Soil Aggregate Stability and Carbon Density in Three Plantations in the Loess Plateau, China
Abstract
:1. Introduction
2. Methods
2.1. Sample Area and Soil Sampling
2.2. Experimental Design
2.3. Data Analysis
3. Results
3.1. Aggregates Stability Characteristics
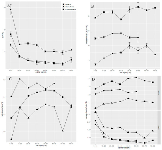
3.2. The Content of SOC and SIC
3.3. Bulk Density Characteristics
Soil Organic and Inorganic Density
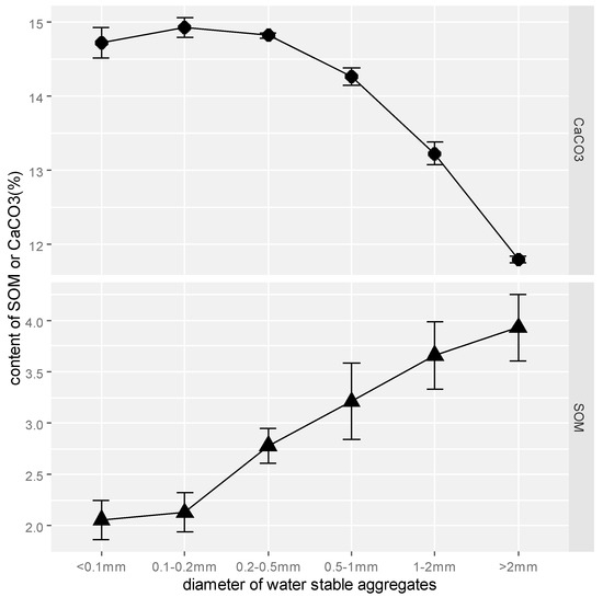
3.4. The Relationship between Stable Aggregate Size and Soil Carbon Content
4. Discussion
4.1. Effects of Tree Species on Soil Properties
4.2. Effects of Tree Species on Soil Carbon Sequestration
4.3. Effects of CaCO3 Content on Aggregate Stability
4.4. Effects of SOM Content on Aggregate Stability
5. Conclusions
Author Contributions
Funding
Institutional Review Board Statement
Informed Consent Statement
Data Availability Statement
Acknowledgments
Conflicts of Interest
References
- Mataix-Solera, J.; Arcenegui, V.; Guerrero, C.; Mayoral, A.M.; Morales, J.; González, J.; García-Orenes, F.; Gómez, I. Water repellency under different plant species in a calcareous forest soil in a semiarid Mediterranean environment. Hydrol. Process 2007, 21, 2300–2309. [Google Scholar] [CrossRef]
- Chen, L.L.; Mu, X.M.; Yuan, Z.Y.; Deng, Q.; Chen, Y.L.; Yuan, L.Y.; Ryan, L.T.; Kallenbach, R.L. Soil nutrients and water affect the age-related fine root biomass but not production in two plantation forests on the Loess Plateau, China. J. Arid Environ. 2016, 135, 173–180. [Google Scholar] [CrossRef]
- Chen, L.L.; Deng, Q.; Yuan, Z.Y.; Mu, X.M.; Kallenbach, R.L. Age-related C: N:P stoichiometry in two plantation forests in the Loess Plateau of China. Ecol. Eng. 2018, 120, 14–22. [Google Scholar] [CrossRef]
- Bhattacharya, S.S.; Kim, K.H.; Das, S.; Uchimiya, M.; Jeon, B.H.; Kwon, E.; Szulejko, J.E. A review on the role of organic inputs in maintaining the soil carbon pool of the terrestrial ecosystem. J. Environ. Manag. 2016, 167, 214–227. [Google Scholar] [CrossRef]
- Zhang, W.; Qiao, W.J.; Gao, D.X.; Dai, Y.Y.; Deng, J.; Yang, G.H.; Han, X.H.; Ren, G.X. Relationship between soil nutrient properties and biological activities along a restoration chronosequence of Pinus tabulaeformis plantation forests in the Ziwuling Mountains, China. Catena 2018, 161, 85–95. [Google Scholar] [CrossRef]
- Liu, Y.Q.; Wei, X.H.; Guo, X.M.; Niu, D.K.; Zhang, J.X.; Gong, X.; Jiang, Y.M. The long-term effects of reforestation on soil microbial biomass carbon in sub-tropic severe red soil degradation areas. For. Ecol. Manag. 2012, 285, 77–84. [Google Scholar] [CrossRef]
- Nie, X.D.; Li, Z.W.; Huang, J.Q.; Huang, B.; Xiao, H.B.; Zeng, G.M. Soil organic carbon fractions and stocks respond to restoration measures in degraded lands by water erosion. Environ. Manag. 2017, 59, 816–825. [Google Scholar] [CrossRef]
- Cao, Y.; Li, Y.N.; Chen, Y.M. Non-structural carbon, nitrogen, and phosphorus between black locust and Chinese pine plantations along a precipitation gradient on the Loess Plateau, China. Trees 2018, 32, 835–846. [Google Scholar] [CrossRef]
- Zethof, J.H.T.; Cammeraat, E.L.H.; Nadal-Romero, E. The enhancing effect of afforestation over secondary succession on soil quality under semiarid climate conditions. Sci. Total Environ. 2019, 652, 1090–1101. [Google Scholar] [CrossRef]
