Effects of Intercropping between Morus alba and Nitrogen Fixing Species on Soil Microbial Community Structure and Diversity
Abstract
:1. Introduction
2. Materials and Methods
2.1. Tested Varieties and Planting Patterns
2.2. Gathered Soil Samples and Admeasurement of Physicochemical Properties
2.3. DNA Extraction and Sequencing of Soil Microorganisms
2.4. Statistical Analysis
3. Results
3.1. Soil Physicochemical Properties of Different Planting Types
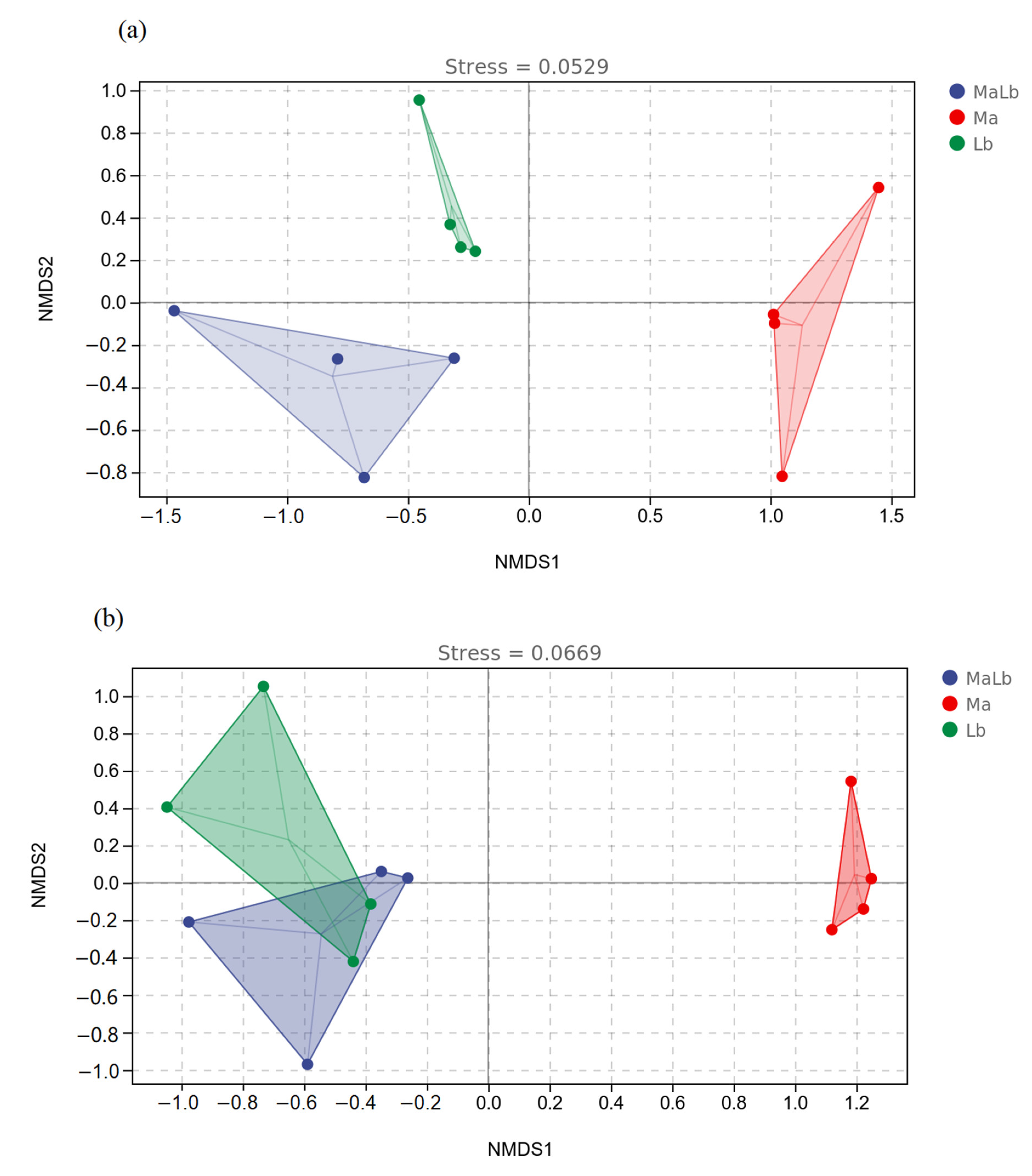
3.2. Soil Microbial Community Composition and Structural Diversity under Different Planting Methods
3.3. Different Types of Planting Soil Physicochemical Properties and Microbial Community Diversity
4. Discussion
5. Conclusions
Author Contributions
Funding
Institutional Review Board Statement
Informed Consent Statement
Data Availability Statement
Conflicts of Interest
References
- Hossain, M.; Okubo, A.; Sugiyama, S. Effects of grassland species on decomposition of litter and soil microbial communities. Ecol. Res. 2009, 25, 255–261. [Google Scholar] [CrossRef]
- You, Y.M.; Wang, J.; Huang, X.M.; Tang, Z.X.; Liu, S.M.; Osbert, J.S. Relating microbial community structure to functioning in forest soil organic carbon transformation and turnover. Ecol. Evol. 2014, 4, 633–647. [Google Scholar] [CrossRef] [PubMed]
- Xu, Z.W.; Yu, G.R.; Zhang, X.Y.; Ge, J.P.; He, N.P.; Wang, Q.F.; Wang, D. The variations in soil microbial communities, enzyme activities and their relationships with soil organic matter decomposition along the northern slope of changbai mountain. Appl. Soil Ecol. 2015, 86, 19–29. [Google Scholar] [CrossRef]
- Maillard, F.; Leduc, V.; Bach, C.; Reichard, A.; Buée, M. Soil microbial functions are affected by organic matter removal in temperate deciduous forest. Soil Biol. Biochem. 2019, 133, 28–36. [Google Scholar] [CrossRef]
- Heijden, M.G.A.V.D.; Bardgett, R.D.; Straalen, N.M.V. The unseen majority: Soil microbes as drivers of plant diversity and productivity in terrestrial ecosystems. Ecol. Lett. 2008, 11, 296–310. [Google Scholar] [CrossRef]
- Urbanová, M.; Šnajdr, J.; Baldrian, P. Composition of fungal and bacterial communities in forest litter and soil is largely determined by dominant trees. Soil Biol. Biochem. 2015, 84, 53–64. [Google Scholar] [CrossRef]
- Doran, R. Soil microbiology and biochemistry. J. Range Manag. 2014, 51, 254. [Google Scholar] [CrossRef]
- Gutknecht, J.; Henry, H.; Balser, T.C. Inter-annual variation in soil extra-cellular enzyme activity in response to simulated global change and fire disturbance. Pedobiologia 2010, 53, 283–293. [Google Scholar] [CrossRef]
- Wallenstein, M.D.; Mcnulty, S.; Fernandez, I.J.; Boggs, J.; Schlesinger, W.H. Nitrogen fertilization decreases forest soil fungal and bacterial biomass in three long-term experiments. For. Ecol. Manag. 2006, 222, 459–468. [Google Scholar] [CrossRef]
