Woody Plant Conservation Value of Three Contrasting Forest Management Regimes in Southwest Ethiopia
Abstract
:1. Introduction
2. Methods
2.1. Description of Study Sites
2.2. Data Collection
2.3. Data Analysis
- “Good” regeneration, if the number of seedlings > saplings > mature trees
- “Fair” regeneration, if the number of seedlings < saplings < or > mature trees
- “Poor” regeneration, if there are only saplings but no seedlings
- “No” regeneration, if both seedlings and saplings are absent but found only in mature trees
- “New” regeneration, if there is no adult but only saplings and/or seedlings stage
3. Result
3.1. Woody Species Composition and Richness
3.2. Similarity of Woody Species Composition across Natural Forest, Coffee Forest and Coffee Agroforest
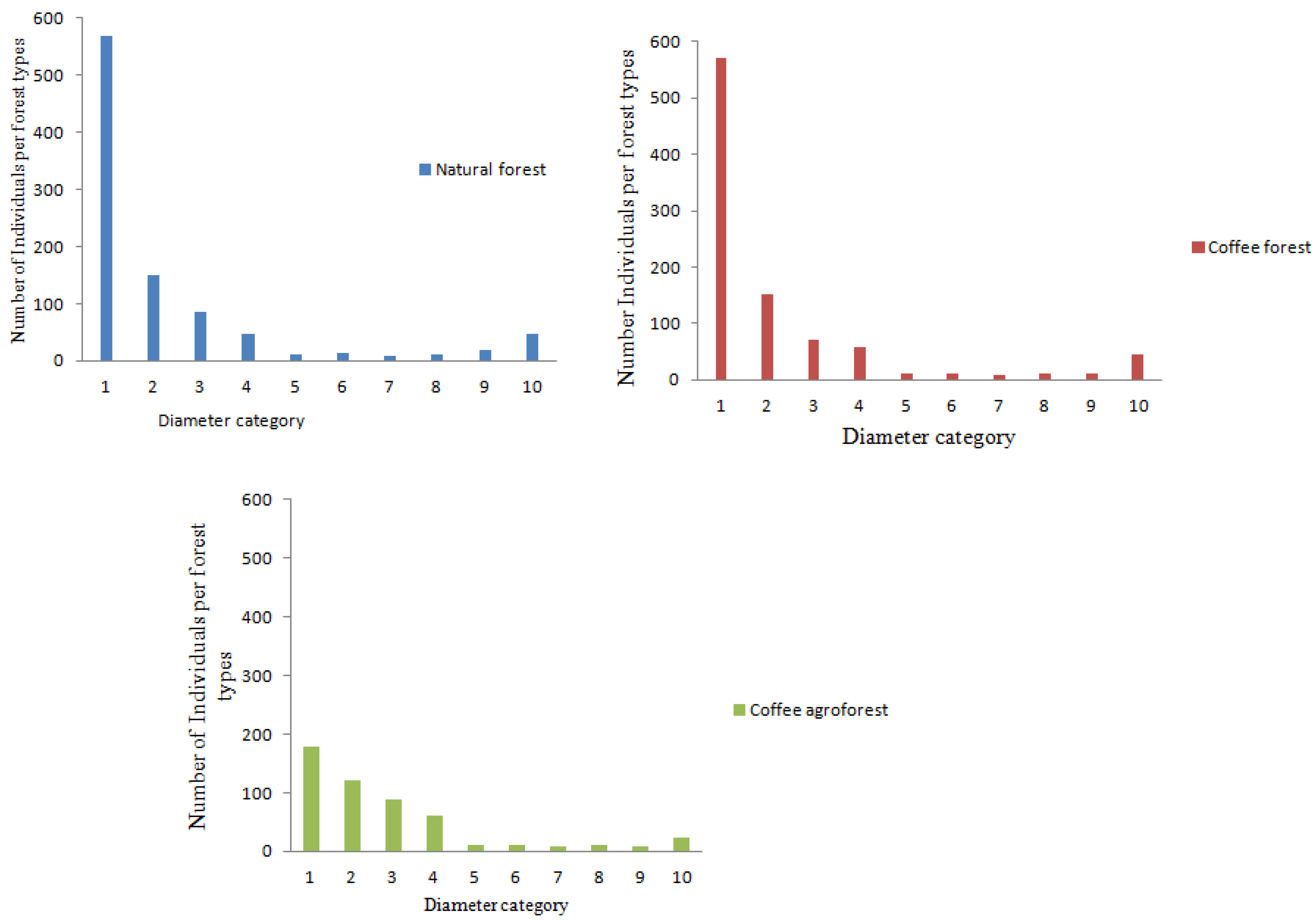
3.3. Woody Plant Abundance
3.4. Forest Structure
3.5. Regneration Status
4. Discussion
5. Conclusions
Supplementary Materials
Author Contributions
Funding
Institutional Review Board Statement
Data Availability Statement
Conflicts of Interest
References
- Manral, U.; Badala, R.; Hussain, S.A. Forest composition and structure under various disturbance regimes in the Alankanda river basin, Western Himalaya. Mt. Res. Dev. 2017, 37, 310–322. [Google Scholar] [CrossRef]
- Walker, B.; Steffen, W. An overview of the implications of global change for natural and managed terrestrial ecosystems. Conserv. Ecol. 1997, 1, 2. [Google Scholar] [CrossRef]
- Moguel, P.; Toledo, V.M. Biodiversity Conservation in Traditional Coffee Systems of Mexico. Conserv. Biol. 1999, 13, 11–21. [Google Scholar] [CrossRef]
- McNeely, J.A. Nature vs. nurture: Managing relationships between forests, agroforestry and wild biodiversity. Agrofor. Syst. 2004, 61, 155–165. [Google Scholar]
- Hylander, K.; Nemomissa, S.; Delrue, J.; Enkosa, W. Effects of coffee management on deforestation rates and forest integrity. Conserv. Biol. 2013, 27, 1031–1040. [Google Scholar] [CrossRef] [PubMed]
- Gonzalez-Zamora, A.; Esperon-Rodriguez, M.; Barradas, V.L. Mountain cloud forest and grown-shade coffee plantations: A comparison of tree biodiversity in central Veracruz, Mexico. For. Syst. 2016, 25, e055. [Google Scholar] [CrossRef]
- Bhagwat, S.A.; Willis, K.J.; Birks, J.B.; Whittaker, R.J. Agroforestry: A refuge for tropical biodiversity? Trends Ecol. Evol. 2008, 23, 261–267. [Google Scholar] [CrossRef] [PubMed]
- Chazdon, R.L.; Harvey, C.A.; Komar, O.; Griffith, D.M.; Ferguson, B.G.; Martínez-Ramos, M.; Morales, H.; Nigh, R.; Soto-Pinto, L.; Van Breugel, M.; et al. Beyond reserves: A research agenda for conserving biodiversity in human-modified tropical landscapes. Biotropica 2009, 41, 142–153. [Google Scholar] [CrossRef]
- Gardner, T.A.; Barlow, J.; Chazdon, R.; Ewers, R.M.; Harvey, C.A.; Peres, C.A.; Sodhi, N.S. Prospects for tropical forest biodiversity in a human-modified world. Ecol. Lett. 2009, 12, 561–582. [Google Scholar] [CrossRef] [PubMed]
- Barlow, J.; Gardner, T.A.; Louzada, J.; Peres, C.A. Measuring the conservation value of tropical primary forests: The effect of occasional species on estimates of biodiversity uniqueness. PLoS ONE 2010, 5, e9609. [Google Scholar] [CrossRef]
