Validation of the Habitat Quality Index of Tetraclinis articulata Forests and Its Application in Cost-Effectiveness Analysis of Restoration Projects
Abstract
:1. Introduction
2. Materials and Methods
2.1. Experimental Design
2.2. Data Collection
2.3. Habitat Quality Index and Cost-Effectiveness Model
2.4. Data Analysis
3. Results
3.1. Correlation Analysis
3.2. Principal Component Analisys
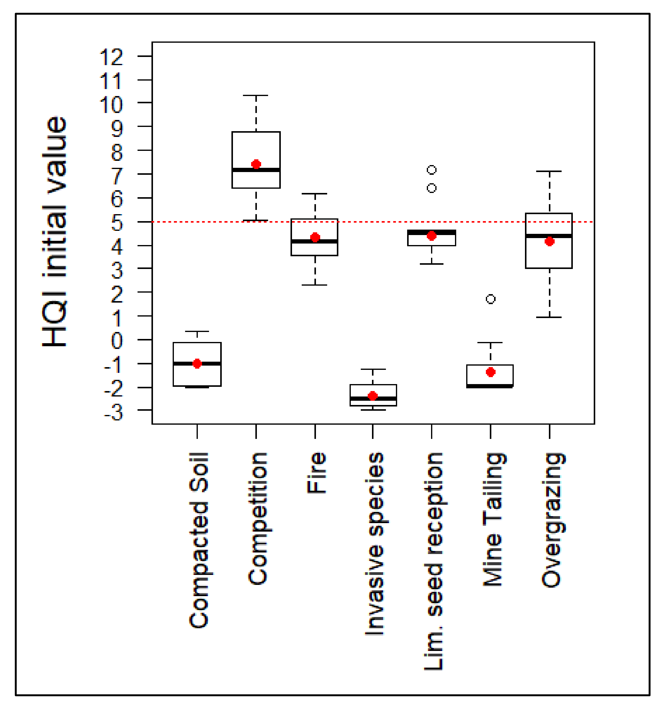
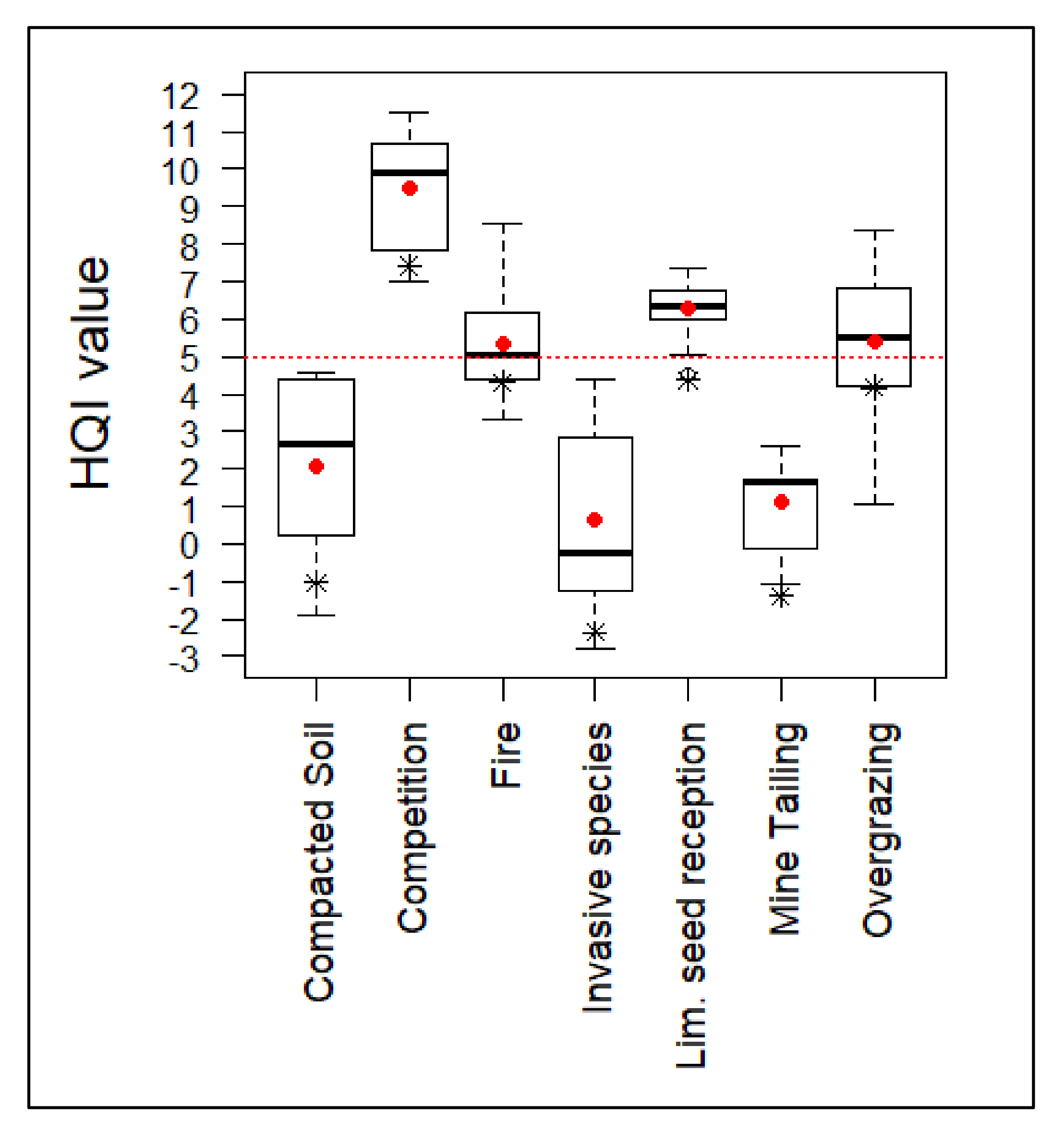
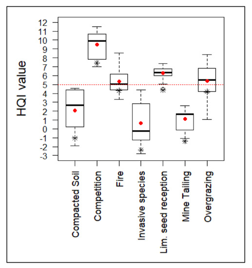
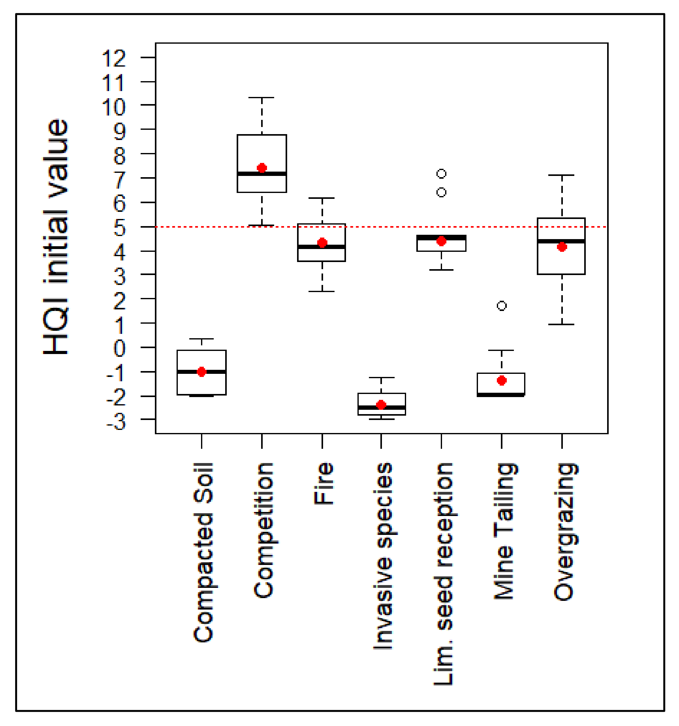
3.3. Habitat Quality Index Variation
3.4. Cost-Effectiveness Model
4. Discussion
4.1. Index Variables
4.2. Index Applicability to Management and Other Biogeographical Areas
4.3. Index Applicability in Context with Climate Change Scenarios
5. Conclusions
Author Contributions
Funding
Data Availability Statement
Acknowledgments
Conflicts of Interest
References
- European Commission. Council Directive 92/43/EEC on the conservation of natural habitats and of wild fauna and flora. Eur. Commun. Gazette 1992, 206, 1–50. [Google Scholar]
- European Commission. Interpretation Manual of European Union Habitats-EUR28. 2013. Available online: https://ec.europa.eu/environment/nature/legislation/habitatsdirective/docs/Int_Manual_EU28.pdf (accessed on 11 May 2022).
- Carnino, N. État de Conservation des Habitats D’intérêt Communautaire à L’échelle du Site–Méthode D’évaluation des Habitats Forestiers. Muséum National d’Histoire Naturelle/Office National des Forêts, 49 pp. + Annexes. 2009. Available online: https://www.tela-botanica.org/wp-content/uploads/2017/03/etatdeconservationhabitatsinteretcommunautaire_Carnino_2009_methode_EC_hab_foret.pdf (accessed on 11 May 2022).
- Evans, D.; Arvela, M. Assessment and reporting under Article 17 of the Habitats Directive. Explanatory Notes & Guidelines for the period 2007–2012. European Commission, Brussels. 2011. Available online: https://circabc.europa.eu/sd/a/2c12cea2-f827-4bdb-bb56-3731c9fd8b40/Art17-Guidelines-final.pdf (accessed on 11 May 2022).