- Treseder, K.K. Nitrogen additions and microbial biomass: A meta-analysis of ecosystem studies. Ecol. Lett. 2008, 11, 1111–1120. [Google Scholar] [CrossRef] [Green Version]
- Hoogmoed, M.; Cunningham, S.C.; Baker, P.; Beringer, J.; Cavagnaro, T.R. N-fixing trees in restoration plantings: Effects on nitrogen supply and soil microbial communities. Soil Biol. Biochem. 2014, 77, 203–212. [Google Scholar] [CrossRef]
- Curtis, P.S. A meta-analysis of leaf gas exchange and nitrogen in trees grown under elevated carbon dioxide. Plant Cell Environ. 2010, 19, 127–137. [Google Scholar] [CrossRef]
- Wang, F.M.; Li, Z.A.; Xia, H.P.; Zou, B.; Li, N.Y.; Liu, J.; Zhu, W.X. Effects of nitrogen-fixing and non-nitrogen-fixing tree species on soil properties and nitrogen transformation during forest restoration in southern China. J. Soil Sci. Plant Nutr. 2010, 56, 297–306. [Google Scholar] [CrossRef]
- Le, J.J.; Su, Y.; Luo, Y.; Geng, F.Z.; Liu, X.J. Effects of enclosure on leaves of four plants and soil stoichiometry in an alpine grassland of Tianshan mountains. Acta Ecol. Sin. 2020, 40, 1621–1628. [Google Scholar]
- Zeng, Q.X.; Zhang, Q.F.; Lin, K.M.; Zhou, J.C.; Yuan, X.C.; Mei, K.C.; Wu, Y.; Cui, J.Y.; Xu, J.G.; Chen, Y.M. Enzyme stoichiometry evidence revealed that fiveyears nitrogen addition exacerbated the carbon and phosphorus limitation of soil microorganismsin a Phyllostachys pubescens forest. Chin. J. Appl. Ecol. 2021, 32, 521–528. [Google Scholar]
- Zhou, J.C.; Liu, X.F.; Zheng, Y.; Ji, Y.; Li, X.F.; Xu, P.C.; Chen, Y.M.; Yang, Y.C. Effects of nitrogen deposition on soil microbial biomassand enzyme activities in Castanopsis carlesii natural forests in subtropical regions. Acta Ecol. Sin. 2017, 37, 127–135. [Google Scholar]
- Bellingham, P.J.; Walker, L.R.; Wardle, D.A. Differential facilitation by a nitrogen-fixing shrub during primary succession influences relative performance of canopy tree species. J. Ecol. 2010, 89, 861–875. [Google Scholar] [CrossRef]
- He, X.H.; Xu, M.G.; Qiu, G.Y.; Zhou, J.B. Use of 15N stable isotope to quantify nitrogen transfer between mycorrhizal plants. J. Plant Ecol. 2009, 2, 107–118. [Google Scholar] [CrossRef]
- Schipanski, M.E.; Drinkwater, L.E. Nitrogen fixation in annual and perennial legume-grass mixtures across a fertility gradient. Plant Soil 2012, 357, 147–159. [Google Scholar] [CrossRef]
- Png, G.K.; Lambers, H.; Kardol, P.; Turner, B.L.; Wardle, D.A.; Laliberté, E. Biotic and abiotic plant–soil feedback depends on nitrogen-acquisition strategy and shifts during long-term ecosystem development. J. Ecol. 2019, 107, 142–153. [Google Scholar] [CrossRef]
