 89, 629–638. [Google Scholar] [CrossRef]
- Kazanis, D.; Arianoutsou, M. Long-term post-fire vegetation dynamics in Pinus halepensis forests of Central Greece: A functional group approach. Plant Ecol. 2004, 171, 101–121. [Google Scholar] [CrossRef]
- Kavgacı, A.; Čarni, A.; Başaran, S.; Başaran, M.A.; Košir, P.; Marinšek, A.; Šilc, U. Long-term post-fire succession of Pinus brutia forest in the east Mediterranean. Int. J. Wildland Fire 2010, 19, 599–605. [Google Scholar] [CrossRef]
- Paula, S.; Arianoutsou, M.; Kazanis, D.; Tavsanoglu, Ç.; Lloret, F.; Buhk, C.; Pausas, J.G. Fire-related traits for plant species of the Mediterranean Basin: Ecological Archives E090-094. Ecology 2009, 90, 1420. [Google Scholar] [CrossRef]
- Osem, Y.; Yavlovich, H.; Zecharia, N.; Atzmon, N.; Moshe, Y.; Schiller, G. Fire-free natural regeneration in water limited Pinus halepensis forests: A silvicultural approach. Eur. J. For. Res. 2013, 132, 679–690. [Google Scholar] [CrossRef]
- Leverkus, A.B.; Lindenmayer, D.B.; Thorn, S.; Gustafsson, L. Salvage logging in the world’s forests: Interactions between natural disturbance and logging need recognition. Glob. Ecol. Biogeogr. 2018, 27, 1140–1154. [Google Scholar] [CrossRef]
- Johnstone, J.F.; Allen, C.D.; Franklin, J.F.; Frelich, L.E.; Harvey, B.J.; Higuera, P.E.; Turner, M.G. Changing disturbance regimes, ecological memory, and forest resilience. Front. Ecol. Environ. 2016, 14, 369–378. [Google Scholar] [CrossRef]
- Donato, D.C.; Fontaine, J.B.; Campbell, J.L.; Robinson, W.D.; Kauffman, J.B.; Law, B.E. Post-wildfire logging hinders regeneration and increases fire risk. Science 2006, 311, 352. [Google Scholar] [CrossRef]
- Mataix-Solera, J.; Cerdà, A.; Arcenegui, V.; Jordán, A.; Zavala, L.M. Fire effects on soil aggregation: A review. Earth Sci. Rev. 2011, 109, 44–60. [Google Scholar] [CrossRef]
- Muñoz-Rojas, M.; Lewandrowski, W.; Erickson, T.E.; Dixon, K.W.; Merritt, D.J. Soil respiration dynamics in fire affected semi-arid ecosystems: Effects of vegetation type and environmental factors. Sci. Total Environ. 2016, 572, 1385–1394. [Google Scholar] [CrossRef] [PubMed]







| Year | Season | Cumulative Precipitation (mm) | Mean Air Temperature (°C) |
|---|---|---|---|
| 2017 | Winter | 119 | 8.1 |
| Spring | 108 | 15.1 | |
| Summer | 13.3 | 25.5 | |
| Autumn | 20.2 | 17.3 | |
| 2018 | Winter | 93.9 | 7.5 |
| Spring | 129 | 10.1 | |
| Summer | 65.6 | 24.4 | |
| Autumn | 127 | 16.4 | |
| 2020 | Winter | 92.9 | 9.1 |
| Spring | 285 | 11.8 | |
| Summer | 11.5 | 25.3 | |
| Autumn | 161 | 17.5 | |
| 2022 | Winter | 8.2 | 10.3 |
| Spring | 240 | 11.4 |
| Factor | Degrees of Freedom | Sum of Squares | Mean Squares | F | Prob > F |
|---|---|---|---|---|---|
| Soil temperature | |||||
| Treatment | 3 | 0.663 | 0.221 | 0.004 | 0.999 |
| Soil water content | |||||
| Treatment | 3 | 0.017 | 0.006 | 25.468 | <0.0001 |
| Seedling diameter | |||||
| Date | 3 | 5738 | 1913 | 162.932 | <0.0001 |
| Treatment | 9 | 525 | 58 | 4.971 | <0.0001 |
| Treatment × date | 3 | 431 | 144 | 12.243 | <0.0001 |
| Seedling height | |||||
| Date | 3 | 58,992,694 | 19,664,231 | 398.033 | <0.0001 |
| Treatment | 9 | 1,768,114 | 196,457 | 3.977 | <0.0001 |
| Treatment × date | 3 | 2,479,934 | 826,645 | 16.733 | <0.0001 |
| Length of aerial part of seedlings | |||||
| Treatment | 3 | 134 | 44.6 | 0.747 | 0.531 |
| Root length of seedlings | |||||
| Treatment | 3 | 46.0 | 15.3 | 0.421 | 0.739 |
| Dry weight of aerial part of seedlings | |||||
| Treatment | 3 | 10.3 | 3.43 | 0.200 | 0.896 |
| Dry weight of roots of seedlings | |||||
| Treatment | 3 | 0.04 | 0.01 | 0.021 | 0.996 |
| Dry weight of needles | |||||
| Treatment | 3 | 2.53 | 0.84 | 0.109 | 0.954 |
| Variables | Treatments | |||
|---|---|---|---|---|
| M + L | M + NL | NM + L | NM + NL | |
| Soil temperature (°C) | 15.7 ± 7.75 a | 15.7 ± 7.71 a | 15.6 ± 7.60 a | 15.6 ± 7.65 a |
| Soil water content (SWC, %) | 2.02 ± 0.02 a | 2.03 ± 0.02 a | 1.01 ± 0.01 b | 1.01 ± 0.01 b |
Publisher’s Note: MDPI stays neutral with regard to jurisdictional claims in published maps and institutional affiliations. |
© 2022 by the authors. Licensee MDPI, Basel, Switzerland. This article is an open access article distributed under the terms and conditions of the Creative Commons Attribution (CC BY) license (https://creativecommons.org/licenses/by/4.0/).
Share and Cite
Navidi, M.; Lucas-Borja, M.E.; Plaza-Álvarez, P.A.; Carra, B.G.; Parhizkar, M.; Antonio Zema, D. Mid-Term Natural Regeneration of Pinus halepensis Mill. after Post-Fire Treatments in South-Eastern Spain. Forests 2022, 13, 1501. https://doi.org/10.3390/f13091501
Navidi M, Lucas-Borja ME, Plaza-Álvarez PA, Carra BG, Parhizkar M, Antonio Zema D. Mid-Term Natural Regeneration of Pinus halepensis Mill. after Post-Fire Treatments in South-Eastern Spain. Forests. 2022; 13(9):1501. https://doi.org/10.3390/f13091501
Chicago/Turabian StyleNavidi, Mehdi, Manuel Esteban Lucas-Borja, Pedro Antonio Plaza-Álvarez, Bruno Gianmarco Carra, Misagh Parhizkar, and Demetrio Antonio Zema. 2022. "Mid-Term Natural Regeneration of Pinus halepensis Mill. after Post-Fire Treatments in South-Eastern Spain" Forests 13, no. 9: 1501. https://doi.org/10.3390/f13091501
APA StyleNavidi, M., Lucas-Borja, M. E., Plaza-Álvarez, P. A., Carra, B. G., Parhizkar, M., & Antonio Zema, D. (2022). Mid-Term Natural Regeneration of Pinus halepensis Mill. after Post-Fire Treatments in South-Eastern Spain. Forests, 13(9), 1501. https://doi.org/10.3390/f13091501