- Tabarelli, M. Tropical biodiversity in human-modified landscapes: What is our trump card? Biotropica 2010, 42, 553–554. [Google Scholar] [CrossRef]
- Nandy, S.; Das, K. Comparing tree diversity and population structure between a traditional agroforestry system and natural forests of Barak valley, Northeast India. Int. J. Biodivers. Sci. Ecosyst. Serv. Manag. 2013, 9, 104–113. [Google Scholar] [CrossRef]
- Arroyo-Rodríguez, V.; Fahrig, L.; Tabarelli, M.; Watling, J.I.; Tischendorf, L.; Benchimol, M.; Cazetta, E.; Faria, D.; Leal, I.R.; Melo, F.P.L.; et al. Designing optimal human-modified landscapes for forest biodiversity conservation. Ecol. Lett. 2020, 23, 1404–1420. [Google Scholar] [CrossRef] [PubMed]
- Lhoest, S.; Fonteyn, D.; Daïnou, K.; Delbeke, L.; Doucet, J.-L.; Dufrêne, M.; Josso, J.; Ligot, G.; Oszwald, J.; Rivault, E.; et al. Conservation value of tropical forests: Distance to human settlements matters more than management in central africa. Biol. Conserv. 2020, 241, 108351. [Google Scholar] [CrossRef]
- Wiersum, K.F. Forest gardens as an ‘intermediate’ land-use system in the nature–culture continuum: Characteristics and future potential. Agrofor. Syst. 2004, 61, 123–134. [Google Scholar]
- Shumi, G.; Rodrigues, P.; Schultner, J.; Dorresteijn, I.; Hanspach, J.; Hylander, K.; Senbeta, F.; Fischer, J. Conservation value of moist evergreen Afromontane forest sites with Different Management and History in Southwestern Ethiopia. Biol. Conserv. 2019, 232, 117–126. [Google Scholar] [CrossRef]
- Michon, G.; De Foresta, H.; Levang, P.; Verdeaux, F. Domestic forests: A new paradigm for integrating local communities’ forestry into tropical forest science. Ecol. Soc. 2007, 12, 1. [Google Scholar] [CrossRef]
- Montes-Londono, I. Tropical dry forests in multi-functional landscapes: Agroforestry systems for conservation and livelihoods. In Integrating Landscapes: Agroforestry for Biodiversity Conservation and Food Sovereignty. Advances in Agroforestry 12; Montagnini, F., Ed.; Springer International Publishing AG: Cham, Switzerland, 2017. [Google Scholar]
- Mukul, S.A.; Saha, N. Conservation benefits of tropical multifunctional land-uses in and around a forest protected area of Bangladesh. Land 2017, 6, 2. [Google Scholar] [CrossRef]
- Hundera, K.; Aerts, R.; Fontaine, A.; Mechelen, M.V.; Gijels, P.; Honney, O.; Muys, B. Effects of coffee management intensity on composition, structure, and regeneration status of Ethiopian moist evergreen Afromontane forests. Environ. Manag. 2013, 51, 801–809. [Google Scholar] [CrossRef] [PubMed]
- Lopez-Gomez, A.M.; Williams-Linera, G.; Manson, R.H. Tree species diversity and vegetation structure in shade coffee farms in Veracruz, Mexico. Agric. Ecosyst. Environ. 2008, 124, 160–172. [Google Scholar] [CrossRef]
- Noble, I.R.; Dirzo, R. Forests as human-dominated ecosystems. Science 1997, 277, 522–525. [Google Scholar] [CrossRef]