- Gigante, D.; Attorre, F.; Venanzoni, R.; Acosta, A.; Agrillo, E.; Aleffi, M.; Alessi, N.; Allegrezza, M.; Angelini, P.; Angiolini, C.; et al. A methodological protocol for Annex I Habitats monitoring: The contribution of Vegetation science. Plant Sociol. 2016, 53, 77–87. [Google Scholar] [CrossRef]
- Angiolini, C.; Foggi, B.; Sarmati, S.; Gabellini, A.; Gennai, M.; Castagnini, P.; Mugnai, M.; Viciani, D.; Fanfarillo, E.; Maccherini, S. Assessing the conservation status of EU forest habitats: The case of Quercus suber woodlands. For. Ecol. Manag. 2021, 496, 119432. [Google Scholar] [CrossRef]
- Angelini, P.; Chiarucci, A.; Nascimbene, J.J.; Cerabolini, B.; Dalle Fratte, M.; Casella, L. Plant assemblages and conservation status of habitats of Community interest (Directive 92/43/EEC): Definitions and concepts. Ecol. Quest. 2018, 29, 87–97. [Google Scholar] [CrossRef]
- Ellwanger, G.; Runge, S.; Wagner, M.; Ackermann, W.; Neukirchen, M.; Frederking, W.; Müller, C.; Ssymank, A.; Sukopp, U. Current status of habitat monitoring in the European Union according to Article 17 of the Habitats Directive, with an emphasis on habitat structure and functions and on Germany. Nat. Conserv. 2018, 29, 57–78. [Google Scholar] [CrossRef] [Green Version]
- Röschel, L.; Noebel, R.; Stein, U.; Naumann, S.; Romão, C.; Tryfon, E.; Gaudillat, Z.; Roscher, S.; Moser, D.; Ellmauer, T.; et al. State of Nature in the EU-Methodological Paper. Methodologies under the Nature Directives Reporting 2013–2018 and Analysis for the State of Nature 2000. ETC/BD Report to the EEA; European Environment Agency: Copenhagen, Denmark, 2020. [CrossRef]
- VV.AA. Bases Ecológicas Preliminares para la Conservación de los Tipos de Hábitat de Interés Comunitario en España. Madrid: Ministerio de Medio Ambiente, y Medio Rural y Marino. 2009. Available online: https://www.miteco.gob.es/es/biodiversidad/temas/espacios-protegidos/red-natura-2000/rn_tip_hab_esp_bases_eco_preliminares.aspx (accessed on 11 May 2022).
- Pescador, D.S.; Vayreda, J.; Escudero, A.; Lloret, F. Identificación y descripción de las variables utilizadas en el Inventario Forestal Nacional para la evaluación de la ‘Estructura y función’ de los tipos de hábitat de bosque. In Metodologías para el Seguimiento del Estado de Conservación de los Tipos de Habitat; Ministerio para la Transición Ecológica: Madrid, Spain, 2019; p. 135. Available online: https://www.miteco.gob.es/es/biodiversidad/temas/ecosistemas-y-conectividad/04bosquesymatorralesnofluviales_2_metodosestructurayfuncionifn_tcm30-506048.pdf (accessed on 11 May 2022).
- Pescador, D.S.; Chacón-Labella, J.; Vayreda, J.; Escudero, A.; Lloret, F. Identificación de tipos de hábitat de bosque y matorral no representados en las parcelas del Inventario Forestal Nacional y descripción de procedimientos para evaluar su estado de conservación. In Metodologías para el Seguimiento del Estado de Conservación de los Tipos de Hábitat; Ministerio para la Transición Ecológica: Madrid, Spain, 2019; p. 31. Available online: https://www.miteco.gob.es/es/biodiversidad/temas/ecosistemas-y-conectividad/04bosquesymatorralesnofluviales_7_metodostiposnorepresentados_tcm30-506052.pdf (accessed on 11 May 2022).
- European Commission. Report from the Commission to the European Parliament, the Council and the European Economic and Social Committee. The state of nature in the European Union. Report on the status and trends in 2013–2018 of species and habitat types protected by the Birds and Habitats Directives. Brussels. 2020. Available online: https://eur-lex.europa.eu/legal-content/EN/TXT/PDF/?uri=CELEX:52020DC0635&from=ES (accessed on 11 May 2022).