- Olsen, S.L.; Sandvik, S.M.; Totland, O. Influence of two n-fixing legumes on plant community properties and soil nutrient levels in an alpine. Arct. Antarct. Alp. Res. 2013, 45, 363–371. [Google Scholar] [CrossRef]
- Titus, J.H.; Bishop, J.G.; Moral, R.D. Propagule limitation and competition with nitrogen fixers limit conifer colonization during primary succession. J. Veg. Sci. 2014, 25, 990–1003. [Google Scholar] [CrossRef]
- Tang, X.M.; Zhong, R.C.; Jiang, J.; He, L.Q.; Huang, Z.P.; Shi, G.Y.; Wu, H.N.; Liu, J.; Xiong, F.Q.; Han, Z.Q.; et al. Cassava/peanut intercropping improves soil quality via rhizospheric microbes increased available nitrogen contents. BMC Biotechnol. 2020, 28, 20. [Google Scholar] [CrossRef] [PubMed] [Green Version]
- Li, H.; Zhu, N.; Wang, S.; Gao, M.; Wu, Y. Dual benefits of long-term ecological agricultural engineering: Mitigation of nutrient losses and improvement of soil quality. Sci. Total Environ. 2020, 721, 137848. [Google Scholar] [CrossRef] [PubMed]
- Fu, Z.; Zhou, L.; Chen, P.; Du, Q.; Pang, T.; Song, C.; Wang, X.; Liu, W.; Yang, W.; Yong, T. Effects of maize-soybean relay intercropping on crop nutrient uptake and soil bacterial community. J. Integr. Agr. 2019, 18, 2006–2018. [Google Scholar] [CrossRef]
- Forrester, D.I.; Bauhus, J.; Cowie, A.L. Growth dynamics in a mixed-species plantation of Eucalyptus globulus and Acacia mearnsii. For. Ecol. Manag. 2004, 193, 81–95. [Google Scholar] [CrossRef]
- Kelty, M. The role of species mixture in plantation forestry. For. Ecol. Manag. 2006, 233, 195–204. [Google Scholar] [CrossRef]
- Garcias-Bonet, N.; Arrieta, J.M.; Duarte, C.M.; Marbà, N. Nitrogen-fixing bacteria in mediterranean seagrass (posidonia oceanica) roots. Aquat. Bot. 2016, 131, 57–60. [Google Scholar] [CrossRef]
- Zhan, X.; Clab, C.; Cza, C.; Yang, Y.; Wvdwb, C.; Fza, C. Intercropping maize and soybean increases efficiency of land and fertilizer nitrogen use; a meta-analysis. Field Crop Res. 2020, 246, 107661. [Google Scholar]
- Cong, W.F.; Hoffland, E.; Li, L.; Six, J.; Sun, J.H.; Bao, X.G.; Zhang, F.S.; Werf, V.D.W. Intercropping enhances soil carbon and nitrogen. Glob. Chang. Biol. 2015, 21, 1715–1726. [Google Scholar] [CrossRef]
- Hu, Y.L.; Mgelwa, A.S.; Singh, A.N.; Zeng, D.H. Differential responses of the soil nutrient status, biomass production, and nutrient uptake for three plant species to organic amendments of placer gold mine-tailing soils. Land Degrad. Dev. 2018, 29, 2836–2845. [Google Scholar] [CrossRef]
- Wang, L.; Wang, N.; Ji, G. Responses of biomass allocation and photosynthesis in mulberry to Pb-contaminated soil. Acta Physiol. Plant 2022, 44, 1–9. [Google Scholar] [CrossRef]
- Xu, H.Y.; Gao, S.; Song, G.L.; Han, L.B. Effect of rocky slopes gradient on root growth and pull-out resistance of Lespedeza bicolor Turcz plants. In Proceedings of the Beijing International Symposium Land Reclamation & Ecological Restoration, Beijing, China, 16–19 October 2014. [Google Scholar]