- Valencia, V.; Garcia-Barrios, L.; West, P.; Sterling, E.J.; Naeem, S. The role of coffee agroforestry in the conservation of tree diversity and community composition of native forests in a Biosphere Reserve. Agric. Ecosyst. Environ. 2014, 189, 154–163. [Google Scholar] [CrossRef]
- Tadesse, G.; Zavaleta, E.; Shennan, C. Coffee landscapes as refugia for native woody biodiversity as forest loss continues in southwest Ethiopia. Biol. Conserv. 2014, 169, 384–391. [Google Scholar] [CrossRef]
- Senbeta, F.; Denich, M. Effects of wild coffee management on species diversity in the Afromontane rainforests of Ethiopia. For. Ecol. Manag. 2006, 232, 68–74. [Google Scholar] [CrossRef]
- Mueller-Dombois, D.; Ellenberge, H. Aims and Methods of Vegetation Ecology; John Wiley and Sons: New York, NY, USA, 1974. [Google Scholar]
- Senbeta, F. An analysis of vegetation structure of the moist evergreen Afromontane forests of Ethiopia. Ethiop. J. Sci. Technol. 2016, 7, 37–50. [Google Scholar]
- Singh, S.; Zubair, A.; Malik, Z.A.; Sharma, C.M. Tree species richness, diversity, and regeneration status in different oak (quercus spp.) dominated forests of Garhwal Himalaya, India. J. Asia-Pac. Biodivers. 2016, 9, 293–300. [Google Scholar] [CrossRef]
- Khumbongmayum, A.D.D.; Khan, M.L.; Tripathi, R.S. Biodiversity conservation in sacred groves of Manipur north east India: Population structure and regeneration status of woody species. Biodivers. Conserv. 2006, 15, 2439–2456. [Google Scholar] [CrossRef]
- Tesfaye, G.; Teketay, D.; Fetene, M.; Beck, E. Regeneration of seven indigenous tree species in a dry Afromontane forest, southern Ethiopia. Flora 2010, 205, 135–143. [Google Scholar] [CrossRef]
- McCann, J.C. The plow and the forest: Narratives of deforestation in Ethiopia, 1840–1992. Environ. Hist. 1997, 2, 138–159. [Google Scholar] [CrossRef]
- Gole, T.W.; Borsch, T.; Denich, M.; Teketay, D. Floristic Composition and Environmental Factors Characterizing Coffee Forests in Southwest Ethiopia. For. Ecol. Manag. 2008, 255, 2138–2150. [Google Scholar] [CrossRef]
- Teketay, D.; Tegineh, A. Traditional tree crop based agroforestry in coffee producing areas of Harerge, eastern Ethiopia. Agrofor. Syst. 1991, 16, 257–267. [Google Scholar] [CrossRef]
- Mertens, J.E.J.; Emsens, W.J.; Jocque, M.; Geeraert, L.; De Beenhouwer, M. From natural forest to coffee agroforest: Implications for communities of large mammals in the Ethiopian highlands. Oryx 2018, 54, 1–8. [Google Scholar] [CrossRef]
- Khaine, I.; Woo, S.Y.; Kang, H.; Kwak, M.; Je, S.M.; You, H.; Lee, T.; Jang, J.; Lee, H.K.; Lee, E.; et al. Species Diversity, Stand Structure, and Species Distribution across a Precipitation Gradient in Tropical Forests in Myanmar. Forests 2017, 8, 282. [Google Scholar] [CrossRef] [Green Version]
- Hundera, K.; Honnay, O.; Aerts, R.; Muys, B. The potential of small exclosures in assisting regeneration of coffee shade trees in South-Western Ethiopian coffee forests. Afr. J. Ecol. 2015, 53, 389–397. [Google Scholar] [CrossRef]
- Schmitt, C.B.; Senbeta, F.; Denich, M.; Preisinger, H.; Boehmer, H.J. Wild coffee management and plant diversity in the montane rainforest of southwestern Ethiopia. Afr. J. Ecol. 2010, 48, 78–86. [Google Scholar] [CrossRef]