- Charco, J. El bosque Mediterráneo en el Norte de África: Biodiversidad y Lucha Contra la Desertificación [The Mediterranean Forest in North Africa: Biodiversity and Desertification]; Mundo Árabe e Islam-AECI: Madrid, Spain, 1999; p. 370. [Google Scholar]
- El-Mouridi, M.; Laurent, T.; Farimi, A.; Kabouchi, B.; Alméras, T.; Calchéra, G.; El Abid, A.; Ziani, M.; Gril, J.; Hakam, A. Caractérisation physique du bois de la loupe de Thuya (Tetraclinis articulata (Vahl) Masters). Phys. Chem. News 2011, 59, 57–64. [Google Scholar]
- Sghaier, T.; Sánchez-González, M.; Garchi, S.; Ammari, Y.; Cañellas, I.; Calama, R. Developing a stand-based growth and yield model for Thuya (Tetraclinis articulata (Vahl) Mast) in Tunisia. iForest 2015, 9, 79–88. [Google Scholar] [CrossRef]
- Benabid, A.; del Barrio, G.; Ruiz, A.; Sanjuán, M.E.; Sainz, H.; Simón, J.C. Libro Rojo de los Ecosistemas Forestales de Marruecos; Gland, S., Ed.; IUCN: Malaga, Spain, 2015; p. 164. Available online: https://digital.csic.es/bitstream/10261/179371/1/628523.pdf (accessed on 12 May 2022).
- Terras, M.; Labani, A.; Benabdeli, K.; Adda-Hanifi, N. Dynamique phytoécologique du Thuya de Berberie face à l’incendie. For. Méditerr. 2008, 29, 33–40. [Google Scholar]
- Hadjadj-Aoul, S.; Chouieb, M.; Loisel, R. Effet des facteurs environnementaux sur les premiers stades de la régénération naturelle de Tetraclinis articulata (Vahl, Master) en Oranie, Algérie. Ecol. Mediterr 2009, 35, 19–30. [Google Scholar] [CrossRef]
- Dallahi, Y.; Chahhou, D.; El Aboudi, A.; Aafi, A.; Abbas, Y.; Mounir, F.; Abidine, M.M.O. The dynamics of natural regeneration of Tetraclinis articulata (Vahl) Masters in the Moroccan Central Plateau. Plant Sociol. 2017, 54, 37–41. [Google Scholar]
- Moya-Pérez, J.M.; Carreño, M.F.; Esteve-Selma, M.Á. Enhancing the Resilience of a Mediterranean Forest to Extreme Drought Events and Climate Change: Pinus—Tetraclinis Forests in Europe. Forests 2021, 12, 487. [Google Scholar] [CrossRef]
- Esteve-Selma, M.A.; Carreño-Fructuoso, M.F.; Moya-Pérez, J.M.; Montoya-Bernabeu, P.F.; Martínez-Fernández, J.; Pérez-Navarro, M.A.; Lloret, F. Respuesta de los bosques de Pinus halepensis del sureste ibérico al cambio climático: Los eventos de sequía extrema. In El Clima: Aire, Agua, Tierra y Fuego; Montávez, J.P., Gómez, J.J., López, J.M., Palacios, L., Turco, M., Jerez, S., Lorente, R., Jiménez, P., Eds.; Asociación Española de Climatología; Agencia Estatal de Meteorología: Madrid, Spain, 2018; pp. 1023–1033. Available online: http://aeclim.org/wp-content/uploads/2019/07/1023-ESTEVE.pdf (accessed on 12 May 2022).
- Moya-Pérez, J.M.; Esteve-Selma, M.A. Incrementando la resiliencia al cambio climático de los bosques costeros: El caso de las formaciones mixtas Pinus-Tetraclinis. In Cambio Climático en la Región de Murcia: Del Acuerdo de París a la Emergencia Climática. Trabajos del Observatorio Regional del Cambio Climático 2020; Consejería de Agua, Agricultura, Ganadería, Pesca y Medio Ambiente de la Región de Murcia: Murcia, Spain, 2020; pp. 103–110. Available online: https://www.carm.es/web/descarga?ARCHIVO=1113-2020%20LIbro%20del%20Cambio%20Clima%C2%BFtico%20con%20portadas.pdf&ALIAS=ARCH&IDCONTENIDO=176927&IDTIPO=60&RASTRO=c866$m9665 (accessed on 14 May 2022).
- Navarro-Cano, J.A.; Goberna, M.; González-Barberá, G.; Castillo, V.M.; Verdú, M. Restauración Ecológica en Ambientes Semiáridos: Recuperar las Interacciones Biológicas y las Funciones Ecosistémicas; CSIC: Murcia, Spain, 2017; p. 159. Available online: https://www.uv.es/cide/Documentos/RESTAURACION_ECOLOGICA.%20Libro.pdf (accessed on 12 May 2022).