- Claesson, M.J.; O’Sullivan, O.; Wang, Q.; Nikkilä, J.; Marchesi, J.R.; Smidt, H.; De Vos, W.M.; Paul Ross, R.; O’Toole, P.W. Comparative Analysis of Pyrosequencing and a Phylogenetic Microarray for Exploring Microbial Community Structures in the Human Distal Intestine. PLoS ONE 2009, 4, e6669. [Google Scholar] [CrossRef] [PubMed]
- White, T.J.; Bruns, T.; Lee, S.; Taylor, J. Amplification and direct sequencing of fungal ribosomal RNA genes for phylogenetics. In PCR Protocols: A Guide to Methods and Applications; Innis, M.A., Gelfand, D.H., Sninsky, J.J., White, T.J., Eds.; Academic Press: San Diego, CA, USA, 1994; pp. 315–322. [Google Scholar]
- Martin, M. Cutadapt removes adapter sequences from high-throughput sequencing reads. EMBnet 2011, 17, 1. [Google Scholar] [CrossRef]
- Callahan, B.J.; Mcmurdie, P.J.; Rosen, M.J.; Han, A.W.; Johnson, A.J.; Holmes, S.P. Dada2: High-resolution sample inference from illumina amplicon data. Nat. Methods 2016, 13, 581–583. [Google Scholar] [CrossRef]
- Katoh, K. Mafft: A novel method for rapid multiple sequence alignment based on fast fourier transform. Nucleic Acids Res. 2002, 30, 3059–3066. [Google Scholar] [CrossRef]
- Price, M.N.; Dehal, P.S.; Arkin, A.P. FastTree: Computing large minimum evolution trees with profiles instead of a distance matrix. Mol. Biol. Evol. 2009, 26, 1641–1650. [Google Scholar] [CrossRef]
- Zaura, E.; Keijser, B.J.F.; Huse, S.M.; Crielaard, W. Defining the healthy “core microbiome” of oral microbial communities. BMC Microbiol. 2009, 9, 1–12. [Google Scholar] [CrossRef]
- Liu, J.; Wei, Y.; Yin, Y.; Zhu, K.; Liu, Y.; Ding, H.; Lei, J.; Zhu, W.; Zhou, Y. Effects of Mixed Decomposition of Pinus sylvestris var. mongolica and Morus alba Litter on Microbial Diversity. Microorganisms 2022, 10, 1117. [Google Scholar] [CrossRef]
- Erwin, D.H.; Laflamme, M.; Tweedt, S.M.; Sperling, E.A.; Pisani, D.; Peterson, K.J. The Cambrian conundrum: Early divergence and later ecological success in the early history of animals. Science 2011, 334, 1091–1097. [Google Scholar] [CrossRef]
- Binkley, D.; Senock, R.; Bird, S.; Cole, T.G. Twenty years of stand development in pure and mixed stands of Eucalyptus saligna and nitrogen-fixing Facaltaria moluccana. For. Ecol. Manag. 2003, 182, 93–102. [Google Scholar] [CrossRef]
- Forrester, D.I.; Bauhus, J.; Cowie, A.L.; Vanclay, J.K. Mixed-species plantations of eucalyptus with nitrogen-fixing trees: A review. For. Ecol. Manag. 2006, 233, 211–230. [Google Scholar] [CrossRef]
- Soares, G.M.; Silva, L.D.; Higa, A.; Simon, A.A.; José, J.S. Artificial Neural Networks (Ann) For Height Estimation in A Mixed-Species Plantation of Eucalyptus Globulus Labill and Acacia Mearnsii De Wild. Rev. Arvore 2021, 45, e4512. [Google Scholar] [CrossRef]