- Cheng, S.; Hiwatashi, Y.; Imai, H.; Naito, M.; Numata, T. Deforestation and degradation of natural resources in Ethiopia: Forest management implications from a case study in the Belete-Gera Forest. J. For. Res. 1998, 3, 199–204. [Google Scholar] [CrossRef]
- Takashi, R.; Todo, Y. The impact of a shade coffee certification program on forest conservation: A case study from a wild coffee forest in Ethiopia. J. Environ. Manag. 2013, 130, 48–54. [Google Scholar] [CrossRef]
- Bekele-Tesemma, A. Useful Trees of Ethiopia: Identification, Propagation and Management in 17 Agroecological Zones; RELMA in ICRAF Project, World Agroforestry Centre—Eastern Africa Region Programme: Nairobi, Kenya, 2007. [Google Scholar]
- Teketay, D.; Senbeta, F.; Maclachlan, M.; Bekele, M.; Barklund, P. Edible Wild Plants in Ethiopia; Addis Ababa University Press: Addis Ababa, Ethiopia, 2010. [Google Scholar]
- Kent, M.; Coker, P. Vegetation Description and Analysis. A Practical Approach; Belhaven Press: London, UK, 1992. [Google Scholar]
- Kuma, M. Diversity of Woody Plant Species of Gamuwa and Oda Forests of Humbo Carbon Project, Wolaita, Ethiopia: For Conservation and Management of Forests. Int. J. Biodivers. 2016, 57, 7930857. [Google Scholar] [CrossRef]
- Mengistu, B.; Asfaw, Z. Woody species diversity and structure of agroforestry and adjacent land uses in Dallo Mena District, South- East Ethiopia. Nat. Resour. 2016, 7, 515–534. [Google Scholar] [CrossRef]
- Diserud, O.H.; Odegaard, F. A multiple site similarity measure. Biol. Lett. 2006, 3, 20–22. [Google Scholar] [CrossRef] [PubMed]
- Bogale, T.; Datiko, D.; Belachew, S. Structure and natural regeneration status of woody plants of Berbere Afromontane Moist Forest, Bale Zone, South East Ethiopia; Implication to Biodiversity Conservation. Open J. For. 2017, 7, 352–371. [Google Scholar] [CrossRef]
- Gelasso, M.; Li, J. Structure and regeneration status of woody species in the Munessa forest, Southern Ethiopia. J. For. Res. 2020, 32, 493–501. [Google Scholar] [CrossRef]
- Bhat, J.A.; Negi, A.K.; Todaria, N.P. Regeneration status of woody species in a protected area of Western Himalaya. Acta Ecol. Sin. 2015, 35, 51–58. [Google Scholar] [CrossRef]
- Maua, J.O.; Tsingalia, H.M.; Cheboiwo, J.; Odee, D. Population structure and regeneration status of woody species in a remnant tropical forest: A case study of South Nandi forest, Kenya. Glob. Ecol. Conserv. 2020, 21, e00820. [Google Scholar] [CrossRef]
- Chapman, M.G.; Underwood, A.J. Ecological patterns in multivariate assemblages: Information and interpretation of negative values in ANOSIM tests. Mar. Ecol. Prog. Ser. 1999, 180, 257–265. [Google Scholar] [CrossRef]
- Tong, S.T.Y. The use of non-metric multidimensional scaling as an ordination technique in resource survey and evaluation: A case study from southeast spain. Appl. Geogr. 1992, 12, 243–260. [Google Scholar] [CrossRef]
- Dexter, E.; Rollwagen-Bollens, G.; Bollens, S.M. The trouble with stress: A flexible method for the evaluation of nonmetric multidimensional scaling. Limnol. Oceanogr. Methods 2018, 16, 434–443. [Google Scholar] [CrossRef]