- Navarro-Cano, J.A.; Goberna, M.; Verdú, M. Plant facilitation as a tool to restore diversity and ecosystem functions. Ecosistemas 2019, 28, 20–31. [Google Scholar] [CrossRef]
- Oná, M.B.; Goberna, M.; Navarro-Cano, J.A. Natural Seed Limitation and Effectiveness of Forest Plantations to Restore Semiarid Abandoned Metal Mining Areas in SE Spain. Forests 2021, 12, 548. [Google Scholar] [CrossRef]
- European Commission. Natura 2000 and Forests Part I–II. Technical Report 2015, 88. European Commission, DG-ENV. Brussels. 2015. Available online: https://ec.europa.eu/environment/nature/natura2000/management/docs/Final%20Guide%20N2000%20%20Forests%20Part%20I-II-Annexes.pdf (accessed on 12 May 2022).
- EIONET Conservation Status 2013-2018-Experts Web Viewer. Available online: https://nature-art17.eionet.europa.eu/article17/habitat/summary/?period=5&subject=9570 (accessed on 12 May 2022).
- Esteve-Selma, M.A.; Moya-Pérez, J.M.; Navarro-Cano, J.A. Manual de Evaluación y Gestión del Hábitat 9570*: Bosques de Tetraclinis Articulata, 1st ed.; Dirección General del Medio Natural: Murcia, Spain, 2019; p. 87. Available online: http://www.murcianatural.carm.es/c/document_library/get_file?uuid=15ccbf52-1211-4174-bc86-5572c2f662bc&groupId=14 (accessed on 12 May 2022).
- Baeza, M.J.; Pastor, A.; Martín, J.; Ibáñez, M. Mortalidad post-implantación en repoblaciones de Pinus halepensis, Quercus ilex, Ceratonia siliqua y Tetraclinis articulata en la Provincia de Alicante. Stud. Oecol. 1991, 8, 139–146. [Google Scholar]
- Padilla, F.M.; Ortega, R.; Sánchez, J.; Pugnaire, F.I. Rethinking species selection for restoration of arid shrublands. Basic App. Ecol. 2009, 10, 640–647. [Google Scholar] [CrossRef] [Green Version]
- Conservation of the priority habitat 9570 Tetraclinis articulata forest in the European continent. Available online: https://lifetetraclinis.carm.es/ (accessed on 12 May 2022).
- Esteve, M.A. 9570 Bosques de Tetraclinis articulata (*). In Bases Ecológicas Preliminares Para la Conservación de los Tipos de Hábitat de Interés Comunitario en España; Ministerio de Medio Ambiente, y Medio Rural y Marino: Madrid, Spain, 2009; p. 68. [Google Scholar]
- Spanish National Center for Geographic Information. Available online: https://centrodedescargas.cnig.es (accessed on 14 May 2022).
- Taiyun, W.; Simko, V.R. Package ‘Corrplot’: Visualization of a Correlation Matrix (Version 0.92). 2021. Available online: https://github.com/taiyun/corrplot (accessed on 14 May 2022).
- Lê, S.; Josse, J.; Husson, F. FactoMineR: An R Package for Multivariate Analysis. J. Stat. Sof. 2008, 25, 1–18. [Google Scholar] [CrossRef] [Green Version]
- Key, C.H.; Zhu, Z.; Ohlen, D.; Howard, S.; McKinley, R.; Benson, N. The normalized burn ratio and relationships to burn severity: Ecology, remote sensing and implementation. In Proceedings of the Ninth Forest Service Remote Sensing Applications Conference; J.D. Greer, ed. Rapid Delivery of Remote Sensing Products, San Diego, CA, USA; 2002. [Google Scholar]
- Kriegler, F.J.; Malila, W.A.; Nalepka, R.F.; Richardson, W. Preprocessing transformations and their effect on multispectral recognition. Remote Sens. Environ. 1969, 7, 97–132. [Google Scholar]
- Montoya-Bernabéu, P.; Esteve-Selma, M.A. Sobrepastoreo y microhábitat en Tetraclinis articulata (Vahl) Masters: Efecto en variables dendrométricas y demográficas. In Biodiversidad y Procesos Ecológicos en el Sureste Ibérico; Editum; University of Murcia: Murcia, Spain, 2017; pp. 21–27. [Google Scholar]
- Fox, J.; Weisberg, S. An {R} Companion to Applied Regression, 3rd ed.; Sage: Thousand Oaks, CA, USA, 2019; Available online: https://socialsciences.mcmaster.ca/jfox/Books/Companion/ (accessed on 12 May 2022).