- Crowther, J.; Zimmer, H.; Thi, H.L.; Quang, T.L.; Nichols, J.D. Forestry in vietnam: The potential role for native timber species. For. Policy Econ. 2020, 116, 102182. [Google Scholar] [CrossRef]
- Aosaar, J.; Varik, M.; Lõhmus, K.; Ostonen, I.; Becker, H.; Uri, V. Long-term study of above- and below-ground biomass production in relation to nitrogen and carbon accumulation dynamics in a grey alder (Alnus incana (L.) moench) plantation on former agricultural land. Eur. J. For. Res. 2013, 132, 737–749. [Google Scholar] [CrossRef]
- Resh, S.C.; Binkley, D.; Parrotta, J.A. Greater soil carbon sequestration under nitrogen-fixing trees compared with eucalyptus species. Ecosystems 2002, 5, 217–231. [Google Scholar] [CrossRef]
- Vitousek, P. Ecosystem science and human-environment interactions in the Hawaiian archipelago. J. Ecol. 2006, 94, 510–521. [Google Scholar] [CrossRef]
- Yokobe, T.; Hyodo, F.; Tokuchi, N. Volcanic deposits affect soil nitrogen dynamics and fungal–bacterial dominance in temperate forests. Soil Biol. Biochem. 2020, 150, 108011. [Google Scholar] [CrossRef]
- Wan, X.H.; Huang, Z.Q.; He, Z.M.; Yu, Z.P.; Wang, M.H.; Davis, M.R.; Yang, Y.S. Soil C:N ratio is the major determinant of soil microbial community structure in subtropical coniferous and broadleaf forest plantations. Plant Soil 2015, 387, 103–116. [Google Scholar] [CrossRef]
- Huang, X.M.; Liu, S.R.; Wang, Z.D.; You, Y.M. Changes of soil microbial biomass carbon and community composition through mixing nitrogen-fixing species with Eucalyptus urophylla in subtropical China. Soil Biol. Biochem. 2014, 73, 42–48. [Google Scholar] [CrossRef]
- Wu, J.P.; Liu, Z.F.; Wang, X.L.; Sun, Y.X.; Zhou, L.X.; Lin, Y.B.; Fu, S.L. Effects of understory removal and tree girdling on soil microbial community composition and litter decomposition in two Eucalyptus plantations in South China. Funct. Ecol. 2011, 25, 921–931. [Google Scholar] [CrossRef]
- Caracciolo, A.B.; Bustamante, M.A.; Nogues, I.; Lenola, M.D.; Luprano, M.L.; Grenni, P. Changes in microbial community structure and functioning of a semiarid soil due to the use of anaerobic digestate derived composts and rosemary plants. Geoderma 2015, 245–246, 89–97. [Google Scholar] [CrossRef]
- Zou, Y.; Liang, N.; Zhang, X.; Han, C.; Nan, X. Functional differentiation related to decomposing complex carbohydrates of intestinal microbes between two wild zokor species based on 16srrna sequences. BMC Vet. Res. 2021, 17, 2–12. [Google Scholar] [CrossRef] [PubMed]
- Bardgett, R.D.; Van, D.P. Belowground biodiversity and ecosystem functioning. Nature 2014, 515, 505–511. [Google Scholar] [CrossRef]
- Fierer, N. Embracing the unknown: Disentangling the complexities of the soil microbiome. Nat. Rev. Microbiol. 2017, 15, 579–590. [Google Scholar] [CrossRef]