- Valencia, V.; West, P.; Sterling, E.J.; García-Barrios, L.; Naeem, S. The use of farmers’ knowledge in coffee agroforestry management: Implications for the conservation of tree biodiversity. Ecosphere 2015, 6, 1–17. [Google Scholar] [CrossRef]
- McCune, B.; Grace, J.B. Analysis of Ecological Communities; MjM Software Design: Gleneden Beach, OR, USA, 2002. [Google Scholar]
- Clarke, K.R. Non-parametric multivariate analyses of changes in community structure. Austral. Ecol. 1993, 18, 117–143. [Google Scholar] [CrossRef]
- Paliy, O.; Shankar, V. Application of multivariate statistical techniques in microbial ecology. Mol. Ecol. 2016, 25, 1032–1057. [Google Scholar] [CrossRef]
- Kalema, V.N.; Witkowski, E.T.F. Land-use impacts on woody plant density and diversity in an African savanna charcoal production region. Int. J. Biodivers. Sci. Ecosyst. Serv. Manag. 2012, 8, 231–247. [Google Scholar] [CrossRef]
- Sop, T.K.; Oldeland, J.; Bognounou, F.; Schmiedel, U.; Thiombiano, A. Ethnobotanical knowledge and valuation of woody plants species: A comparative analysis of three ethnic groups from the subsahel of Burkina Faso. Environ. Dev. Sustain. 2012, 14, 627–649. [Google Scholar] [CrossRef]
- Mwavu, E.N.; Ariango, E.; Ssegawa, P.; Kalema, V.N.; Bateganya, F.; Waiswa, D.; Byakagaba, P. Agrobiodiversity of homegardens in a commercial sugarcane cultivation land matrix in Uganda. Int. J. Biodivers. Sci. Ecosyst. Serv. Manag. 2016, 12, 191–201. [Google Scholar] [CrossRef]
- Wang, J.; Liu, Y.; Martin, K.; Luo, F.; Meng, L. Implications of continuous amphibian diversity monitoring in Daweishan National Nature Reserve in tropical SE Yunnan, China. Glob. Ecol. Conserv. 2019, 20, e00694. [Google Scholar] [CrossRef]
- Newton, A.C.; Cayuela, L.; Echeverría, C.; Armesto, J.J.; Del-Castillo, R.F.; Golicher, D.; Geneletti, D.; Gonzalez-Espinosa, M.; Huth, A.; López-Barrera, F.; et al. Toward integrated analysis of human impacts on forest biodiversity: Lessons from Latin America. Ecol. Soc. 2009, 14, 2. [Google Scholar] [CrossRef]
- Gebeyehu, G.; Soromessa, T.; Bekele, T.; Teketay, D. Species composition, stand structure, and regeneration status of tree species in dry Afromontane forests of Awi zone, northwestern Ethiopia. Ecosyst. Health Sustain. 2019, 5, 199–215. [Google Scholar] [CrossRef]
- Hitimana, J.; Legilisho Kiyiapi, L.J.; Njunge, J.T. Forest structure characteristics in disturbed and undisturbed sites of Mt. Elgon Moist Lower Montane Forest, western Kenya. For. Ecol. Manag. 2004, 94, 269–291. [Google Scholar] [CrossRef]
- Rutten, G.; Ensslin, A.; Hemp, A.; Fischer, M. Vertical and horizontal vegetation structure across natural and modified habitat types at Mount Kilimanjaro. PLoS ONE 2015, 10, e0138822. [Google Scholar] [CrossRef]
- Muleta, D.; Assefa, F.; Nemomissa, S.; Granhall, U. Composition of coffee shade tree Species and density of indigenous arbuscular mycorrhizal Fungi (AMF) Spores in Bonga natural coffee forest, south western Ethiopia. For. Ecol. Manag. 2007, 241, 145–154. [Google Scholar] [CrossRef]