- Esteve Selma, M.A.; Montoya, P.; Moya, J.M.; Miñano, J.; Hernández, I.; Carrión, J.S.; Charco, J.; Fernández, S.; Munuera, M.; Ochando, J. Tetraclinis Articulata: Biogeografía, Ecología, Amenazas y Conservación, 1st ed.; Dirección General de Medio Natural, Región de Murcia: Murcia, Spain, 2017; p. 248. Available online: https://murcianatural.carm.es/c/document_library/get_file?uuid=6eeb4eb9-b1d1-4695-81e3-49fea2a002e8&groupId=14 (accessed on 12 May 2022).
- Esteve-Selma, M.A.; Martínez-Fernández, J.; Hernández-García, I.; Montávez, J.P.; López-Hernández, J.J.; Calvo, J.F. Potential effects of climatic change on the distribution of Tetraclinis articulata, an endemic tree from arid Mediterranean ecosystems. Clim. Chang. 2012, 113, 663–678. [Google Scholar] [CrossRef]
- Esteve-Selma, M.A.; Martínez-Fernández, J.; Hernandez, I.; Robledano, F.; Perez-Navarro, M.; Lloret, F. Cambio climático y biodiversidad en el contexto de la Región de Murcia. In Cambio Climático en la Región de Murcia. Evaluación Basada en Indicadores; Oficina de Impulso Socioeconómico del Medio Ambiente: Murcia, Spain, 2015; pp. 105–132. Available online: https://www.researchgate.net/publication/303685461_CAMBIO_CLIMATICO_Y_BIODIVERSIDAD_EN_EL_CONTEXTO_DE_LA_REGION_DE_MURCIA (accessed on 14 May 2022).





| Degradation Factor | Implemented Action | Survey Plots | Total Costs (€) | Intervened Area (ha) |
|---|---|---|---|---|
| Fire | About 400 ha of Pinus-Tetraclinis mixed forest were burned by a fire in August 2011. The subsequent regeneration of the pine forest reached 3000 specimens/ha in some areas, so the aim was to reduce it to a maximum of 600 specimens/ha. | 20 (a) | 121,381 | 28.09 |
| Competition | Decrease in the competitive pressure caused by the pine forest and stimulation through the increase in direct sunlight received from the reproductive activity of sub-adult specimens of T. articulata. | 20 (b) | 51,383 | 9.5 |
| Mine Tailing | Experimental restoration through the reintroduction of the main habitat species in an area of mine tailings from the middle of the last century. | 14 (c) | 53,800 | 0.88 |
| Limited seed reception | Planting of T. articulata groves (20 ± 8 specimens/plot) to promote the creation of open forest stands in areas isolated from adult specimens. | 26 (b) | 38,809 | 11.27 |
| Compacted Soils | Closure and restoration of unauthorized trails in order to avoid an excessive habitat fragmentation. | 10 (c) | 46,060 | 2.58 |
| Overgrazing | Eliminate overgrazing in a specific area by installing fencing. | 20 (a) | 61,980 | 25.61 |
| Invasive Species | Eliminate invasive species within the area of the Sites of Community Importance (SCI) of Calblanque, Monte de las Cenizas y Peña del Águila (code ES6200001) and La Muela-Cabo Tiñoso (code ES0000264). | 22 (d) | 54,199 | 0.88 |
| TOTAL | 132 | 427,612 | 78.81 (13% *) |
| Variable Acronym | Methodology | HQI Contribution |
|---|---|---|
| SpR | Focal species richness as the presence or absence of the main habitat species: Chamaerops humilis, Maytenus senegalensis, Olea europea var. sylvestris, Osyris lanceolata, Periploca angustifolia, Pinus halepensis, Pistacia lentiscus, Quercus coccifera, Rhamnus lycioides, Tetraclinis articulata. | No presence of habitat species: 0. (a) >0 to 1 species or (b) 1 to 2 species: 1. (a) >1 to 3 species or (b) 3 to 4 species: 2. (a) >3 species or (b) >4 species: 3. |
| AdN | Number of adult and sub-adult specimens (>8 cm diameter, no strobili production) per 100 m2. Sub-adults are adjusted using a 0.5 coefficient. | No adult or sub-adult specimens: 0. Only saplings or juveniles: 1. Up to 0.5 adult or sub-adult specimens: 2. >0.5 to 1 adult or sub-adult specimens: 3. >1 adult or sub-adult specimens: 4. |