- Zhao, C.; Zhang, Y.; Liu, X.; Ma, X.; Wang, H. Comparing the effects of biochar and straw amendment on soil carbon pools and bacterial community structure in degraded soil. J. Soil Sci. Plant Nutr. 2019, 20, 751–760. [Google Scholar] [CrossRef]
- Xun, W.B.; Huang, T.; Zhao, J.; Ran, W.; Wang, B.R.; Shen, Q.R.; Zhang, R.F. Environmental conditions rather than microbial inoculum composition determine the bacterial composition, microbial biomass and enzymatic activity of reconstructed soil microbial communities. Soil Biol. Biochem. 2015, 90, 10–18. [Google Scholar] [CrossRef]
- Cao, Y.; Yan, X.; Luo, H.; Jia, Z.; Jiang, X. Nitrification activity and microbial community structure in purple soils with different pH. Acta Pedol. Sin. 2018, 1, 194–202. [Google Scholar]
- Wang, J.; Liao, L.R.; Ye, Z.C.; Liu, H.F.; Zhang, C.; Zhang, L.; Liu, G.B.; Wang, G.L. Different bacterial co-occurrence patterns and community assembly between rhizosphere and bulk soils under N addition in the plant-soil system. Plant Soil 2020, 471, 697–713. [Google Scholar] [CrossRef]
- Zeng, J.; Liu, X.; Song, L.; Lin, X.; Chu, H. Nitrogen fertilization directly affects soil bacterial diversity and indirectly affects bacterial community composition. Soil Biol. Biochem. 2016, 92, 41–49. [Google Scholar] [CrossRef]
- Zeng, J.; Liu, X.J.; Song, L.; Lin, X.G.; Zhang, H.Y.; Shen, C.C.; Chu, H.Y. Effects of changes in straw chemical properties and alkaline soils on bacterial communities engaged in straw decomposition at different temperatures. Sci. Rep. 2016, 6, 1–12. [Google Scholar]
- Yang, Y.L.; Xu, M.; Zou, X.; Chen, J.; Zhang, J. Effects of different vegetation types on soil bacterial community characteristics in the hilly area of Qianzhong Mountai. J. Ecol. Rural. Environ. 2021, 37, 518–525. [Google Scholar]
- Kazerooni, E.A.; Rethinasamy, V.; Al-Sadi, A.M. Talaromyces pinophilus inhibits Pythium and Rhizoctonia-induced damping-off of cucumber. J. Plant Pathol. 2018, 101, 377–383. [Google Scholar] [CrossRef]
- Chen, X.P.; Yang, J.N.; Zhu, X.; Liang, X.; Lei, Y.R.; He, C.Q. N-fixing trees in wetland restoration plantings: Effects on nitrogensupply and soil microbial communities. Environ. Sci. Pollut. R 2016, 23, 24749–24757. [Google Scholar] [CrossRef]
- Zuazo, V.; Pleguezuelo, C.; Tavira, S.C.; Martínez, J.R.F. Linking soil organic carbon stocks to land-use types in a Mediterranean agroforestry landscape. J. Agr. Sci. Tech. 2014, 16, 667–679. [Google Scholar]
- Varma, V.; Iyengar, S.B.; Sankaran, M. Effects of nutrient addition and soil drainage on germination of n-fixing and non-n-fixing tropical dry forest tree species. Plant Ecol. 2016, 217, 1–12. [Google Scholar] [CrossRef]