- Ding, W.F.; Zhang, X.C. An evaluation on using soil aggregate stability as the indicator of inter-rill erodibility. J. Mt. Sci. 2016, 13, 831–843. [Google Scholar] [CrossRef]
- Huang, L.; Wang, C.Y.; Tan, W.F.; Hu, H.Q.; Cai, C.F.; Wang, M.K. Distribution of organic matter in aggregates of eroded Ultisols, central China. Soil Tillage Res. 2010, 108, 59–67. [Google Scholar] [CrossRef]
- Qiao, Y.F.; Miao, S.J.; Yue, S.P.; Wu, H.Y.; Han, X.Z. How 23-year continuous soybean cultivation led to more SOC and thermal energy stored in Mollisol micro-aggregates. Pol. J. Environ. Stud. 2016, 25, 1215–1221. [Google Scholar] [CrossRef]
- Elliott, E.T. Aggregate structure and carbon, nitrogen, and phosphorus in native and cultivated soils. Soil Sci. Soc. Am. J. 1986, 50, 627–633. [Google Scholar] [CrossRef]
- Zhang, L.; Zhao, W.; Zhang, R.; Cao, H.; Tan, W.F. Profile distribution of soil organic and inorganic carbon following revegetation on the Loess Plateau, China. Environ. Sci. Pollut. Res. 2018, 25, 301–314. [Google Scholar] [CrossRef] [PubMed]
- Ajami, M.; Heidari, A.; Khormali, F.; Gorji, M.; Ayoubi, S. Environmental factors controlling soil organic carbon storage in loess soils of a subhumid region, northern Iran. Geoderma 2016, 281, 1–10. [Google Scholar] [CrossRef]
- Yang, F.; Huang, L.M.; Yang, R.M.; Yang, F.; Li, D.C.; Zhao, Y.G.; Yang, J.L.; Liu, F.; Zhang, G.L. Vertical distribution and storage of soil organic and inorganic carbon in a typical inland river basin, Northwest China. J. Arid. Land 2018, 10, 183–201. [Google Scholar] [CrossRef] [Green Version]
- Han, X.Y.; Gao, G.Y.; Chang, R.Y.; Li, Z.S.; Ma, Y.; Wang, S.; Wang, C.; Lü, Y.H.; Fu, B.J. Changes in soil organic and inorganic carbon stocks in deep profiles following cropland abandonment along a precipitation gradient across the Loess Plateau of China. Agric. Ecosyst. Environ. 2018, 258, 1–13. [Google Scholar] [CrossRef]
- Cao, Y.; Zhang, P.; Chen, Y.M. Soil C: N: P stoichiometry in plantations of N-fixing black locust and indigenous pine, and secondary oak forests in Northwest China. J. Soils Sediments 2018, 18, 1478–1489. [Google Scholar] [CrossRef]
- Wang, F.M.; Li, Z.A.; Xia, H.P.; Zou, B.; Li, N.Y.; Liu, J.; Zhu, W.X. Effects of nitrogen-fixing and non-nitrogen-fixing tree species on soil properties and nitrogen transformation during forest restoration in southern China. Soil Sci. Plant Nutrition. 2010, 56, 297–306. [Google Scholar] [CrossRef] [Green Version]
- Soil Survey Staff. Keys to Soil Taxonomy, 11th ed.; USDA-Natural Resources Conservation Service: Washington, DC, USA, 2010.
- Le Bissonnais, Y. Aggregate stability and assessment of soil crustability and erodibility: Ⅰ. Theory and methodology. Eur. J. Soil Sci. 1996, 47, 425–428. [Google Scholar] [CrossRef]
- Walkey, A.; Black, I.A. An examination of the Degtjareff method for determining soil organic matter, and a proposed modification of the chromic acid titration method. Soil Sci. 1934, 37, 29–38. [Google Scholar] [CrossRef]
- Wang, L.L.; Yang, X.Y.; Yang, W.J. Comparison of three methods for determination of soil carbonate. Acta Agriculturae Boreali-occidentalis. 2013, 22, 144–150. (In Chinese) [Google Scholar] [CrossRef]
- R Core Team. R: A Language and Environment for Statistical Computing; R Foundation for Statistical Computing: Vienna, Austria, 2019; Available online: https://www.R-project.org/ (accessed on 10 July 2021).