| RecN | Number of recruited or juvenile specimens (<8 cm diameter, no strobili production) per 100 m2. | No juveniles or saplings specimens: 0. Up to 2 juveniles or saplings specimens: 1. >2 to 4 juveniles or saplings specimens: 2. >4 juveniles or saplings specimens: 3. |
| LimF | Limiting factors. Those species or factors affecting recruitment are considered. The linear coverage is registered, with at least 40 linear meters/100 m2, in units of 20 × 20 m. | 2(1—Σ non-overlapping cover percentage as a decimal of Pinus halepensis, Chamaerops humilis, Calicotome intermedia, Brachypodium retusum, compacted soil, or unfissured rock and Aleppo pine litter accumulations) |
| AImp | Anthropogenic impacts. Habitat disturbances caused by human activities. Due to its heterogeneity, this factor is estimated for each survey plot. | Null impact. No noticeable disturbances: 1. Low. Minor impacts not functionally relevant to the habitat (adult or sub-adult specimens with more than three average basal stems, compacted soil, debris, and dumping surface area on less than 5%, no invasive species presence): 0. Medium. Structurally and functionally relevant impact, which does not threaten demographic dynamics (5–25% of compacted soil area, invasive species < 10%, significant damage caused by drought or overgrazing, burned specimens with >50% original biomass recovery): −1 (single impact), −2 (more than one). High. Structurally and functionally disturbed demographic dynamics (compacted soil area > 25%, invasive species > 10%, serious damage caused by drought or overgrazing, burned specimens with <50% original biomass recovery): −2 (single impact), −3 (more than one). |
| SpR | AdN | RecN | LimF | AImp | Cov | Elev | Slp | dNBR | NDVI | |
|---|---|---|---|---|---|---|---|---|---|---|
| AdN | 0.43 | - | - | - | - | - | - | - | - | - |
| RecN | 0.24 | 0.3 | - | - | - | - | - | - | - | - |
| LimF | −0.21 | 0.03 | −0.1 | - | - | - | - | - | - | - |
| AImp | −0.65 | −0.1 | −0.1 | 0.24 | - | - | - | - | - | - |
| Cov | 0.32 | 0.13 | 0.12 | 0.38 | −0.4 | - | - | - | - | - |
| Elev | −0.21 | 0.02 | −0.05 | 0.36 | 0.41 | 0 | - | - | - | - |
| Slp | 0.27 | 0.25 | 0.21 | −0.46 | −0.08 | −0.02 | −0.36 | - | - | - |
| dNBR | 0.42 | 0.28 | −0.08 | −0.2 | 0.08 | −0.32 | 0.05 | 0.23 | - | - |
| NDVI | 0.46 | 0.17 | 0.15 | −0.08 | −0.52 | 0.75 | −0.14 | 0.22 | 0.16 | - |
| GraD | 0.04 | 0.21 | 0.46 | −0.34 | 0.08 | −0.22 | −0.17 | 0.18 | 0.13 | −0.07 |
| Component | Eigenvalue | % Variance | Σ Variance | Variable | Dim.1 | Dim.2 | Dim.3 | Dim.4 |
|---|---|---|---|---|---|---|---|---|
| 1 | 3.01 | 27.32 | 27.32 | SpR | 22.24 | 0.00003 | 10.75 | 0.003 |
| 2 | 2.20 | 20.04 | 47.36 | AdN | 6.96 | 0.98 | 9.74 | 22.32 |
| 3 | 1.48 | 13.49 | 60.84 | RecN | 5.55 | 1.79 | 6.33 | 28.31 |
| 4 | 1.45 | 13.15 | 73.99 | LimF | 4.65 | 19.88 | 2.19 | 9.69 |
| 5 | 0.81 | 7.38 | 81.37 | AImp | 18.12 | 3.00 | 0.24 | 8.32 |
| 6 | 0.65 | 5.95 | 87.32 | Cov | 7.62 | 28.29 | 0.44 | 1.53 |
| 7 | 0.52 | 4.76 | 92.08 | Elev | 7.12 | 3.00 | 8.66 | 15.60 |
| 8 | 0.38 | 3.42 | 95.50 | Slp | 8.90 | 9.97 | 0.001 | 0.39 |
| 9 | 0.27 | 2.49 | 97.99 | dNBR | 0.55 | 9.18 | 44.10 | 0.26 |
| 10 | 0.12 | 1.06 | 99.05 | NDVI | 17.07 | 10.87 | 0.57 | 0.05 |
| 11 | 0.10 | 0.95 | 100 | GraD | 1.20 | 13.05 | 16.98 | 13.54 |
| ANOVA Groups | Sum of Squares | Mean of Squares | DF | F Value | p-Value |
|---|---|---|---|---|---|