- Cech, P.G.; Venterink, H.O.; Edwards, P.J. N and P cycling in tanzanian humid savanna: Influence of herbivores, fire, and N2-fixation. Ecosystems 2010, 13, 1079–1096. [Google Scholar] [CrossRef]
- Macedo, M.O.; Resende, A.S.; Garcia, P.C.; Boddey, R.M.; Jantalia, C.P.; Urquiaga, S.; Campello, E.F.C.; Franco, A.A. Changes in soil C and N stocks and nutrient dynamics 13 years after recovery of degraded land using leguminous nitrogen-fixing trees. For. Ecol. Manag. 2008, 255, 1516–1524. [Google Scholar] [CrossRef]
- Waldrop, M.P.; Zak, D.R.; Sinsabaugh, R.L.; Gallo, M.; Lauber, C. Nitrogen deposition modifies soil carbon storage through changes in microbial enzymatic activity. Ecol. Appl. 2004, 14, 1172–1177. [Google Scholar] [CrossRef]
- Zeglin, L.H.; Stursova, M.; Sinsabaugh, R.L.; Collins, S.L. Microbial responses to nitrogen addition in three contrasting grassland ecosystems. Oecologia 2007, 154, 349–359. [Google Scholar] [CrossRef]
- Deforest, J.L.; Zak, D.R.; Pregitzer, K.S.; Burton, A.J. Atmospheric nitrate deposition, microbial community composition, and enzyme activity in northern hardwood forests. Soil Sci. Soc. Am. J. 2004, 68, 132–138. [Google Scholar] [CrossRef]
- Gao, S.; Deluca, T.H.; Cleveland, C.C. Biochar additions alter phosphorus and nitrogen availability in agricultural ecosystems: A meta-analysis. Sci. Total Environ. 2019, 654, 463–472. [Google Scholar] [CrossRef] [PubMed]
- Brockett, B.F.T.; Prescott, C.E.; Grayston, S.J. Soil moisture is the major factor influencing microbial community structure and enzyme activities across seven biogeoclimatic zones in western Canada. Soil Biol. Biochem. 2012, 44, 9–20. [Google Scholar] [CrossRef]
- Li, Y.; Zhou, C.; Qiu, Y.; Tigabu, M.; Ma, X. Effects of biochar and litter on carbon and nitrogen mineralization and soil microbial community structure in a china fir plantation. J. For. Res. 2019, 30, 1913–1923. [Google Scholar] [CrossRef]







| Tree Species | pH Value | Total N/g kg−1 | Total C/g kg−1 | Total C/Total N | Total P/mg kg−1 |
|---|---|---|---|---|---|
| MaLb | 7.94 ± 0.017 aA | 0.53 ± 0.003 aA | 7.60 ± 0.142 bB | 14.43 ± 0.350 bA | 4.93 ± 0.268 bB |
| Ma | 7.88 ± 0.023 aA | 0.46 ± 0.009 bB | 4.38 ± 0.123 cC | 9.80 ± 0.030 cB | 2.23 ± 0.074 cC |
| Lb | 7.89 ± 0.003 aA | 0.54 ± 0.006 aA | 8.30 ± 0.047 aA | 15.38 ± 0.249 aA | 7.12 ± 0.352 aA |
| Chao1 | Goods_Coverage | Observed_Species | Pielou_e | Shannon | Simpson | |
|---|---|---|---|---|---|---|
| pH value | 0.281 | −0.305 | 0.308 | −0.390 | 0.133 | −0.200 |
| Total N | 0.253 | −0.270 | 0.258 | −0.494 | 0.146 | −0.282 |
| Total C | 0.334 | −0.350 | 0.326 | −0.515 | 0.197 | −0.190 |
| Total C/total N | 0.376 | −0.392 | 0.365 | −0.531 | 0.234 | −0.158 |
| Total P | 0.132 | −0.143 | 0.111 | −0.351 | 0.006 | −0.189 |
| Chao1 | Goods_Coverage | Observed_Species | Pielou_e | Shannon | Simpson | |