- Aerts, R.; Hundera, K.; Berecha, G.; Gijbels, P.; Baeten, M.; Van Mechelen, M.; Hermy, M.; Muys, B.; Honnay, O. Semi-forest coffee cultivation and the conservation of Ethiopian Afromontane rainforest fragments. For. Ecol. Manag. 2011, 261, 1034–1041. [Google Scholar] [CrossRef] [Green Version]







| Site | Natural Forest | Coffee Forest | Coffee Agroforest | Total |
|---|---|---|---|---|
| Debiye | 15 | 15 | 15 | 45 |
| Meti-Chafe | 12 | 12 | 12 | 36 |
| Soki | 13 | 13 | 13 | 39 |
| Gurati | 12 | 12 | 12 | 36 |
| Kerteme | 11 | 11 | 11 | 33 |
| Total plots | 63 | 63 | 63 | 189 |
| Forest Types | Similarity (%) |
|---|---|
| natural forest vs. coffee forest | 95 |
| natural forest vs. coffee agroforest | 92 |
| coffee forest vs. coffee agroforest | 95 |
| natural forest vs. coffee forest vs. coffee agroforest | 61 |
| Comparison of Forest Types | Global R = 0.3665, p < 0.001 | |
|---|---|---|
| R Statistics a | P b | |
| natural forest vs. coffee forest | −0.024 | 0.56 |
| natural forest vs. coffee agroforest | 0.6574 | 0.001 *** |
| coffee forest vs. coffee agroforest | 0.412 | 0.007 ** |
| Natural Forest | Coffee Forest | Coffee Agroforest | p-Value | |
|---|---|---|---|---|
| Tall trees | 364 (15.8) | 273 (20.4) | 218 (32.4) | ** |
| Medium trees | 391 (16.9) | 395 (29.6) | 220 (32.7) | ** |
| Small trees | 1197 (51.9) | 490 (36.7) | 179 (26.6) | ** |
| Forest floor | 355 (15.4) | 177 (13.3) | 56 (8.3) | ** |
| Natural Forest | Coffee Forest | Coffee Agroforest | p-Value | |
|---|---|---|---|---|
| number of individual (number) | 971 | 945 | 520 | ** |
| density (number) | 387.7 | 375 | 206.7 | ** |
| basal area (m2) | 140.9 | 121.63 | 86.73 | ** |
| Natural Forest | Coffee Forest | Coffee Agroforest | |
|---|---|---|---|
| trees | 971 (38.5) | 945 (74.7) | 520 (78.4) |
| saplings | 1150 (45.5) | 167 (13.2) | 75 (11.3) |
| seedlings | 404 (16) | 153 (12.1) | 68 (10.3) |
| Status * | Fair | Fair | Fair |
Publisher’s Note: MDPI stays neutral with regard to jurisdictional claims in published maps and institutional affiliations. |
© 2022 by the authors. Licensee MDPI, Basel, Switzerland. This article is an open access article distributed under the terms and conditions of the Creative Commons Attribution (CC BY) license (https://creativecommons.org/licenses/by/4.0/).
Share and Cite
Kebebew, Z.; Ozanne, C. Woody Plant Conservation Value of Three Contrasting Forest Management Regimes in Southwest Ethiopia. Forests 2022, 13, 1438. https://doi.org/10.3390/f13091438
Kebebew Z, Ozanne C. Woody Plant Conservation Value of Three Contrasting Forest Management Regimes in Southwest Ethiopia. Forests. 2022; 13(9):1438. https://doi.org/10.3390/f13091438
Chicago/Turabian StyleKebebew, Zerihun, and Claire Ozanne. 2022. "Woody Plant Conservation Value of Three Contrasting Forest Management Regimes in Southwest Ethiopia" Forests 13, no. 9: 1438. https://doi.org/10.3390/f13091438
APA StyleKebebew, Z., & Ozanne, C. (2022). Woody Plant Conservation Value of Three Contrasting Forest Management Regimes in Southwest Ethiopia. Forests, 13(9), 1438. https://doi.org/10.3390/f13091438