| Fire | 7.005 | 1.751 | 4 | 1.466 | 0.262 |
| Residuals | 17.916 | 1.194 | 15 | - | - |
| Competition | 12.57 | 4.191 | 3 | 2.501 | 0.0964 |
| Residuals | 26.81 | 1.675 | 16 | - | - |
| Mine tailing | 2.663 | 2.663 | 1 | 2.626 | 0.131 |
| Residuals | 12.169 | 1.014 | 12 | - | - |
| Limited seed reception | 1.556 | 0.5188 | 3 | 0.649 | 0.592 |
| Residuals | 17.598 | 0.7999 | 22 | - | - |
| Compacted Soil | 1.048 | 1.0481 | 1 | 1.379 | 0.274 |
| Residuals | 6.079 | 0.7599 | 8 | - | - |
| Overgrazing | 3.02 | 3.023 | 1 | 1.02 | 0.326 |
| Residuals | 53.34 | 2.964 | 18 | - | - |
| Invasive species | 1.929 | 0.9647 | 2 | 3.368 | 0.056 |
| Residuals | 5.442 | 0.2864 | 19 | - | - |
| ANOVA Groups | Sum of Squares | Mean of Squares | DF | F Value | p-Value |
|---|---|---|---|---|---|
| Fire | 5.283 | 1.321 | 4 | 0.632 | 0.648 |
| Residuals | 31.36 | 2.091 | 15 | - | - |
| Competition | 4.34 | 1.447 | 3 | 0.59 | 0.63 |
| Residuals | 39.23 | 2.452 | 16 | - | - |
| Mine tailing | 0.956 | 0.9555 | 1 | 0.64 | 0.439 |
| Residuals | 17.912 | 1.4927 | 12 | - | - |
| Limited seed reception | 3.009 | 1.003 | 3 | 2.058 | 0.135 |
| Residuals | 10.722 | 0.4874 | 22 | - | - |
| Compacted Soil | 2.51 | 2.505 | 1 | 0.416 | 0.537 |
| Residuals | 48.13 | 6.016 | 8 | - | - |
| Overgrazing | 5.54 | 5.541 | 1 | 1.374 | 0.256 |
| Residuals | 72.61 | 4.034 | 18 | - | - |
| Invasive species | 73.63 | 36.82 | 2 | 18.09 | <0.001 *** |
| Residuals | 38.68 | 2.04 | 19 | - | - |
| Action Code | Mean HQIi | Mean HQIf | Differences | t | df | p-Value |
|---|---|---|---|---|---|---|
| Fire | 4.312 | 5.34 | 1.028 | 3.772 | 19 | <0.01 ** |
| Competition | 7.41 | 9.466 | 2.056 | 9.936 | 19 | <0.001 *** |
| Mine Tailing | −1.384 | 1.11 | 2.494 | 5.776 | 13 | <0.001 *** |
| Limited seed reception | 4.376 | 6.301 | 1.925 | 10.446 | 25 | <0.001 *** |
| Compacted Soil | −1.041 | 2.057 | 3.098 | 4.135 | 9 | <0.01 ** |
| Overgrazing | 4.175 | 5.411 | 1.237 | 10.187 | 19 | <0.001 *** |
| Invasive species | −2.36 | 0.639 | 2.998 | 6.939 | 21 | <0.001 *** |
Publisher’s Note: MDPI stays neutral with regard to jurisdictional claims in published maps and institutional affiliations. |
© 2022 by the authors. Licensee MDPI, Basel, Switzerland. This article is an open access article distributed under the terms and conditions of the Creative Commons Attribution (CC BY) license (https://creativecommons.org/licenses/by/4.0/).
Share and Cite
Moya-Pérez, J.M.; Esteve-Selma, M.Á.; Rocamora, A.R.; Carrillo, A.F. Validation of the Habitat Quality Index of Tetraclinis articulata Forests and Its Application in Cost-Effectiveness Analysis of Restoration Projects. Forests 2022, 13, 950. https://doi.org/10.3390/f13060950
Moya-Pérez JM, Esteve-Selma MÁ, Rocamora AR, Carrillo AF. Validation of the Habitat Quality Index of Tetraclinis articulata Forests and Its Application in Cost-Effectiveness Analysis of Restoration Projects. Forests. 2022; 13(6):950. https://doi.org/10.3390/f13060950
Chicago/Turabian StyleMoya-Pérez, Juan Miguel, Miguel Ángel Esteve-Selma, Adrián Ruiz Rocamora, and Antonio Félix Carrillo. 2022. "Validation of the Habitat Quality Index of Tetraclinis articulata Forests and Its Application in Cost-Effectiveness Analysis of Restoration Projects" Forests 13, no. 6: 950. https://doi.org/10.3390/f13060950
APA StyleMoya-Pérez, J. M., Esteve-Selma, M. Á., Rocamora, A. R., & Carrillo, A. F. (2022). Validation of the Habitat Quality Index of Tetraclinis articulata Forests and Its Application in Cost-Effectiveness Analysis of Restoration Projects. Forests, 13(6), 950. https://doi.org/10.3390/f13060950