|---|---|---|---|---|---|---|
| pH value | −0.230 | −0.760 ** | −0.350 | −0.614 * | −0.595 * | −0.444 |
| Total N | −0.630 * | −0.253 | −0.675 * | −0.616 * | −0.649 * | −0.426 |
| Total C | −0.647 * | −0.286 | −0.697 * | −0.656 * | −0.688 * | −0.430 |
| Total C/total N | −0.638 * | −0.307 | −0.691 * | −0.669 * | −0.698 * | −0.436 |
| Total P | −0.613 * | −0.046 | −0.624 * | −0.487 | −0.528 | −0.281 |
| pH Value | Total N | Total C | Total C/Total N | Total P | |
|---|---|---|---|---|---|
| Actinobacteria | 0.246 | 0.245 | 0.147 | 0.133 | −0.025 |
| Proteobacteria | −0.013 | −0.078 | 0.057 | 0.075 | 0.172 |
| Acidobacteria | −0.234 | −0.128 | −0.064 | −0.064 | 0.116 |
| Chloroflexi | 0.093 | 0.575 | 0.493 | 0.491 | 0.452 |
| Firmicutes | −0.525 | −0.852 ** | −0.921 ** | −0.935 ** | −0.855 ** |
| Gemmatimonadetes | 0.138 | −0.452 | −0.339 | −0.313 | −0.313 |
| Bacteroidetes | −0.023 | 0.403 | 0.520 | 0.534 | 0.663 * |
| Rokubacteria | −0.450 | −0.454 | −0.521 | −0.548 | −0.367 |
| Nitrospirae | −0.185 | −0.788 ** | −0.700 * | −0.658 * | −0.625 * |
| Patescibacteria | −0.288 | 0.195 | 0.202 | 0.202 | 0.273 |
| Ascomycota | 0.085 | 0.652 * | 0.604 * | 0.588 * | 0.613 * |
| Mortierellomycota | 0.272 | 0.633 * | 0.586 * | 0.565 | 0.451 |
| Basidiomycota | −0.284 | −0.848 ** | −0.853 ** | −0.853 ** | −0.810 ** |
| Zoopagomycota | 0.364 | 0.499 | 0.602 * | 0.634 * | 0.572 |
Publisher’s Note: MDPI stays neutral with regard to jurisdictional claims in published maps and institutional affiliations. |
© 2022 by the authors. Licensee MDPI, Basel, Switzerland. This article is an open access article distributed under the terms and conditions of the Creative Commons Attribution (CC BY) license (https://creativecommons.org/licenses/by/4.0/).
Share and Cite
Liu, J.; Wei, Y.; Du, H.; Zhu, W.; Zhou, Y.; Yin, Y. Effects of Intercropping between Morus alba and Nitrogen Fixing Species on Soil Microbial Community Structure and Diversity. Forests 2022, 13, 1345. https://doi.org/10.3390/f13091345
Liu J, Wei Y, Du H, Zhu W, Zhou Y, Yin Y. Effects of Intercropping between Morus alba and Nitrogen Fixing Species on Soil Microbial Community Structure and Diversity. Forests. 2022; 13(9):1345. https://doi.org/10.3390/f13091345
Chicago/Turabian StyleLiu, Jiaying, Yawei Wei, Haitao Du, Wenxu Zhu, Yongbin Zhou, and You Yin. 2022. "Effects of Intercropping between Morus alba and Nitrogen Fixing Species on Soil Microbial Community Structure and Diversity" Forests 13, no. 9: 1345. https://doi.org/10.3390/f13091345
APA StyleLiu, J., Wei, Y., Du, H., Zhu, W., Zhou, Y., & Yin, Y. (2022). Effects of Intercropping between Morus alba and Nitrogen Fixing Species on Soil Microbial Community Structure and Diversity. Forests, 13(9), 1345. https://doi.org/10.3390/f13091345