- Gu, C.J.; Mu, X.M.; Gao, P.; Zhao, G.J.; Sun, W.Y.; Tatarko, J.; Tan, X.J. Influence of vegetation restoration on soil physical properties in the Loess Plateau, China. J. Soils Sediments 2019, 19, 716–728. [Google Scholar] [CrossRef]
- Chrenková, K.; Mataix-Solera, J.; Dlapa, P.; Arcenegui, V. Long-term changes in soil aggregation comparing forest and agricultural land use in different Mediterranean soil types. Geoderma 2014, 235, 290–299. [Google Scholar] [CrossRef]
- Lozano, E.; Jiménez-Pinilla, P.; Mataix-Solera, J.; Arcenegui, V.; Bárcenas, G.M.; González-Pérez, J.A.; García-Orenes, F.; Torres, M.P.; Mataix-Beneyto, J. Biological and chemical factors controlling the patchy distribution of soil water repellency among plant species in a Mediterranean semiarid forest. Geoderma 2013, 207, 212–220. [Google Scholar] [CrossRef] [Green Version]
- Boix-Fayos, C.; Calvo-Cases, A.; Imeson, A.C.; Soriano-Soto, M.D. Influence of soil properties on the aggregation of some Mediterranean soils and the use of aggregate size and stability as land degradation indicators. Catena 2001, 44, 47–67. [Google Scholar] [CrossRef]
- Huntington, T.G. Carbon sequestration in an aggrading forest ecosystem in the southeastern USA. Soil Sci. Soc. Am. J. 1995, 59, 1459–1467. [Google Scholar] [CrossRef]
- Wang, X.J.; Wang, J.P.; Xu, M.G.; Zhang, W.J.; Fan, T.L.; Zhang, J. Carbon accumulation in arid croplands of northwest China: Pedogenic carbonate exceeding organic carbon. Sci. Rep. 2015, 5, 11439. [Google Scholar] [CrossRef] [Green Version]
- Fernández-Ugalde, O.; Virto, I.; Barré, P.; Gartzia-Bengoetxea, N.; Enrique, A.; Imaz, M.J.; Bescansa, P. Effect of carbonates on the hierarchical model of aggregation in calcareous semi-arid Mediterranean soils. Geoderma 2011, 164, 203–214. [Google Scholar] [CrossRef]
- Wuddivira, M.N.; Camps-Roach, G. Effects of organic matter and calcium on soil structural stability. Eur. J. Soil Sci. 2007, 58, 722–727. [Google Scholar] [CrossRef]
- Virto, I.; Gartzia-Bengoetxea, N.; Fernandez-Ugalde, O. Role of Organic Matter and Carbonates in Soil Aggregation Estimated Using Laser Diffractometry. Pedosphere 2011, 21, 566–572. [Google Scholar] [CrossRef]
- Gao, M.Y.; Yang, J.F.; Li, Y.; Liu, N.; Li, N.; Huang, Y.Q.; Luo, P.Y.; Han, X.R. Characteristics of organic carbon changes in Brown Earth under 37-year long-term fertilization. Eurasian Soil Sci. 2018, 51, 1172–1180. [Google Scholar] [CrossRef]






Publisher’s Note: MDPI stays neutral with regard to jurisdictional claims in published maps and institutional affiliations. |
© 2022 by the authors. Licensee MDPI, Basel, Switzerland. This article is an open access article distributed under the terms and conditions of the Creative Commons Attribution (CC BY) license (https://creativecommons.org/licenses/by/4.0/).
Share and Cite
Dong, L.; Kou, M. Soil Aggregate Stability and Carbon Density in Three Plantations in the Loess Plateau, China. Forests 2022, 13, 1096. https://doi.org/10.3390/f13071096
Dong L, Kou M. Soil Aggregate Stability and Carbon Density in Three Plantations in the Loess Plateau, China. Forests. 2022; 13(7):1096. https://doi.org/10.3390/f13071096
Chicago/Turabian StyleDong, Lili, and Meng Kou. 2022. "Soil Aggregate Stability and Carbon Density in Three Plantations in the Loess Plateau, China" Forests 13, no. 7: 1096. https://doi.org/10.3390/f13071096
APA StyleDong, L., & Kou, M. (2022). Soil Aggregate Stability and Carbon Density in Three Plantations in the Loess Plateau, China. Forests, 13(7), 1096. https://doi.org/10.3390/f13071096
